Identification of Clinical Isolate CCGC 19/16 as Bacillus cytotoxicus
- Authors: Polyakov N.B.1,2, Karpov D.S.3, Zubasheva M.V.1, Polyakova A.N.4, Shcherbinin D.N.1, Solovyev A.I.1, Lavrentyev M.V.1, Smirnova T.A.1, Sukhina M.A.5, Zhukhovitsky V.G.1,6
-
Affiliations:
- Gamaleya National Research Centre for Epidemiology and Microbiology
- Vernadsky Institute of Geochemistry and Analytical Chemistry of the Russian Academy of Sciences
- Engelhardt Institute of Molecular Biology of the Russian Academy of Sciences
- Lomonosov Moscow State University
- Ryzhikh State Research Center of Coloproctology
- Russian Medical Academy of Continuing Professional Education
- Issue: Vol 58, No 6 (2024)
- Pages: 983-995
- Section: ГЕНОМИКА. ТРАНСКРИПТОМИКА
- URL: https://ogarev-online.ru/0026-8984/article/view/280787
- DOI: https://doi.org/10.31857/S0026898424060099
- EDN: https://elibrary.ru/IASZNL
- ID: 280787
Cite item
Full Text
Abstract
Bacillus cereus sensu lato s.l. comprises genetically, morphologically and physiologically similar gram-positive spore-forming bacterial species with high pathogenic potential, such as B. anthracis, B. cereus and B. thuringiensis. Toxin-producing strains of B. cereus s.l. pose a major threat to human health. The high degree of similarity between these species makes it very difficult to identify them and to take adequate measures to treat the diseases they cause. Previously, we characterized a clinical isolate CCGC 19/16 belonging to B. cereus s.l. that exhibited features of both B. cereus and B. cytotoxicus. In the present work, CCGC 19/16 was identified as B. cytotoxicus using multilocus sequence typing (MLST) and mass spectrometric analysis. It was also shown that, unlike other representatives of the B. cytotoxicus species, strain CCGC 19/16 is not thermotolerant. Unlike B. cereus, strain CCGC 19/16 is sensitive to most antibiotics and shows increased motility. Like B. cereus strain CCGC 19/16 forms β-hemolysis zones in blood agar. In addition, it has been shown that prolonged storage of samples prior to analysis can lead to misidentification of the isolate. Our results indicate that “rapid methods” of analysis using single genes have insufficient resolving power in the identification of B. cereus s.l. species. The combination of MLST analysis with MALDI-TOF MS provides sufficient resolution.
Full Text
Сокращения: MALDI-TOF MS – времяпролетная масс-спектрометрия с матрично-активированной лазерной десорбцией и ионизацией (Matrix Assisted Laser Desorption/Ionization–Time of Flight); MLST – мультилокусное типирование последовательностей (Multilocus Sequence Typing).
ВВЕДЕНИЕ
В группу Bacillus cereus sensu lato (или Bacillus cereus group) входят генетически, морфологически и физиологически сходные грамположительные спорообразующие бактерии с низким GC-составом генома, потенциально обладающие высокой патогенной активностью в отношении животных и человека [1]. Представители этой группы часто встречаются в окружающей среде. Термостабильность и устойчивость спор к ультрафиолетовому излучению и бактерицидным средствам способствуют попаданию этих бактерий на продукты питания и медицинское оборудование. Это может приводить к развитию пищевых токсикоинфекций и таких тяжелых заболеваний, как пневмония [2], менингит [3], сепсис [4] и бактериемия [5].
Количество видов спорообразующих бактерий, выделяемых из природных источников, растет. Увеличивается и число близкородственных видов в составе B. cereus s. l. — в 2013 г. их было 7 [6], в 2015–11 [7], в 2017 г., благодаря широкому использованию методов полногеномного секвенирования, число видов резко возросло до 21 [1], к 2022 г. составило 23 [8], а в настоящее время в Международной таксономической базе данных Национального центра биотехнологической информации (NCBI, США) [9] представлено 27 видов. Согласно NCBI, к B. cereus s. l. относятся: B. albus, B. anthracis, B. bombysepticus, B. cereus, B. clarus, B. cytotoxicus, B. gaemokensis, B. hominis, B. luti, B. manliponensis, B. mobilis, B. mycoides, B. thuringiensis, B. mycoides, B. nitratireducens, B. pacificus, B. paramobilis, B. paramycoides, B. paranthracis, B. proteolyticus, B. pseudomycoides, B. samanii, B. sanguinis, B. thuringiensis, B. toyonensis, B. tropicus, B. wiedmannii. Однако NCBI, как указано на странице этой базы, не является авторитетным источником по номенклатуре и классификации видов, но при этом может служить полезным источником данных для соответствующих исследований.
Стремительный рост числа видов, входящих в комплекс B. cereus s. l., диктует необходимость совершенствования способов быстрой идентификации и внутригрупповой дискриминации клинических изолятов для назначения адекватной терапии заболеваний, связанных с ними. В качестве методов быстрой и относительно точной идентификации штаммов B. cereus s. l. ранее были предложены методы на основе секвенирования 16S рДНК [10], отдельных генов [11] или наборов генов [12], включая мультилокусное типирование последовательностей (MLST), а также времяпролетную масс-спектрометрию с матрично-активированной лазерной десорбцией и ионизацией (MALDI-TOF) [13].
B. cytotoxicus включен в состав B. cereus s. l. в 2013 г. на основании сходства нуклеотидной последовательности 16S РНК и данным MLST [6]. Представители вида характеризуются термотолерантностью и способностью сохранять жизнеспособность при 50°C [14].
В настоящей работе с использованием методов MLST и масс-спектрометрии выделенный ранее клинический изолят CCGC19/16 (SRCC19/16) идентифицирован как B. cytotoxicus, показано также нетипичное для B. cytotoxicus отсутствие термотолерантности у этого изолята.
ЭКСПЕРИМЕНТАЛЬНАЯ ЧАСТЬ
Штаммы. В экспериментах использовали два эталонных штамма: B. cereus АТСС 10702 и B. cereus ATCC10876, два клинических изолята, обозначенных как CCGC19/16 и CCGC1208, выделенных из фекалий пациента с язвенным колитом. Клинические изоляты любезно предоставлены ФГБУ “Национальный медицинский исследовательский центр колопроктологии им. А. Н. Рыжих” Минздрава России. Штаммы культивировали на плотной питательной среде NBY (питательный бульон (8 г/л), дрожжевой экстракт (2 г/л), агар (15 г/л) (“Difco”, США)) при 37°C в течение 12–96 ч.
Идентификация штаммов B. cereus с помощью MLST. ДНК выделяли с помощью набора Wizard Genomic DNA Purification Kit (“Promega”, США) в соответствии с инструкциями производителя. Фрагменты ДНК амплифицировали с помощью ScreenMix (“Евроген”, Россия). Использованные в работе праймеры перечислены в табл. 1. Условия ПЦР были следующими: денатурация при 95°C в течение 3 мин; затем 35 циклов — 95°C (30 с), 60°C (30 с) и 72°C (90 с); финальный этап элонгации — 72°C (5 мин). Продукты ПЦР очищали с помощью набора GeneJet PCR purification kit (“Thermo Fisher Scientific”, США) и секвенировали по методу Сэнгера с использованием обоих праймеров. Последовательности секвенированных фрагментов генов glpF, gmk, ilvD, pta, pur, pycA и tpi объединяли в единую химерную последовательность общей длиной 2952 п. н., которую использовали в поиске в коллекции невырожденных последовательностей базы данных NCBI с использованием алгоритма MegaBlast ([15], https://blast.ncbi.nlm.nih.gov/Blast.cgi) с параметрами, установленными по умолчанию. Далее строили филогенетическое древо на основе парного выравнивания BLAST с использованием метода Fast-Minimum Evolution. Полученные последовательности анализировали также путем сравнения с аллелями из баз данных pubMLST ([16], https://pubmlst.org/organisms/bacillus-cereus доступ 31 июля 2023 г) и fIDBAC [17].
Таблица 1. Олигонуклеотиды, использованные в MLST-анализе
Ген | Нуклеотидная последовательность 5' → 3' | Источник |
glpF | GCGTTTGTGCTGGTGTAAGT CTGCAATCGGAAGGAAGAAG | [16] |
gmk | GAGAAGTAGAAGAGGATTGCTCATC GCAATGTTCACCAACCACAA | [16] |
ilvD | AGATCGTATTACTGCTACGG GTTACCATTTGTGCATAACGC | [16] |
pta | GCAGAGCGTTTAGCAAAAGAA TGCAATGCGAGTTGCTTCTA | [16] |
pur | CTGCTGCGAAAAATCACAAA CTCACGATTCGCTGCAATAA | [16] |
pycA | GCGTTAGGTGGAAACGAAAG CGCGTCCAAGTTTATGGAAT | [16] |
tpi | GCCCAGTAGCACTTAGCGAC CCGAAACCGTCAAGAATGAT | [16] |
Получение спор бацилл и оценка их жизнеспособности. Культуры штаммов рассевали на плотную питательную среду NBY и инкубировали при 37°C в течение 120 ч. Образование спор контролировали с помощью фазово-контрастной микроскопии. Материал смывали с агара, промывали трижды в дистиллированной воде с последующим центрифугированием при 9000 об/мин в течение 5 мин. Промытый препарат спор прогревали при 75°C в течение 30 мин. Концентрацию жизнеспособных спор в полученных препаратах определяли путем высева 0.1 мл серии десятикратных разведений образца на питательный агар и подсчета выросших колоний через 24 ч инкубации при 37°C.
Определение термоустойчивости спор бацилл. Термоустойчивость спор бацилл определяли как описано ранее с небольшими модификациями [18]. В экспериментах использовали водные суспензии спор объемом 1.5 мл (107–108 жизнеспособных спор/мл). Споры ресуспендировали в дистиллированной воде вместо фосфатного буфера, чтобы исключить возможное влияние солей на прорастание спор. Суспензии спор помещали в тонкостенные пластиковые криопробирки диаметром 10 мм и высотой 40 мм с завинчивающимися крышками. Пробирки помещали в циркуляционную водяную баню, нагретую до 100°C. Пробирки извлекали из бани через 0, 2, 4, 6, 8 и 10 мин и охлаждали в ледяной бане в течение 5–10 мин. Из охлажденных пробирок отбирали аликвоты по 0.1 мл каждого образца и определяли количество жизнеспособных спор путем выращивания серии разведений на среде NBY как описано выше. Все эксперименты выполняли в трех независимых биологических повторах. Термоустойчивость спор оценивали также величиной D100, которую выражали в минутах, требующихся для десятикратного снижения числа колониеобразующих единиц при воздействии температуры 100°C. Значения D100 вычисляли по уравнениям прямых, аппроксимирующих кривые выживаемости спор, построенных методом наименьших квадратов. Расчеты производили в онлайн программе МНК (https://метод-наименьших-квадратов.рф доступ 18 июля 2023 г).
Масс-спектрометрия MALDI-TOF. Белки и пептиды экстрагировали, как описано Sauer и соавт. [19], с незначительными модификациями. Биомассу микроорганизмов собирали пластиковой микробиологической петлей объемом 1 мкл и ресуспендировали в 300 мкл деионизированной воды. К суспензии добавляли 900 мкл 96%-ного этанола, полученную смесь тщательно перемешивали и центрифугировали при 18894 g в течение 2 мин. К осадку, высушенному на воздухе, добавляли от 5 до 40 мкл 70%-ной муравьиной кислоты (в зависимости от объема осадка) и равный объем ацетонитрила. Полученную смесь центрифугировали при 18894 g в течение 2 мин. Супернатант, содержащий белковый экстракт, использовали в масс-спектрометрическом анализе.
На 384-луночную стальную мишень (“Bruker Daltonics”, Германия) наносили 1 мкл супернатанта и высушивали при комнатной температуре. На поверхность высушенного экстракта наносили 1 мкл раствора матрицы: насыщенный раствор α-циано-4-гидроксикоричной кислоты (“Sigma Aldrich”, США), содержащий 50% ацетонитрила и 2.5% трифторуксусной кислоты (“Panreac”, США), который также высушивали при комнатной температуре.
Масс-спектрометрический анализ проводили на приборе UltrafleXtreme (“Bruker daltonics”), оснащенном Nd: Yag-лазером (355 нм) в линейном режиме. Детектировали положительно заряженные ионы в диапазоне m/z от 2000 до 20000. при следующих настройках ионного источника: напряжение на IS1 20 кВ, на IS2 19 кВ, на линзах (параметр “Lens”) 4.5 кВ, напряжение питания детектора 2885 В, коэффициент усиления 12.6.
Спектры снимали в автоматическом режиме с использованием программы Flex Control (v.3.4, build 135). Точки обстрела лазером на мишени выбирали случайным образом. Суммировали 1200 спектров с 200 точек обстрела лазером с частотой 2 кГц.
Библиотеки спектров каждого образца получали при анализе трипликатов восьми технических повторов. Калибровочным стандартом и положительным контролем служил белковый экстракт Escherichia coli DH5α с дополнительными белками (РНКаза A [M+H]+ 13683.2 Да, миоглобин [M+H]+ 16952.3 Да) (кат. номер 255343, “Bruker Daltonics”).
Полученные спектры обрабатывали с помощью программного комплекса MALDI biotyper Compass Explorer 4.1 (“Bruker Daltonics”) с использованием стандартного метода препроцессинга данных (Biotyper Preprocessing Standard Method). Обработанные спектры образцов сравнивали с референсной базой характеристических спектральных профилей, включающей 6905 записей. Результаты поиска характеристического профиля выражали как логарифм значений. Значения ниже 1.699 соответствовали ненадежному определению рода; 1.700–1.999 – надежному определению рода и, возможно, вида; 2.000–2.299 – надежному определению рода и с высокой вероятностью вида и, наконец, значения 2.300–3.000 соответствовали надежной идентификации до вида.
Дендрограммы составляли с помощью программного обеспечения MALDI-biotyper Compass Explorer 4.1(“Bruker Daltonics”); дополнительный анализ масс-спектров проводили с помощью программного обеспечения ClinProTools 3.0 (“Bruker Daltonics”).
Оценка чувствительности бактериальных штаммов к антибиотикам. Чувствительность штаммов к панели антибиотиков оценивали стандартным диско-диффузионным методом. На поверхности чашек Петри, заполненных агаризованной средой Мюллера–Хинтона № 2 (“Becton Dickinson”, США), равномерно распределяли суспензию клеток (106 КОЕ/мл). Через 15 мин в центр накладывали бумажные диски диаметром 6 мм, пропитанные стандартными концентрациями антибиотиков (MASTDISCS®AST, Германия). Чашки инкубировали при 37°C в течение 24 ч, после чего определяли диаметр зоны ингибирования роста. Полученные данные интерпретировали в соответствии с рекомендациями Европейского комитета по тестированию чувствительности к противомикробным препаратам (EUCAST Clinical Breakpoint Tables v. 14.0, https://www.eucast.org/clinical_breakpoints, доступ 11 апреля, 2024 г).
Оценка подвижности бактерий. Культуру бактерий в капле объемом 5 мкл наносили на центр чашки Петри, заполненной специализированной агаризованной средой (Motility test medium, “Becton Dickinson”). Чашки инкубировали при 37°C в течение 48 ч. Каждые 24 ч измеряли диаметр колоний.
Оценка зон гемолиза. Культуры бактерий наносили штрихом на поверхность чашек Петри с колумбийским агаром с добавлением 5% дефибринированной бараньей крови (ООО “ГЕМ”, Россия). Чашки Петри инкубировали при 37°C в течение 24 ч и фотографировали в проходящем свете для визуализации зон лизиса кровяного агара. Результаты интерпретировали в соответствии со стандартными рекомендациями (https://asm.org/protocols/blood-agar-plates-and-hemolysis-protocols, доступ 11 апреля, 2024 г.).
РЕЗУЛЬТАТЫ ИССЛЕДОВАНИЯ
Идентификация CCGC19/16 с помощью MALDI-TOF MS-анализа
Ранее мы установили, что клинический изолят CCGC19/16 имеет характеристики как B. cereus, так и близкого вида B. cytotoxicus, который входит в B. cereus s.l. [20]. Первичная идентификация клинических изолятов с помощью масс-спектрометрического анализа MALDI-TOF проведена с использованием базы референсных спектров более старой версии 29 (MALDI biotyper Compass Explorer 4.1 (version 29)). Полученные результаты указывали лишь на то, что изолят относится к роду Bacillus [20]. Повторный спектрометрический анализ провели с использованием обновленной спектральной базы версии 30. Согласно полученным данным (табл. 2), клинический изолят с более высокой степенью надежности относится к виду B. cytotoxicus. Результаты идентификации других штаммов не изменились качественно, незначительно изменились количественные характеристики надежности идентификации. Таким образом, в идентификации бацилл следует использовать наиболее поздние версии базы данных референсных пиков.
Таблица 2. Результат идентификации клинических изолятов методом MALDI-TOF MS
Штамм | Наиболее близкий штамм | Надежность идентификацииа |
Клинический изолят CCGC 19/16 | B. cytotoxicus 1Z46778_1e MVD | 2.26 |
Клинический изолят CCGC 1208 | B. cereus DSM 31T DSM | 2.09 |
B. cereus ATCC 10876 | B. cereus 4080 LBK | 2.23 |
B. cereus NCTC 8035 | B. cereus 4080 LBK | 2.41 |
аПриведено значение интегральной количественной оценки надежности идентификации штамма (см. раздел “Экспериментальная часть”).
Влияние длительности инкубации культур бацилл на их идентификацию с помощью MALDI-TOF MS
Ранее было показано, что на MALDI-TOF MS-спектры микроорганизмов рода Bacillus и, следовательно, на их идентификацию сильно влияют условия культивирования бактерий, которые, в свою очередь, влияют на процесс формирования спор [21]. Нами проведен масс-спектрометрический анализ штаммов, выращенных в питательной среде одного состава, при одинаковой температуре в течение 4 суток. Согласно полученным результатам (рис. 1), изолят CCGC19/16 ближе к видам B. cytotoxicus на 12, 24, 48 и 96 ч инкубации. Однако во временной точке 72 ч CCGC19/16 ближе к штаммам B. cereus. Можно отметить также, что другие штаммы B. cytotoxicus образуют обособленную группу лишь на 12 ч инкубации, но в более поздних временных точках некоторые штаммы сближаются со штаммами B. cereus. Эти результаты указывают на то, что ошибка в идентификации клинических изолятов бацилл может быть связана с их длительной инкубацией перед проведением анализа.
Рис. 1. Дендрограммы сходства масс-спектров клинических изолятов со спектрами B. cereus и B. cytotoxicus в референсной базе MALDI biotyper в зависимости от длительности инкубации культур клинических изолятов в жидкой питательной среде (штамм B. cereus ССGC1208 (клинический изолят) и коллекционный штамм B. cereus ATCC10876 подробно описаны ранее в работе [20]).
Идентификация изолята CCGC19/16 с использованием MLST-анализа
MALDI-TOF MS позволяет быстро определить род бактериальных изолятов. Видовая принадлежность изолятов нуждается в уточнении другими методами. Кроме того, как показано ранее [20], результаты MALDI-TOF MS-анализа представителей рода Bacillus сильно зависят от условий их культивирования. На следующем этапе использовали генетический способ идентификации клинического изолята с помощью MLST. В MLST-схемах идентификации штаммов в группе B. cereus используют фрагменты семи генов домашнего хозяйства: glpF (обеспечивает импорт глицерина), gmk (предполагаемая гуанилаткиназа), ilvD (дегидратаза дигидроксикислот), pta (фосфат-ацетилтрансфераза), pur (фосфорибозиламиноимидазолкарбоксамид-формилтрансфераза), pycA (пируваткарбоксилаза) и tpi (триозофосфатизомераза) [16]. Характеристичные фрагменты генов glpF, gmk, ilvD, pta, pur, pycA и tpi амплифицировали и секвенировали с использованием праймеров (см. табл. 1). В ходе поиска в базах данных pubMLST и fIDBAC установлено, что шесть из семи анализируемых фрагментов идентичны известным аллелям: glpF — аллелю 211, gmk — 127, ilvD — 465, pta — 221, pur — 338, pycA — 266. Лишь для фрагмента гена tpi не удалось найти известного аллеля. В базе данных pubMLST эта комбинация наиболее близка к двум сиквенс-типам ST-2116 и ST-2121 (табл. 3), которые отличаются только локусом ilv и оба обнаружены только у B. cytotoxicus. Последовательность характеристичного фрагмента гена ilvD отличается от аллеля 333 одним нуклеотидом — A135G, от аллеля 339 двумя — C12G и A24G. При этом фрагмент tpi отличается от аллеля 171 заменой одного нуклеотида — A117C. Следовательно, результаты MLST-анализа указывают на принадлежность штамма CCGC19/16 к виду B. cytotoxicus.
Таблица 3. Результаты MLST-анализа
Сиквенс-тип | glpF | gmk | ilvD | Pta | pur | pycA | tpi |
ST-2116 | 211 | 127 | 339 | 221 | 338 | 266 | 171 |
ST-2121 | 211 | 127 | 333 | 221 | 338 | 266 | 171 |
Чтобы учесть отличия в последовательности гена tpi при идентификации изолята CCGC19/16, в поиске сходных последовательностей по всей базе невырожденных нуклеотидных последовательностей NCBI с помощью BLAST использовали химерную последовательность, состоящую из характеристических сегментов генов glpF, gmk, ilvD, pta, pur, pycA и tpi. Наиболее близкие последовательности использовали для построения дерева сходства. Согласно полученным результатам, наиболее близкими CCGC19/16 оказались штаммы вида B. cytotoxicus (табл. 4, рис. 2). Полученные данные подтверждают результаты MLST-анализа и свидетельствуют о том, что CCGC19/16 принадлежит к виду B. cytotoxicus.
Таблица 4. Результаты поиска штаммов с последовательностями, наиболее близкими к объединенной последовательности генов glpF-gmk-ilvD-pta-pur-pycA-tpi, в базе данных NCBI с помощью BLAST
Штамм | Общий балла | Значение Eb | Идентичность, % | Идентификатор NCBI |
B. cytotoxicus CH_2 | 5440 | 0.0 | 99.64 | CP024116.1 |
B. cytotoxicus CH_3 | 5442 | то же | то же | CP024113.1 |
B. cytotoxicus CH_4 | 5442 | “–” | “–” | CP024111.1 |
B. cytotoxicus CH_13 | 5448 | “–” | “–” | CP024109.1 |
B. cytotoxicus CH_15 | 5442 | “–” | “–” | CP024107.1 |
B. cytotoxicus CH_38 | 5442 | “–” | “–” | CP024098.1 |
B. cytotoxicus CH_39 | 5442 | “–” | “–” | CP024096.1 |
B. cytotoxicus SM2.8 | 5431 | “–” | “–” | CP066179.1 |
B. cytotoxicus SM1.1 | 5431 | “–” | “–” | CP066184.1 |
B. cytotoxicus PDT2.12 | 5442 | “–” | “–” | CP066185.1 |
аОбщий балл – сумма баллов выравнивания всех найденных сегментов одной и той же последовательности в базе данных, которые соответствуют последовательности, заданной в поиске (вычисляется по всем сегментам).
bЗначение Е описывает число совпадений с искомой последовательностью, которые можно “случайно” увидеть при поиске в базе данных определенного размера. Чем меньше значение этого параметра, тем выше вероятность того, что обнаруженное совпадение неслучайно.
Рис. 2. Дерево сходства штаммов, построенное на основе попарных выравниваний результатов поиска объединенной последовательности генов glpF-gmk-ilvD-pta-pur-pycA-tpi в базе данных NCBI. Дерево построено с использованием метода Fast Minimum Evolution с параметрами по умолчанию.
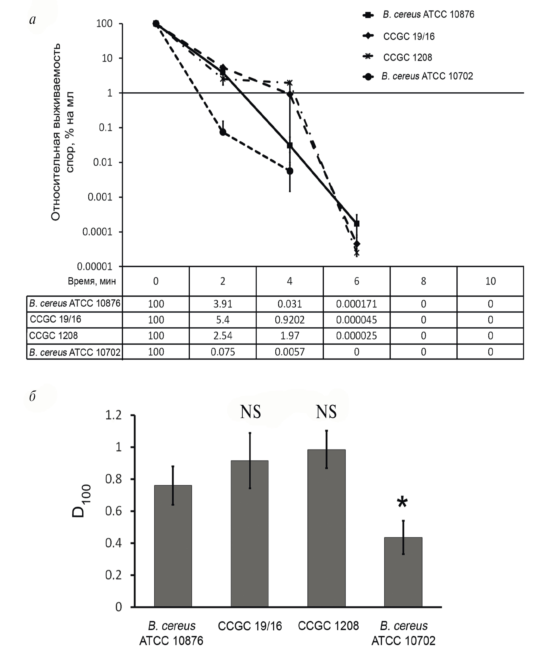
Оценка термочувствительности спор CCGC19/16
Отличительной характеристикой представителей вида B. cytotoxicus служит их термотолерантность [14]. Однако, как обнаружено ранее, вегетативные клетки изолята CCGC19/16 этим свойством не обладают [20]. В данной работе нами проверена термоустойчивость спор CCGC19/16 (рис. 3). В качестве штаммов сравнения использовали референсные штаммы B. cereus ATCC10876 и АТСС 10702, а также клинический изолят CCGC1208, идентифицированный ранее как B. cereus [20]. Согласно полученным результатам (рис. 3а), кривая выживаемости спор изолята CCGC19/16 при 100°C незначительно отличается от кривых выживаемости референсного штамма B. cereus ATCC10876 и клинического изолята CCGC1208. Выраженную чувствительность к температуре проявляют споры референсного штамма B. cereus АТСС 10702. Полученные результаты подтверждаются данными по D100 (рис. 3б). Таким образом, изолят CCGC19/16 не обладает повышенной термоустойчивостью по сравнению с представителями вида B. cereus.
Рис. 3. Оценка термоустойчивости клинических изолятов и эталонных штаммов из группы B. cereus. а — Кривая относительной выживаемости спор. За 100% принято количество жизнеспособных спор в начальной точке. б — Значения D100, вычисленные по данным, представленным на панели а. Значение D100 — время обработки спор (минуты) при 100°C, за которое количество жизнеспособных спор снижается в 10 раз. Разброс данных представлен стандартным отклонением для трех биологических повторов. Статистическая значимость: NS — незначимое отличие, *0.05 > p > 0.01 в соответствии с t-критерием Стьюдента.
Профиль чувствительности CCGC19/16 к антибиотикам
Учитывая, что CCGC19/16 является клиническим изолятом, оценка профиля его устойчивости к различным группам антибиотиков представляет практический интерес. Чувствительность штамма CCGC19/16 к различным группам антибиотиков определили с использованием B. cereus АТСС 10702 в качестве штамма сравнения (табл. 5). Согласно полученным данным, штамм CCGC19/16 проявляет в целом бóльшую чувствительность к антибиотикам, чем штамм B. cereus АТСС 10702. CCGC19/16 чувствителен ко всем группам антибиотиков, за исключением цефемов. B. cereus АТСС 10702 устойчив также к антибиотикам, относящимся к группам пенициллинов, цефалоспоринов, цефемов, макролидов, а также липопептидов. Полученные результаты указывают на то, что CCGC19/16 не относится к группе бактерий с множественной или широкой лекарственной устойчивостью.
Таблица 5. Профиль чувствительности штаммов CCGC19/16 и B. cereus АТСС 10702
Антибиотик | Содержание антибиотика в диске, мкг | Чувствительность/резистентность | Зона задержки роста, средний диаметр, мм | |||
B. cereus АТСС 10702 | CCGC 19/16 | B. cereus АТСС 10702 | CCGC 19/16 | |||
Пенициллины | ||||||
Пенициллин | PEN5 | 5 | Р | Ч | 6 | 29 |
Ампициллин | API2 | 2 | Р | Ч | 6 | 30 |
Амоксициллин | A25 | 25 | р | Ч | 6 | 42 |
Цефалоспорины | ||||||
Цефазолин | СРХ30 | 30 | Ч | Ч | 17 | 19 |
Цефокситин | FOX30 | 30 | Р | Ч | 6 | 15 |
Цефтриаксон | CRO30 | 30 | Р | Ч | 6 | 12 |
Цефемы | ||||||
Цефотаксим | CTX5 | 5 | Р | Р | 6 | 6 |
Цефтазидим-авибактам | CZA14C | 14 | Р | Р | 6 | 6 |
Карбапенемы | ||||||
Имипенем | IMP10 | 10 | Ч | Ч | 32 | 45 |
Меропенем | MEM10 | 10 | Ч | Ч | 26 | 30 |
Эртапенем | ETP10 | 10 | Ч | Ч | 16 | 30 |
Хинолоны | ||||||
Норфлоксафин | NXN10 | 10 | Ч | Ч | 22 | 30 |
Ципрофлоксацин | CIP5 | 5 | Ч | Ч | 23 | 34 |
CIP5 | 1 | Ч | Ч | 19 | 28 | |
Левофлоксацин | LVX5 | 5 | Ч | Ч | 22 | 36 |
Моксифлоксацин | MXF5 | 5 | Ч | Ч | 24 | 36 |
Гликопептиды | ||||||
Ванкомицин | VAN5 | 5 | Ч | Ч | 15 | 20 |
VAN30 | 30 | Ч | Ч | 17 | 22 | |
Аминогликозиды | ||||||
Гентамицин | GMN10 | 10 | Ч | Ч | 22 | 29 |
Тобрамицин | TMN10 | 10 | Ч | Ч | 15 | 20 |
Макролиды | ||||||
Эритромицин | E15 | 15 | Ч | Ч | 23 | 29 |
Азитромицин | ATH15 | 15 | Ч | Ч | 20 | 28 |
Кларитромицин | CLA15 | 15 | Ч | Ч | 25 | 33 |
CLA2 | 2 | Ч | Ч | 20 | 27 | |
Линкозамиды | ||||||
Клиндамицин | CD2 | 2 | Ч | Ч | 21 | 27 |
Оксазолидоны | ||||||
Линезолид | LNZ30 | 10 | Ч | Ч | 27 | 36 |
LNZ10 | 10 | Ч | Ч | 22 | 32 | |
Липопептиды | ||||||
Полимиксин | PB300 | 300 | Р | Ч | 7 | 15 |
Колистин | CO10 | 10 | Р | Р | 6 | 6 |
CO25 | 25 | Р | Ч | 6 | 12 | |
Тетрациклины | ||||||
Тетрациклин | TET10 | 10 | P | Ч | 20 | 32 |
Доксициклин | DOX30 | 30 | Ч | Ч | 26 | 32 |
Сульфаниламиды | ||||||
Триметоприм-сульфаметоксазол | SXT25 | 25 | Р | Ч | 6 | 27 |
Фениколы | ||||||
Хлорамфеникол | C30 | 30 | Ч | Ч | 25 | 30 |
Примечание. Р – штамм устойчив к данному антибиотику, Ч – штамм чувствителен к данному антибиотику. Cтепень чувствительности штаммов к антибиотикам определяли по диаметру зоны ингибирования роста в соответствии с рекомендациями EUCAST (Breakpoint table 14.0, 2024).
Оценка подвижности и гемолиза у CCGC19/16
Следующим шагом стала оценка некоторых физиологических характеристик CCGC19/16, имеющих отношение к патогенезу, а именно, оценили подвижность клеток (рис. 4а, б) и степень гемолиза (рис. 5а, б). В качестве штамма сравнения использовали коллекционный штамм B. cereus АТСС 10702. Согласно полученным данным, клетки CCGC19/16, обладают большей подвижностью, чем B. cereus АТСС 10702. Через 24 ч роста CCGC19/16 формирует колонию со средним диаметром 28 мм (рис. 4а), через 48 ч средний диаметр колоний достигает 58 мм (рис. 4б), тогда как средний диаметр колоний B. cereus АТСС 10702 составляет 7 и 21 мм соответственно.
Рис. 4. Оценка подвижности B. cereus АТСС 10702 и CCGC19/16. а — Диаметр колоний штаммов после 24 ч инкубации; б — диаметр колоний после 48 ч инкубации.
Рис. 5. Оценка размера зон гемолиза у штаммов группы B. cereus. а — Штамм B. cereus ATCC10702, б — Штамм CCGC19/16.
Вокруг колоний обоих штаммов формируются зоны β-гемолиза (рис. 5а, б). Полученные результаты указывают на наличие патогенного потенциала у CCGC19/16.
ОБСУЖДЕНИЕ РЕЗУЛЬТАТОВ
В настоящей работе с использованием комбинации методов MALDI-TOF MS и MLST клинический изолят CCGC19/16 идентифицирован как B. cytotoxicus. Показано, что CCGC19/16 не обладает термоустойчивостью, свойственной B. cytotoxicus.
Описаны разные подходы к быстрой идентификации штаммов B. cereus group по единичным генам, таким как sspE [22], sph1 [23], motB [11, 24] и spoIIIAB [25]. Использование этих подходов ранее привело к неверной идентификации изолята CCGC19/16 как B. cereus [20]. Следует отметить, что использовать единичные гены в качестве быстрых и удобных тестов рекомендовали в то время, когда количество штаммов рода Bacillus было относительно небольшим. В настоящее время валидированы уже более 420 видов рода Bacillus [26]. Очевидно, что в современных условиях точная идентификация бацилл по единичным генам невозможна.
MALDI-TOF MS-анализ позиционируется также как быстрый и надежный способ идентификации клинических изолятов бактерий [13]. Однако отметим, что в случае представителей рода Bacillus разрешающая способность этого метода ограничена из-за недостаточного количества референсных спектров представителей этого рода в базе данных. Более того, нами и другими авторами [21] показана возможность неверной идентификации близких видов из-за изменений условий культивирования. Это может быть связано с перестройками экспрессии генов и метаболизма клеток, ассоциированными с прохождением последовательных стадий процесса споруляции [27].
Более трудоемкий, но надежный метод MLST предполагает анализ нескольких геномных локусов. Будучи относительно дешевым и быстрым по сравнению с методами полногеномного анализа, он может быть использован для идентификации клинических изолятов рода Bacillus.
По-видимому, ни вегетативные клетки, ни споры штамма CCGC19/16 не обладают термоустойчивостью. Это, с одной стороны, сближает его с видом B. cereus, а с другой, необходимо уточнение физиологических характеристик у B. cytotoxicus [20]. Из полученных данных следует, что термоустойчивость не может быть надежным критерием характеристики вида B. cytotoxicus.
Штаммы внутри видов и внутри группы B. cereus могут значительно отличаться степенью патогенности, несмотря на наличие генетических элементов, определяющих их патогенные свойства, но не используемых для классификации. Ярким примером могут служить штаммы B. cereus, которые содержат плазмиды, напоминающие мегаплазмиды B. anthracis, кодирующие сибиреязвенный токсин и капсулу, обеспечивающие патогенный потенциал, сопоставимый с потенциалом B. anthracis [28, 29]. В то же время, описаны природные авирулентные штаммы B. anthracis [30, 31]. Следует отметить, что потенциально опасный изолят B. anthracis CDC684 был изначально описан как B. megaterium CDC684 [31]. Эти примеры показывают, что классификация штаммов B. cereus s.l. не имеет прямой связи с вирулентностью. Однако точная идентификация изолятов, относящихся к потенциально опасным видам, позволит дополнить результаты исследований, направленных на выявление патогенных свойств, и при необходимости принять своевременные лечебные и противоэпидемические меры.
Авторы выражают благодарность Центру высокоточного редактирования генома и генетических технологий для биомедицины ИМБ РАН за предоставленные вычислительные мощности и методики анализа данных.
Часть работы выполнена на оборудовании ЦКП “Геном” ИМБ РАН (http://www.eimb.ru/RUSSIAN_NEW/INSTITUTE/ccu_genome_c.php).
Работа в части MLST-анализа выполнена при финансовой поддержке Министерства науки и высшего образования Российской Федерации (Контракт в системе электронный бюджет № 075-10-2021-113, ID проекта: RF----193021X0001).
Настоящая статья не содержит каких-либо исследований с участием людей или животных в качестве объектов исследований.
Авторы сообщают об отсутствии конфликта интересов.
About the authors
N. B. Polyakov
Gamaleya National Research Centre for Epidemiology and Microbiology; Vernadsky Institute of Geochemistry and Analytical Chemistry of the Russian Academy of Sciences
Email: mzubasheva@mail.ru
Russian Federation, Moscow, 123098; Moscow, 119334
D. S. Karpov
Engelhardt Institute of Molecular Biology of the Russian Academy of Sciences
Email: mzubasheva@mail.ru
Russian Federation, Moscow, 119991
M. V. Zubasheva
Gamaleya National Research Centre for Epidemiology and Microbiology
Author for correspondence.
Email: mzubasheva@mail.ru
Russian Federation, Moscow, 123098
A. N. Polyakova
Lomonosov Moscow State University
Email: mzubasheva@mail.ru
Russian Federation, Moscow, 119234
D. N. Shcherbinin
Gamaleya National Research Centre for Epidemiology and Microbiology
Email: mzubasheva@mail.ru
Russian Federation, Moscow, 123098
A. I. Solovyev
Gamaleya National Research Centre for Epidemiology and Microbiology
Email: mzubasheva@mail.ru
Russian Federation, Moscow, 123098
M. V. Lavrentyev
Gamaleya National Research Centre for Epidemiology and Microbiology
Email: mzubasheva@mail.ru
Russian Federation, Moscow, 123098
T. A. Smirnova
Gamaleya National Research Centre for Epidemiology and Microbiology
Email: mzubasheva@mail.ru
Russian Federation, Moscow, 123098
M. A. Sukhina
Ryzhikh State Research Center of Coloproctology
Email: mzubasheva@mail.ru
Russian Federation, Moscow, 123423
V. G. Zhukhovitsky
Gamaleya National Research Centre for Epidemiology and Microbiology; Russian Medical Academy of Continuing Professional Education
Email: mzubasheva@mail.ru
Russian Federation, Moscow, 123098; Moscow, 125993
References
- Liu Y., Du J., Lai Q., Zeng R., Ye D., Xu J., Shao Z. (2017) Proposal of nine novel species of the Bacillus cereus group. Int. J. Syst. Evol. Microbiol. 67(8), 2499–2508.
- Miyata J., Tasaka S., Miyazaki M., Yoshida S., Naoki K., Sayama K., Asano K., Fujiwara H., Ohkusu K., Hasegawa N., Betsuyaku T. (2013) Bacillus cereus necrotizing pneumonia in a patient with nephrotic syndrome. Int. Med. 52(1), 101–104.
- Worapongsatitaya P.T., Pupaibool J. (2022) Bacillus cereus meningoencephalitis in an immunocompetent patient. IDCases. 29, e01577.
- Inoue D., Nagai Y., Mori M., Nagano S., Takiuchi Y., Arima H., Kimura T., Shimoji S., Togami K., Tabata S., Yanagita S., Matsushita A., Nagai K., Imai Y., Takegawa H., Takahashi T. (2010) Fulminant sepsis caused by Bacillus cereus in patients with hematologic malignancies: analysis of its prognosis and risk factors. Leuk. Lymphoma. 51(5), 860–869.
- Ikeda M., Yagihara Y., Tatsuno K., Okazaki M., Okugawa S., Moriya K. (2015) Clinical characteristics and antimicrobial susceptibility of Bacillus cereus blood stream infections. Ann. Clin. Microbiol. Antimicrob. 14, 43.
- Guinebretiere M.H., Auger S., Galleron N., Contzen M., De Sarrau B., De Buyser M. L., Lamberet G., Fagerlund A., Granum P. E., Lereclus D., De Vos P., Nguyen-The C., Sorokin A. (2013) Bacillus cytotoxicus sp. nov. is a novel thermotolerant species of the Bacillus cereus group occasionally associated with food poisoning. Int. J. Syst. Evol. Microbiol. 63(Pt 1), 31–40.
- Liu Y., Lai Q., Goker M., Meier-Kolthoff J.P., Wang M., Sun Y., Wang L., Shao Z. (2015) Genomic insights into the taxonomic status of the Bacillus cereus group. Sci. Rep. 5, 14082.
- Carroll L.M., Cheng R. A., Wiedmann M., Kovac J. (2022) Keeping up with the Bacillus cereus group: taxonomy through the genomics era and beyond. Crit. Rev. Food Sci. Nutr. 62(28), 7677–7702.
- Schoch C.L., Ciufo S., Domrachev M., Hotton C. L., Kannan S., Khovanskaya R., Leipe D., McVeigh R., O’Neill K., Robbertse B., Sharma S., Soussov V., Sullivan J. P., Sun L., Turner S., Karsch-Mizrachi I. (2020) NCBI Taxonomy: a comprehensive update on curation, resources and tools. Database (Oxford). 2020, baaa062.
- Daffonchio D., Raddadi N., Merabishvili M., Cherif A., Carmagnola L., Brusetti L., Rizzi A., Chanishvili N., Visca P., Sharp R., Borin S. (2006) Strategy for identification of Bacillus cereus and Bacillus thuringiensis strains closely related to Bacillus anthracis. Appl. Environ. Microbiol. 72(2), 1295–1301.
- Chelliah R., Wei S., Park B. J., Kim S. H., Park D. S., Kim S. H., Hwan K. S., Oh D. H. (2017) Novel motB as a potential predictive tool for identification of B. cereus, B. thuringiensis and differentiation from other Bacillus species by triplex real-time PCR. Microb. Pathog. 111, 22–27.
- Olsen J.S., Skogan G., Fykse E. M., Rawlinson E. L., Tomaso H., Granum P. E., Blatny J. M. (2007) Genetic distribution of 295 Bacillus cereus group members based on adk-screening in combination with MLST (Multilocus Sequence Typing) used for validating a primer targeting a chromosomal locus in B. anthracis. J. Microbiol. Meth. 71(3), 265–274.
- Clark A.E., Kaleta E. J., Arora A., Wolk D. M. (2013) Matrix-assisted laser desorption ionization-time of flight mass spectrometry: a fundamental shift in the routine practice of clinical microbiology. Clin. Microbiol. Rev. 26(3), 547–603.
- Cairo J., Gherman I., Day A., Cook P. E. (2022) Bacillus cytotoxicus — a potentially virulent food-associated microbe. J. Appl. Microbiol. 132(1), 31–40.
- Morgulis A., Coulouris G., Raytselis Y., Madden T. L., Agarwala R., Schaffer A. A. (2008) Database indexing for production MegaBLAST searches. Bioinformatics. 24(16), 1757–1764.
- Jolley K.A., Bray J. E., Maiden M. C.J. (2018) Open-access bacterial population genomics: BIGSdb software, the PubMLST.org website and their applications. Wellcome Open Res. 3, 124.
- Liang Q., Liu C., Xu R., Song M., Zhou Z., Li H., Dai W., Yang M., Yu Y., Chen H. (2021) fIDBAC: a platform for fast bacterial genome identification and typing. Front. Microbiol. 12, 723577.
- Beaman T.C., Gerhardt P. (1986) Heat resistance of bacterial spores correlated with protoplast dehydration, mineralization, and thermal adaptation. Appl. Environ. Microbiol. 52(6), 1242–1246.
- Sauer S., Freiwald A., Maier T., Kube M., Reinhardt R., Kostrzewa M., Geider K. (2008) Classification and identification of bacteria by mass spectrometry and computational analysis. PLoS One. 3(7), e2843.
- Смирнова Т. А., Сухина М. А., Гречников А.А., Поддубко С.В., Зубашева М.В., Грумов Д.А., Богданов И.А., Переборова А. А., Козлова В.А., Плиева З.С., Щербинин Д. Н., Андреевская С.Г., Шевлягина Н.В., Соловьев А.И., Карпов Д.С., Поляков Н.Б., Жуховицкий В.Г. (2023) Идентификация клинических изолятов группы Bacillus cereus и их характеристика методами масс-спектрометрии и электронной микроскопии. Молекуляр. биология. 57(4), 609–622.
- Shu L.J., Yang Y.L. (2017) Bacillus classification based on matrix-assisted laser desorption ionization time-of-flight mass spectrometry — effects of culture сonditions. Sci. Rep. 7(1), 15546.
- Kim K., Seo J., Wheeler K., Park C., Kim D., Park S., Kim W., Chung S. I., Leighton T. (2005) Rapid genotypic detection of Bacillus anthracis and the Bacillus cereus group by multiplex real-time PCR melting curve analysis. FEMS Immunol. Med. Microbiol. 43(2), 301–310.
- Hsieh Y.M., Sheu S. J., Chen Y.L., Tsen H.Y. (1999) Enterotoxigenic profiles and polymerase chain reaction detection of Bacillus cereus group cells and B. cereus strains from foods and food-borne outbreaks. J. Appl. Microbiol. 87(4), 481–490.
- Oliwa-Stasiak K., Molnar C.I., Arshak K., Bartoszcze M., Adley C.C. (2010) Development of a PCR assay for identification of the Bacillus cereus group species. J. Appl. Microbiol. 108(1), 266–273.
- Ehling-Schulz M., Svensson B., Guinebretiere M.H., Lindback T., Andersson M., Schulz A., Fricker M., Christiansson A., Granum P.E., Martlbauer E., Nguyen-The C., Salkinoja-Salonen M., Scherer S. (2005) Emetic toxin formation of Bacillus cereus is restricted to a single evolutionary lineage of closely related strains. Microbiology (Reading). 151(1), 183–197.
- Parte A.C., Sarda Carbasse J., Meier-Kolthoff J.P., Reimer L.C., Goker M. (2020) List of prokaryotic names with standing in nomenclature (LPSN) moves to the DSMZ. Int. J. Syst. Evol. Microbiol. 70(11), 5607–5612.
- Riley E.P., Schwarz C., Derman A.I., Lopez-Garrido J. (2020) Milestones in Bacillus subtilis sporulation research. Microb. Cell. 8(1), 1–16.
- Klee S.R., Brzuszkiewicz E.B., Nattermann H., Bruggemann H., Dupke S., Wollherr A., Franz T., Pauli G., Appel B., Liebl W., Couacy-Hymann E., Boesch C., Meyer F.D., Leendertz F.H., Ellerbrok H., Gottschalk G., Grunow R., Liesegang H. (2010) The genome of a Bacillus isolate causing anthrax in chimpanzees combines chromosomal properties of B. cereus with B. anthracis virulence plasmids. PLoS One. 5(7), e10986.
- Wilson M.K., Vergis J.M., Alem F., Palmer J.R., Keane-Myers A.M., Brahmbhatt T.N., Ventura C.L., O’Brien A.D. (2011) Bacillus cereus G9241 makes anthrax toxin and capsule like highly virulent B. anthracis Ames but behaves like attenuated toxigenic nonencapsulated B. anthracis Sterne in rabbits and mice. Infect. Immun. 79(8), 3012–3019.
- Apriliana U., Wibawa H., Ruhiat E., Untari T., Indarjulianto S. (2021) Isolation and identification of avirulent strains of Bacillus anthracis from environmental samples in Central Java, Indonesia. Int. J. One Hlth. 7(2), 204–211.
- Okinaka R.T., Price E.P., Wolken S.R., Gruendike J.M., Chung W.K., Pearson T., Xie G., Munk C., Hill K.K., Challacombe J., Ivins B.E., Schupp J.M., Beckstrom-Sternberg S.M., Friedlander A., Keim P. (2011) An attenuated strain of Bacillus anthracis (CDC684) has a large chromosomal inversion and altered growth kinetics. BMC Genomics. 12, 477.
Supplementary files






