Omics study of ovarian malignancies: from urine metabolomic profile to minimally invasive microrna markers
- Авторлар: Kutilin D.S.1, Guskova O.N.1, Filippov F.E.1, Maksimov A.Y.1
-
Мекемелер:
- National Medical Research Center of Oncology, Ministry of Health of the Russian Federation
- Шығарылым: Том 59, № 1 (2025)
- Беттер: 80-116
- Бөлім: ГЕНОМИКА. ТРАНСКРИПТОМИКА
- URL: https://ogarev-online.ru/0026-8984/article/view/294710
- DOI: https://doi.org/10.31857/S0026898425010067
- EDN: https://elibrary.ru/HDBYUG
- ID: 294710
Дәйексөз келтіру
Толық мәтін
Аннотация
One of the current trends in oncogynecology is the search for effective biomarkers of ovarian cancer. Metabolic profiling by ultra-high performance liquid chromatography and mass spectrometry allows obtaining information about the totality of all low molecular weight metabolites of patient's biological fluids sample. These metabolites can become potential disease markers, while their combination with microRNA level data significantly increases the diagnostic value. Therefore, the aim of the study was to analyze the metabolomic profile and microRNA transcripts level in urine of serous ovarian adenocarcinoma patients to identify potential non-invasive diagnostic markers of the disease. The study included 60 patients diagnosed with serous ovarian adenocarcinoma and 20 individuals without cancer history. Chromatographic separation of metabolites was performed on a Vanquish Flex UHPLC System chromatograph coupled to an Orbitrap Exploris 480 mass spectrometer. The search for gene regulators of metabolites and microRNA regulators of genes was carried out using the Random forest machine learning method. The microRNA transcripts level in urine was determined by real-time PCR. LASSO-penalized logistic regression was used to build predictive models. In patients with ovarian cancer, 26 compounds had an abnormal concentration compared to the control group (kynurenine, phenylalanyl-valine, lysophosphatidylcholines 18:3, 18:2, 20:4 and 14:0, alanyl-leucine, L-phenylalanine, phosphatidylinositol (34:1), 5-methoxytryptophan, 2-hydroxymyristic acid, 3-oxocholic acid, indoleacrylic acid, lysophosphatidylserine (20:4), L-beta-aspartyl-L-phenylalanine, myristic acid, decanoylcarnitine, aspartyl-glycine, malonylcarnitine, 3-hydroxybutyrylcarnitine, 3-methylxanthine, 2,6 dimethylheptanoylcarnitine, 3-oxododecanoic acid, N-acetylproline, L-octanoylcarnitine and capryloylglycine). Using the Random forest method, metabolite-gene regulator (47 genes) and metabolite-microRNA regulator (613 unique microRNA) relationships were established. The identified 85 microRNAs were validated by real-time PCR. Changes in the levels of miR-382-5p, miR-593-3p, miR-29a-5p, miR-2110, miR-30c-5p, miR-181a-5p, let-7b-5p, miR-27a-3p transcripts were detected. miR-370-3p, miR-6529-5p, miR-653-5p, miR-4742-5p, miR-2467-3p, miR-1909-5p, miR-6743-5p, miR-875-3p, miR- 19a-3p, miR-208a-5p, miR-330-5p, miR-1207-5p, miR-4668-3p, miR-3193, miR-23a-3p, miR-12132, miR-765, miR-181b- 5p, miR-4529-3p, miR-33b-5p, miR-17-5p, miR-6866-3p, miR-4753-5p, miR-103a-3p, miR-423-5p, miR-491-5p, miR-196b-5p, miR-6843-3p, miR-423-5p and miR-3184-5p in the urine of patients with ovarian cancer relative to the control group was found. Thus, in ovarian serous adenocarcinoma patients a significant metabolomic imbalance of urine was found associated with changes in the levels of microRNAs that regulate the signaling pathways of these metabolites. At the same time, 26 compounds with abnormal concentration and levels of microRNA transcripts miR-33b-5p, miR-423-5p, miR-6843-3p, miR-4668-3p, miR-30c-5p, miR-6743-5p, miR-4742-5p, miR-1207-5p and miR-17-5p in urine can serve as non-invasive diagnostic markers for ovarian cancer.
Толық мәтін
Сокращения: РЯ — рак яичников; УВЭЖХ-МС — ультравысокоэффективная жидкостная хроматография и масс-спектрометрия; ПЦР-РВ — полимеразная цепная реакция в режиме реального времени.
Введение
Рак яичников (РЯ) занимает одну из ведущих позиций по показателям заболеваемости и смертности в мире и Российской Федерации среди гинекологических злокачественных новообразований [1, 2]. РЯ включает множество подтипов опухолей, каждый из которых имеет свои биологические и клинические характеристики. Согласно классификации ВОЗ, выделяют серозную карциному, эндометриоидную карциному, муцинозную карциному, светлоклеточную карциному, злокачественную опухоль Бреннера, серозно-муцинозную карциному, недифференцированную карциному и смешанную эпителиальную карциному [3, 4].
В большинстве случаев РЯ имеет спорадический характер. В качестве факторов риска данной патологии рассматриваются отсутствие беременности, курение, избыточный вес, частое использование препаратов от бесплодия [5]. РЯ обычно выявляется поздно, а общая пятилетняя выживаемость составляет всего 30–40%. Раннее обнаружение РЯ считается наиболее важным фактором повышения выживаемости. Основными методами диагностики РЯ на сегодняшний день остаются CA125 и HE4 в крови и трансвагинальное ультразвуковое исследование. Однако чувствительность и специфичность этих методов недостаточны для выявления заболевания на ранней стадии [6], поэтому необходимы новые, в том числе молекулярно-биологические подходы, позволяющие улучшить диагностику РЯ. Применение омиксных технологий — геномных, протеомных, метаболомных, открыло новые возможности разработки неивазивных методов ранней диагностики и мониторинга онкологических заболеваний. Достижения в метаболомных подходах с использованием жидкостной или газовой хроматографии в сочетании с масс-спектрометрией (МС) высокого разрешения открывают захватывающие перспективы одновременного обнаружения и идентификации биомаркеров в биологических образцах. Основным преимуществом МС является ее чувствительность — возможность обнаружения аналитов в фемтомолярном (10–15) и аттомолярном (10–18) диапазонах [7].
Помочь в идентификации биомаркеров, которые можно использовать на ранних этапах диагностики и лечения РЯ, может метаболомика, что делает актуальным поиск высокоспецифичных прогностических метаболомных маркеров. При этом комбинация метаболомных и транскриптомных данных (таких, например, как уровень микроРНК) значительно повышает значимость маркеров для своевременной диагностики и мониторинга РЯ [8]. В представленной работе с целью выявления потенциальных неинвазивных диагностических маркеров РЯ изучен транскриптомный и метаболомный профиль мочи больных серозной аденокарциномой яичников.
Экспериментальная часть
В проспективное исследование были включены 60 пациенток с диагнозом РЯ (серозная аденокарцинома). Контрольную группу составили 20 женщин без онкопатологии в анамнезе (без каких-либо известных патологий на момент получения образцов). В качестве объектов исследования использовали образцы мочи. Перед проведением исследования от пациентов получено информированное согласие на научное использование образцов мочи. Образцы мочи получали до начала лечения. Известно, что диета существенно влияет на метаболомный профиль мочи, поэтому был разработан соответствующий протокол стандартизации. Участники исследования в течение 2 дней получали стандартизированное трехразовое питание (булочки, овсяная каша, яйца и др.), объем и употребляемые напитки также были стандартизированы. Кроме того, участники заполняли четырехдневный журнал приема пищи, в котором записывали все потребляемые продукты и напитки (в последующем проводили анализ и сравнивали с выбросами данных в метаболоме). Пациенток и условно здоровых женщин проинструктировали избегать ночных мочеиспусканий, напряженных физических упражнений накануне сбора мочи, а также других необычных занятий за 2 дня до исследования. Накануне эксперимента участники прекращали прием пищи в 19:00. Утром (7:00) натощак производили сбор мочи (средняя порция) в стерильные контейнеры одного и того же производителя и партии/серии (чтобы избежать различий между пробами из-за химических веществ, выделяющихся из контейнеров).
Клинические характеристики пациенток представлены в табл. 1.
Таблица 1. Клинические характеристики пациенток, взятых в исследование
Классификация по системе TNM | Классификация по системе FIGO* | Низкая степень злокачественности, n = 30 | Высокая степнь злокачественности, n = 30 | ||
абс. ч. | % | абс. ч. | ٪ | ||
T1а | IA | 2 | 6.7 | 1 | 3.3 |
T1b | IВ | 1 | 3.3 | 2 | 6.7 |
T1с | IC | 1 | 3.3 | 2 | 6.7 |
Всего первой стадии | 4 | 13.3 | 5 | 16.7 | |
T2а | IIA | 2 | 6.7 | — | — |
T2b | IIB | 1 | 3.3 | 3 | 10.0 |
Всего второй стадии | 3 | 10.0 | 3 | 10.0 | |
T3а | IIIA2 | 6 | 20.0 | 4 | 13.3 |
T3b | IIIB | 4 | 13.3 | 2 | 6.7 |
T3с | IIIC | 13 | 43.4 | 16 | 53.3 |
Всего третьей стадии | 23 | 76.7 | 22 | 73.3 | |
*FIGO — Международная федерация гинекологии и акушерства (Fédération Internationale de Gynécologie et d'Obstétrique).
Дизайн исследования представлен на рис. 1.
Рис. 1. Дизайн проспективного исследования маркеров рака яичников. *Ультравысокоэффективная жидкостная хроматография и масс-спектрометрия.
Средний возраст пациенток с РЯ составил 52.8 года (медиана 53 года), средний возраст женщин контрольной группы — 48.6 лет (медиана 50 лет). Средние показатели (и медиана) возраста женщин в обеих группах не имели статистически значимых различий. Распределение пациенток и женщин контрольной группы по возрасту представлено на рис. 2.
Рис. 2. Распределение пациенток с раком яичников и условно здоровых женщин по возрасту.
Анализ метаболитов биологических жидкостей методом УВЭЖХ-МС. Для анализа собирали первую утреннюю мочу (средняя порция). Не позднее, чем через 15 мин после забора, мочу центрифугировали при комнатной температуре в течение 10 мин при 1600 g. Далее центрифугировали в течение 10 мин при 16000 g и 4°C. Затем 3 мл полученного образца разделяли на три аликвоты по 1 мл и помещали в пластиковые криопробирки. Образцы хранили при температуре –80°С. Используемые для анализа пробы замораживали/размораживали не более 1 раза. Пробы аннотировали, указав стадию заболевания, возраст больного и т.д.
Для осаждения белков 300 мкл мочи смешивали с 600 мкл ацетонитрила LC-MS (“Merck”, Германия) /метанола LC-MS (“Merck”) в соотношении 3/1, перемешивали (15 мин) с использованием вортекса и инкубировали в течение 12 ч при –20°С. Белки осаждали центрифугированием (16000 g, 4°C, 15 мин). Супернатант переносили в чистые пластиковые пробирки. Растворитель упаривали при 45°С в течение 3 ч на вакуумном испарителе SpeedVac (“Eppendorf”). Полученный сухой осадок растворяли в 100 мкл 95%-ого раствора ацетонитрила LC-MS (“Merck”) с добавлением 0.1% муравьиной кислоты (“Merck”). Для лучшего растворения осадка пробы обрабатывали ультразвуком в ультразвуковой ванне Elmasonic P 120 H (“ELMA”, Германия) 2 раза по 1 мин. Далее пробы центрифугировали в течение 10 мин при 16000 g, супернатант использовали для хромато-масс-спектрометрического анализа.
Разделение метаболитов проводили на хроматографе Vanquish Flex UHPLC System (“Thermo Fisher Scientific”, США), сопряженном с масс-спектрометром Orbitrap Exploris 480 (“Thermo Fisher Scientific”), имеющем электроспрейный источник ионизации. Пробу метаболитов в объеме 2 мкл разделяли на колонке Hypersil GOLD™ C18 (1.9 мкм, 150 × 2.1 мм), элюенты: А — 0.1%-ная муравьиная кислота LC-MS (“Merck”), Б — ацетонитрил LC-MS (“Merck”), содержащий 0.1% муравьиной кислоты (“Merck”). Использовали следующий градиент элюции: 1 мин — 5% элюента Б; 15 мин — линейный градиент элюента Б — 5–95%; 2 мин — 95% элюента Б; 0.5 мин — смена элюирующего состава до 5% элюента Б; 3 мин — 5% элюента Б. Поток элюентов 200 мкл/мин.
Масс-спектрометр был настроен на приоритетную детекцию ионов в диапазоне значений m/z (масса/заряд) от 67 до 1000 Да при разрешающей способности 60000. Спектры снимали в режиме детекции положительно заряженных ионов. Время снятия одного спектра 20 мин. Дополнительные МС-настройки были следующими: напряжение ионного распыления (ion spray voltage) − 3.5 кВ; температура капилляра (capillary temperature) 320°C; температура нагревателя пробы (probe heater temperature) 300°C; защитный газ (sheath gas) 35; вспомогательный газ (auxiliary gas) 10 и радиочастотная S-линза (S-lens RF) 50.
Устанавливали соответствие подлежащих идентификации МС-пиков конкретным метаболитам из базы данных Human Metabolome Database (http://www.hmdb.ca) и/или Metlin (Scripps Center for Mass Spectrometry, США; http://metlin.scripps.edu). Для этого использовали точно измеренную массу химического соединения. Прибор был откалиброван с использованием Pierce FlexMix Calibration Solution по протоколу производителя (https://assets.thermofisher.com/TFS-Assets/CMD/manuals/man-80000-97026-orbitrap-tribrid-series-start-man8000097026-en.pdf). Дополнительно использовали калибровку масс-спектра по внутреннему стандарту EASY-IC Флуорантен для достижения постоянной точности массы менее 1 млн–1 (ppm) (работает до величины m/z 1500) при проведении каждого сканирования.
Перед анализом МС-данных необходимо проведение контроля качества интенсивностей пиков выявленных молекул для уменьшения вариаций и экстремальных статистических выбросов. Контроль качества в метаболомике подразумевает оценку пиков метаболитов и их относительных уровней с ожидаемыми значениями с учетом фона (шума). Для контроля качества использовали дополнительные аликвоты образца (на один образец приходились три аликвоты), стандартные растворы (L-кинуренин, “Enzo Lifescience”), миристиновая кислота (“HPCStandards”, Германия), лизофосфатидилхолин и L-фенилаланин (“Clearsynth”, Канада)) и холостую пробу (ацетонитрил LC-MS с 0.1%-ной муравьиной кислотой). Контроль качества осуществляли по нескольким параметрам: стабильность времени удерживания (максимально допустимое изменение этого параметра внутри партии установлено на уровне <1.5%), анализировали площади пиков стандартов и технических повторов (внутрисерийная вариация площади пика не должена превышать 10%, вариация между партиями не более 15%). Использование трех аликвот каждого образца позволило получить представление о технической изменчивости каждого метаболита. Контроль качества позволил включить в анализ только образцы, где отсутствуют пики с низким отношением сигнал/шум.
Биоинформатический анализ проводили с использованием программного обеспечения Compound Discoverer Software (“Thermo Fisher Scientific”). Программное обеспечение Compound Discoverer (“Thermo Fisher Scientific”) обеспечивает легкую интерпретацию результатов с помощью нескольких мощных визуализаций, включая диаграммы распределения по log2-кратному изменению (log2fold change) и значению p (p-value), и анализ биохимических путей с применением KEGG PATHWAY Database.
Оценка экспрессии микроРНК. Образцы мочи (300 мкл) смешивали с 900 мкл реагента QIAzol (“QIAGEN”, США). Выделение и очистку фракции суммарной РНК проводили с помощью набора RNeasy Plus Universal Kits (“QIAGEN”) согласно протоколу производителя. При необходимости препараты готовой РНК обрабатывали ДНКазой I для устранения следов геномной ДНК согласно протоколу производителя фермента. В конечный препарат суммарной РНК добавляли РНКазин до конечной концентрации 1 ед.акт/мкл. Для длительного хранения, препарат РНК переосаждали 80%-ным этиловым спиртом, помещали в криобоксы и хранили при –80°С.
Зрелые микроРНК и малую РНК U6 выявляли с использованием метода, предложенного Balcells I. и соавт. [9]. Выделенную суммарную РНК использовали в реакции обратной транскрипции, которую проводили одновременно с полиаденилированием РНК, с использованием специфичных RT-праймеров. Полученную кДНК детектировали методом ПЦР в реальном времени (ПЦР-РВ).
Специфичные олигонуклеотидные праймеры подбирали с использованием алгоритма [9]. К каждой микроРНК подбирали несколько комплектов олигонуклеотидов, из которых выбирали те, которые характеризовались наиболее высокой эффективностью обратной транскрипции и ПЦР. Эффективность обратной транскрипции оценивали по значениям пороговых циклов (Ct), полученных при анализе синтетических аналогов микроРНК и мРНК (“Биосан”, Россия), взятых в известной концентрации. Эффективность амплификации (E) для каждой системы оценивали с помощью калибровочной кривой, используя для анализа разведения соответствующих РНК, выделенных из клинических проб согласно описанному выше протоколу (E = 2.0). Стабильность экспрессии для подбора референсных генов оценивали с помощью алгоритма geNorm [10]. Первоначальный список предлагаемых нормализаторов включал: miR-191 (экспрессия этой микроРНК была наиболее стабильной в 13 сравниваемых тканях [11]); miR-23a (в качестве нормализатора, подходящего для анализа образцов шейки матки [12], и U6 (традиционно используется в качестве отдельного эталона для нормализации данных экспрессии микроРНК). С помощью алгоритма geNorm для нормализации данных экспрессии микроРНК выбрана U6.
Для каждой микроРНК отдельно проводили реакцию обратной транскрипции в одном повторе, использовали реакционную смесь, содержащую 1× поли(А)-буфер (“BioLabs”), 10 U/мкл обратной транскриптазы ММLV (“Синтол”, Россия), 0.1 мМ dNTP (“Синтол”), 0.1 мМ АТP (“BioLabs”), 1 мкM RT-праймера, 0.5 U/мкл поли(A)-полимеразы (“BioLabs”) и 1 мкг суммарной РНК. Реакцию проводили в следующем режиме: 15 мин при 16°С, 15 мин при 42°С, затем обратную транскриптазу инактивировали в течение 2 мин при 95°С.
Изменение относительной экспрессии микроРНК оценивали методом ПЦР-РВ. Амплификацию проводили в 20 мкл ПЦР-смеси, содержащей 1× ПЦР-буфер, 0.25 мМ dNTP, 2 мM MgCl2, 1 ед.акт. Taq-ДНК-полимеразы, по 500 нM прямого и обратного праймеров. Реакцию ПЦР в режиме реального времени каждого образца проводили в трех повторах. Полученные смеси инкубировали в амплификаторе CFX 96 (“Bio-Rad Lab”, США) по следующей программе: 2 мин 94°С, денатурация — 95°С 10 с, отжиг и элонгация — 64°С 20 с. Результаты, соответствующие Ct > 40, считали отрицательными.
Относительную экспрессию (RЕ) рассчитывали по формуле RЕ = 2–ΔΔCt. Нормализацию результатов проводили по референсному локусу и уровню экспрессии соответствующих микроРНК-мишеней в образцах контрольной группы, последовательно по схеме, приведенной ниже:
- Нормализация по референсному локусу: ΔC(t) = C(t)target — C(t)reference, где C(t)reference — C(t) референсного локуса.
- Расчет E–ΔC(t) по каждой микроРНК каждого пациента контрольной и основной группы.
- Расчет медианы E–ΔC(t) по каждому локусу в контрольной и основной группе.
- Нормализация по контрольной группе и окончательный результат как кратность изменения: RЕ = E–ΔC(t)медиана основной группы /E–ΔC(t)медиана контрольной группы (что тождественно RЕ = E–ΔΔC(t)) [13].
Адекватность примененного биоинформатического подхода проверяли с помощью дополнительного набора микроРНК, который также использовали при валидации методом ПЦР-РВ. Для генерации использовали базу mirBase (https://www.mirbase.org/). В состав сгенерированного набора также вошли микроРНК домашнего хозяйства, отобранные по среднему уровню экспрессии в нормальных тканях человека.
Статистическая и биоинформатическая обработка данных. Оценку различий проводили с использованием критерия Манна–Уитни для порогового уровня статистической значимости р < 0.05; для учета множественного сравнения использовали поправку Бонферрони. Данные анализировали на языке программирования Python с использованием библиотеки SciPy [14].
Поиск генов-регуляторов метаболитов и микроРНК регуляторов генов осуществляли с использованием метода машинного обучения Random forest, который сочетает в себе метод бэггинга Бреймана и метод случайных подмножеств. Модель Random forest предсказывает вероятность того, что целевой ген или микроРНК является истинным регулятором конкретного метаболита [15].
Для выбора минимальных наборов микроРНК и построения предсказательных моделей использовали LASSO (Least Absolute Shrinkage and Selection Operator) –пенализованную логистическую регрессию на языке программирования R в оболочке Rstudio. Коэффициент регуляризации L1 определяли при помощи k-мерной кросс-валидации. Для предотвращения переобучения модели проводили оптимизацию L1 при помощи генерации 3000 повторных выборок методом bootstrap. В каждой выборке данные были случайным образом разделены на обучающую и тестовую группы. Эффективность модели, построенной на основе обучающей группы, оценивали на данных тестовой группы, записывали площадь под ROC-кривой и показатель Бриера. Оптимальным считали значение L1, соответствующее наименьшему значению показателя Бриера. Важность переменных для каждой переменной определяли путем подсчета доли bootstrap моделей, в которых эта переменная имела ненулевой коэффициент. Окончательную модель строили на основе всех данных, используя оптимальное значение L1 [16].
Результаты исследования
Исследование метаболома мочи пациенток с серозной аденокарциномой яичников
На первом этапе работы были подобраны оптимальные варианты удаления высокомолекулярных соединений, экстракции и концентрирования низкомолекулярных метаболитов мочи (высокомолекулярные соединения осаждали, используя метанол с ацетонитрилом в соотношении 1 : 3).
В ходе метаболомного профилирования проанализировали 60 образцов мочи пациенток с серозной аденокарциномой яичников, госпитализированных в отделение онкогинекологии “НМИЦ онкологии” Минздрава РФ города Ростова-на-Дону, и 20 образцов мочи условно здоровых индивидов (контрольная группа).
После контроля качества и обработки в дальнейшем анализе использовали 438 метаболитов. Были определены значения m/z метаболитов, интенсивность которых в МС-спектрах статистически значимо отличается от интенсивности в контрольной группе. Определяли значения P-value и FoldChange данных метаболитов (табл. 2).
Таблица 2. Изменение метаболома мочи при серозной аденокарциноме яичников
Соединение | m/z | Кратность отличий (FoldChange) пациенты/контроль | P-value |
Соединение | m/z | Кратность отличий (FoldChange) пациенты/контроль | P-value |
Кинуренин | 209.0916 | 5.49 | 1.37 × 10–5 |
Фенилаланил-валин | 265.1535 | 1.55 | 0.0001 |
L-бета-аспартил-L-фенилаланин | 281.1119 | 0.39 | 2.78 × 10–9 |
Миристиновая кислота | 231.2506 | 0.28 | 6.64 × 10–7 |
Лизофосфатидилхолин (1٨ : 3) | 518.3241 | 3.10 | 1.78 × 10–9 |
Лизофосфатидилхолин (1٨ : 2) | 521.3356 | 7.05 | 5.91 × 10–12 |
Деканоилкарнитин | 316.2470 | 0.23 | 2.29 × 10–9 |
Аспартил-глицин | 208.0968 | 0.28 | 1.91 × 10–4 |
Малонилкарнитин | 230.1032 | 0.72 | 0.0001 |
Аланил-лейцин | 185.1266 | 1.39 | 0.0099 |
3-гидроксибутирилкарнитин | 332.3389 | 0.71 | 0.0155 |
3-метилксантин | 167.055 | 0.61 | 0.0101 |
Лизофосфатидилхолин (20 : 4) | 544.3402 | 3.53 | 6.64 × 10–12 |
L-фенилаланин | 166.0867 | 1.44 | 2.16 × 10–5 |
Фосфатидилинозитол (34 : 1) | 430.7669 | 7.09 | 1.45 × 10–10 |
2,6 диметилгептаноилкарнитин | 304.2383 | 0.27 | 1.92 × 10–8 |
5-метокситриптофан | 217.098 | 1.44 | 6.64 × 10–10 |
3-оксододекановая кислота | 237.1475 | 0.65 | 0.0126 |
2-гидроксимиристиновая кислота | 267.1943 | 0.29 | 0.00911 |
3-оксохолевая кислота | 407.2759 | 1.56 | 0.0092 |
Лизофосфатидилхолин (1٤ : 0) | 468.3085 | 1.56 | 0.0283 |
Индолакриловая кислота | 171.0637 | 1.36 | 0.0286 |
N-ацетилпролин | 140.0699 | 0.52 | 8.25 × 10–4 |
L-октаноилкарнитин | 288.2153 | 0.06 | 2.29 × 10–15 |
Каприлоилглицин | 202.1437 | 0.74 | 0.0102 |
Лизофосфатидилсерин (20 : 4) | 526.3303 | 15.98 | 1.19 × 10–11 |
Согласно данным, приведенным в табл. 2, что метаболом мочи пациенток с серозной карциномой яичников существенно отличается от метаболома мочи в контрольной группе. Концентрация 14 метаболитов (кинуренина, фенилаланил-валина, лизофосфатидилхолина (18 : 3), лизофосфатидилхолина (18 : 2), аланил-лейцина, лизофосфатидилхолина (20 : 4), L-фенилаланина, фосфатидилинозитола (34 : 1), 5-метокситриптофана, 2-гидроксимиристиновой кислоты, 3-оксохолевой кислоты, лизофосфатидилхолина (14 : 0), индолакриловой кислоты, лизофосфатидилсерина (20 : 4)) в моче пациенток с РЯ была значительно больше, чем в моче условно здоровых женщин, тогда как концентрация 12 соединений (L-бета-аспартил-L-фенилаланина, миристиновой кислоты, деканоилкарнитина, аспартил-глицина, малонилкарнитина, 3-гидроксибутирилкарнитина, 3-метилксантина, 2,6 диметилгептаноилкарнитина, 3-оксододекановой кислоты, N-ацетилпролина, L-октаноилкарнитина, каприлоилглицина) была снижена.
Обнаружено, что концентрации миристиновой кислоты, 2-гидроксимиристиновой кислоты и 3-оксододекановой кислоты в моче пациенток с РЯ статистически значимо (p < 0.05) ниже — в 3.6, 3.4 и 1.5 раза, соответственно, чем в контрольной группе (рис. 3). Уровни деканоилкарнитина, малонилкарнитина, 3-гидроксибутирилкарнитина, 2,6 диметилгептаноилкарнитина и L-октаноилкарнитин при РЯ были статистически значимо (p < 0.05) ниже (в 4.3, 1.4, 1.4, 3.7 и 16.7 раза), чем в контрольной группе (см. рис. 3).
Рис. 3. Изменение содержания жирных кислот и их производных, а также ацилкарнитинов в моче при серозной аденокарциноме яичников. Здесь и на рис. 4, 5 символ * показывает статистически значимое (p < 0.05) изменение уровня метаболитов по сравнению с контрольной группой.
Нами выявлено статистически значимое (p < 0.05) увеличение концентрации ряда фосфолипидов в моче больных РЯ по сравнению с контрольной группой: лизофосфатидилхолина (18 : 3) в 3.1 раза, лизофосфатидилхолина (18 : 2) в 7.05 раза, лизофосфатидилхолина (20 : 4) в 3.53 раза, фосфатидилинозитола (34 : 1) в 7.09 раза, лизофосфатидилхолина (14 : 0) в 1.56 раза и лизофосфатидилсерина (20:4) в 15.98 раза (рис. 4).
Рис. 4. Изменение концентрации фосфолипидов, аминокислот и их производных в моче пациенток с серозной аденокарциномой яичников.
Обнаружено также статистически значимое (p < 0.05) увеличение концентрации кинуренина 5.49 раза, фенилаланил-валина 1.55 раза, аланил-лейцина 1.39 раза, L-фенилаланина 1.44 раза, 5-метокситриптофана 1.44 раза и индолакриловой кислоты 1.36 раза относительно контрольной группы, а также статистически значимое снижение (p < 0.05) концентрации N-ацетилпролина 1.92 раза, каприлоилглицина 1.35 раза, аспартил-глицина 3.57 раза и аспартил-фенилаланина 2.56 раза, соответственно, относительно контрольной группы (см. рис. 4).
Установлено изменение в содержании производных азотистых оснований и стероидов в моче пациенток с серозной аденокарциномой яичников по сравнению с контролем — снижение концентрации 3-метилксантина в 1.6 раза (p < 0.005) и увеличение концентрации 3-оксохолевой кислоты в 1.6 раза (p < 0.05) (рис. 5).
Рис. 5. Изменение содержания производных азотистых оснований и стероидов в моче пациенток с серозной аденокарциномой яичников.
Биоинформатический анализ связи профиля метаболома мочи с экспрессией генов и микроРНК
С использованием метода машинного обучения Random forest, реализованном на языке программирования R, проведен комбинированный анализ полученных метаболомных данных, а также баз данных Human Metabolome Database (HMDB, https://hmdb.ca/metabolites), GENECARDS (https://www.genecards.org/), GENENAMES (https://www.genenames.org/), Small Molecule Pathway Database (SMPDB, https://smpdb.ca/) и RHEA (Annotated Reactions Database).
На первом этапе обнаружены взаимосвязи метаболит–фермент и фермент–ген-регулятор. Результаты представлены в табл. 3.
Таблица 3. Метаболиты и гены-регуляторы метаболических путей
Метаболит | Ген-регулятор | Фермент |
Кинуренин | KYNU, KMO, KYAT3, IDO | Кинурениназа, кинуренин-3-монооксигеназа, кинуренин-аминотрансфераза ٣, индоламинпиррол-2,٣-диоксигеназа |
Фенилаланил-валин | PAH | Фенилаланингидроксилаза |
Миристиновая кислота | PPARA, PPARGC1A, CYP4Z1, IYD, FASN, PLA2G5, LGALS13 | Синтаза жирных кислот, домен бета-кетоацилсинтазы, кальций-зависимая фосфолипаза A2, растворимый лектин 13, связывающий галактозид |
Лизофосфатидилхолин (1٨ : 3), (18 : 2), (20 : 4), (14 : 0) | PLA2G2A, PLB1, LPCAT1 | Фосфолипаза А2, лизофосфолипаза, LPC-ацилтрансфераза |
Деканоилкарнитин | ACADM, ACADS, CROT | Ацил-СоА-дегидрогеназа, карнитин-О-октаноилтрансфераза |
Малонилкарнитин | CPT1,CPT1A,ACADM | Пальмитоил-CoA-трансфераза, малонил-СоА-декарбоксилаза |
Аланил-лейцин | GAL, PGA3 | Галанин, пепсиноген А |
3-Гидроксибутирилкарни-тин | ACADM, CRAT | 3-Гидрокси-ацил-СоА-дегидрогеназа, карнитин-О-ацетилтрансфераза |
3-Метилксантин | PDE4D | cAMP-специфичная 3',5'-циклофосфодиэстераза 4D |
L-Фенилаланин | PAH, DDC | Фенилаланингидроксилаза, ДОФА-декарбоксилаза |
Фосфатидилинозитол (٣٤ : 1) | PIK3CA, PIK3CB, PIK3C2A, PLCB1, PIGL | Фосфатидилинозитол-3-киназа, 1-фосфатидилинозитол-4,5-бисфосфатфосфодиэстераза бета-1, N-ацетилглюкозаминилфосфатидилинозитол-де-N-ацетилаза |
2,6-Диметилгептаноилкарнитин | ACADM, CRAT | 3-Гидрокси-ацил-СоА-дегидрогеназа, карнитин-О-ацетилтрансфераза |
5-метокситриптофан | TPH1 | Триптофангидроксилаза |
3-Оксододекановая кислота | FASN, OXSM | 3-Оксоацилсинтаза, синтаза жирных кислот |
2-Гидроксимиристиновая кислота | NMT1 | N-миристоилтрансфераза 1 |
3-Оксохолевая кислота | FABP6 | Гастротропин |
Индолакриловая кислота | KYAT1 | Кинуренин-аминотрансфераза 1 |
N-ацетилпролин | APEH | N-ацилпептидгидролаза |
L-октаноилкарнитин | CROT, COT, CPT2, CPT1 | Карнитин-О-октаноилтрансфераза, карнитин-О-пальмитоилтрансфераза 2 |
Каприлоилглицин | ACADM, ODC1, GLYATL1 | 3-Гидрокси-ацил-СоА-дегидрогеназа, орнитиндекарбоксилаза 1, глицин-N-ацилтрансфераза |
Лизофосфатидилсерин (2٠ : 4) | GPR34, PLA1A | Рецептор 1лизофосфатидилсерина, фосфолипаза А1 |
Результаты взаимосвязи метаболит–ген–микроРНК представлены в табл. 4. Видно, что содержание выявленных в моче метаболитов регулируется сложной сетью взаимодействий мРНК и микроРНК. Найдены 237 и 143 микроРНК, регулирующих содержание двух метаболитов — миристиновой кислоты и фосфатидилинозитола, соответственно, в биологических жидкостях (табл. S1, дополнительные материалы размещены в электронном виде по DOI статьи и на сайте http://www.molecbio.ru/downloads/2025/1/supp_Kutilin_rus.pdf).
Таблица 4. Метаболиты, гены-регуляторы метаболических путей и взаимодействующие с ними микроРНК
Метаболит | Ген-регулятор | микроРНК |
Метаболит | Ген-регулятор | микроРНК |
Кинуренин | KYNU, KMO, KYAT3, IDO1 | KMO: hsa-miR-30b-3p, hsa-miR-153-5p, hsa-miR-149-3p, hsa-miR-363-5p, hsa-miR-624-3p, hsa-miR-937-5p, hsa-miR-1233-3p, hsa-miR-1238-3p, hsa-miR-1972, hsa-miR-3200-5p, hsa-miR-4319, hsa-miR-3689a-5p, hsa-miR-3689b-5p, hsa-miR-4478, hsa-miR-3689e, hsa-miR-4695-5p, hsa-miR-4724-5p, hsa-miR-664b-3p, hsa-miR-5684, hsa-miR-6758-5p, hsa-miR-6780a-5p, hsa-miR-6799-5p, hsa-miR-6856-5p, hsa-miR-6867-5p, hsa-miR-6883-5p, hsa-miR-6894-5p, hsa-miR-6894-5p, hsa-miR-7106-5p, hsa-miR-7106-5p, hsa-miR-1273h-5p, hsa-miR-12122. KYNU: hsa-miR-30a-3p,hsa-miR-200c-3p, hsa-miR-382-5p, hsa-miR-382-5p, hsa-miR-2117, hsa-miR-3654, hsa-miR-4652-3p, hsa-miR-4743-3p, hsa-miR-6739-3p, hsa-miR-6879-3p, hsa-miR-6885-3p, hsa-miR-10397-5p, hsa-miR-4638-5p, hsa-miR-30a-3p, hsa-miR-200c-3p, hsa-miR-382-5p, hsa-miR-382-5p, hsa-miR-2117, hsa-miR-3654, hsa-miR-4652-3p, hsa-miR-4743-3p, hsa-miR-6739-3p, hsa-miR-6879-3p, hsa-miR-6885-3p, hsa-miR-10397-5p. KYAT3: hsa-miR-5692c, hsa-miR-5692b, hsa-miR-5692c, hsa-miR-5692b, hsa-miR-5692c, hsa-miR-5692b. IDO1: hsa-miR-593-3p, hsa-miR-891a-3p, hsa-miR-5683, hsa-miR-6728-3p |
Фенилаланил-валин | PAH | hsa-miR-23a-3p, hsa-miR-4502, hsa-miR-12132 |
Миристиновая кислота | PPARA, PPARGC1A, CYP4Z1, IYD, FASN, PLA2G5, LGALS13 | 237 микроРНК (см. доп. табл. S1) |
Лизофосфатидилхолин | PLA2G2A, PLB1, LPCAT1 | LPCAT1: hsa-miR-27a-3p, hsa-miR-370-3p, hsa-miR-4739, hsa-miR-4768-3p, hsa-miR-4783-3p. PLB1: hsa-miR-3162-5p, hsa-miR-4529-3p, hsa-miR-4740-5p. PLA2G2A: hsa-miR-765, hsa-miR-3652, hsa-miR-6134, hsa-miR-6745, hsa-miR-6756-5p, hsa-miR-6769a-5p, hsa-miR-6785-5p, hsa-miR-6769b-5p, hsa-miR-7847-3p |
Деканоилкарнитин | ACADM, ACADS, CROT | CROT: hsa-miR-33a-5p, hsa-miR-373-3p, hsa-miR-33b-5p, hsa-miR-17-5p, hsa-miR-500a-5p, hsa-miR-501-5p, hsa-miR-1250-3p, hsa-miR-4659b-3p, hsa-miR-219b-5p, hsa-miR-4795-3p, hsa-miR-6807-3p, hsa-miR-6867-5p, hsa-miR-522-3p, hsa-miR-4325, hsa-miR-5004-3p, hsa-miR-6833-5p, hsa-miR-221-3p. ACADM: hsa-miR-4437, hsa-miR-5580-3p, hsa-miR-6529-5p, hsa-miR-3184-5p, hsa-miR-4704-3p. ACADS: hsa-miR-484 |
Малонилкарнитин | CPT1A, ACADM | ACADM: hsa-miR-4437, hsa-miR-5580-3p, hsa-miR-6529-5p, hsa-miR-3184-5p, hsa-miR-4704-3p. CPT1A: hsa-miR-653-5p, hsa-miR-328-3p, hsa-miR-6866-3p, hsa-miR-1296-3p, hsa-miR-1322, hsa-miR-6883-5p, hsa-miR-7-2-3p, hsa-miR-335-3p, hsa-miR-520a-3p, hsa-miR-4310, hsa-miR-4287, hsa-miR-6718-5p, hsa-miR-6785-5p, hsa-miR-6869-3p, hsa-miR-7856-5p, hsa-miR-93-5p, hsa-miR-4293, hsa-miR-4322, hsa-miR-4707-3p, hsa-miR-24-3p, hsa-miR-6849-3p |
Аланил-лейцин | GAL, PGA3 | GAL: hsa-miR-922, hsa-miR-4742-5p, hsa-miR-4753-5p, hsa-miR-4436b-3p, hsa-miR-5004-5p, hsa-miR-5089-3p, hsa-miR-15b-5p, hsa-miR-138-1-3p, hsa-miR-302d-5p, hsa-miR-6810-5p, hsa-miR-3976. PGA3: hsa-miR-2467-3p, hsa-miR-1909-5p, hsa-miR-6743-5p, hsa-miR-1913, hsa-miR-2115-5p, hsa-miR-4646-5p, hsa-miR-5006-5p, hsa-miR-6857-5p, hsa-miR-11399, hsa-miR-5008-5p, hsa-miR-4649-3p,hsa-miR-423-5p, hsa-miR-3679-5p, hsa-miR-423-3p, hsa-miR-1296-3p, hsa-miR-3126-5p, hsa-miR-6759-3p, hsa-miR-3180, hsa-miR-6763-5p, hsa-miR-769-3p, hsa-miR-3139, hsa-miR-5571-5p, hsa-miR-6768-5p, hsa-miR-761, hsa-miR-3151-5p, hsa-miR-18a-5p, hsa-miR-4672, hsa-miR-6873-3p, hsa-miR-6875-3p, hsa-miR-3156-5p, hsa-miR-6771-5p, hsa-miR-6879-5p, hsa-miR-3945 |
3-Гидроксибутирилкарнитин | ACADM, CRAT | ACADM: hsa-miR-4437, hsa-miR-5580-3p, hsa-miR-6529-5p, hsa-miR-3184-5p, hsa-miR-4704-3p.CRAT: hsa-miR-936, hsa-miR-1207-5p, hsa-miR-6764-5p, hsa-miR-7150, hsa-miR-10392-3p |
3-Метилксантин | PDE4D | PDE4D: hsa-miR-18a-5p, hsa-miR-31-5p, hsa-miR-148a-3p, hsa-miR-301a-3p, hsa-miR-148b-3p, hsa-miR-875-5p, hsa-miR-6766-3p, hsa-miR-26a-5p, hsa-miR-103a-3p, hsa-miR-107, hsa-miR-139-5p, hsa-miR-362-3p, hsa-miR-339-5p, hsa-miR-18b-5p, hsa-miR-448, hsa-miR-487a-3p, hsa-miR-4429, hsa-miR-203a-3p, hsa-miR-211-3p, hsa-miR-124-3p, hsa-miR-149-5p, hsa-miR-99b-3p, hsa-miR-372-3p, hsa-miR-373-5p, hsa-miR-520a-3p, hsa-miR-520d-3p, hsa-miR-625-5p, hsa-miR-641, hsa-miR-1301-3p, hsa-miR-449c-5p, hsa-miR-1266-5p, hsa-miR-1321, hsa-miR-1912-3p, hsa-miR-2114-5p, hsa-miR-3125, hsa-miR-3187-5p, hsa-miR-4261, hsa-miR-4280, hsa-miR-3646, hsa-miR-3689a-5p, hsa-miR-3689b-5p, hsa-miR-3922-5p, hsa-miR-4446-3p, hsa-miR-3689d, hsa-miR-3689e, hsa-miR-4492, hsa-miR-4502, hsa-miR-4511, hsa-miR-3977, hsa-miR-4646-5p, hsa-miR-4675, hsa-miR-4698, hsa-miR-4741, hsa-miR-4756-5p, hsa-miR-4768-3p, hsa-miR-5193, hsa-miR-1295b-5p, hsa-miR-5589-3p, |
3-Метилксантин | PDE4D | hsa-miR-6500-3p, hsa-miR-548az-5p, hsa-miR-6504-5p, hsa-miR-6511a-5p, hsa-miR-6512-5p, hsa-miR-6809-5p, hsa-miR-6809-3p, hsa-miR-6829-5p, hsa-miR-6839-5p, hsa-miR-6859-5p, hsa-miR-5787, hsa-miR-6077, hsa-miR-6796-3p, hsa-miR-6860, hsa-miR-7114-5p, hsa-miR-7151-3p, hsa-miR-8080, hsa-miR-8081, hsa-miR-8086, hsa-miR-195-5p, hsa-miR-3136-5p, hsa-miR-6080, hsa-miR-6888-5p, hsa-miR-340-5p, hsa-miR-4439, hsa-miR-3148, hsa-miR-6857-3p, hsa-miR-497-5p |
L-фенилаланин | PAH, DDC | PAH: hsa-miR-23a-3p, hsa-miR-4502, hsa-miR-12132. DDC: hsa-miR-875-3p, hsa-miR-3166, hsa-miR-4502, hsa-miR-3158-3p |
Фосфатидилинозитол (٣٤ : 1) | PIK3CA, PIK3CB, PIK3C2A, PLCB1, PIGL | 143 микроРНК, см. доп. табл. 1 |
2,6-Диметилгептаноилкарнитин | ACADM, CRAT | ACADM: hsa-miR-4437, hsa-miR-5580-3p, hsa-miR-6529-5p, hsa-miR-3184-5p, hsa-miR-4704-3p. CRAT: hsa-miR-936, hsa-miR-1207-5p, hsa-miR-6764-5p, hsa-miR-7150, hsa-miR-10392-3p |
5-Метокситриптофан | TPH1 | TPH1: hsa-miR-320a-3p, hsa-miR-450a-2-3p, hsa-miR-320b, hsa-miR-2110, hsa-miR-4435, hsa-miR-5693, hsa-miR-5702, hsa-miR-6830-5p, hsa-miR-12118 |
3-Оксододекановая к-та | FASN | hsa-miR-30c-5p |
2-Гидроксимиристиновая кислота | NMT1 | NMT1: hsa-miR-181a-5p, hsa-miR-214-3p, hsa-miR-491-5p, hsa-miR-432-5p, hsa-miR-922, hsa-miR-1202, hsa-miR-1205, hsa-miR-1972, hsa-miR-2110, hsa-miR-2682-3p, hsa-miR-3160-5p, hsa-miR-3176, hsa-miR-4303, hsa-miR-4291, hsa-miR-4447, hsa-miR-3972, hsa-miR-4667-5p, hsa-miR-4690-3p, hsa-miR-4700-5p, hsa-miR-23b-3p, hsa-miR-615-3p |
3-Оксохолевая кислота | FABP6 | FABP6: hsa-miR-208a-5p, hsa-miR-330-5p, hsa-miR-196b-5p, hsa-miR-3180-3p, hsa-miR-3181, hsa-miR-4278, hsa-miR-3689f, hsa-miR-4754, hsa-miR-4786-3p, hsa-miR-5190, hsa-miR-5195-3p, hsa-miR-6745, hsa-miR-6751-5p, hsa-miR-6769a-5p, hsa-miR-6771-5p, hsa-miR-6792-5p, hsa-miR-6821-5p, hsa-miR-7156-3p, hsa-miR-10226, hsa-miR-10392-5p |
Индолакриловая кислота | KYAT1 | KYAT1: hsa-miR-423-5p, hsa-miR-6842-5p, hsa-miR-597-3p, hsa-miR-4710, hsa-miR-6741-5p, hsa-miR-6796-5p, hsa-miR-4447, hsa-miR-193b-3p |
N-ацетилпролин | APEH | hsa-miR-1289 |
L-октаноилкарнитин | CROT, CPT2 | CROT: hsa-miR-33a-5p, hsa-miR-373-3p, hsa-miR-33b-5p, hsa-miR-17-5p, hsa-miR-500a-5p, hsa-miR-501-5p, hsa-miR-1250-3p, hsa-miR-4659b-3p, hsa-miR-219b-5p, hsa-miR-4795-3p, hsa-miR-6807-3p, hsa-miR-6867-5p, hsa-miR-522-3p, hsa-miR-4325, hsa-miR-5004-3p, hsa-miR-6833-5p, hsa-miR-221-3p. CPT2: hsa-miR-433-3p, hsa-miR-6843-3p, hsa-miR-6848-3p, hsa-miR-208a-5p, hsa-miR-6742-3p, hsa-miR-34a-5p |
Каприлоилглицин | ACADM, ODC1, GLYATL1 | ACADM: hsa-miR-4437, hsa-miR-5580-3p, hsa-miR-6529-5p, hsa-miR-3184-5p, hsa-miR-4704-3p. ODC1: hsa-miR-423-5p,hsa-miR-3184-5p,hsa-miR-7973,hsa-miR-193b-3p. GLYATL1: hsa-miR-1207-5p, hsa-miR-4668-3p, hsa-miR-4742-3p, hsa-miR-4999-5p,hsa-miR-664b-3p,hsa-miR-6846-3p, hsa-miR-6893-3p |
Лизофосфатидилсерин (2٠ : 4) | GPR34, PLA1A | PLA1A: hsa-miR-3153, hsa-miR-7110-3p,hsa-miR-6754-5p, hsa-miR-6887-3p. GPR34: hsa-miR-3193, hsa-miR-2909, hsa-miR-4738-5p, hsa-miR-486-3p, hsa-miR-6808-5p |
Таким образом, с помощью биоинформатического анализа определен список из 613 уникальных микроРНК, участвующих в регуляции концентрации 26 метаболитов.
Из 613 микроРНК выбраны микроРНК с максимальной силой взаимодействия с мРНК генов-регуляторов содержания метаболитов. Итоговый перечень содержал 85 микроРНК (табл. 5).
Таблица 5. МикроРНК, участвующие в регуляции концентрации метаболитов в моче при раке яичников
Метаболит | микроРНК |
Метаболит | микроРНК |
Кинуренин | KMO: hsa-miR-30b-3p, hsa-miR-153-5p, hsa-miR-149-3p, hsa-miR-363-5p. KYNU:hsa-miR-30a-3p,hsa-miR-200c-3p, hsa-miR-382-5p, hsa-miR-382-5p. KYAT3: hsa-miR-5692c, hsa-miR-5692b, hsa-miR-5692c. IDO1: hsa-miR-593-3p, hsa-miR-891a-3p |
Фенилаланил-валин | PAH: hsa-miR-23a-3p, hsa-miR-4502, hsa-miR-12132 |
Миристиновая кислота | IYD: hsa-miR-760, hsa-miR-29a-5p. CYP4Z1: hsa-miR-2110, FASN: hsa-miR-30c-5p, LGALS13: hsa-miR-4650-3p. PLA2G5: hsa-miR-765, hsa-miR-3682-3p. PPARA: hsa-miR-181a-5p, hsa-miR-181b-5p, hsa-miR-20b-5p. PPARGC1A: hsa-let-7a-5p, hsa-let-7b-5p, hsa-let-7c-5p |
Лизофосфатидилхолин | LPCAT1: hsa-miR-27a-3p, hsa-miR-370-3p, hsa-miR-4768-3p. PLB1: hsa-miR-3162-5p, hsa-miR-4529-3p. PLA2G2A: hsa-miR-765, hsa-miR-3652 |
Деканоилкарнитин | CROT: hsa-miR-33a-5p, hsa-miR-373-3p, hsa-miR-33b-5p, hsa-miR-17-5p. ACADM: hsa-miR-4437, hsa-miR-5580-3p, hsa-miR-6529-5p. ACADS: hsa-miR-484 |
Малонилкарнитин | ACADM: hsa-miR-4437, hsa-miR-5580-3p, hsa-miR-6529-5p. CPT1A: hsa-miR-653-5p, hsa-miR-328-3p, hsa-miR-6866-3p |
Аланил-лейцин | GAL: hsa-miR-922, hsa-miR-4742-5p, hsa-miR-4753-5p. PGA3: hsa-miR-2467-3p, hsa-miR-1909-5p, hsa-miR-6743-5p |
3-Гидроксибутирилкарнитин | ACADM: hsa-miR-4437, hsa-miR-5580-3p, hsa-miR-6529-5p |
3-Метилксантин | PDE4D: hsa-miR-18a-5p, hsa-miR-31-5p, hsa-miR-148a-3p |
L-фенилаланин | PAH: hsa-miR-23a-3p. DDC: hsa-miR-875-3p, hsa-miR-3166 |
Фосфатидилинозитол (٣٤ : 1) | PIGL: hsa-miR-4651, hsa-miR-5087, hsa-miR-6499-3p. PIK3C2A: hsa-miR-503-5p, hsa-miR-301b-3p. PIK3CA: hsa-let-7i-5p, hsa-let-7e-5p, hsa-miR-19a-3p. PLCB1: hsa-miR-103a-3p, hsa-miR-107, hsa-miR-423-5p |
2,6-Диметилгептаноилкарнитин | ACADM: hsa-miR-4437, hsa-miR-5580-3p, hsa-miR-6529-5pю CRAT: hsa-miR-936, hsa-miR-1207-5p |
5-Метокситриптофан | TPH1: hsa-miR-320a-3p, hsa-miR-450a-2-3p, hsa-miR-320b |
3-Оксододекановая кислота | FASN: hsa-miR-30c-5p |
2-Гидроксимиристиновая к-та | NMT1: hsa-miR-181a-5p, hsa-miR-214-3p, hsa-miR-491-5p |
3-Оксохолевая кислота | FABP6: hsa-miR-208a-5p, hsa-miR-330-5p, hsa-miR-196b-5p |
Индолакриловая кислота | KYAT1: hsa-miR-423-5p, hsa-miR-6842-5p, hsa-miR-597-3p |
N-ацетилпролин | APEH: hsa-miR-1289 |
L-октаноилкарнитин | CROT: hsa-miR-33a-5p, hsa-miR-373-3p, hsa-miR-33b-5p, hsa-miR-17-5p. CPT2: hsa-miR-433-3p, hsa-miR-6843-3p |
Каприлоилглицин | ACADM: hsa-miR-4437, hsa-miR-5580-3p, hsa-miR-6529-5p. ODC1: hsa-miR-423-5p,hsa-miR-3184-5p. GLYATL1: hsa-miR-1207-5p, hsa-miR-4668-3p |
Лизофосфатидилсерин (2٠ : 4) | PLA1A: hsa-miR-3153, hsa-miR-7110-3p. GPR34: hsa-miR-3193, hsa-miR-2909 |
Особенности содержания транскриптов микроРНК в моче пациенток с серозной аденокарциномой яичников
Список из 85 микроРНК, регулирующих активность 37 генов, использовали для анализа уровня транскриптов микроРНК методом ПЦР-РВ в образцах мочи пациенток и условно-здоровых доноров.
В моче пациенток с серозной аденокарциномой яичников обнаружено статистически значимое (p < 0.005) изменение уровня транскриптов 47 микроРНК относительно контрольных образцов (рис. 6, табл. 6)
Рис. 6. Изменение уровня транскриптов 85 микроРНК в моче больных серозной аденокарциномой яичников. Символом “*” отмечено статистически значимое (p < 0.005) изменение уровня транскриптов по сравнению с контролем.
Таблица 6. Сравнение ассоциации метаболит–ген–микроРНК и уровня транскриптов микроРНК в моче больных серозной аденокарциномой яичников и условно здоровых индивидов
Метаболит | Ген | микроРНК | FC** |
Метаболит | Ген | микроРНК | FC** |
Кинуренин | KMO | hsa-miR-30b-3p | 1.20 |
hsa-miR-153-5p | 1.30 | ||
hsa-miR-149-3p | 1.50* | ||
hsa-miR-363-5p | 0.92 | ||
KYNU | hsa-miR-30a-3p | 1.00 | |
hsa-miR-200c-3p | 1.00 | ||
hsa-miR-382-5p | 2.50* | ||
hsa-miR-382-5p | 1.90* | ||
KYAT3 | hsa-miR-5692c | 1.00 | |
hsa-miR-5692b | 0.92 | ||
hsa-miR-5692c | 1.10 | ||
IDO1 | hsa-miR-593-3p | 3.40* | |
hsa-miR-891a-3p | 1.00 | ||
Фенилаланил-валин | PAH | hsa-miR-23a-3p | 0.05* |
hsa-miR-4502 | 0.82 | ||
hsa-miR-12132 | 0.25* | ||
Миристиновая кислота | IYD | hsa-miR-760 | 1.00 |
hsa-miR-29a-5p | 2.60* | ||
CYP4Z1 | hsa-miR-2110 | 2.45* | |
FASN | hsa-miR-30c-5p | 2.85* | |
LGALS13 | hsa-miR-4650-3p | 1.81* | |
PLA2G5 | hsa-miR-765 | 0.56* | |
hsa-miR-3682-3p | 0.98 | ||
PPARA | hsa-miR-181a-5p | 2.58* | |
hsa-miR-181b-5p | 0.25* | ||
hsa-miR-20b-5p | 1.00 | ||
PPARGC1A | hsa-let-7a-5p | 1.00 | |
hsa-let-7b-5p | 2.60* | ||
hsa-let-7c-5p | 1.00 | ||
Лизофосфатидилхолин | LPCAT1 | hsa-miR-27a-3p | 1.90* |
hsa-miR-370-3p | 2.60* | ||
hsa-miR-4768-3p | 1.00 | ||
PLB1 | hsa-miR-3162-5p | 0.86 | |
hsa-miR-4529-3p | 0.56* | ||
PLA2G2A | hsa-miR-3652 | 1.80* | |
Деканоилкарнитин | CROT | hsa-miR-373-3p | 1.00 |
hsa-miR-33a-5p | 0.75 | ||
hsa-miR-33b-5p | 0.32* | ||
hsa-miR-17-5p | 0.22* | ||
ACADM | hsa-miR-4437 | 1.00 | |
hsa-miR-6529-5p | 2.50* | ||
hsa-miR-5580-3p | 1.30 | ||
ACADS | hsa-miR-484 | 1.00 | |
Малонилкарнитин | CPT1A | hsa-miR-653-5p | 2.20* |
hsa-miR-328-3p | 1.00 | ||
hsa-miR-6866-3p | 0.58* | ||
Аланил-лейцин | GAL | hsa-miR-922 | 1.00 |
hsa-miR-4742-5p | 2.38* | ||
hsa-miR-4753-5p | 0.07 | ||
PGA3 | hsa-miR-2467-3p | 2.56* | |
hsa-miR-1909-5p | 3.52* | ||
hsa-miR-6743-5p | 4.89* | ||
3-Метилксантин | PDE4D | hsa-miR-18a-5p | 1.00 |
hsa-miR-31-5p | 0.92 | ||
hsa-miR-148a-3p | 0.90 | ||
L-фенилаланин | DDC | hsa-miR-875-3p | 2.30* |
hsa-miR-3166 | 1.56 | ||
Фосфатидилинозитол | PIGL | hsa-miR-4651 | 1.10 |
hsa-miR-5087 | 1.50 | ||
hsa-miR-6499-3p | 1.87* | ||
PIK3C2A | hsa-miR-503-5p | 1.00 | |
hsa-miR-301b-3p | 1.00 | ||
PIK3CA | hsa-let-7i-5p | 1.00 | |
hsa-let-7e-5p | 1.00 | ||
hsa-miR-19a-3p | 4.90* | ||
PLCB1 | hsa-miR-103a-3p | 0.05* | |
hsa-miR-107 | 0.65 | ||
hsa-miR-423-5p | 0.33* | ||
2,6-Диметилгептаноилкарнитин | CRAT | hsa-miR-936 | 1.00 |
hsa-miR-1207-5p | 1.70* | ||
5-Метокситриптофан | TPH1 | hsa-miR-320a-3p | 1.00 |
hsa-miR-450a-2-3p | 1.25 | ||
hsa-miR-320b | 1.87* | ||
2-Гидроксимиристиновая кислота | NMT1 | hsa-miR-181a-5p | 1.20 |
hsa-miR-214-3p | 1.30 | ||
hsa-miR-491-5p | 0.58* | ||
3-Оксохолевая кислота | FABP6 | hsa-miR-208a-5p | 2.58* |
hsa-miR-330-5p | 3.20* | ||
hsa-miR-196b-5p | 0.20* | ||
Индолакриловая кислота | KYAT1 | hsa-miR-423-5p | 1.00 |
hsa-miR-6842-5p | 1.00 | ||
hsa-miR-597-3p | 2.00* | ||
N-ацетилпролин | APEH | hsa-miR-1289 | 1.00 |
L-октаноилкарнитин | CPT2 | hsa-miR-433-3p | 0.68* |
hsa-miR-6843-3p | 0.44* | ||
Каприлоилглицин | ODC1 | hsa-miR-423-5p | 0.22* |
hsa-miR-3184-5p | 0.35* | ||
GLYATL1 | hsa-miR-1207-5p | 3.50* | |
hsa-miR-4668-3p | 4.20* | ||
Лизофосфатидилсерин | GPR34 | hsa-miR-3193 | 2.60* |
hsa-miR-2909 | 1.60 |
*Статистически значимое (p < 0.005) изменение уровня транскриптов.
**FC — кратность отличий (FC = уровень транскриптов в моче при РЯ/ уровень транскриптов в моче условно здоровых женщин.
Наиболее сильно увеличивался (p < 0.005) уровень транскриптов hsa-miR-382-5p (2.50 раза), hsa-miR-382-5p (1.90 раза), hsa-miR-593-3p (3.40 раза), hsa-miR-29a-5p (2.60 раза), hsa-miR-2110 (2.45 раза), hsa-miR-30c-5p (2.85 раза), hsa-miR-181a-5p (2.58 раза), hsa-let-7b-5p (2.60 раза), hsa-miR-27a-3p (1.90 раза), hsa-miR-370-3p (2.60 раза), hsa-miR-6529-5p (2.50 раза), hsa-miR-653-5p (2.20 раза), hsa-miR-4742-5p (2.38 раза), hsa-miR-2467-3p (2.56 раза), hsa-miR-1909-5p (3.52 раза), hsa-miR-6743-5p (4.89 раза), hsa-miR-875-3p (2.30 раза), hsa-miR-19a-3p (4.90 раза), hsa-miR-208a-5p (2.58 раза), hsa-miR-330-5p (3.20 раза), hsa-miR-1207-5p (3.50 раза), hsa-miR-4668-3p (4.20 раза, hsa-miR-3193 (2.60 раза) относительно их уровня в моче условно-здоровых женщин.
Наиболее сильно снижался (p < 0.005) уровень транскриптов hsa-miR-23a-3p (20.00 раз), hsa-miR-12132 (4.00 раза), hsa-miR-765 (1.79 раза), hsa-miR-181b-5p (4.00 раза), hsa-miR-4529-3p (1.79 раза), hsa-miR-33b-5p (3.13 раза), hsa-miR-17-5p (4.55 раза), hsa-miR-6866-3p (1.72 раза), hsa-miR-4753-5p (14.29 раза), hsa-miR-103a-3p (19.61 раза), hsa-miR-423-5p (3.03 раза), hsa-miR-491-5p (1.72 раза), hsa-miR-196b-5p (5.00 раз), hsa-miR-6843-3p (2.27 раза), hsa-miR-423-5p (4.55 раза) и hsa-miR-3184-5p (2.6 раза) относительно их уровня в моче условно-здоровых доноров.
В нашем исследовании пациентки с РЯ были разделены на группы: 1 (30 пациенток) — серозная карцинома низкой степени злокачественности (low grade, Т1-3сN0-1M0, G1-3); 2 (30 пациенток) — серозная карцинома высокой степени злокачественности (high grade, T2-3сN0-1M0, G1). Обнаружены статистически значимые (p < 0.005) различия в уровне транскриптов 19 микроРНК в этих группах (рис. 7): в группе 2 уровень транскриптов hsa-miR-382-5p (1.93 раза), hsa-miR-593-3p (3.43 раза), hsa-miR-2110 (2.0 раза), hsa-miR-30c-5p (3.71 раза), hsa-let-7b-5p (3.22 раза), hsa-miR-370-3p (2.91 раза), hsa-miR-6529-5p (2.15 раза), hsa-miR-4742-5p (3.08 раза), hsa-miR-2467-3p (2.74 раза), hsa-miR-1909-5p (2.41 раза), hsa-miR-6743-5p (3.74 раза), hsa-miR-19a-3p (3.18 раза), hsa-miR-208a-5p (3.63 раза), hsa-miR-330-5p (1.92 раза), hsa-miR-1207-5p (2.65 раза), hsa-miR-4668-3p (4.52 раза) выше, чем в группе 1, а уровень транскриптов hsa-miR-33b-5p в 6.67, hsa-miR-423-5p в 8.46 и hsa-miR-6843-3p в 4.41 раза ниже, чем в группе 1 (см. рис. 7).
Рис. 7. Изменение уровня транскриптов микроРНК в моче больных серозной аденокарциномой яичников разной степени злокачественности. Символом “*” отмечено статистически значимое (p < 0.005) отличие уровня транскриптов в моче при РЯ от значений в контрольной группе; ** — статистически значимые изменения уровня транскриптов (p < 0.005) между группами.
Из представленных на рис. 7 данных видно, что в группе с серозной аденокарциномой высокой степени злокачественности (high grade, T2-3сN0-1M0, G1) транскрипционный дисбаланс значительно больше, чем в группе с серозной аденокарциномой низкой степени злокачественности (low grade, Т1-3сN0-1M0, G1-3).
Таким образом, выявлены различия в профиле микроРНК hsa-miR-382-5p, hsa-miR-593-3p, hsa-miR-2110, hsa-miR-30c-5p, hsa-let-7b-5p, hsa-miR-370-3p, hsa-miR-6529-5p, hsa-miR-4742-5p, hsa-miR-2467-3p, hsa-miR-1909-5p, hsa-miR-6743-5p, hsa-miR-19a-3p, hsa-miR-208a-5p, hsa-miR-330-5p, hsa-miR-1207-5p, hsa-miR-4668-3p, hsa-miR-33b-5p, hsa-miR-423-5p и hsa-miR-6843-3p в моче двух групп больных серозной аденокарциномой яичника — высокой и низкой степени злокачественности.
Пригодность использованного нами биоинформатического подхода проверяли с помощью представленных в табл. 7 и 8 наборов микроРНК.
Таблица 7. МикроРНК, взятые из базы данных mirBase
микроРНК | ||
стабильно экспрессирующиеся в нормальных тканях | дифференциально экспрессирующиеся в нормальных тканях | |
hsa-let-7d | hsa-let-7a-1 | hsa-mir-199a-2 |
hsa-let-7e-5p | hsa-let-7a-2 | hsa-mir-199b |
hsa-mir-125a | hsa-let-7a-3 | hsa-mir-21 |
hsa-mir-152 | hsa-let-7b-5p | hsa-mir-22 |
hsa-mir-191 | hsa-let-7c-5p | hsa-mir-24-1 |
hsa-mir-23a | hsa-let-7f-1 | hsa-mir-24-2 |
hsa-mir-23b | hsa-let-7f-2 | hsa-mir-26a-1 |
hsa-mir-27a | hsa-let-7g | hsa-mir-26a-2 |
hsa-mir-29a | hsa-mir-1-1 | hsa-mir-27b |
hsa-mir-99a | hsa-mir-1-2 | hsa-mir-3074 |
hsa-mir-8485 | hsa-mir-100 | hsa-mir-30a |
hsa-mir-101-1 | hsa-mir-30d | |
hsa-mir-101-2 | hsa-mir-30e | |
hsa-mir-103a-1 | hsa-mir-378a | |
hsa-mir-103a-2 | hsa-mir-451a | |
hsa-mir-103b-1 | hsa-mir-451b | |
hsa-mir-103b-2 | hsa-mir-99b | |
hsa-mir-10a | hsa-mir-1285-1 | |
hsa-mir-125b-1 | hsa-mir-3929 | |
hsa-mir-125b-2 | hsa-mir-558 | |
hsa-mir-126 | hsa-mir-619 | |
hsa-mir-140 | hsa-mir-7847 | |
hsa-mir-143 | hsa-mir-7851 | |
hsa-mir-144 | hsa-mir-10401 | |
hsa-mir-148a | hsa-mir-3159 | |
hsa-mir-151a | hsa-mir-6134 | |
hsa-mir-16-2 | ||
hsa-mir-181a-1 | ||
hsa-mir-181a-2 | ||
hsa-mir-199a-1 | ||
Таблица 8. Дополнительный набор микроРНК
Образец | микроРНК | Ссылка | |
стабильно экспрессирующиеся (микроРНК “домашнего хозяйства”) | дифференциально экспрессирующиеся | ||
Шейка матки | RNU-44, RNU-47, RNU-48, RNU-49 | — | [17] |
Моча (больные раком мочевого пузыря) | — | miR-17-5p, miR-182 | [18] |
Моча | — | miR-515-3p, miR-335, miR-892a, miR-509-5p, miR-223, miR-873, miR-302d, miR-616, miR-134, miR-923, miR-483-5p, miR-325, miR-589, miR-556-3p, miR-545, miR-377, let-7i, miR-890, miR-505 | [19] |
Кровь | hsa-miR-150, hsa-miR-19a, hsa-miR-92а, hsa-miR-15а | — | [20] |
Перечень включил 96 микроРНК. Сравнение со списком, полученным с использованием биоинформатического анализа (см. табл. 5), выявило совпадение по четырем микроРНК (рис. 8), которые были исключены.
Рис. 8. Сравнение наборов микроРНК.
Уровень транскриптов 92 микроРНК оценили в моче больных РЯ и условно здоровых индивидов (рис. 9).
Рис. 9. Соотношение уровня транскриптов 92 микроРНК в моче больных серозной аденокарциномой яичников и условно здоровых доноров. Статистически значимое (p < 0.05) изменение уровня транскриптов отмечено символом *.
Как видно из представленных данных, только четыре микроРНК имеют статистически значимо (p < 0.05) измененный уровень транскриптов в моче: mir-1-1, mir-101-1, mir-126 и mir-30a. Соответственно, обнаружены изменения уровня транскриптов только 4.35% микроРНК из сгенерированного перечня. Это значительно ниже, чем в перечне, полученном путем биоинформатического анализа (55.29%).
Формирование диагностической панели микроРНК
Далее диагностическую панель микроРНК-маркеров серозной аденокарциномы яичника разной степени злокачественности формировали на основе 1081 пары микроРНК (такую комбинацию дает попарное объединение 47 микроРНК, C(n, r) = n!/(r! × (n — r)!), т.е. C(47, 2)! = 2.586232e+59 / (2 × 1.196222e+56) = = 1081), уровень транскриптов которых значимо и стабильно отличался в группах больных и условно-здоровых доноров.
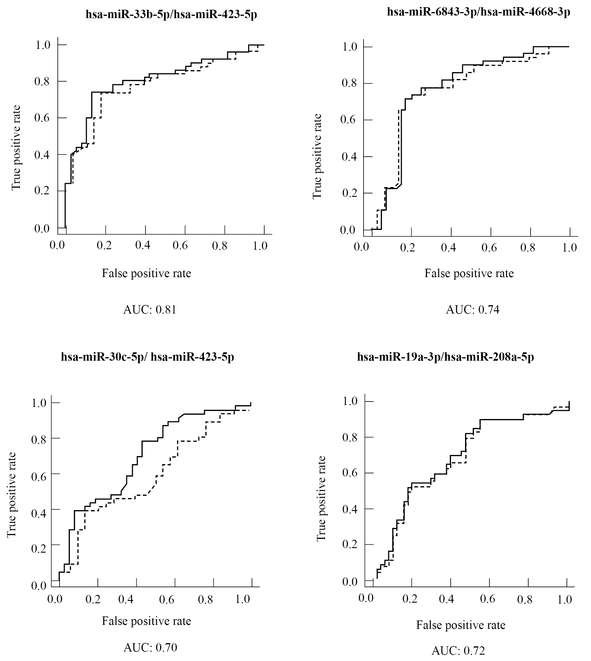
Диагностическую значимость выбранных микроРНК оценивали при помощи ROC-кривых. ROC-кривые со значением площади под кривой (AUC) не менее 0.70 представлены на рис. 10. У пары hsa-miR-33b-5p/hsa-miR-423-5p значение AUC было 0.81, у hsa-miR-6843-3p/hsa-miR-4668-3p — 0.74; hsa-miR-19a-3p/hsa-miR-208a-5p — 0.72 и hsa-miR-30c-5p/hsa-miR-423-5p — 0.70 (см. рис. 10).
Рис. 10. ROC-кривые классификации групп больных РЯ (сплошная линия) и условно здоровых (прерывистая линия) по уровню транскриптов микроРНК в моче. Представлены ROC-кривые со значением AUC ≥ 0.70.
Из представленных на рис. 10 данных видно, что ни одна из пар маркеров не позволяет полностью дискриминировать группы пациентов. Поэтому для получения надежной диагностической панели микроРНК использовали другой математический подход — LASSO-пенализованную логистическую регрессию, оптимизированную при помощи bootstrap-наборов данных (рис. 11). Регрессионные модели формировали из 10 пар микроРНК с наиболее высоким значением AUC. Выбранные модели позволили правильно классифицировать образцы с точностью среднего значения AUC = 0.93.
Высокие значения важности переменных (см. рис. 11б) указывают на устойчивость классификатора к изменению состава выборки и на успешность методов отбора пар микроРНК на предшествовавших этапах. На основании bootstrap-моделей получена финальная панель микроРНК: hsa-miR-33b-5p/hsa-miR-423-5p, hsa-miR-6843-3p/hsa-miR-4668-3p, hsa-miR-4668-3p/hsa-miR-423-5p, hsa-miR-30c-5p/hsa-miR-6743-5p, hsa-miR-423-5p/hsa-miR-6743-5p, hsa-miR-4742-5p/hsa-miR-1207-5p и hsa-miR-4668-3p/hsa-miR-17-5p.
Рис. 11. LASSO-пенализованная модель логистической регрессии уровня транскриптов микроРНК в моче. а — Распределение регрессионных коэффициентов в bootstrap-наборах данных. б — Важность переменных в bootstrap-моделях. в — ROC-кривые для классификации образцов с использованием оптимизированной (непрерывная линия) и неоптимизированной модели (прерывистая линия).
Такое сочетание микроРНК обеспечивает диагностическую чувствительность на уровне 95%, а специфичность на уровне 90% (AUC = 0.98) при разделении обследуемых на больных РЯ и условно здоровых.
Обсуждение результатов
Метаболомные изменения
Методом УВЭЖХ-МС в моче больных и добровольцев контрольной группы идентифицировано 418 метаболитов различных классов и показано, что концентрация 14 метаболитов в моче пациенток с РЯ была значительно выше, чем у условно здоровых индивидов, а концентрация 12 соединений, наоборот, ниже.
Производные жирных кислот
Концентрации большинства производных жирных кислот (3-гидроксибутирилкарнитина, 2,6-диметилгептаноилкарнитина, миристиновой кислоты, L-октаноилкарнитина, малонилкарнитина, деканоилкарнитина) в моче пациенток с РЯ были ниже, чем в контроле. В настоящее время хорошо известно, что в раковых клетках значительно изменен метаболизм липидов и жирных кислот. Существуют убедительные доказательства того, что при одних типах рака утилизация жирных кислот увеличивается, а при других подавляется. Однако изменения не ограничиваются только внутренними клеточными процессами, такими как синтез мембран, или функции внутриклеточных вторичных посредников, но также распространяются на ремоделирование всего микроокружения опухоли посредством паракринных сигнальных механизмов [21, 22].
Миристиновая (тетрадекановая) кислота (CH3(CH2)12COOH, FC = 0.28, p = 6.64 × 10–7), принадлежащая к насыщенным жирным кислотам с алифатической длинной цепью (14 атомов C), присутствует практически у всех живых организмов, от бактерий до растений и животных [23]. Миристиновая кислота действует как липидный якорь в биомембранах [24]. Аномальные уровни циркулирующей миристиновой кислоты могут увеличить риск возникновения опухолей [25]. Миристиновая кислота участвует в реализации нескольких противоопухолевых механизмов, таких как выработка миристолеиновой кислоты, которая вызывает апоптоз клеток в опухолях, и в синтезе церамидов de novo. Основные узлы метаболизма миристиновой кислоты показаны на рис. 12. Известно, что содержание миристиновой кислоты в плазме и моче отрицательно коррелирует с риском развития колоректального рака. Однако механизмы, лежащие в основе этой взаимосвязи, изучены не полностью [26–33].
Рис. 12. Основные узлы метаболизма миристиновой кислоты.
2-гидроксимиристиновая кислота (FC = 0.29, p = 0.00911) (2-гидроксигексадекановая кислота, C14H28O3) — производное миристиновой кислоты, содержащее алифатическую цепь (C16), несущую гидроксильный заместитель в положении 2.
Физиологическая роль гидроксижирных кислот остается в значительной степени неизвестной. Показано, что они выполняют специфическую роль в передаче сигналов [34].
Липиды, содержащие 2-гидроксикислоты, выполняют уникальные функции в мембранах и не могут быть заменены негидроксильными аналогами [35]. Известны по крайней мере два типа 2-гидроксилазы жирных кислот млекопитающих: NAD(P)H-зависимая монооксигеназа, кодируемая геном FA2H, и α-кетоглутаратзависимая монооксигеназа, кодируемая геном PHYH [36]. FA2H регулирует специфическое метаболическое перепрограммирование и онкогенную передачу сигналов при развитии колоректального рака [37]. Как показано ранее, уровни 2-гидроксилазы жирных кислот в аденокарциноме легкого выше, чем в нормальной ткани легкого, в то время как в плоскоклеточном и нейроэндокринном раке легкого они снижены [38].
2-Гидроксимиристиновая кислота метаболически активируется в клетках с образованием 2-гидроксимиристоил-СоА, мощного ингибитора миристоил-СоА: фермента белок-N-миристоилтрансферазы, который катализирует N-миристоилирование белков. Обработка Т-клеток 2-гидроксимиристиновой кислотой ингибирует миристоилирование и изменяет стабильность p56lck [39, 40]. Информация о биологических эффектах, локализации и связи с заболеваниями 2-гидроксимиристиновой кислоты представлены в табл. 9. В настоящее время основные механизмы, посредством которых 2-гидроксилирование жирных кислот связано с метаболической адаптацией и ростом опухоли, не установлены [37].
3-оксододекановая кислота (C12H22O3, FC = = 0.65, p = 0.0126) — это 3-оксопроизводное декановой кислоты. В организме человека 3-оксододекановая кислота участвует в ряде ферментативных реакций. В частности, эту кислоту можно синтезировать из каприловой и малоновой кислот с помощью трех ферментов: 3-оксоацилсинтазы, синтазы жирных кислот и синтазы II бета-кетоацил-ацил-переносящего белка (рис. 13) [41].
Рис. 13. Схема метаболизма оксододекановой кислоты.
О кетожирных кислотах часто сообщают как об артефактах окисления жирных кислот, но относительно редко — как о природных жирных кислотах. 3-Кетожирные кислоты, обнаруживаемые в качестве второстепенных компонентов тканей животных, обычно являются промежуточными продуктами β-окисления. Информация о биологических эффектах, локализации и связи с заболеваниями 3-оксододекановой кислоты представлена в табл. 9.
Таблица 9. Метаболиты жирных кислот и их производных, локализация, биологические функции и связь с заболеванием
Метаболит | Локализация | Биологический эффект/ функция и сигнальные пути | Заболевание |
2-OH-миристиновая кислота | Фекалии, моча (HMDB: HMDB0002261) | Перекисное окисление липидов (HMDB: HMDB٠٠٠22٦1). Метаболизм жирных кислот (HMDB: HMDB٠٠٠22٦1) вторичные посредники (HMDB: HMDB0002261) Мембранный стабилизатор (HMDB: HMDB٠٠٠22٦1) | Колоректальный рак (Ссылки PubMed: ٧٤٨2٥2٠, 221٤٨٩1٥, 1٩٠٠٦1٠2, 2٣٩٤٠٦٤٥, 2٤٤2٤1٥٥, 2٠1٥٦٣٣٦, 1٩٦٧٨٧٠٩, 2٥1٠٥٥٥2, 21٧٧٣٩٨1, 2٥٠٣٧٠٥٠, 2٧٠1٥2٧٦, 2٧1٠٧٤2٣, 2٧2٧٥٣٨٣, 2٨٥٨٧٣٤٩) |
3-Оксододекановая кислота | Клеточная мембрана (HMDB: HMDB0010727) | Метаболизм жирных кислот (HMDB: HMDB0010727) вторичные посредники (HMDB: HMDB0010727) | — |
Карнитин, учитывая его плейотропную роль в метаболизме, считается важным кофактором. В организме человека насчитывается более 1000 видов ацилкарнитинов, общая функция которых заключается в транспорте ацильных групп органических и жирных кислот из цитоплазмы в митохондрии, чтобы их можно было расщепить в ходе бета-окисления для получения энергии [42]. Карнитин абсолютно необходим для β-окисления жирных кислот в митохондриях. Это один из наиболее эффективных путей производства энергии в клетках, поэтому ткани с высоким потреблением энергии зависят, в основном, от утилизации жирных кислот [43].
Злокачественные опухоли характеризуются высоким потреблением энергии. В настоящее время самый большой объем данных о метаболической адаптации опухолевых клеток связан с гибким использованием глутамина и глюкозы в качестве основных источников энергии. Глюкоза и глутамин в качестве энергетических субстратов считаются отличительной чертой раковых клеток, а переключение метаболизма, которое позволяет использовать их практически в анаэробных условиях, известно как эффект Варбурга [44]. Каноническая интерпретация эффекта Варбурга подразумевает, что клетки обходят митохондриальную дыхательную цепь для синтеза АТР даже при достаточном снабжении кислородом [45]. Однако очевидно, что эффект Варбурга необходимо рассматривать в более общем метаболическом контексте, который включает также утилизацию жирных кислот в соответствии с эффективностью этих субстратов с точки зрения выхода АТР. Метаболическая гибкость является релевантным феноменом, наблюдаемым при различных типах опухолей и в пределах опухолей одного и того же типа на разных стадиях прогрессии. Что касается метаболизма липидов, то получены убедительные доказательства того, что утилизация жирных кислот увеличивается при некоторых типах рака, в то время как при других этот путь подавляется. Имеются данные, свидетельствующие о том, что индуцированное карнитином окисление жирных кислот играет критическую роль в продукции NADН, FADН2, NADPН и АТP, что может способствовать развитию опухолей [46].
Ацилкарнитины
Ацилкарнитины тесно связаны со многими метаболическими заболеваниями [47]. Аномальная экспрессия ферментов, участвующих в их метаболизме, может приводить к накоплению ацил-СоА с определенной длиной цепи [48]. Эти вещества, если их не удалить путем превращения в ацилкарнитины, могут быть токсичными для клетки [49]. Поскольку уровни ацилкарнитинов в плазме отражают состав пула этих молекул в цитоплазме, они считаются маркерами баланса между ацил-СоА и ацилкарнитинами [50]. За синтез всех ацилкарнитинов отвечает карнитинацетилтрансфераза [51]. Значительные изменения концентраций ацилкарнитинов наблюдаются при ишемической болезни сердца и сердечной недостаточности [52].
Метаболическое перепрограммирование опухолевых клеток регулирует уровни ацилкарнитинов с различной длиной цепи, чтобы создать баланс между производством и потреблением энергии и синтезом промежуточных продуктов метаболизма для удовлетворения требований быстрой пролиферации [53]. Например, в клетках рака предстательной железы карнитиновый цикл является основной мишенью адаптивного метаболического перепрограммирования, которое модулируется микроРНК, для регуляции окисления жирных кислот в митохондриях [54].
Ацилкарнитины обладают цитотоксичностью и иммуномодулирующими свойствами, которые могут использоваться опухолью для роста и выживания in situ [55]. Так, изменение уровня малонилкарнитина связано с риском развития рака молочной железы. Малонилкарнитин накапливается при специфическом нарушении окисления жирных кислот, вызванном нарушением поступления длинноцепочечных эфиров ацилкарнитина в митохондрии и недостаточностью митохондриальной дыхательной цепи при дефиците комплекса 11 и малонил-СоА-декарбоксилазы [56].
Ацетил-СоА-карбоксилаза (АСС) катализирует образование малонил-СоА из ацетил-CоА и играет важную роль в регуляции метаболизма жирных кислот. Показано, что у мышей с нокаутом ACC2 вес и количество жира ниже, чем у мышей дикого типа. Это обусловлено сниженной активностью ACC, которая вызывает последующее снижение концентраций малонил-СоА. Сниженные уровни малонил-СоА, в свою очередь, предотвращают торможение CPT1, в результате чего происходит предельное увеличение окисления жирных кислот. Изменение концентраций малонилкарнитина обнаружено в моче при ряде заболеваний [57].
3-Гидроксибутирилкарнитин — сложный эфир 3-гидроксибутановой кислоты и карнитина. Концентрация 3-гидроксибутирилкарнитина повышена в крови или плазме лиц с дефицитом короткоцепочечной L-3-гидроксиацил-СоА-дегидрогеназы [58] и митохондриальной ацетоацетил-СоА-тиолазы [59]. Концентрация 3-гидроксибутирилкарнитина также изменена в моче индивидов с почечноклеточным раком [60], раком молочной железы и воспалительными заболеваниями кишечника [61].
Еще один ацилкарнитин, концентрация которого снижена в моче при РЯ, это 2,6-диметилгептаноилкарнитин. Описаны многочисленные расстройства, приводящие к нарушениям выработки энергии и промежуточного метаболизма в организме, которые характеризуются образованием и выделением необычных ацилкарнитинов. Мутация в гене, кодирующем карнитин-ацилкарнитинтранслоказу или транспортер OCTN2, этиологически вызывает дефицит карнитина, что приводит к плохой абсорбции пищевого L-карнитина кишечником, нарушению его реабсорбции почками и, следовательно, к увеличению потери L-карнитина с мочой. Определение качественной картины ацилкарнитинов может иметь диагностическое и терапевтическое значение [62].
2,6-Диметилгептаноилкарнитин участвует в процессах перекисного окисления липидов (HMDB: HMDB0006320), метаболизме жирных кислот (HMDB: HMDB0006320), передаче внутриклеточных сигналов (HMDB: HMDB0006320) и транспортировке липидов (HMDB: HMDB0006320). Изменение его концентрации в моче наблюдается при сердечно-сосудистых заболеваниях, раке молочной железы, сахарном диабете типа 2, почечноклеточном раке, воспалительных заболеваниях кишечника [61] и раке мочевого пузыря [63].
L-октаноилкарнитин представляет собой физиологически активную форму октаноилкарнитина [64]. Октаноилкарнитин обнаруживается при дефиците среднецепочечной ацил-СоА-дегидрогеназы (MCAD). L-октаноилкарнитин участвует в процессах перекисного окисления липидов (HMDB: HMDB0000791), метаболизме жирных кислот (HMDB: HMDB0000791), митохондриальном бета-окислении короткоцепочечных насыщенных жирных кислот (HMDB: HMDB0000791) и транспорте липидов (HMDB: HMDB0000791). Изменение его концентрации зарегистрировано в крови и фекалиях при колоректальный раке, болезни Крона и язвенном колите [32, 65].
Деканоилкарнитин — это ацилкарнитин со средней длиной цепи. Уровень деканоилкарнитина повышен в крови или плазме у лиц с ожирением и подростков [66]. Изменение концентрации деканоилкарнитина обнаружено при почечноклеточном раке и раке молочной железы [61].
Таким образом, определение содержания ацилкарнитинов может способствовать пониманию механизма заболевания, а также способствовать развитию методов диагностики и лечения онкогинекологических заболеваний.
Лизофосфолипиды
В нашем исследовании обнаружено увеличение содержания лизофосфатидилсерина (20:4) в моче при РЯ по сравнению с контролем, что, возможно, влияет на работу иммунной системы. Известно, что содержание фосфатидилсерина значительно изменяется на поверхности опухолевых клеток или микровезикул, происходящих из опухолевых клеток, которые обладают иммунодепрессивными свойствами и способствуют росту и метастазированию опухоли [67]. Лизофосфолипиды секретируются различными типами клеток, в том числе опухолевыми и играют важную роль в развитии, активации и регуляции иммунной системы [68]. Концентрация большинства фосфолипидов в настоящем исследовании при РЯ была выше, чем в контрольной группе. Наблюдаемые при раке предстательной железы изменения состава и содержания фосфолипидов и лизофосфолипидов рассматриваются в качестве потенциальных биомаркеров этого типа рака [69]. Лизофосфолипиды функционируют как сигнальные молекулы, действуя через свои специфические мембранные рецепторы. Кроме того, некоторые из лизофосфолипидов обладают активностью, способствующей развитию опухолей, и поэтому называются “онколипидами” [70].
Изменения состава, концентрации, пространственного распределения и метаболизма фосфолипидов в клетках, тканях и жидкостях организма выявлены при различных патологических состояниях, таких как рак, воспаление, сердечно-сосудистые и метаболические нарушения [71]. Фосфолипиды мочи человека в последние годы не подвергались обширным исследованиям из-за чрезвычайно низких концентраций и высокого уровня солей и других загрязняющих веществ, которые могут мешать их точному обнаружению. Однако быстрое распространение аналитических методов в биомедицинских исследованиях привлекает все большее внимание к фосфолипидам мочи. Изменения состава различных фосфолипидов в клетках, тканях и жидкостях организма, включая мочу, связаны с многочисленными урологическими и мочеполовыми заболеваниями и патофизиологическими состояниями, такими как рак мочевого пузыря и почек [72], почечнокаменная болезнь [73], воспалительные заболевания [74] и рак предстательной железы [75].
Недавно показали, что фосфолипиды рассматриваются в качестве кандидатов в биомаркеры РЯ. Проведено несколько всесторонних проспективных исследований таких липидов, как лизофосфатидилхолины, фосфатидилхолины, церамиды и сфингомиелины, концентрации которых различаются у больных РЯ и у здоровых доноров [76].
Лизофосфатидилхолины, также называемые лизолецитинами, образуются из фосфатидилхолинов при помощи фосфолипазы А2. Лизофосфатидилхолины являются наиболее распространенными фосфолипидами крови и ключевыми липидами при различных патофизиологических состояниях, таких как воспаление, активация эндотелия и атерогенез [77]. Помимо других свойств, они действуют как сигнальная молекула, высвобождаемая апоптотическими клетками для привлечения фагоцитов, которые затем фагоцитируют апоптотические клетки [78]. Такие бактерии, как Legionella pneumophila, используют конечные продукты фосфолипазы А2 (жирные кислоты и лизофосфолипиды), чтобы вызвать апоптоз клеток-хозяев (макрофагов) посредством высвобождения цитохрома С.
Лизофосфатидилхолины присутствуют в клеточной мембране и плазме крови в виде минорных фосфолипидов. Поскольку лизофосфатидилхолины быстро метаболизируются лизофосфолипазой и лизофосфатидилхолин-ацилтрансферазой, они недолговечны in vivo. Путем замены ацильной группы в лизофосфатидилхолинах на алкильную группу были синтезированы алкиллизофосфолипиды (ALP). Эти аналоги лизофосфатидилхолина метаболически стабильны, некоторые из них, такие как эдельфозин, милтефозин и перифозин, находятся на стадии исследований и разработок в качестве препаратов против рака и других заболеваний [79].
Лизофосфатидилсерины (1-стеароил-sn-глицеро-3-фосфосерины, C24H48NO9P) — это глицерофосфолипиды, в которых фрагмент фосфорилсерина занимает место глицерина. Они регулируют транспорт глюкозы, снижая уровень глюкозы в крови, не влияя на секрецию инсулина [80]. Лизофосфатидилсерины функционально связаны с октадекановой кислотой [81]. Повышенное содержание лизофосфатидилсеринов в биологических жидкостях наблюдается при болезни Крона [82], а также связано с развитием воспаления и опухолей [83–87]. Взаимодействие между клетками, экспрессирующими фосфатидилсерин, и иммунными клетками приводит к глубоким последствиям, запуская иммуносупрессивные пути, которые предотвращают как локальную, так и системную иммунную активацию [88].
Фосфатидилинозиты (PtdIns, PI) — минорные фосфолипиды внутреннего слоя мембран эукариотических клеток, важные компоненты внутриклеточных сигнальных путей. Фосфатидилинозит служит субстратом для множества разнообразных сигнальных киназ, которые могут присоединить к инозиту фосфатную группу.
Фосфатидилинозиты действуют как стабилизаторы мембран (HMDB: HMDB0009799) и молекулярные посредники (сигнальная молекула (HMDB: HMDB0009799)). Фосфатидилинозиты участвуют в таких важных сигнальных путях и процессах, как метаболизм жирных кислот (HMDB: HMDB0009799), перекисное окисление липидов (HMDB: HMDB0009799), апоптоз, клеточная адгезия [89], миграция и пролиферация клеток [90]. Их содержание повышается в крови (HMDB: HMDB0009799) при ряде онкологических заболеваний, включая рак молочной железы, колоректальный рак и рак желудка [91].
Аминокислоты и их производные
Злокачественным опухолевым клеткам для поддержания повышенной метаболической и пролиферативной активности необходимы аминокислоты и глюкоза [92].
Известно, что незаменимая аминокислота L-триптофан превращается посредством различных катаболических путей в физиологически важные метаболиты. Метаболизм триптофана представляет собой основной метаболический путь, который одновременно способствует развитию злокачественных свойств опухолевых клеток, а также ограничивает противоопухолевый иммунитет [93]. Изменение метаболизма триптофана при раке через кинурениновый путь привлекло широкое внимание как механизм, с помощью которого опухоли могут ускользать от иммунного контроля. Ферменты индоламин-2,3-диоксигеназа (IDO1, IDO2) и триптофан-2,3-диоксигеназа (TDO) инициируют первые этапы кинуренинового пути, превращая триптофан в кинуренин, при этом TDO-зависимый путь в печени обычно отвечает за большую часть метаболизма триптофана и IDO-опосредованного метаболизма, преимущественно вторичного по отношению к воспалению и цитокин-индуцированной активации. Активация IDO приводит к истощению триптофана и накоплению кинуренина, которые, по-видимому, совместно опосредуют иммуносупрессию посредством анергии, апоптоза Т-клеток и подавления их дифференцировки [94].
Кинуренин (β-(ο-аминобензол)-α-аминопропионовая кислота) — промежуточный продукт ферментативного распада триптофана и биосинтеза никотиновой кислоты в организме человека.
В результате окисления кинуренин превращается в 3-оксикинуренин. Кинуренин и 3-оксикинуренин расщепляются ферментом кинурениназой, содержащей пиридоксаль-5-фосфат, с образованием аланина и 3-оксиантраниловой кислоты. Кинурениновый путь отвечает более чем за 95% окислительной деградации триптофана [95]. Путь биотрансформации L-триптофана с образованием “кинурениновых” метаболитов играет важнейшую роль в механизмах иммунорегуляции и “негативном” контроле иммунного воспаления [96]. Кинуренин-3-монооксигеназа катализирует гидроксилирование l-кинуренина до 3-гидрокси-l-кинуренина с одновременным взаимопревращением NADPН в NADP+ [97]. Ингибирование кинуренин-3-монооксигеназы приводит к увеличению количества кинуреновой кислоты в кинурениновом пути [98].
Индоламинпиррол-2,3-диоксигеназа (IDO, INDO) — кодируемый геном IDO1 гемсодержащий фермент, синтезируемый в ряде клеток и тканей, таких как тонкий кишечник, легкие, женские половые пути и плацента. IDO участвует в метаболизме триптофана. Это один из трех ферментов, которые катализируют первую и скоростьлимитирующую стадию кинуренинового пути [99]. IDO является важной частью иммунной системы и участвует в естественной защите от различных патогенов. Этот фермент вырабатывается клетками в ответ на воспаление и обладает иммунодепрессивной активностью, поскольку способен ограничивать функцию Т-клеток и задействовать механизмы иммунной толерантности [100]. IDO активируется во время развития опухоли, помогая злокачественным клеткам избежать уничтожения иммунной системой. IDO экспрессируется во многих злокачественных опухолях (миелоидный лейкоз, РЯ и колоректальный рак) [101, 102].
Помимо основных путей катаболизма триптофана, существуют также второстепенные и менее изученные пути, один из которых приводит к образованию индолилакриловой кислоты.
Индолакриловая кислота (C11H9NO2, индолакрилат, IA, IAcrA) является гормоном роста растений, тогда как ее биологическая роль у животных до сих пор неясна, как и способ, и место ее образования в организме. Возможно, кишечные микроорганизмы катаболизируют триптофан до производных индола, которые затем абсорбируются и превращаются в индолакриловую кислоту [103]. В клетках индолакриловая кислота находится в основном в мембране. Недавно обнаружили, что индолакриловая кислота способствует барьерной функции кишечного эпителия и снижает воспалительные реакции [104].
Стимуляция выработки индолакриловой кислоты может способствовать противовоспалительным реакциям и иметь терапевтическое значение [103]. Индол-3-акрилат мочи вырабатывается Clostridium sporogenes. Индолакриловая кислота также является метаболитом Peptostreptococcus [105]. Методами масс-спектрометрии индолакриловая кислота обнаружена в крови и моче [106].
В нашем исследовании обнаружено повышение содержания индолакриловой кислоты при РЯ по сравнению с контролем, которое сопровождалось ростом содержания кинуренина. Продукция индолакриловой кислоты может способствовать развитию противовоспалительных реакций [103]. Показано, что она избирательно воздействует на клетки рака молочной железы, но не влияет на нетрансформированные первичные фибробласты.
Два фермента — триптофангидроксилаза-1 и гидроксииндол-О-метилтрансфераза — катализируют синтез 5-метокситриптофана (C12H14N2O3, 5-MTP) из L-триптофана. 5-МТР представляет собой эндотелиальный фактор с противовоспалительными свойствами. Провоспалительные цитокины подавляют выработку эндотелиального 5-MTP путем ингибирования экспрессии триптофангидроксилазы-1 [107]. 5-MTP контролирует миграцию и активацию макрофагов, ингибируя NF-kB. Содержание 5-MTP снижается при хронической болезни почек, печени и остром инфаркте миокарда [108]. 5-MTP обнаружен как фактор фибробластов, подавляющий циклооксигеназу-2. Подавление экспрессии циклооксигеназы-2 сопровождается ингибированием миграции опухолевых клеток, эпителиально-мезенхимального перехода и метастазирования [109].
Изменение метаболизма еще одной ароматической аминокислоты — фенилаланина и его производных также связаны с воспалением и иммунной активацией. Показано, что концентрация фенилаланина в сыворотке крови больных РЯ коррелирует с концентрацией маркеров иммунной активации и развитием окислительного стресса [110]. Очевидно, что метаболизм фенилаланина связан с подавлением Т-клеточного иммунного ответа. Подавление пролиферации Т-клеток может происходить в результате снижения концентрации фенилаланина и увеличения содержания пероксида водорода, образующегося в результате окислительного дезаминирования фенилаланина оксидазой, кодируемой геном, индуцируемым интерлейкином-4 (IL4I1) [93].
Также нами обнаружено изменение содержания дипептидов у больных РЯ: снижение концентрации аспартил-глицина (H-DL-Asp-Gly-OH) и повышение аланил-лейцина (C9H18O3N2). Эти дипептиды являются, вероятно, продуктами неполного распада белков и пептидов. Известно, что некоторые дипептиды оказывают физиологические или сигнальные эффекты, хотя большинство из них — это просто короткоживущие промежуточные продукты специфических путей деградации белковых молекул. Некоторые дипептиды рассматриваются также как биомаркеры заболеваний [111]. Аномальные концентрации аланил-лейцина обнаружены в моче и крови онкологических больных, подвергающихся полному облучению. В ряде исследований показана связь концентраций аланил-лейцина с колоректальным раком [30–32]. Роль аспартил-глицина и аланил-лейцина в патогенезе РЯ требует дальнейшего уточнения.
В моче больных РЯ статистически значимо снижается концентрация гибридного пептида L-бета-аспартил-L-фенилаланина (С13Н16Н2О5). L-бета-аспартил-L-фенилаланин обнаружен в нескольких пищевых продуктах, но его содержание количественно не определено.
Также снижаются концентрации N-ацетил-L-пролина и каприлоилглицина. N-ацетилпролин (C7H11NO3) представляет собой биологически доступную N-концевую форму протеиногенной α-аминокислоты L-пролина. N-ацетиламинокислоты можно получить либо путем прямого синтеза специфическими N-ацетилтрансферазами, либо посредством протеолитической деградации N-ацетилированных белков специфическими гидролазами. Широко распространенное у эукариот N-концевое ацетилирование белков участвует в защите и стабильности белков. N-ацетилированные аминокислоты, такие как N-ацетилпролин, могут высвобождаться N-ацилпептидгидролазой в результате протеолитической деградации пептидов [112]. Многие N-ацетиламинокислоты, включая N-ацетилпролин, классифицируются как уремические токсины, если они присутствуют в большом количестве в сыворотке или плазме [113]. В ряде исследований показана связь N-ацетил-L-пролина с колоректальным раком [30, 31, 33, 114] и метастатической меланомой [115].
Каприлоилглицин — липидная аминокислота, состоящая из каприловой кислоты (8-углеродная жирная кислота) и глицина. Ацилглицины образуются под действием фермента глицин-N-ацилтрансферазы и обычно являются второстепенными метаболитами жирных кислот. Однако экскреция некоторых ацилглицинов увеличивается при врожденных нарушениях метаболизма. Определение содержания этих метаболитов в жидкостях организма может использоваться в диагностике нарушений, связанных с митохондриальным бета-окислением жирных кислот [115].
Производные азотистых оснований и стероиды
Нами обнаружено снижение концентрации 3-метилксантина и увеличение концентрации 3-оксохолевой кислоты в моче больных серозной аденокарциномой яичников по сравнению с контрольной группой.
3-Метилксантин (C6H6N4O2) — это метильное производное пурина, содержащее кетоновую группу (3,7-дигидропурин-2,6-дион). Метилксантины содержатся в продуктах питания и напитках, они тормозят агрегацию тромбоцитов, увеличивают деформируемость эритроцитов, снижают вязкость крови, увеличивают фибринолитическую активность плазмы. Метилксантины могут действовать как антагонисты аденозиновых рецепторов [116]. Методами масс-спектрометрии 3-метилксантин обнаруживается во внутренних органах, моче и крови (HMDB: HMDB0001886). Некоторые данные свидетельствуют о том, что метилксантины обладают противоопухолевым действием [117]: они ингибируют PI3K/Akt/mTOR и стимулируют PTEN, способствуя апоптозу и аутофагии [118].
3-Оксохолевая кислота (C24H38O5) представляет собой 3-оксостероид, производное холевой кислоты, в которой гидроксильная группа в положении 3 подверглась формальному окислению до соответствующего кетона. Изменение концентраций 3-оксохолевой кислоты связано с расстройствами нервной системы, хроническим гепатитом [119], колоректальный раком [120] и хронической диареей [121].
Транскриптомные изменения
МикроРНК — это короткие некодирующие РНК, которые регулируют экспрессию генов, катализируя разрушение мРНК, либо ингибируя трансляцию. Зрелые микроРНК представляют собой одноцепочечные РНК длиной порядка 22 нуклеотидов, образующиеся из первичного транскрипта. МикроРНК являются транскрипционными регуляторами, они модулируют экспрессию генов путем взаимодействия с комплементарными нуклеотидными последовательностями мРНК-мишеней [122]. МикроРНК вносят значительный вклад в инициацию и развитие различных событий, включая инициацию онкогенеза, прогрессирование и метастазирование опухолей, что делает микроРНК потенциальными биомаркерами для оценки прогрессирования и прогноза рака [123]. Изучение регуляторной сети микроРНК-мРНК имеет большое значение как для выяснения молекулярных механизмов, лежащих в основе канцерогенеза, так и создания панели новых биомаркеров.
С применением методов машинного обучения нами установлены связи между аномальными концентрациями метаболитов и генами, кодирующими белки, участвующие в синтезе и деградации этих метаболитов, а также связи между генами-регуляторами метаболитов и микроРНК-регуляторами этих генов.
Путем биоинформатического анализа определен список из 613 уникальных микроРНК, участвующих в регуляции концентрации 26 метаболитов. Из 613 микроРНК были отобраны только микроРНК с максимальной силой взаимодействия с мРНК генов-регуляторов содержания метаболитов. В результате получили 85 микроРНК, уровень транскриптов 47 из которых изменялся в моче при РЯ (определено методом ПЦР).
Наиболее значимо (p < 0.005) у больных РЯ изменялся уровень транскриптов hsa-miR-382-5p, hsa-miR-593-3p, hsa-miR-29a-5p, hsa-miR-2110, hsa-miR-30c-5p, hsa-miR-181a-5p, hsa-let-7b-5p, hsa-miR-27a-3p, hsa-miR-370-3p, hsa-miR-6529-5p, hsa-miR-653-5p, hsa-miR-4742-5p, hsa-miR-2467, hsa-miR-1909-5p, hsa-miR-6743-5p, hsa-miR-875-3p, hsa-miR-19a-3p, hsa-miR-208a-5p, hsa-miR-330-5p, hsa-miR-1207-5p, hsa-miR-4668-3p, hsa-miR-3193, hsa-miR-23a-3p, hsa-miR-12132, hsa-miR-765, hsa-miR-181b-5p, hsa-miR-4529-3p, hsa-miR-33b-5p, hsa-miR-17-5p, hsa-miR-6866-3p, hsa-miR-4753-5p, hsa-miR-103a-3p, hsa-miR-423-5p, hsa-miR-491-5p, hsa-miR-196b-5p, hsa-miR-6843-3p и hsa-miR-3184-5p относительно их уровня в моче условно здоровых индивидов.
Изменение уровня экспрессии некоторых из этих микроРНК ассоциировано с серозным раком яичников: hsa-miR-382-5p, hsa-miR-27a-3p, hsa-miR-1207-5p, hsa-miR-423-5p [124], hsa-miR-593-3p [125], hsa-miR-29a-5p [126, 127] и hsa-miR-30c-5p [128, 129].
Предложенная нами панель микроРНК (hsa-miR-33b-5p/hsa-miR-423-5p, hsa-miR-6843-3p/hsa-miR-4668-3p, hsa-miR-4668-3p/hsa-miR-423-5p, hsa-miR-30c-5p/hsa-miR-6743-5p, hsa-miR-423-5p/hsa-miR-6743-5p, hsa-miR-4742-5p/hsa-miR-1207-5p и hsa-miR-4668-3p/hsa-miR-17-5p) является уникальной, нам не известны публикации, содержащие панель с таким сочетанием микроРНК.
Современная клиническая онкогинекология испытывает серьезную потребность в эффективных биомаркерах, изменение уровней которых может служить доказательством возникновения злокачественного процесса. Неинвазивный и недорогой ПЦР-анализ микроРНК в моче делает его особенно привлекательным инструментом скрининга. Применение данного подхода делает возможным частое тестирование женщин, принадлежащих к группам высокого риска, с последующим лечением и длительным наблюдением.
Очевидно, что транскриптомный дисбаланс начинается в тканях, приводит к дисбалансу метаболома и в итоге отражается на составе биологических жидкостей организма.
Таким образом, метаболомное и транскриптомное профилирование мочи позволило как выявить потенциальные маркеры заболевания, так и лучше понять молекулярные механизмы изменений, лежащих в основе развития РЯ.
Заключение
У больных серозной аденокарциномой яичника обнаружено значительное изменение метаболома мочи, выраженное в аномальных концентрациях липидов и их производных, жирных кислот и их производных, ацилкарнитинов, аминокислот и их производных, производных азотистых оснований и стероидов. Биоинформатический анализ позволил выявить гены, ассоциированные с изменением концентраций метаболитов в биологических жидкостях, а также определить 613 уникальных микроРНК, участвующих в регуляции этих генов и, соответствено, концентрации 26 метаболитов. Изменение уровня транскриптов микроРНК hsa-miR-33b-5p/hsa-miR-423-5p, hsa-miR-6843-3p/hsa-miR-4668-3p, hsa-miR-4668-3p/hsa-miR-423-5p, hsa-miR-30c-5p/hsa-miR-6743-5p, hsa-miR-423-5p/hsa-miR-6743-5p, hsa-miR-4742-5p/hsa-miR-1207-5p и hsa-miR-4668-3p/hsa-miR-17-5p в моче может служить диагностическим маркером РЯ.
Авторы выражают благодарность Аллилуеву И.А. за подготовку оборудования и протоколов для УВЭЖХ-МС. Работа выполнена с использованием научного оборудования ЦКП НМИЦ онкологии МЗ РФ, https://ckp-rf.ru/catalog/ckp/3554742/.
Все исследования проводились в соответствии с принципами биомедицинской этики, изложенными в Хельсинкской декларации 1964 г. и последующих поправках к ней. Они также были одобрены Комитетом по биоэтике ФГБУ “Национальный медицинский исследовательский центр онкологии” Минздрава России, протокол № 15 от 19.04.2022 года. От каждого участника, включенного в исследование, получено информированное добровольное согласие.
Работа не имела сторонних источников финансирования.
Авторы заявляют об отсутствии конфликта интересов.
Авторлар туралы
D. Kutilin
National Medical Research Center of Oncology, Ministry of Health of the Russian Federation
Хат алмасуға жауапты Автор.
Email: k.denees@yandex.ru
Ресей, Rostov-on-Don
O. Guskova
National Medical Research Center of Oncology, Ministry of Health of the Russian Federation
Email: k.denees@yandex.ru
Ресей, Rostov-on-Don
F. Filippov
National Medical Research Center of Oncology, Ministry of Health of the Russian Federation
Email: k.denees@yandex.ru
Ресей, Rostov-on-Don
A. Maksimov
National Medical Research Center of Oncology, Ministry of Health of the Russian Federation
Email: k.denees@yandex.ru
Ресей, Rostov-on-Don
Әдебиет тізімі
- Reid B.M., Permuth J.B., Sellers T.A. (2017) Epidemiology of ovarian cancer: a review. Cancer Biol. Med. 14(1), 9–32.
- Каприн А.Д., Старинский В.В., Петрова Г.В. (2019) Злокачественные новообразования в России в 2018 г. (заболеваемость и смертность). М.: МНИОИ им. П.А. Герцена — филиал ФГБУ “НМИЦ радиологии” Минздрава России.
- Цандекова М.Р., Порханова Н.В., Кутилин Д.С. (2020) Молекулярная характеристика серозной аденокарциномы яичника: значение для диагностики и лечения. Современные проблемы науки и образования. №1. https://science-education.ru/ru/article/view?id=29428
- Meinhold-Heerlein I., Fotopoulou C., Harter P., Kurzeder C., Mustea A., Wimberger P., Hauptmann S., Sehouli J. (2016) The new WHO classification of ovarian, fallopian tube, and primary peritoneal cancer and its clinical implications. Arch. Gynecol. Obstet. 293(4), 695–700.
- Rooth C. (2013) Ovarian cancer: risk factors, treatment and management. Br. J. Nurs. 22 (17), S 23–30.
- Swiatly A., Plewa S, Matysiak J., Kokot Z.J. (2018) Mass spectrometry-based proteomics techniques and their application in ovarian cancer research. J. Ovarian Res. 11(1), 88. https://doi.org/10.1186/s13048-018-0460-6
- Veenstra T.D. (2012) Metabolomics: the final frontier? Genome Med. 4(4), 40.
- Schmidt D.R., Patel R., Kirsch D.G., Lewis C.A., Vander Heiden M.G., Locasale J.W. (2021) Metabolomics in cancer research and emerging applications in clinical oncology. CA Cancer J. Сlin. 71(4), 333–358.
- Balcells I., Cirera S., Busk P.K. (2011) Specific and sensitive quantitative RT-PCR of miRNAs with DNA primers. BMC Biotechnol. 11(1), 70.
- Vandesompele J., De Preter K., Pattyn F., Poppe B., Van Roy N., De Paepe A., Speleman F. (2002) Accurate normalization of real-time quantitative RT-PCR data by geometric averaging of multiple internal control genes. Genome Biol. 3(7), research0034.
- Peltier H.J., Latham G.J. (2008) Normalization of microRNA expression levels in quantitative RT-PCR assays: identification of suitable reference RNA targets in normal and cancerous human solid tissues. RNA. 14, 844–852.
- Shen Y., Li Y., Ye F., Wang F., Wan X., Lu W., Xie X. (2011) Identification of miR-23a as a novel microRNA normalizer for relative quantification in human uterine cervical tissues. Exp. Mol. Med. 43, 358–366.
- Кутилин Д.С., Димитриади С.Н., Водолажский Д.И., Франциянц Е.М., Кит О.И. (2017) Влияние тепловой ишемии-реперфузии на экспрессию апоптоз-регулирующих генов в почечной ткани больных с почечно-клеточным раком. Нефрология. 21(1), 80–86.
- Jones E., Oliphant E., Peterson P. (2001) SciPy: Open source scientific tools for python. http://www.scipy.org/
- Ding J., Li X., Hu H. (2016) TarPmiR: a new approach for microRNA target site prediction. Bioinformatics. 32(18), 2768–2775.
- Цандекова М.Р., Порханова Н.В., Кит О.И., Кутилин Д.С. (2021) Малоинвазивная молекулярная диагностика серозной аденокарциномы яичника высокой и низкой степени злокачественности. Онкогинекология. 4, 35–50.
- Causin R., Pessôa-Pereira D., Souza K., Evangelista A., Reis R., Fregnani J., Marques M. (2019) Identification and performance evaluation of housekeeping genes for microRNA expression normalization by reverse transcription-quantitative PCR using liquid-based cervical cytology samples. Oncol. Lett. 18, 4753–4761.
- Hanke M., Hoefig K., Merz H., Feller A., Kausch I., Jocham D., Warnecke J., Sczakiel G. (2010) A robust methodology to study urine microRNA as tumor marker: microRNA-126 and microRNA-182 are related to urinary bladder cancer. Urol. Oncol. 28(6), 655–661.
- Weber J., Baxter D., Zhang S., Huang D., Huang K., Lee M., Galas D., Wang K. (2010) The microRNA spectrum in 12 body fluids. Clin. Сhem. 56(11), 1733–1741.
- Zafari S., Backes C., Leidinger P., Meese E., Keller A. (2015) Regulatory microRNA networks: complex patterns of target pathways for disease-related and housekeeping microRNAs. Genomics Proteomics Bioinformatics. 13, 159–168.
- Koundouros N., Poulogiannis G. (2020) Reprogramming of fatty acid metabolism in cancer. Br. J. Сancer. 122(1), 4–22.
- Zhao S., Cheng L., Shi Y., Li J., Yun Q., Yang H. (2021) MIEF2 reprograms lipid metabolism to drive progression of ovarian cancer through ROS/AKT/mTOR signaling pathway. Cell Death Dis. 12(1), 18.
- Zazula R., Moravec M., Pehal F., Nejtek T., Protuš M., Müller M. (2021) Myristic acid serum levels and their significance for diagnosis of systemic inflammatory response, sepsis, and bacteraemia. J. Person. Med. 11(4), 306.
- Nelson D.L, Cox M.M. (2005) Lehninger principles of biochemistry (4th ed.). New York: W.H. Freeman.
- Matta M., Deubler E., Chajes V., Vozar B., Gunter M.J., Murphy N., Gaudet M.M. (2022) Circulating plasma phospholipid fatty acid levels and breast cancer risk in the Cancer Prevention Study‐II Nutrition Cohort. Int. J. Cancer. 151(12), 2082–2094.
- Aglago E.K., Murphy N., Huybrechts I., Nicolas G., Casagrande C., Fedirko V., Weiderpass E., Rothwell J.A., Dahm C.C., Olsen A., Tjønneland A., Kaaks R., Katzke V., Schulze M.B., Masala G., Agnoli C., Panico S., Tumino R., Sacerdote C., Bueno-de-Mesquita B.H., Derksen J.W.G., Skeie G., Gram I.T., Brustad M., Jakszyn P., Sánchez M.J., Amiano P., Huerta J.M., Ericson U., Wennberg M., Perez-Cornago A., Heath A.K., Jenab M., Chajes V., Gunter M.J. (2021) Dietary intake and plasma phospholipid concentrations of saturated, monounsaturated and trans fatty acids and colorectal cancer risk in the European Prospective Investigation into Cancer and Nutrition Сohort. Int. J. Сancer. 149(4), 865–882.
- Weir T.L., Manter D.K., Sheflin A.M., Barnett B.A., Heuberger A.L., Ryan E.P. (2013) Stool microbiome and metabolome differences between colorectal cancer patients and healthy adults. PLoS One. 8(8), e70803.
- Cheng Y., Xie G., Chen T., Qiu Y., Zou X., Zheng M., Tan B., Feng B., Dong T., He P., Zhao L., Zhao A., Xu L.X., Zhang Y., Jia W. (2012) Distinct urinary metabolic profile of human colorectal cancer. J. Proteome Res. 11(2), 1354–1363.
- Ni Y., Xie G., Jia W. (2014) Metabonomics of human colorectal cancer: new approaches for early diagnosis and biomarker discovery. J. Proteome Res. 13(9), 3857–3870.
- Brown D.G., Rao S., Weir T.L., O'Malia J., Bazan M., Brown R.J., Ryan E.P. (2016) Metabolomics and metabolic pathway networks from human colorectal cancers, adjacent mucosa, and stool. Cancer Metab. 4, 11.
- Sinha R., Ahn J., Sampson J.N., Shi J., Yu G., Xiong X., Hayes R.B., Goedert J.J. (2016) Fecal microbiota, fecal metabolome, and colorectal cancer interrelations. PLoS One. 11(3), e0152126.
- Goedert J.J., Sampson J.N., Moore S.C., Xiao Q., Xiong X., Hayes R.B., Ahn J., Shi J., Sinha R. (2014) Fecal metabolomics: assay performance and association with colorectal cancer. Carcinogenesis. 35(9), 2089–2096.
- Wang X., Wang J., Rao B., Deng L. (2017) Gut flora profiling and fecal metabolite composition of colorectal cancer patients and healthy individuals. Exp. Ther. Med. 13(6), 2848–2854.
- Jenske R., Vetter W. (2008) Enantioselective analysis of 2-and 3-hydroxy fatty acids in food samples. J. Agric. Food Chem. 56(24), 11578–11583.
- Hama H. (2010) Fatty acid 2-hydroxylation in mammalian sphingolipid biology. Biochim. Biophys. Acta. 1801(4), 405–414.
- Guo L., Zhang X., Zhou D., Okunade A.L., Su X. (2012) Stereospecificity of fatty acid 2-hydroxylase and differential functions of 2-hydroxy fatty acid enantiomers. J. Lipid Res. 53(7), 1327–1335.
- Sun L., Yang X., Huang X., Yao Y., Wei X., Yang S., Zhou D., Zhang W., Long Z., Xu X., Zhu X., He S., Su X. (2021) 2-Hydroxylation of fatty acids represses colorectal tumorigenesis and metastasis via the YAP transcriptional axis FA2H regulates metabolic reprogramming in colorectal cancer. Cancer Res. 81(2), 289–302.
- Lemay A.M., Courtemanche O., Couttas T.A., Jamsari G., Gagné A., Bossé Y., Joubert P., Don A.S., Marsolais D. (2019) High FA2H and UGT8 transcript levels predict hydroxylated hexosylceramide accumulation in lung adenocarcinoma. J. Lipid Res. 60(10), 1776–1786.
- Paige L.A., Zheng G.-Q., DeFrees S.A., Cassady J.M., Geahlen R.L. (1990) Metabolic activation of 2-substituted derivatives of myristic acid to form potent inhibitors of myristoyl CoA:protein N-myristoyltransferase. Biochemistry. 29, 10566‒10573.
- Nadler M.J., Harrison M.L., Ashendel C.L., Cassady J.M., Geahlen R.L. (1993) Treatment of T cells with 2-hydroxymyristic acid inhibits the myristoylation and alters the stability of p56lck. Biochemistry. 32(35), 9250–9255.
- Batsika C.S., Mantzourani C., Gkikas D., Kokotou M.G., Mountanea O.G., Kokotos C.G., Politis P.K., Kokotos G. (2021) Saturated oxo fatty acids (SOFAs): а previously unrecognized class of endogenous bioactive lipids exhibiting a cell growth inhibitory activity. J. Med. Chem. 64(9), 5654–5666.
- McCann M.R., George De la Rosa M.V., Rosania G.R., Stringer K.A. (2021) L-carnitine and acylcarnitines: mitochondrial biomarkers for precision medicine. Metabolites. 11(1), 51.
- Console L., Scalise M., Mazza T., Pochini L., Galluccio M., Giangregorio N., Tonazzi A., Indiveri C. (2020) Carnitine traffic in cells. Link with cancer. Front. Cell Dev. Biol. 8, 583850.
- Warburg O., Wind F., Negelein E. (1927) The metabolism of tumors in the body. J. Gen. Physiol. 8(6), 519‒530.
- Ganapathy V., Thangaraju M., Prasad P.D. (2009) Nutrient transporters in cancer: relevance to Warburg hypothesis and beyond. Pharmacol. Тher. 121(1), 29–40.
- Zhang J., Wu G., Zhu H., Yang F., Yang S., Vuong A.M., Li J., Zhu D., Sun Y., Tao W. (2022) Circulating carnitine levels and breast cancer: a matched retrospective case-control study. Front. Oncol. 12, 891619.
- Kim H.I., Raffler J., Lu W., Lee J.J., Abbey D., Saleheen D., Rabinowitz J.D., Bennett M.J., Hand N.J., Brown C., Rader D.J. (2017) Fine mapping and functional analysis reveal a role of SLC22A1 in acylcarnitine transport. Am. J. Hum. Genet. 101(4), 489–502.
- Hagenbuchner J., Scholl-Buergi S., Karall D., Ausserlechner M.J. (2018) Very long— and long сhain-3-hydroxy acyl CoA dehydrogenase deficiency correlates with deregulation of the mitochondrial fusion/fission machinery. Sci. Rep. 8(1), 3254.
- Vargas C.R., Ribas G.S., da Silva J.M., Sitta A., Deon M., de Moura Coelho D., Wajner M. (2018) Selective screening of fatty acids oxidation defects and organic acidemias by liquid chromatography/tandem mass spectrometry acylcarnitine analysis in Brazilian patients. Arch. Med. Res. 49(3), 205–212.
- Makrecka-Kuka M., Sevostjanovs E., Vilks K., Volska K., Antone U., Kuka J., Makarova E., Pugovics O., Dambrova M., Liepinsh E. (2017) Plasma acylcarnitine concentrations reflect the acylcarnitine profile in cardiac tissues. Sci. Rep. 7(1), 17528.
- Violante S., Ijlst L., Ruiter J., Koster J., van Lenthe H., Duran M., de Almeida I.T., Wanders R.J., Houten S.M., Ventura F.V. (2013) Substrate specificity of human carnitine acetyltransferase: implications for fatty acid and branched-chain amino acid metabolism. Biochim. Biophys. Acta. 1832(6), 773–779.
- Ahmad T., Kelly J.P., McGarrah R.W., Hellkamp A.S., Fiuzat M., Testani J.M., Wang T.S., Verma A., Samsky M.D., Donahue M.P., Ilkayeva O.R., Bowles D.E., Patel C.B., Milano C.A., Rogers J.G., Felker G.M., O'Connor C.M., Shah S.H., Kraus W.E. (2016) Prognostic implications of long-chain acylcarnitines in heart failure and reversibility with mechanical circulatory support. J. Am. Coll. Cardiol. 67(3), 291–299.
- Wang Y., Chen Y., Guan L., Zhang H., Huang Y., Johnson C.H., Wu Z., Gonzalez F.J., Yu A., Huang P., Wang Y., Yang S., Chen P., Fan X., Huang M., Bi H. (2018) Carnitine palmitoyltransferase 1C regulates cancer cell senescence through mitochondria-associated metabolic reprograming. Cell Death Differ. 25(4), 735–748.
- Valentino A., Calarco A., Di Salle A., Finicelli M., Crispi S., Calogero R.A., Riccardo F., Sciarra A., Gentilucci A., Galderisi U., Margarucci S., Peluso G. (2017) Deregulation of microRNAs mediated control of carnitine cycle in prostate cancer: molecular basis and pathophysiological consequences. Oncogene. 36(43), 6030–6040.
- Ganti S., Taylor S.L., Kim K., Hoppel C.L., Guo L., Yang J., Evans C., Weiss R.H. (2012) Urinary acylcarnitines are altered in human kidney cancer. Internat. J. Сancer. 130(12), 2791–2800.
- Santer R., Fingerhut R., Lässker U., Wightman P.J., Fitzpatrick D.R., Olgemöller B., Roscher A.A. (2003) Tandem mass spectrometric determination of malonylcarnitine: diagnosis and neonatal screening of malonyl-CoA decarboxylase deficiency. Clin. Chem. 49(4), 660–662.
- Bouatra S., Aziat F., Mandal R., Guo A.C., Wilson M.R., Knox C., Bjorndahl T.C., Krishnamurthy R., Saleem F., Liu P., Dame Z.T., Poelzer J., Huynh J., Yallou F.S., Psychogios N., Dong E., Bogumil R., Roehring C., Wishart D.S. (2013) The human urine metabolome. PLoS One. 2013(9), e73076.
- Clayton P.T., Eaton S., Aynsley-Green A., Edginton M., Hussain K., Krywawych S., Datta V., Malingre H.E., Berger R., van den Berg I.E. (2001) Hyperinsulinism in short-chain L-3-hydroxyacyl-CoA dehydrogenase deficiency reveals the importance of beta-oxidation in insulin secretion. J. Clin. Invest. 108(3), 457–465.
- Catanzano F., Ombrone D., Di Stefano C., Rossi A., Nosari N., Scolamiero E., Tandurella I., Frisso G., Parenti G., Ruoppolo M., Andria G., Salvatore F. (2010) The first case of mitochondrial acetoacetyl-CoA thiolase deficiency identified by expanded newborn metabolic screening in Italy: the importance of an integrated diagnostic approach. J. Inherit. Metab. Dis. 33(Suppl 3), S91–94.
- Nizioł J., Bonifay V., Ossoliński K., Ossoliński T., Ossolińska A., Sunner J., Beech I., Arendowski A., Ruman T. (2018) Metabolomic study of human tissue and urine in clear cell renal carcinoma by LC-HRMS and PLS-DA. Anal. Bioanal. Chem. 410(16), 3859–3869.
- Dambrova M., Makrecka-Kuka M., Kuka J., Vilskersts R., Nordberg D., Attwood M.M., Smesny S., Sen Z.D., Guo A.C., Oler E., Tian S., Zheng J., Wishart D.S., Liepinsh E., Schiöth H.B. (2022) Acylcarnitines: nomenclature, biomarkers, therapeutic potential, drug targets, and clinical trials. Pharmacol. Rev. 74(3), 506–551.
- Pierre G., Macdonald A., Gray G., Hendriksz C., Preece M.A., Chakrapani A. (2007) Prospective treatment in carnitine-acylcarnitine translocase deficiency. J. Inherit. Metab. Dis. 30(5), 815.
- Huang Z., Lin L., Gao Y., Chen Y., Yan X., Xing J., Hang W. (2011) Bladder cancer determination via two urinary metabolites: a biomarker pattern approach. Mol. Cell. Proteomics. 10(10), M111.007922.
- Chace D.H., DiPerna J.C., Adam B.W., Hannon W.H. (2001) Errors caused by the use of D,L-octanoylcarnitine for blood-spot calibrators. Clin. Chem. 47(4), 758–760.
- Kolho K.L., Pessia A., Jaakkola T., de Vos W.M., Velagapudi V. (2017) Faecal and serum metabolomics in paediatric inflammatory bowel disease. J. Crohns Colitis. 11(3), 321–334.
- Cho K., Moon J.S., Kang J.H., Jang H.B., Lee H.J., Park S.I., Yu K.S., Cho J.Y. (2017) Combined untargeted and targeted metabolomic profiling reveals urinary biomarkers for discriminating obese from normal-weight adolescents. Pediatr. Obes. 12(2), 93–101.
- Chang W., Fa H., Xiao D., Wang J. (2020) Targeting phosphatidylserine for сancer therapy: prospects and challenges. Theranostics. 10(20), 9214–9229.
- Rolin J., Maghazachi A.A. (2011) Effects of lysophospholipids on tumor microenvironment. Cancer Microenvironment. 4(3), 393–403.
- Li X., Nakayama K., Goto T., Kimura H., Akamatsu S., Hayashi Y., Fujita K., Kobayashi T., Shimizu K., Nonomura N., Ogawa O., Inoue T. (2021) High level of phosphatidylcholines/lysophosphatidylcholine ratio in urine is associated with prostate cancer. Cancer Sci. 112(10), 4292–4302. doi: 10.1111/cas.15093.
- Ray U., Roy Chowdhury S., Vasudevan M., Bankar K., Roychoudhury S., Roy S.S. (2017) Gene regulatory networking reveals the molecular cue to lysophosphatidic acid‐induced metabolic adaptations in ovarian cancer cells. Mol. Oncol. 11(5), 491–516.
- Lordan R., Redfern S., Tsoupras A., Zabetakis I. (2020) Inflammation and cardiovascular disease: are marine phospholipids the answer? Food Function. 11(4), 2861–2885.
- Xi Y., Tu A., Muddiman D.C. (2020) Lipidomic profiling of single mammalian cells by infrared matrix-assisted laser desorption electrospray ionization (IR-MALDESI). Anal. Bioanal. Chem. 412, 8211–8222.
- Rodgers A.L., Jappie-Mahomed D., van Jaarsveld P.J. (2019) Testing the dogma that total phospholipid fatty acid composition of blood plays a role in kidney stone pathogenesis, using a high–low risk human model: results from a pilot study. Urolithiasis. 47, 255–261.
- Küllenberg D., Taylor L.A., Schneider M., Massing U. (2012) Health effects of dietary phospholipids. Lipids Health Dis. 11, 3.
- Min H.K., Lim S., Chung B.C, Moon M.H. (2011) Shotgun lipidomics for candidate biomarkers of urinary phospholipids in prostate cancer. Analyt. Bioanalyt. Chem. 399, 823–830.
- Zeleznik O.A., Clish C.B., Kraft P., Avila-Pacheco J., Eliassen A.H., Tworoger S.S. (2020) Circulating lysophosphatidylcholines, phosphatidylcholines, ceramides, and sphingomyelins and ovarian cancer risk: a 23-year prospective study. J. Natl. Cancer Inst. 112(6), 628–636.
- Li X., Wang L., Fang P., Sun Y., Jiang X., Wang H., Yang X.F. (2018) Lysophospholipids induce innate immune transdifferentiation of endothelial cells, resulting in prolonged endothelial activation. J. Biol. Chem. 293(28), 11033–11045.
- Lauber K., Bohn E., Kröber S.M., Xiao Y. (2003) Apoptotic cells induce migration of phagocytes via caspase-3-mediated release of a lipid attraction signal. Cell. 113(6), 717–730.
- Houlihan W., Lohmeyer M., Workman P., Cheon S.H. (1995) Phospholipid antitumor agents. Med. Res. Rev. 15(3), 157–223.
- Yea K., Kim J., Lim S., Kwon T., Park H.S., Park K.S., Suh P.G., Ryu S.H. (2009) Lysophosphatidylserine regulates blood glucose by enhancing glucose transport in myotubes and adipocytes. Biochem. Biophys. Res. Commun. 378(4), 783–788.
- National Center for Biotechnology Information (2023) PubChem Compound Summary for CID 42607474, Lysophosphatidylserine. https://pubchem.ncbi.nlm.nih.gov/compound/Lysophosphatidylserine
- Otake-Kasamoto Y., Kayama H., Kishikawa T., Shinzaki S., Tashiro T., Amano T., Tani M., Yoshihara T., Li B., Tani H., Liu L., Hayashi A., Okuzaki D., Motooka D., Nakamura S., Okada Y., Iijima H., Takeda K., Takehara T. (2022) Lysophosphatidylserines derived from microbiota in Crohn's disease elicit pathological Th1 response. J. Exp. Med. 219(7), e20211291.
- Sim M.S., Kim H.J., Jo S.H., Kim C., Chung I.Y. (2022) Lysophosphatidylserine induces MUC5AC production via the feedforward regulation of the TACE-EGFR-ERK pathway in airway epithelial cells in a receptor-independent manner. Int. J. Mol. Sci. 23(7), 3866.
- Frasch S.C., Bratton D.L. (2012) Emerging roles for lysophosphatidylserine in resolution of inflammation. Progr. Lipid Res. 51(3), 199–207.
- Zhou Y., Chang M., Wang N., Zhuang Y., Wang F., Zhang X., Guo M., Lin N., Li J.Z., Wang Q. (2022) Phosphatidylserine-specific phospholipase A1 limits aggressiveness of lung adenocarcinoma by lysophosphatidylserine and protein kinase A-dependent pathway. Am. J. Pathol. 192(6), 970–983.
- Uranbileg B., Kurano M., Sato M., Ikeda H., Ishizawa T., Hasegawa K., Kokudo N., Yatomi Y. (2020) Possible involvement of PS-PLA1 and lysophosphatidylserine receptor (LPS1) in hepatocellular carcinoma. Sci. Rep. 10(1), 2659.
- Iida Y.H., Tsuno N., Kishikawa J., Kaneko K., Murono K., Kawai K., Ikeda T., Ishihara S., Yamaguchi H., Sunami E., Kitayama J., Yatomi Y., Watanabe T. (2014) Lysophosphatidylserine stimulates chemotactic migration of colorectal cancer cells through GPR34 and PI3K/Akt pathway. Anticancer Res. 34(10), 5465–5472.
- Kaynak A., Davis H.W., Kogan A.B., Lee J.H., Narmoneva D.A., Qi X. (2022) Phosphatidylserine: the unique dual-role biomarker for cancer imaging and therapy. Cancers. 14(10), 2536.
- Wood M.N., Ishiyama N., Singaram I., Chung C.M., Flozak A.S., Yemelyanov A., Ikura M., Cho W., Gottardi C.J. (2017) α-Catenin homodimers are recruited to phosphoinositide-activated membranes to promote adhesion. J. Cell. Biol. 216(11), 3767–3783.
- Ramos A.R., Elong Edimo W., Erneux C. (2018) Phosphoinositide 5-phosphatase activities control cell motility in glioblastoma: two phosphoinositides PI(4,5)P2 and PI(3,4)P2 are involved. Adv. Biol. Regul. 67, 40–48.
- Owusu Obeng E., Rusciano I., Marvi M.V., Fazio A., Ratti S., Follo M.Y., Xian J., Manzoli L., Billi A.M., Mongiorgi S., Ramazzotti G., Cocco L. (2020) Phosphoinositide-dependent signaling in cancer: a focus on phospholipase C isozymes. Int. J. Mol. Sci. 21(7), 2581.
- Endicott M., Jones M., Hull J. (2021) Amino acid metabolism as a therapeutic target in cancer: a review. Amino Acids. 53(8), 1169–1179.
- Sikalidis A.K. (2015) Amino acids and immune response: a role for cysteine, glutamine, phenylalanine, tryptophan and arginine in T-cell function and cancer? Pathol. Oncol. Res. 21(1), 9–17.
- Feng X., Shen P., Wang Y., Li Z., Bian J. (2019) Synthesis and in vivo antitumor evaluation of an orally active potent phosphonamidate derivative targeting IDO1/IDO2/TDO. Biochem. Pharmacol. 168, 214–223.
- Badawy A.A. (2017) Kynurenine pathway of tryptophan metabolism: regulatory and functional aspects. Int. J. Tryptophan Res. 10, 11786469–17691938.
- Сибиряк С.В., Вахитов В.А., Садовников С.В., Ямиданов Р.С., Капулер О.М., Каут Д.А. (2009) Индуцированная IFNγ продукция кинуренина и экспрессия гена индоламин-2,3-диоксигеназы при псориазе. Мед. Иммунол. 2–3, 147–152.
- Breton J., Avanzi N., Magagnin S., Covini N., Magistrelli G., Cozzi L., Isacchi A. (2000) Functional characterization and mechanism of action of recombinant human kynurenine 3-hydroxylase. Eur. J. Biochem. 267(4), 1092–1099.
- Hilmas C., Pereira E.F., Alkondon M., Rassoulpour A., Schwarcz R., Albuquerque E.X. (2001) The brain metabolite kynurenic acid inhibits α7 nicotinic receptor activity and increases non-α7 nicotinic receptor expression: рhysiopathological implications. J. Neurosci. 21(19), 7463–7473.
- Badawy A.A., Bano S. (2016) Tryptophan metabolism in rat liver after administration of tryptophan, kynurenine metabolites, and kynureninase inhibitors. Int. J. Tryptophan Res. 9, 51–65.
- Munn D.H., Mellor A.L. (2013) Indoleamine 2,3-dioxygenase and metabolic control of immune responses. Trends Immunol. 34(3), 137–143.
- Prendergast G.C., Smith C., Thomas S., Mandik-Nayak L., Laury-Kleintop L., Metz R., Muller A.J. (2014) Indoleamine 2,3-dioxygenase pathways of pathogenic inflammation and immune escape in cancer. Cancer Immunol. Immunother. 63(7), 721–735.
- Munn D.H., Mellor A.L. (2016) IDO in the tumor microenvironment: inflammation, counter-regulation, and tolerance. Trends Immunol. 37(3), 193–207.
- Wlodarska M., Luo C., Kolde R., d'Hennezel E., Annand J.W., Heim C.E., Krastel P., Schmitt E.K., Omar A.S., Creasey E.A., Garner A.L., Mohammadi S., O'Connell D.J., Abubucker S., Arthur T.D., Franzosa E.A., Huttenhower C., Murphy L.O., Haiser H.J., Vlamakis H., Porter J.A., Xavier R.J. (2017) Indoleacrylic acid produced by commensal Peptostreptococcus species suppresses inflammation. Cell Host Microbe. 22(1), 25–37.
- Liu D., Zhang S., Li S., Zhang Q., Cai Y., Li P., Li H., Shen B., Liao Q., Hong Y., Xie Z. (2023) Indoleacrylic acid produced by Parabacteroides distasonis alleviates type 2 diabetes via activation of AhR to repair intestinal barrier. BMC Biol. 21(1), 90.
- Dodd D., Spitzer M.H., Van Treuren W., Merrill B.D., Hryckowian A.J., Higginbottom S.K., Le A., Cowan T.M., Nolan G.P., Fischbach M.A., Sonnenburg J.L. (2017) A gut bacterial pathway metabolizes aromatic amino acids into nine circulating metabolites. Nature. 551(7682), 648–652.
- González-Domínguez R., Jáuregui O., Queipo-Ortuño M.I., Andrés-Lacueva C. (2020) Characterization of the human exposome by a comprehensive and quantitative large-scale multianalyte metabolomics platform. Anal. Chem. 92(20), 13767–13775.
- Tanaka M., Tóth F., Polyák H., Szabó Á., Mándi Y., Vécsei L. (2021) Immune influencers in action: metabolites and enzymes of the tryptophan-kynurenine metabolic pathway. Biomedicines. 9(7), 734.
- Kanova M., Kohout P. (2021) Tryptophan: a unique role in the critically ill. Int. J. Mol. Sci. 22(21), 11714.
- Cheng H.H., Kuo C.C., Yan J.L., Chen H.L., Lin W.C., Wang K.H., Tsai K.K., Guvén H., Flaberg E., Szekely L., Klein G., Wu K.K. (2012) Control of cyclooxygenase-2 expression and tumorigenesis by endogenous 5-methoxytryptophan. Proc. Natl. Acad. Sci. USA. 109(33), 13231–13236.
- Neurauter G., Grahmann A.V., Klieber M., Zeimet A., Ledochowski M., Sperner-Unterweger B., Fuchs D. (2008) Serum phenylalanine concentrations in patients with ovarian carcinoma correlate with concentrations of immune activation markers and of isoprostane-8. Cancer Lett. 272(1), 141–147.
- Ozawa H., Hirayama A., Shoji F., Maruyama M., Suzuki K., Yamanaka-Okumura H., Tatano H., Morine Y., Soga T., Shimada M., Tomita M. (2020) Comprehensive dipeptide analysis revealed cancer-specific profile in the liver of patients with hepatocellular carcinoma and hepatitis. Metabolites. 10(11), 442.
- Sass J.O., Mohr V., Olbrich H., Engelke U., Horvath J., Fliegauf M., Loges N.T., Schweitzer-Krantz S., Moebus R., Weiler P., Kispert A., Superti-Furga A., Wevers R.A., Omran H. (2006) Mutations in ACY1, the gene encoding aminoacylase 1, cause a novel inborn error of metabolism. Am. J. Hum. Genet. 78(3), 401–409.
- Tanaka H., Sirich T.L., Plummer N.S., Weaver D.S., Meyer T.W. (2015) An еnlarged profile of uremic solutes. PLoS One. 10(8), e0135657.
- Lin Y., Ma C., Liu C., Wang Z., Yang J., Liu X., Shen Z., Wu R. (2016) NMR-based fecal metabolomics fingerprinting as predictors of earlier diagnosis in patients with colorectal cancer. Oncotarget. 20, 29454–29464.
- Frankel A.E., Coughlin L.A., Kim J., Froehlich T.W., Xie Y., Frenkel E.P., Koh A.Y. (2017) Metagenomic shotgun sequencing and unbiased metabolomic profiling identify specific human gut microbiota and metabolites associated with immune checkpoint therapy efficacy in melanoma patients. Neoplasia. 19(10), 848–855.
- Ohta A., Sitkovsky M. (2011) Methylxanthines, inflammation, and cancer: fundamental mechanisms. Handb. Exp. Pharmacol. 200, 469–481. doi: 10.1007/978-3-642-13443-2_19
- Shojaei-Zarghani S., Khosroushahi A.Y., Rafraf M., Asghari-Jafarabadi M., Azami-Aghdash S. (2020) Dietary natural methylxanthines and colorectal cancer: a systematic review and meta-analysis. Food Function. 11(12), 10290–10305.
- Liu H., Song J., Zhou Y., Cao L., Gong Y., Wei Y., Yang H., Tang L. (2019) Methylxanthine derivatives promote autophagy in gastric cancer cells targeting PTEN. Anticancer Drugs. 30(4), 347–355.
- Makino I., Hashimoto H., Shinozaki K., Yoshino K., Nakagawa S. (1975) Sulfated and nonsulfated bile acids in urine, serum, and bile of patients with hepatobiliary diseases. Gastroenterology. 68(3), 545–553.
- Degirolamo C., Modica S., Palasciano G., Moschetta A. (2011) Bile acids and colon cancer: solving the puzzle with nuclear receptors. Trends Mol. Med. 17(10), 564–572.
- Pattni S., Walters J.R. (2009) Recent advances in the understanding of bile acid malabsorption. Br. Med. Bull. 92, 79–93.
- Димитриади Т.А., Бурцев Д.В., Дженкова Е.А., Кутилин Д.С. (2020) МикроРНК как маркеры прогрессирования предраковых заболеваний в рак шейки матки. Современные проблемы науки и образования. 1. http://science-education.ru/ru/article/view?id=29529
- Abdelsattar Z.M., Wong S.L., Regenbogen S.E., Jomaa D.M., Hardiman K.M., Hendren S. (2016) Colorectal cancer outcomes and treatment patterns in patients too young for average-risk screening. Cancer. 122, 929–934.
- Li Y., Yao L., Liu F., Hong J., Chen L., Zhang B., Zhang W. (2014) Characterization of microRNA expression in serous ovarian carcinoma. Int. J. Mol. Med. 34(2), 491–498.
- Han Y., Zheng Y., You J., Han Y., Lu X., Wang X., Shi C., Zhu W. (2023) Hsa_circ_0001535 inhibits the proliferation and migration of ovarian cancer by sponging miR-593-3p, upregulating PTEN expression. Clin. Transl. Oncol. 25(10), 2901–2910. doi: 10.1007/s12094-023-03152-2
- Resnick K.E., Alder H., Hagan J.P., Richardson D.L., Croce C.M., Cohn D.E. (2009) The detection of differentially expressed microRNAs from the serum of ovarian cancer patients using a novel real-time PCR platform. Gynecol. Oncol. 112, 55–59.
- Kwon J.J., Factora T.D., Dey S., Kota J. (2018) A systematic review of miR-29 in сancer. Mol. Ther. Oncolytics. 12, 173–194.
- Wu Q., Li G., Gong L., Cai J., Chen L., Xu X., Liu X., Zhao J., Zeng Y., Gao R., Yu., Wang Z. (2023) Identification of miR-30c-5p as a tumor suppressor by targeting the m6A reader HNRNPA2B1 in ovarian cancer. Cancer Med. 12(4), 5055–5070.
- Zhou J., Gong G., Tan H., Dai F., Zhu X., Chen Y., Wang J., Liu Y., Chen P., Wu X., Wen J. (2015) Urinary microRNA-30a-5p is a potential biomarker for ovarian serous adenocarcinoma. Oncol. Rep. 33(6), 2915–2923.
Қосымша файлдар














