Substrate behavior of dissimilar CY5-deoxypyrimidine nucleotides in PCR with DNA matrices of different GC-composition
- Authors: Monakova P.M.1, Shershov V.E.1, Kuznetsova V.E.1, Chudinov A.V.1, Lapa S.A.1
-
Affiliations:
- Engelhardt Institute of Molecular Biology, Russian Academy of Sciences
- Issue: Vol 59, No 1 (2025)
- Pages: 133-140
- Section: СТРУКТУРНО-ФУНКЦИОНАЛЬНЫЙ АНАЛИЗ БИОПОЛИМЕРОВИ ИХ КОМПЛЕКСОВ
- URL: https://ogarev-online.ru/0026-8984/article/view/294740
- DOI: https://doi.org/10.31857/S0026898425010096
- EDN: https://elibrary.ru/HCNCJX
- ID: 294740
Cite item
Full Text
Abstract
The substrate properties of six pairs of fluorescently labeled deoxyuridine and deoxycytidine triphosphates (Cy5-dUTPs and Cy5-dCTPs) in PCR with Taq polymerase were compared. In each pair, the modified dU and dC contained identical fluorescently labeled Cy5 substituents; for different pairs, the substituent structures differed in the length of the linker between the nitrogenous base and the fluorophore, the length of the linker between the quaternary ammonium group and the second heterocycle of the fluorophore, as well as the structure of the fluorophore itself. DNA fragments of Staphylococcus aureus (AT-rich template) and Mycobacterium tuberculosis (GC-rich template) were used as matrices. With both templates, deoxycytidine derivatives showed slightly higher amplification efficiency (E). The influence of the fluorophore structure and the GC-composition of the template on the kinetics of the reaction was insignificant. At the same time, a high incorporation efficiency was observed on the AT-rich matrix for uridine derivatives, and on the GC-rich matrix for cytidine derivatives (and in both cases — for substituents with a longer linker length). Nevertheless, the specific incorporation density, which takes into account the number of similar nucleotides in the DNA chain, was in all cases higher for dU derivatives. It was found that in pairs with similar fluorophore modifications, uridine derivatives, compared with cytidine, are characterized by a higher incorporation density, regardless of the composition of the template, but at the same time they have a greater inhibitory effect. The results obtained will increase the sensitivity of fluorescence analysis using the immobilized phase (microarray analysis).
Full Text
Сокращения: Cy5-dUTP — флуоресцентно-меченный 2ʹ-дезоксиуридин-5ʹ-трифосфат; Cy5-dCTP — флуоресцентно-меченный 2ʹ-дезоксицитидин-5ʹ-трифосфат; dU — 2ʹ-дезоксиуридин; dC — 2ʹ-дезоксицитидин; дцДНК — двухцепочечная ДНК.
Введение
Дезоксирибонуклеозидтрифосфаты (dNTP), меченные флуоресцентными красителями цианинового ряда Cy5, способны встраиваться в растущую цепь ДНК в процессе полимеразной цепной реакции (ПЦР) с сохранением свойств флуорофора при использовании различных температурных режимов (при повышении температуры сигнал уменьшается, при понижении температуры до исходного значения — вновь возрастает до первоначального значения) [1–3]. Флуоресцентное мечение ДНК в настоящее время широко используется в медицинской диагностике, биологии, биотехнологии.
Эффективность встраивания флуоресцентных меток зависит от используемой ДНК-полимеразы, GC-состава матрицы и структуры флуорофора [4]. Отсутствие 3ʹ-5ʹ-(корректирующей) экзонуклеазной активности в полимеразах (например, Taq) дает преимущество для включения меченых аналогов dNTP в цепь ДНК [4]; структура линкера и метки, заряд флуорофора могут при этом существенно влиять на встраивание нуклеотидов в растущую цепь ДНК с помощью Taq-полимеразы [5].
К настоящему времени изучено влияние структуры встраиваемых фрагментов, состава матрицы и способности ДНК-полимераз воспринимать меченые трифосфаты в качестве субстрата на эффективность реакции [6–8]. Встраивание нуклеотидов в растущую цепь ДНК анализировали также с использованием библиотеки разноименных пар dU и dC с аналогичными заместителями на матрицах с выраженным преобладанием АТ- и GC-состава.
В настоящей работе мы исследовали влияние химической природы меченых пиримидиновых трифосфатов (дезоксиуридин, дезоксицитидин) на субстратную совместимость с Taq-полимеразой на матрицах Staphylococcus aureus (28.9% АТ) и Mycobacterium tuberculosis (68% GC) одинаковой длины (278 п.н.). Для удобства изучения влияния длины линкера и боковых заместителей флуорофора использовали специально созданную библиотеку аналогов dU и dC (всего восемь производных) со сходной структурой флуорофора. Еще две пары (dU и dC) использовали в качестве эталонов сравнения.
Экспериментальная часть
ДНК-матрицы. В работе использовали деконтаминированную геномную ДНК золотистого стафилококка S. aureus и возбудителя туберкулеза человека M. tuberculosis.
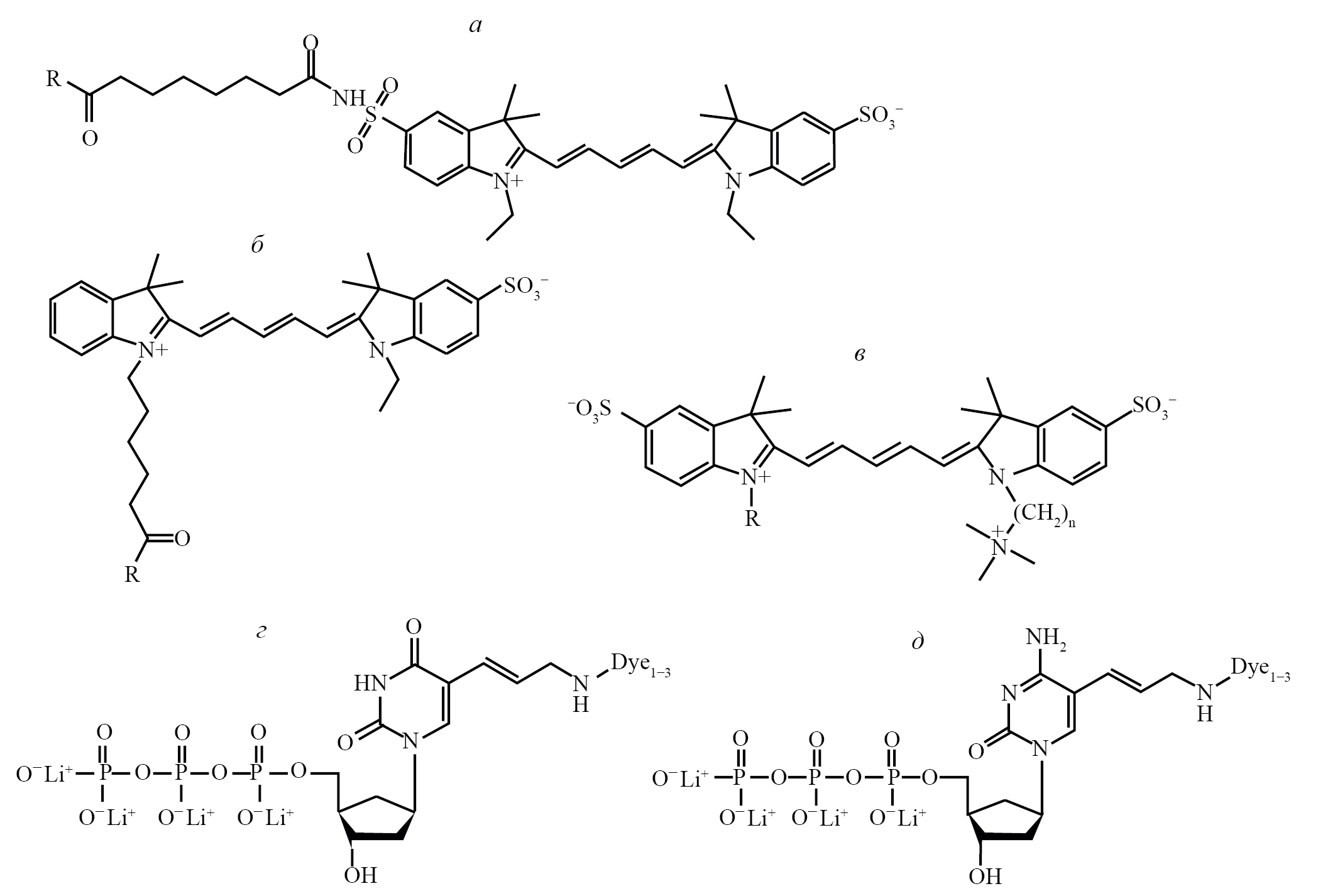
Флуоресцентно-меченные дезоксинуклеозидтрифосфаты. Структурные формулы использованных соединений приведены на рис. 1 (разделены на три группы в зависимости от структуры флуорофоров и линкеров, Dye1–Dye3), химические формулы заместителей представлены в табл. 1.
Рис. 1. Структурные формулы флуоресцентных красителей Dye 1 (а), Dye 2 (б), Dye 3 (в), флуоресцентно-меченные 5-аллиламин-2ʹ-дезоксиуридин-5ʹ-трифосфат (AAdUTP) (г) и 5-аллиламин-2ʹ-дезоксицитидин-5ʹ-трифосфат (AAdCTP) (д).
Таблица 1. Флуоресцентно-меченные дезоксиуридин- и дезоксицитидинтрифосфаты
Cy5—dNTP* | №лаб** | Dye 1 | Dye 2 | Dye 3 |
dUc1 | 49 | AAdUP | — | — |
dCc1 | 129 | AAdCP | — | — |
dUc2 | 2 | — | AAdUP | — |
dCc2 | 128 | — | AAdCP | — |
dUss | 79 | — | — | R = (CH2)5COAAdUTP n = 3 |
dCss | 175 | — | — | R = (CH2)5COAAdCTP n = 3 |
dUsl | 81 | — | — | R = (CH2)5COAAdUTP n = 5 |
dCsl | 176 | — | — | R = (CH2)5COAAdCTP n = 5 |
dUls | 80 | — | — | R = (CH2)5CONH(CH2)5COAAdUTP n = 3 |
dCls | 177 | — | — | R = (CH2)5CONH(CH2)5COAAdCTP n = 3 |
dUll | 82 | — | — | R = (CH2)5CONH(CH2)5COAAdUTP n = 5 |
dCll | 178 | — | — | R = (CH2)5CONH(CH2)5COAAdCTP n = 5 |
*“c1” — Контрольная пара № 1; “c2” — контрольная пара № 2; “s” или “l” в первом положении подстрочного индекса — длина линкера между азотистым основанием и флуорофором, короткий или длинный соответственно; “s” или “l” во втором положении подстрочного индекса — длина линкера между четвертичной аммониевой группой и вторым гетероциклом.
**Внутрилабораторный номер химического соединения (приведен для удобства перекрестных ссылок между публикациями, в которых фигурируют эти соединения).
Примечание. Схемы синтеза красителей и трифосфатов dUc1, dUss, dUsl, dUls, dUll см. в [9]; синтез красителя и трифосфата dUc2 — в [10]; синтез трифосфата dCss — в [11]; трифосфаты dCc1, dCc2, dCsl, dCls и dCll синтезировали аналогично dCss.
Праймеры. ДНК-матрицы для амплификации получали в два этапа: а) с исходной полногеномной матрицы с помощью внешних праймеров нарабатывали продукт с необходимой последовательностью, который после очистки от компонентов реакционной смеси использовали в качестве матрицы для исследования субстратной эффективности; б) анализировали субстратную эффективность с “вложенными” внутренними праймерами с полученным на первом этапе продуктом в качестве матрицы.
Праймеры конструировали с помощью сетевого ресурса www.idtdna.com (Integrated DNA Technologies, США), их специфичность анализировали с помощью алгоритма BLAST (NIH, США).
Последовательности и длины для всех использованных пар праймеров приведены ниже.
Праймеры для получения исходной матрицы из геномной ДНК:
- aureus, прямой Sta-outer-f (5ʹ-AGTTTTCTTGACCATTCACTGTATGTC-3ʹ) — 27 н.,
обратный Sta-outer-r (5ʹ-CATTAGCGATATTTGGAGGCATGGC-3ʹ) — 25 н.
- tuberculosis, прямой Myc-outer-f (5ʹ-GCACCAGCCAGCTGAGCCAATTC-3ʹ) — 23 н.,
обратный Myc-outer-r (5ʹ-ATCGATCGGCGAATTGGCCTGTG-3ʹ) — 23 н.
Праймеры для получения исследуемого участка матрицы для анализа кинетики и встраивания (расчетная длина продукта 278 п.н.):
- aureus, прямой Sta-inner-f (5ʹ-TTGACGTTGTTGTTGCTGTTGTTG A-3ʹ) — 25 н.,
обратный Sta-inner-r (5ʹ-ACAAAAGAAAATAAAATCGCGAATAC-3ʹ) — 26 н.
- tuberculosis, прямой Myc-inner-f (5ʹ-CCCGCTGTCGGGGTTGAC-3ʹ) — 18 н.,
обратный Myc-inner-r (5ʹ-CCTCCTCGTCGGCGGTCA-3ʹ) — 18 н.
ПЦР в режиме реального времени. Реакционная смесь (20 мкл) содержала природные dNTP в концентрации 200 мкМ; различные меченые трифосфаты дезоксинуклеотидов (в зависимости от реакции), в концентрации 16 мкМ; 5 ед./мкл Taq-ДНК-полимеразы (“Thermo Scientific”, США); специфичные праймеры в концентрации 5 пМ/мкл и одну из двух матриц с различным GC-составом. Амплификацию проводили на приборе IQ5 (“Bio-Rad Lab., Inc.”, США) по следующей программе: предварительный нагрев при 95°С в течение 2 мин; затем 32 цикла: 94°С, 10 с; 65°С, 30 с; 72°С, 30 с; завершающая инкубация при 72°С в течение 2 мин. Для визуализации процесса в реакционную смесь добавляли краситель EvaGreen (“Biotium”, США).
Очистка продуктов. ПЦР-продукты очищали на микроколонках от непрореагировавших флуоресцентно-меченных dNTP (для последующих спектофотометических измерений) с помощью набора GeneJET PCR Purification Kit (“Thermo Scientific”) в соответствии с инструкцией производителя.
Горизонтальный электрофорез. Отсутствие побочных продуктов после проведения амплификации контролировали с помощью электрофореза. Разделение проводили в 4%-ном агарозном геле Agarose LE (“Helicon”, Россия), для окрашивания использовали бромистый этидий. Результат визуализировали на гель-документирующей системе GenoSens Touch 2100/2200 (“Clinx Science Instruments”, Китай).
Спектрофотометрия. Измерения проводили на длинах волн 260 и 647 нм на спектрофотометре NanoPhotometer NP80 (“Implen GmbH”, Германия).
Введенные определения: плотность встраивания — количество флуоресцентно-модифицированных нуклеотидов на одну двухцепочечную молекулу ПЦР-продукта (этот показатель зависит от GC-состава матрицы);
удельная плотность встраивания — отношение количества модифицированных нуклеотидов к общему количеству одноименных нуклеотидов в ДНК-цепи двухцепочечного ПЦР-продукта, в процентах (этот показатель учитывает количество потенциальных “посадочных мест”, т.е. одноименных нуклеотидов в цепи ДНК для встраивания флуоресцентно-модифицированного нуклеотида); коэффициент встраивания — отношение поглощения образца флуоресцентно-меченной ДНК (очищенный ПЦР-продукт) при длине волны 647 нм (флуорофор) к поглощению при длине волны 260 нм (ДНК). При измерениях исходили из предположения, что плотность встраивания меток в растущую цепь ДНК-продукта при выбранных условиях амплификации не приводит к тушению сигнала, вызванному переносом энергии между соседними флуоресцентно-меченными нуклеотидами в цепи ДНК.
Результаты и обсуждение
В настоящей работе изучено субстратное поведение, а именно, ингибирование и эффективность встраивания в растущую цепь ДНК в ходе ПЦР шести разноименных пар цвиттер-ионных электронейтральных дезоксинуклеозидтрифосфатов (dU и dC) с аналогичными модификациями на двух ДНК-матрицах с выраженно различным GC-составом. Реакцию проводили при неполном замещении природных трифосфатов флуоресцентно-меченными аналогами в соответствии с найденным ранее усредненным оптимумом концентрации (различается у разных производных) [8]. Модификации, введенные в гетероциклические основания, отличались длиной линкеров и структурой флуорофора. Также для сравнения были взяты две контрольные пары, отличающиеся структурой своих Cy5-флуорофоров от исследуемых четырех пар. Эти пары являются лабораторными эталонами, так как используются в качестве основных реагентов для введения метки в ДНК в технологии биологических микрочипов [9].
В работе использовали метод ПЦР в режиме реального времени с окрашиванием EvaGreen для исключения получения сигналов от введенных флуоресцентных Cy5-меток. Усредненные кривые накопления сигнала флуоресценции от обеих матриц выглядят следующим образом (рис. 2). По полученным кривым накопления сигнала амплификации была определена эффективность амплификации Е [12, 13] (см. табл. 2).
Рис. 2. Скорость накопления продукта ПЦР на АТ-богатой матрице S. aureus (а) и GC-богатой матрице M. tuberculosis (б) на примере dUss и dCss. Контроль — образец без модифицированных дезоксирибонуклеозидтрифосфатов.
Таблица 2. Эффективность амплификации Е*, коэффициент встраивания Ki**, выход продукта и плотность встраивания на матрицах S. aureus и M. tuberculosis шести пар производных дезоксирибонуклеозидтрифосфатов
Cy5-dNTP | Staphylococcus aureus | Mycobacterium tuberculosis | ||||||||||
Е* | Ki** | выход продукта, пмоль | плотность встраивания | удельная плотность встраивания***, % | dU/dC**** | Е* | Ki** | выход продукта, пмоль | плотность встраивания | удельная плотность встраивания***, % | dC/dU**** | |
Контроль***** | 1.83 | — | — | — | — | — | 1.86 | — | — | — | — | — |
dUc1 | 1.43 | 0.47 | 1.36 | 0.42 | 1.05 | 1.59 | 1.75 | 0.15 | 1.50 | 0.27 | 0.61 | 2.16 |
dCc1 | 1.63 | 0.30 | 1.69 | 0.27 | 0.28 | 1.78 | 0.33 | 1.64 | 0.37 | 0.39 | ||
dUc2 | 1.57 | 0.52 | 1.99 | 0.44 | 1.09 | 1.62 | 1.76 | 0.10 | 0.95 | 0.23 | 0.51 | 2.47 |
dCc2 | 1.75 | 0.32 | 1.53 | 0.32 | 0.33 | 1.76 | 0.25 | 1.09 | 0.35 | 0.37 | ||
dUss | 1.72 | 0.18 | 2.10 | 0.19 | 0.48 | 1.73 | 1.75 | 0.18 | 1.04 | 0.21 | 0.47 | 0.91 |
dCss | 1.77 | 0.10 | 1.42 | 0.29 | 0.29 | 1.77 | 0.16 | 1.20 | 0.25 | 0.26 | ||
dUsl | 1.78 | 0.13 | 3.22 | 0.16 | 0.40 | 1.63 | 1.78 | 0.25 | 1.01 | 0.35 | 0.79 | 1.12 |
dCsl | 1.72 | 0.08 | 2.53 | 0.14 | 0.14 | 1.80 | 0.28 | 1.14 | 0.31 | 0.33 | ||
dUls | 1.66 | 0.47 | 2.86 | 0.50 | 1.23 | 2.33 | 1.80 | 0.20 | 0.93 | 0.41 | 0.93 | 1.21 |
dCls | 1.72 | 0.20 | 2.40 | 0.18 | 0.18 | 1.74 | 0.25 | 1.01 | 0.38 | 0.40 | ||
dUll | 1.75 | 0.34 | 3.62 | 0.34 | 0.84 | 4.08 | 1.74 | 0.27 | 1.17 | 0.28 | 0.63 | 1.10 |
dCll | 1.77 | 0.08 | 3.19 | 0.09 | 0.10 | 1.69 | 0.30 | 1.06 | 0.38 | 0.41 | ||
*Эффективность амплификации Е рассчитывали по формуле Е = 10tgα [8].
**Коэффициент встраивания Ki рассчитывали как отношение оптической плотности при λ = 647 нм на ее значение при λ = 260 нм.
***Удельную плотность встраивания рассчитывали по формуле , где ν — молярный выход (пмоль), 278 — длина продукта, X — количество одноименных нуклеотидов.
****dU/dC и dC/dC рассчитывали, как отношение значения коэффициента встраивания аналога уридина на значение для аналога цитидина в паре на АТ-богатой матрице и аналогично на GC-богатой матрице.
*****Aмплификацию контрольного образца проводили без использования модифицированных дезоксирибонуклеозидтрифосфатов.
Примечание. Определение плотности встраивания и удельной плотности встраивания см. в подразделе Введенные определения раздела “Экспериментальная часть”.
По кривым накопления сигнала в процессе ПЦР видно, что на обеих матрицах значения эффективности амплификации аналогов цитидина превосходят значения для аналогов уридина. На АТ-богатой матрице можно увидеть значительно большую разницу скорости накопления сигнала.
Продукты амплификации очищали с помощью микроколонок, чтобы удалить из смеси невстроившиеся в цепь ДНК флуоресцентно-меченные нуклеотиды и избежать их влияния на суммарное поглощение при последующих спектрофотометрических измерениях для расчета эффективности встраивания. С помощью электрофоретического анализа очищенные продукты ПЦР проверяли на отсутствие побочных продуктов амплификации и сравнивали длину ПЦР-продукта с его теоретической (расчетной) длиной. Затем определяли спектрофотометрическим методом эффективность встраивания метки в полученном очищенном продукте путем измерений поглощения раствора ПЦР-продукта на длинах волн 260 и 647 нм (для общего поглощения ДНК и флуорофора соответственно) и рассчитывали значения коэффициента встраивания, плотности встраивания и удельной плотности встраивания. Амплификацию с последующей очисткой продукта и измерениями оптической плотности проводили в трех повторностях для каждого флуоресцентно-меченного дезоксинуклеозидтрифосфата.
Коэффициент встраивания Ki ввели в качестве быстрого способа оценки субстратной эффективности флуоресцентно-меченных дезоксинуклеозидтрифосфатов и рассчитывали его как простое отношение оптической плотности при длине волны 647 нм к значению оптической плотности при длине волны 260 нм для каждого образца. Плотность встраивания рассчитывали как отношение молярного количества метки к молярному выходу ДНК-продукта. Удельную плотность встраивания рассчитывали как отношение молярного количества метки в образце к молярному количеству одноименных нуклеотидов в полученном ПЦР-продукте.
Полученные в ходе экспериментов средние значения, вычисленные по трем повторностям, приведены в табл. 2.
Из табл. 2 видно, что на обеих матрицах практически во всех случаях эффективность амплификации (E) в присутствии модифицированного цитидина больше, чем в присутствии уридина. Но в то же время заметно, что разница полученных значений невелика в пределах каждой пары; на основании этого можно сделать вывод, что эффективность амплификации слабо зависит от природы введенного в реакцию флуоресцентно-меченного азотистого основания (dU и dC). Возможно, это связано с неполным замещением природных трифосфатов в реакционной смеси (16 мкМ меченого и 200 мкМ природного).
Коэффициенты встраивания Ki, в отличие от эффективности амплификации Е, различаются сильнее, они больше для dU. Можно увидеть большую разницу при сравнении разных оснований в одной паре. На GC-богатой матрице флуоресцентно-меченные цитидины имеют больше возможности для встраивания в цепь из-за нуклеотидного состава матрицы, т.е. большего количества потенциальных “посадочных мест”. Однако большая эффективность встраивания дезоксиуридинов приводит к тому, что на GC-богатой матрице значения коэффициентов встраивания становятся близкими для dU и dC. Важно отметить, что Ki следует использовать для сравнения эффективности встраивания одноименных нуклеотидов, так как эти коэффициенты зависят от GC-состава матрицы.
Однако для быстрой оценки эффективности встраивания на “полярных” по GC-составу матрицах весьма полезным оказывается сравнение отношения dU/dC (в случае АТ-богатой матрицы) и dC/dU (для GC-богатой матрицы). Видно, что на АТ-богатой матрице эффективность встраивания аналогов уридина намного выше, чем у аналогов цитидина, при этом на GC-богатой матрице превосходство значений отношения коэффициентов встраивания dC/dU нивелируется большей эффективностью встраивания уридинов.
Показатель удельной плотности встраивания подходит для сравнения субстратных свойств модифицированных dU и dC, так как учитывает количество одноименных нуклеотидов в целевой ДНК и позволяет заключить, что флуоресцентно-меченные производные уридина лучше встраиваются в цепь ДНК, поскольку в большинстве пар их значения больше, чем у аналогов цитидина.
При анализе коэффициента встраивания можно увидеть влияние на него структуры трифосфатов и состава матрицы. Бóльшие значения получены на матрице S. aureus для контрольных образцов dUc1 и dUc2, которые в настоящее время используются нами в качестве основных меток при проведении анализа на микрочипах. Можно отметить, что в исследуемых четырех парах лучшее встраивание в цепь наблюдается на обеих матрицах образцов с длинным линкером между флуорофором и азотистым основанием.
В случае АТ-богатой матрицы значения коэффициента встраивания в парах значительно больше, чем у аналогов уридина. На GC-богатой матрице видно преимущество встраиваемых цитидинов по значениям эффективности, а также, в большинстве случаев, по значениям коэффициентов встраивания, но разница в значениях невелика.
На основании полученных данных можно сделать заключение, что производные уридина являются лучшими субстратами для матриц различного GC-состава благодаря существенно большей, по сравнению с цитидинами, эффективности встраивания. Длина линкера между флуорофором и азотистым основанием увеличивает эффективность встраивания обоих дезоксинуклеозидов. Большая плотность встраивания сопровождается большим ингибированием реакции, что, судя по всему, свидетельствует о вовлечении модифицированного субстрата в комплекс с полимеразой с некоторыми осложнениями и, как следствие, с замедлением кинетики амплификации. Напротив, меньшее вовлечение в реакцию в качестве субстрата приводит к меньшему ингибированию реакции такими производными.
Заключение
Нами изучено субстратное поведение разноименных пар флуоресцентно-меченных нуклеотидов с аналогичными электронейтральными заместителями на матрицах различного GC-состава в ходе ПЦР. По значениям введенного нами коэффициента встраивания можно заключить, что структуры с длинным линкером R лучше встраиваются в цепь ДНК. При рассмотрении встраивания в парах dU и dC отмечено лучшее встраивание дезоксиуридинов. При сравнении состава матриц просматриваются большие значения коэффициента встраивания в случае АТ-богатой матрицы у контрольных образцов. Влияние структуры заместителя, вида нуклеотида в паре и состава матрицы на кинетику реакции (значения эффективности амплификации Е) было незначительным. По результатам исследования можно заключить, что производные уридина лучше встраиваются в растущую цепь ДНК на обоих типах матриц, чем производные цитидина, но эту разницу на GC-богатой матрице нивелирует существенно больший процент GC.
Исследование поддержано грантом Российского научного фонда (№ 22-14-00257).
Настоящая статья не содержит описания каких-либо исследований с участием людей или животных в качестве объектов.
Авторы заявляют об отсутствии конфликта интересов.
About the authors
P. M. Monakova
Engelhardt Institute of Molecular Biology, Russian Academy of Sciences
Author for correspondence.
Email: polina.monakova02@gmail.com
Russian Federation, Moscow
V. E. Shershov
Engelhardt Institute of Molecular Biology, Russian Academy of Sciences
Email: polina.monakova02@gmail.com
Russian Federation, Moscow
V. E. Kuznetsova
Engelhardt Institute of Molecular Biology, Russian Academy of Sciences
Email: polina.monakova02@gmail.com
Russian Federation, Moscow
A. V. Chudinov
Engelhardt Institute of Molecular Biology, Russian Academy of Sciences
Email: polina.monakova02@gmail.com
Russian Federation, Moscow
S. A. Lapa
Engelhardt Institute of Molecular Biology, Russian Academy of Sciences
Email: polina.monakova02@gmail.com
Russian Federation, Moscow
References
- Salic A., Mitchison T.J. (2008) A chemical method for fast and sensitive detection of DNA synthesis in vivo. Proc. Natl. Acad. Sci. USA. 105, 2415–2420.
- Smith C.I.E., Zain R. (2019) Therapeutic oligonucleotides: state of the art. Annu. Rev. Pharmacol. Toxicol. 59, 605–630.
- Yu H., Chao J., Patek D., Mujumdar R., Mujumdar S., Waggoner A.S. (1994) Cyanine dye dUTP analogs for enzymatic labeling of DNA probes. Nucl. Acids Res. 22, 3226–3232.
- Lapa S.A., Chudinov A.V., Timofeev E.N. (2016) The toolbox for modified aptamers. Mol. Biotechnol. 58, 79–92.
- Шершов В.Е., Кузнецова В.Е., Лысов Ю.П., Гусейнов Т.О., Барский В.Е., Спицын М.А., Заседателева О.А., Василисков В.А., Суржиков С.А., Заседателев А.С., Чудинов А.В. (2015) Влияние заряда хромофора на эффективность включения флуоресцентно-меченных нуклеотидов при матричном синтезе ДНК Taq-полимеразой. Биофизика. 60, 1216–1218.
- Лапа С.А., Гусейнов Т.О., Павлов А.С., Шершов В.Е., Кузнецова В.Е., Заседателев А.С., Чудинов А.В. (2020) Одновременное применение Cу5-модифицированных производных дезоксиуридина и дезоксицитидина в ПЦР. Биоорган. химия. 46, 418–424.
- Лисица Т.С., Шершов В.Е., Спицын М.А., Гусейнов Т.О., Иконникова А.Ю., Фесенко Д.О., Лапа С.А., Заседателев А.С., Чудинов А.В., Наседкина Т.В. (2017) Кинетика флуоресцентного маркирования ДНК с помощью полимеразной цепной реакции в зависимости от химического строения модифицированных нуклеотидов при использовании различных Taq-полимераз. Биофизика. 62, 49–56.
- Лапа С.А., Волкова О.С., Спицын М.А., Шершов В.Е., Кузнецова В.Е., Гусейнов Т.О., Заседателев А.С., Чудинов А.В. (2019) Эффективность амплификации и субстратные свойства флуоресцентно-меченных трифосфатов дезоксиуридина в ПЦР с ДНК-полимеразами, не обладающими 3ʹ-5ʹ-экзонуклеазной активностью. Биоорган. химия. 45, 392–402.
- Spitsyn M.A., Kuznetsova V.E., Shershov V.E., Emelyanova М.А., Guseinov T.O., Lapa S.A., Nasedkina T.V., Zasedatelev A.S., Chudinov A.V. (2017) Synthetic route to novel zwitterionic pentamethine indocyanine fluorophores with various substitutions. Dyes Pigments. 147, 199–210.
- Zasedateleva O.A., Vasiliskov V.A., Surzhikov S.A., Kuznetsova V.E., Shershov V.E., Guseinov T.O., Smirnov I.P., Yurasov R.A., Spitsyn M.A., Chudinov A.V. (2018) dUTPs conjugated with zwitterionic Cy3 or Cy5 fluorophore analogues are effective substrates for DNA amplification and labelling by Taq polymerase. Nucl. Acids Res. 46, e73.
- Шершов В.Е., Лапа С.А., Левашова А.И., Шишкин И.Ю., Штылев Г.Ф., Шекалова Е.Ю., Василисков В.А., Заседателев А.С., Кузнецова В.Е., Чудинов А.В. (2023) Синтез флуоресцентно-меченных нуклеотидов для маркирования продуктов изотермической амплификации. Биоорган. химия. 49, 649–656.
- Ramakers C., Ruijter J.M., Deprez R.H., Moorman A.F. (2003) Assumption-free analysis of quantitative real-time polymerase chain reaction (PCR) data. Neurosci. Lett. 339, 62–66.
- Peirson S.N., Butler J.N., Foster R.G. (2003) Experimental validation of novel and conventional approaches to quantitative real-time PCR data analysis. Nucl. Acids Res. 31, e73.
Supplementary files



