History of the Creation of a New Generation of Antibiotics of the Group of Polycyclic Glycopeptides
- Authors: Olsufyeva E.N.1
-
Affiliations:
- Gause Institute of New Antibiotics
- Issue: Vol 58, No 6 (2024)
- Pages: 862-886
- Section: ОБЗОРЫ
- URL: https://ogarev-online.ru/0026-8984/article/view/280595
- DOI: https://doi.org/10.31857/S0026898424060029
- EDN: https://elibrary.ru/HNBCOO
- ID: 280595
Cite item
Full Text
Abstract
Increased resistance to polycyclic glycopeptide antibiotics has become a serious problem for chemotherapy of infections caused by resistant Gram-positive bacteria. Chemical modification of known natural antibiotics is the main direction in the creation of new generation anti-infective drugs. Over the past two decades, a series of hydrophobic glycopeptide analogues active against resistant strains of Gram-positive bacteria have been developed, three of which – oritavancin, telavancin, and dalbavancin – were approved by the US Food and Drug Administration (FDA) in 2013–2014 for the treatment of infections caused by sensitive and resistant strains of staphylococci and enterococci. It has been established that hydrophobic derivatives of glycopeptides can act on resistant strains of bacteria by a mechanism that does not allow binding to the modified target of resistant bacteria. Understanding the mechanism of action of natural and modified glycopeptides is considered as the basis for the rational design of compounds with valuable properties to achieve fundamental results. The possibility of using semi-synthetic glycopeptide analogues in the fight against viral infections caused by envelope viruses is also considered. The review outlines the main ways of chemical design in creating a new generation of glycopeptide antibiotics that overcome resistance to Gram-positive pathogens, and the mechanisms of their action.
Full Text
Сокращения: ABSSSI – острые бактериальные инфекции кожи и структур кожи; Adoc – адамантил-1-оксикарбонил; BOC – трет-бутилоксикарбонил; Bz – бензил; Bzl – бензоил; ESI MS – масс-спектрометрия с электороспрейным распылением; GRE – энтерококки, устойчивые к гликопептидным антибиотикам; HIV-1 – вирус иммунодефицита человека; MRSA – метициллинустойчивый S. aureus; MRSE – метициллинрезистентный S. epidermidis; MSSA – метициллинчувствительный S. aureus; NAM-NAG – дисахарид N-ацетилмурамовой кислоты и N-ацетилгликозамина; REDOR – ядерный магнитный резонанс с двойным резонансом вращательного эхо-сигнала; VanA, VaB и VanC – энтерококки с определенным генотипом (А, В и С), устойчивые к ванкомицину; VRE faecium – ванкомицинрезистентный Enterococcus faecium; VISA – S. aureus со средним уровнем устойчивости; VRSA – ванкомицинрезистентный S. aureus; МПК – минимальная концентрация антибиотика, вызывающая гибель 100% микроорганизмов.
ВВЕДЕНИЕ
В результате широкого применения антибиотиков, особенно в агропромышленном комплексе, появились и широко распространились штаммы патогенных микроорганизмов, устойчивые ко многим антибиотикам [1–3].
Применение антибиотиков в производстве пищевых продуктов, в частности молочных, создает предпосылки для их попадания в организм человека, особенно детей, что неблагоприятно сказывается на здоровье [4]. Особую тревогу вызывает быстрое распространение так называемых супербактерий (superbugs), обладающих пан-устойчивостью и вызывающих инфекции, которые не поддаются лечению существующими противомикробными препаратами [5]. Обычно множественная лекарственная устойчивость развивается естественным путем, при этом при иммунодефицитных состояниях, таких как сахарный диабет, тяжелые ожоговые травмы, HIV-инфекция, COVID-19, а также у реципиентов, перенесших трансплантацию органов, повышена частота инфекций, вызываемых условно-патогенными микроорганизмами [6].
В 2008 г. Всемирная Организация Здравоохранения (ВОЗ) опубликовала так называемый список ESKAPE, в который вошли шесть опасных с точки зрения развития резистентности патогенных бактерий: Enterococcus faecium; Staphylococcus aureus; Klebsiella pneumoniae; Acinetobacter baumannii; Pseudomonas aeruginosa; Enterobacter spp. В 2013 году к этому списку добавили еще 14 крайне опасных штаммов бактерий: A. baumannii (устойчивый к карбапенемам), P. aeruginosa (устойчивый к карбапенемам), Enterobacteriaceae (устойчивые к карбапенемам третьего поколения, устойчивые к цефалоспоринам), Klebsiella pneumoniae, Escherichia coli, Enterobacter cloacae, S. aureus (устойчивый к ванкомицину и к метициллину), Streptococcus pneumoniae (нечувствительный к пенициллину), Campylobacter sp. (устойчивый к фторхинолонам), Haemophilus influenzae (устойчивый к ампициллину), Helicobacter pylori (устойчивый к кларитромицину), Neisseria gonorrhoeae (устойчивый к цефалоспоринам третьего поколения и фторхинолонам), Mycobacterium tuberculosis, Salmonella enterica (устойчивый к фторхинолонам. Большую опасность представляют также биопленки, которые образуют многие клинически важные бактерии: S. aureus, S. epidermidis, E. faecalis, Escherichia coli, P. aeruginosa [7].
В 2017 г. была утверждена стратегия предупреждения распространения антимикробной резистентности в РФ на период до 2030 г., в рамках которой приоритетным должно стать создание новых поколений антибиотиков, преодолевающих резистентность бактерий к лекарственным препаратам [8].
Институт по изысканию новых антибиотиков им. Г. Ф. Гаузе со дня основания и на протяжении многих лет является головным учреждением по созданию антибиотиков новых поколений [9]. Особое место в создании и изучении механизмов действия занимали и занимают полусинтетические антибиотики на основе природных полициклических гликопептидов, к которым относятся ванкомицин (1) [10], тейкопланин (2) [11] и антибиотик эремомицин (3), открытый в Институте и превышающей по своей активности 1 (рис. 1) [12].
Рис. 1. Структуры природных гликопептидов: ванкомицина (1), тейкопланина А2-2 (2) и эремомицина (3).
К настоящему моменту опубликована серия обзоров, посвященных проблеме преодоления резистентности бактерий к этой группе антибиотиков. Наиболее полный обзор Van Groesen и соавт. [13] носит общеознакомительный характер и рассматривает последние достижения в создании полусинтетических гликопептидных антибиотиков нового поколения. Приведен подробный анализ структура-активность больших групп полусинтетических аналогов гликопептидов, обобщены некоторые закономерности. Обсуждаются также вопросы преодоления резистентности, однако механизмы антимикробного действия антибиотиков этой группы практически не рассматриваются.
Поиск новых более совершенных лекарственных средств неотделим от изучения механизмов их действия на микро- и макроорганизмы. Представленный обзор посвящен анализу путей, которые привели к успешному созданию и внедрению в медицинскую практику высокоэффективных антибиотиков группы полициклических антибиотиков, преодолевающих резистентность клинически важных грамположительных энтерококков и стафилококков. Одновременно рассматривается развитие представлений о механизмах действия антибиотиков этого класса. Уделено внимание также перспективе создания на основе природных гликопептидов противовирусных препаратов, направленных на оболочечные вирусы, в том числе на HIV, вирус гепатита С (HCV), SARS-СoV-2 и др.
В заключении рассмотрены такие направления создания полициклических гликопептидов нового поколения, как конструирование гибридных структур, содержащих другие антибиотики или формакофорные группы, которые могут привести к появлению активности в отношении грамотрицательных бактерий, а также использование знаний о путях биосинтеза антибиотиков. Настоящий обзор носит ретроспективный характер, он охватывает период времени от открытия первых антибиотиков этой группы до настоящего времени. Обзор включает собственные экспериментальные и теоретические исследования автора.
ПРИРОДНЫЕ ГЛИКОПЕПТИДЫ
Основными антибиотиками, активными против патогенных бактерий E. faecium и S. aureus из списка ESKAPE, являются природные полициклические гликопептидные антибиотики группы ванкомицина (1)–тейкопланина (2) (рис. 1), а также некоторые их полусинтетические аналоги. Гликопептиды не могут проникать через клеточную стенку грамотрицательных бактерий, поэтому обычно они эффективны только при инфекциях, вызванных восприимчивыми грамположительными возбудителями. Эти антибиотики относятся к препаратам последнего выбора при заболеваниях, вызываемых метициллинустойчивыми штаммами стафилококков из-за высокой частоты ассоциированной устойчивости патогенов к препаратам других классов. Они традиционно используются при энтерококковых инфекциях, вызванных штаммами, устойчивыми к β-лактамным антибиотикам.
Ванкомицин (1) применяется в клинике более 70-ти лет для лечения инфекций, вызванных метициллинустойчивым штаммом S. aureus (MRSA), метициллинустойчивым S. epidermidis (MRSE) и амоксициллинустойчивыми энтерококками. В пероральной форме ванкомицин используется при диарее, вызванной Clostridium difficile [14]. Основным побочным эффектом применения ванкомоцина является так называемый эффект “красного лица”. Считается, что это опосредовано высвобождением гистамина из тучных клеток и рассматривается как псевдоаллергическая реакция на лекарственный препарат.
Применение тейкопланина (2) было одобрено в Европе в 1988 г. через 2 года после первого успешного лечения инфекций костей и мягких тканей, эндокардита, пневмонии и сепсиса. Тейкопланин (2) не вызывает псевдоаллергических реакций, проявляет высокую эффективность при стафилококковых и энтерококковых инфекциях различных органов, благодаря хорошему распределению и оптимальному времени удерживания в тканях [11].
УСТОЙЧИВОСТЬ К ГЛИКОПЕПТИДАМ
Первое сообщение об устойчивости энтерококков E. faecium к ванкомицину появилось только в конце 80-х годов. К настоящему времени описано более 10 фенотипов энтерококков, устойчивых к гликопептидным антибиотикам GRE (от А до N) [15]. Грамотрицательные бактерии обладают природной устойчивостью к гликопептидным антибиотикам, которые не могут проходить через наружную оболочку этих бактерий.
Наиболее распространенными штаммами энтерококков, устойчивыми к ванкомицину, являются штаммы типа VanA и VanB. Резистентность грамположительных бактерий к гликопептидам носит индуцибельный характер и опосредуется достаточно сложными механизмами. В формировании пептидогликана наружной стенки у многих бактерий участвует большой мультиферментный комплекс. В норме гликопептиды чувствительных к антибиотику грамположительных бактерий прочно связываются с концевым дипептидом -D-Ala–D-Ala, входящим в состав предшественника пептидогликана – дисахаридпентапептида – основного компонента клеточной стенки. Такое связывание приводит к подавлению последних стадий биосинтеза пептидогликана – включения предшественника в растущую цепь биополимера и образования поперечных сшивок. При этом может ингибироваться работа как трансгликозилазы, сшивающей дисахаридпептидные мономеры, имеющие концевые остатки D-Ala-D-Ala, так и транспептидазы, которая сшивает эти пептиды с образованием трехмерной структуры, отщепляя последний остаток D-Ala c формированием мостика между строительными блоками [16].
У одних бактерий пептидным мостиком служит пентапептид (Gly)5, а у других – остаток мезо-α-γ-диаминопимелиновой кислоты, соединяющий вторую пептидную цепь через γ-аминогруппу Lys. На рис. 2а показано ингибирование работы этих ферментов за счет образования прочного комплекса антибиотика с мишенью Ac2-Lys-D-Ala-D-Ala, который имеет высокую константу связывания (Ка ~ 105 М–1) с агликоном ванкомицина (4).
Рис. 2. Взаимодействие агликона ванкомицина (4) с пептидом Ac2-Lys-D-Ala-D-Ala (Ка ~105 М–1) (а) и депсипептидом Ac2-Lys-D-Ala-D-Lac (Ка ~102 М–1) (б). Схема механизма чувствительности (S) и устойчивости (R) E. spp. к ванкомицину (1) (в). Пунктирными линиями показаны водородные связи, стрелками – отталкивание между атомами кислорода молекулы антибиотика и мишени.
Ванкомицин (1) имеет связывающий карман, образованный агликоновым фрагментом, способным образовывать пять водородных связей между концевой метиламиногруппой и амидными группами пептидного кора с карбоксильной группой и амидными группами трипептида. Боковые радикалы аминокислотных остатков АК1 и АК3 дополнительно “формируют” стенки этого кармана (рис. 2а). У штаммов энтерококков с фенотипами VanА и VanВ вместо дипептида D-Ala-D-Ala находится модифицированный предшественник с концевым остатком D-Ala–D-Lac. При этом аффинность гликопептидов к нему резко снижена (Ка ~ 102 М–1) [17]. Такая замена “убирает” одну водородную связь и вызывает отталкивание карбоксильной группы АК4 от кислорода сложноэфирной группы депсипептида (рис. 2б).
Появление резистентности стало возможным благодаря изменению биосинтеза клеточной стенки бактерии. В биосинтезе концевого дипептидного предшественника участвует кластер из нескольких генов, отвечающий “за работу” D-Ala-D-Xaa-лигазы. В случае мутации гена vanA в активном центре соответствующего фермента происходит замена остатка Tyr на Phe. При этом D-Ala-D-Xaa-лигаза теряет субстратную специфичность и использует в качестве субстрата как D-Ala-D-Ala, так и D-Ala-D-Lac. [18]. Штаммы VanА и VanВ энтерококков имеют определенные различия в структуре внешней оболочки, поэтому некоторые гликопептиды, например тейкопланин (2), не действуют на VanА-бактерии, но активны в отношении VanВ [19]. Обнаружены штаммы S. haemolyticus, устойчивые к (2) и при этом чувствительные к (1). Устойчивость (2) к таким штаммам ассоциирована с мутацией в гистидинкиназах VraS и WalK [20].
Резистентность энтерококков к ванкомицину (1) определяется двухкомпонентной ферментной системой, состоящей из рецепторной гистидинкиназы VanS и регулятора ответа VanR. Гистидинкиназа VanS, выступающая как рецептор (1), распознает его и индуцирует экспрессию генов vanH, vanA и vanX, ответственных за синтез клеточной стенки с участием D-Ala-D-Lac [19].
Штамм S. aureus с устойчивым фенотипом VanA (VRSA), получен от пациента, коинфицированного ванкомицинрезистентным E. faecalis, что предполагает горизонтальный перенос генов, опосредованный транспозоном Tn1546 [21]. Кроме клинических штаммов GRE и VRSA, существуют другие грамположительные бактерий, такие как Leuconostoc, Lactobacillus, устойчивые ко всем гликопептидам, в состав клеточной стенки которых входит остаток D-Ala-D-Lac [18].
В клинических условиях выявлены также штаммы золотистого стафилококка со средним уровнем устойчивости к ванкомицину (VISA) и резистентные (VRSA) (МПК > 8 мкг/мл) или, соответственно, полностью устойчивые к антибиотику. Инфекции, обусловленные этими патогенами, не поддаются лечению даже возрастающими дозами препарата. Механизм действия у них иной – считается, что (1) индуцирует у таких бактерий значительное утолщение наружной клеточной стенки, поэтому антибиотик не способен преодолеть такой барьер [21].
Ранее из актиномицета Amycolatopsis orientalis в Институте был выделен оригинальный гликопептидный антибиотик эремомицин (A82846A, ММ45289) (3), структурно схожий с ванкомицином (1), но существенно превосходящий его по активности в отношении большинства штаммов грамположительных бактерий in vitro и in vivo [12]. Клинические испытания (3) были приостановлены из-за проявления псевдоаллергенной реакции, характерной и для (1), однако (3) оказался важным для получения новых полусинтетических аналогов с улучшенными свойствами, а также для подробного изучения механизмов действия антибиотиков этой группы [22].
ХИМИЧЕСКИЙ ДИЗАЙН ГЛИКОПЕПТИДОВ
Направленный дизайн гликопептидных антибиотиков группы ванкомицина–тейкопланина может осуществляться по двум основным путям: во-первых, усиления взаимодействия с мишенью, измененной в резистентных бактериях, во-вторых, путем поиска возможности связывания с дополнительными мишенями в клетке.
Модификации могут подвергаться функциональные группы антибиотика как в области связывающего кармана, так и в периферийных областях молекулы. Предполагается, что изменить химические связи и физико-химические характеристики молекулы антибиотика (например, распределение зарядов, диполей, т. е. изменить амфифильность) [22] можно путем: 1) усиления взаимодействия фрагмента N-концевой группы пептидного кора в так называемом карбоксилат-связывающем кармане; 2) модификации аминокислот вблизи связывающего кармана; 3) нивелирования отталкивания атомов кислорода посредством модификации пептидной связи между остатками аминокислот АК4-АК5.
В Институте впервые были разработаны основные методы химической трансформации эремомицина (3) как в области связывающего кармана, так и в периферийной части молекулы (рис. 3, конкретные примеры см. ниже). В результате производные получили модификацией: аминосахара дисахаридной ветви АК4 (1), карбоксильной группы АК7 (2), бокового фенольного радикала АК7 по реакции Манниха (3), амидной группы АК3 Asn (4), NMe-концевой группы АК1 (5), отщеплением АК1 по Эдману (6) и гидролизом сахаров с образованием агликона (7). Параллельно изучали и реакции трансформации других гликопептидов – ванкомицина (1) и тейкопланина (2) (особенности химических свойств и механизмов действия эремомицина (3) и его производных рассмотрены ниже).
Рис. 3. Основные пути химической трансформации гликопептидных антибиотиков на примере эремомицина (3). Цветными стрелками показаны модификации целой молекулы, черными – реакции частичной деградации.
Как типичный полициклический гликопептид эремомицин (3) имеет связывающий карман, определяющий прочность комплекса с лигандом Ac2-L–Lys-D-Ala-D-Ala [23]. На рис. 4 представлена пространственная модель Стюарта–Бриглеба комплекса молекулы эремомицина (3) с лигандом Ac2-L–Lys-D-Ala-D-Ala [24]. Поскольку карбоксильная группа мишени является ключевой для связывания как с чувствительной мишенью, так и с резистентной, химическая модификация была направлена на усиление связывания этой отрицательно заряженной группы с N-концевым фрагментом пептидного кора антибиотика за счет общего увеличения его основности.
Рис. 4. Модель Стюарта–Бриглеба комплекса эремомицина (3) (цветные атомы) с лигандом Ac2-L–Lys-D-Ala-D-Ala (атомы белого цвета).
В рамках этого подхода (рис. 5а) в бис-N-Bz-производном эремомицина N-концевой остаток N-Me-D-Lys был заменен на радикал (R, S)-4-метилпентил-2-амин с образованием соединения (3a), теоретически обладающего бὸльшей основностью. Однако такая модификация на привела к ожидаемому увеличению активности.
Рис. 5. Структуры производных эремомицина (3a-c), модифицированных по АК1 (а) и по АК1 и АК3 (б). Bz – бензил.
Бóльшая стабильность молекулы эремомицина в щелочных условиях по сравнению с молекулой ванкомицина, позволила ввести модификацию вблизи связывающего кармана по АК3. Путем избирательного превращения амидной группы Asn (АК3) в карбоксильную группу Asp c последующим амидированием адамантил- и н-дециламином (одновременно с реакцией по карбоксильной группе АК7) были получены бисамиды (3b) и (3c) (рис. 5б) [25].
Эти гидрофобные амиды обладали достаточно заметной активностью в отношении грамположительных бактерий, включая клинические изоляты, в частности энтерококки VanA (МПК = 8 мкг/мл). Возможные механизмы действия гидрофобных производных гликопептидов рассмотрены ниже.
Исходя из соответствующих дегликозилированных производных эремомицина и тейкопланина, была предпринята попытка изменить характер боковых радикалов концевой АК1 [26] или одновременно АК1 и АК3 (рис. 6) [27], формирующих связывающий карман путем изменения гидрофобно-гидрофильных свойств этих аминокислот. Так, например, остатки Lys и His содержат аминогруппу, способную к протонированию, а остатки MeLeu, Phe и Trp носят выраженный гидрофобный характер. Замену концевого остатка АК1 D-MeLeu на D-Lys, D-Trp и D-His (соединения 5а-с) осуществили, исходя из агликона эремомицина (5), в реакции Эдмана с образованием промежуточного гексапептида с последующим введением соответствующих аминокислот путем стандартного пептидного синтеза.
Рис. 6. Превращения агликонов гликопептидов по аминокислотным остаткам АК1 и АК1/АК3 (соединения 5a–c и 6b–d) и лишенных АК1 и АК3 (соединения 6a и 6e).
Модификация с замещением одновременно АК1 и АК3 проведена путем открытой итальянскими исследователями уникальной реакции восстановительного расщепления (избытком NaBH4 в EtOH) пептидной связи АК2-АК3 гликопептидов, сопровождающейся трансформацией СО-группы до ОН-группы АК2 [28].
В частности, агликон тейкопланина (6) после расщепления подвергли дальнейшей трансформации, заключающейся в последовательном одновременном удалении АК1 и АК3 двойной реакцией Эдмана, блокировании N- и С-концевых групп, окислении спиртовой группы до карбоксильной с последующим деблокированием и образованием промежуточного трипептида (6а) (пять стадий синтеза). Далее путем последовательного введения соответствующей АК3, циклизации до макроцикла с образованием промежуточного гексапептида с последующим присоединением АК1 из (6а) были получены новые гептапептиды (6b–d).
Такая модификация-реконструкция гликопептида по АК1 и АК3 хотя и дала положительные результаты, но не привела к решающему прорыву в преодолении резистентности энтерококков VanA. Однако проведенные исследования дали импульс для дизайна и синтеза следующего поколения гликопептидов с принципиально новой конструкцией связывающего кармана, в котором отсутствует отталкивание двух атомов кислорода.
В частности, благодаря промежуточному трипептиду (6a) в приведенном синтезе [29] открылась возможность химическим путем восстановить критически важную NHCO-группу АК4–АК5 до аминометиленовой NH2CH2 с образованием (6e). А на основе (6e) по уже отработанным схемам синтеза можно создать псевдогептапептид, который за счет нивелирования отталкивания атомов кислорода антибиотика и лиганда теоретически мог более прочно связаться с остатком D-Ala-D-Lac.
Эта идея была реализована группой ученых под руководством Boger D.L., создавших “SUPER DRUGs” [30].
Основой такой возможности стала проведенная в 1998–1999 гг. тремя коллективами синтетиков под руководством Evans D.A., Nicolaou K.C. и Boger D.L. титаническая работа по получению природных гликопептидов, включая ванкомицин (1), эремомицин (3) и другие гликопептиды этого класса, причем учеными последней группы предложен ряд усовершенствований, в результате которых синтез (1) был выполнен с общим выходом 3.7% [31].
Для создания антибиотиков третьего поколения “SUPER DRUGs” предварительно синтезировали ключевое соединение – 4,5-тиоаналог агликона ванкомицина (7a) (рис. 7), из которого реакциями восстановления и соответственно аминирования были получены целевые NH2-CH2- и NH(C=NH)-производные агликона ванкомицина (7b) и (7c) (рис. 8) [32, 33]. Соответственно промежуточный (7a) получили в результате многоступенчатого синтеза по методикам, аналогичным разработанным ранее для синтеза агликона ванкомицина (4). При этом полициклическую структуру получали с помощью последовательных реакций, причем тиогруппу вводили на ранних стадиях синтеза. Сначала из цикло-CD-трипептида (8) тионированием амидной связи был получен цикло-CD-псевдотрипептидтиоамид (9) (система CBD), который, в свою очередь, в реакции с производным бороновой кислоты (10) (кольцо А) c последующими реакциями макролактонизации и сочетания по Сузуки обеспечил образование двух соединенных макроколец системы ABCD (11). Далее к полученному 4,5-тиоамидтетрапептиду (11) присоединили N-концевой трипептид (с кольцом Е) (12) с образованием пептидной связи, что и завершило получение ключевого 4,5-тиоаналога агликона ванкомицина (7a).
Рис. 7. Сокращенная схема получения ключевого промежуточного 4,5-тиоаналога агликона ванкомицина (7a).
Рис. 8. Структуры 4,5-тиоаналога агликона ванкомицина (7a) и, соответственно, его аминометилено- (NH2-CH2-) и амидинопроизводных (NH(C=NH)-) (7b, 7c).
Установлено, что взаимодействие производного (7b) ванкомицина с измененной группой (NH2-CH2, АК4-АК5) с “резистентной” мишенью усилилось (Ka = 5 × 103 M–1 против Ка ~ 102 М–1 для агликона ванкомицина), однако это произошло за счет ослабления взаимодействия с “чувствительной” мишенью: Ka = 4.8 × 103 M–1 против Ка ~ 105 М–1 для агликона ванкомицина (4). В результате значения взаимодействия (7b) как с резистентным (VanA), так и с чувствительным энтерококком (МПК = 31 мкг/мл) сравнялись, но при этом оказались ниже активности исходного антибиотика в отношении чувствительного штамма (МПК = 2 мкг/мл) [30].
Рис. 9. Взаимодействие производного ванкомицина (7b) с депсипептидом Ac2-Lys-D-Ala-D-Lac (Ka = 5 × 103 M–1) (а) и с пептидом Ac2-Lys D-Ala-D-Ala (Ka = 4.8 × 103 M–1) (б).
Напротив, производное агликона ванкомицина (7c) с измененной амидиновой группой NH(C=NH) (АК4-АК5) показало одинаковое сродство к обоим лигандам (a и b) (Ka ~ 7 × 104 M–1), что в результате привело к проявлению одинаково высокой активности против VanA-резистентных бактерий E. faecalis VanA (МПК = 0.3–0.6 мкг/мл) (рис. 10) [30].
Рис. 10. Модель взаимодействия производного ванкомицина (7c) с депсипептидом Ac2-Lys-D-Ala-D-Lac (Ka = 6.9 × 104 M–1) (а) и пептидом Ac2-Lys-D-Ala-D-Ala (Ka = 7.3 × 104 M–1) (б).
Совершенно ясно, что синтез “SUPER DRUGs” является большим достижением и имеет большую научную значимость. Однако метод получения (>30 стадий) остается на данный момент очень дорогим. Гораздо более простым и менее затратным подходом оказалась направленная химическая трансформация природных гликопептидных антибиотиков, в результате которой удалось получить аналоги с дополнительным механизмом действия, обеспечивающим возможность преодоления бактериальной резистентности. С помощью химической трансформации природных антибиотиков (одна‒три стадии синтеза) на основе ванкомицина (1), тейкопланина (2), эремомицина (А40926А) (3) и хлорэремомицина (А82846В) (13) получены серии аналогов, преодолевающие резистентность бактерий, антибиотики второго поколения, в том числе оритаванцин (“Eli Lilly”, США), телаванцин (“Theravance”, США) и далбаванцин (“Vicuron Pharm.”, ранее “LePetit”, Италия). Препараты нового поколения одобрены FDA (США) в 2013–2014 гг. для лечения инфекций, вызванных грамположительными патогенными бактериями, включая штаммы гликопептидрезистентных энтерококков и стафилококков [10, 22].
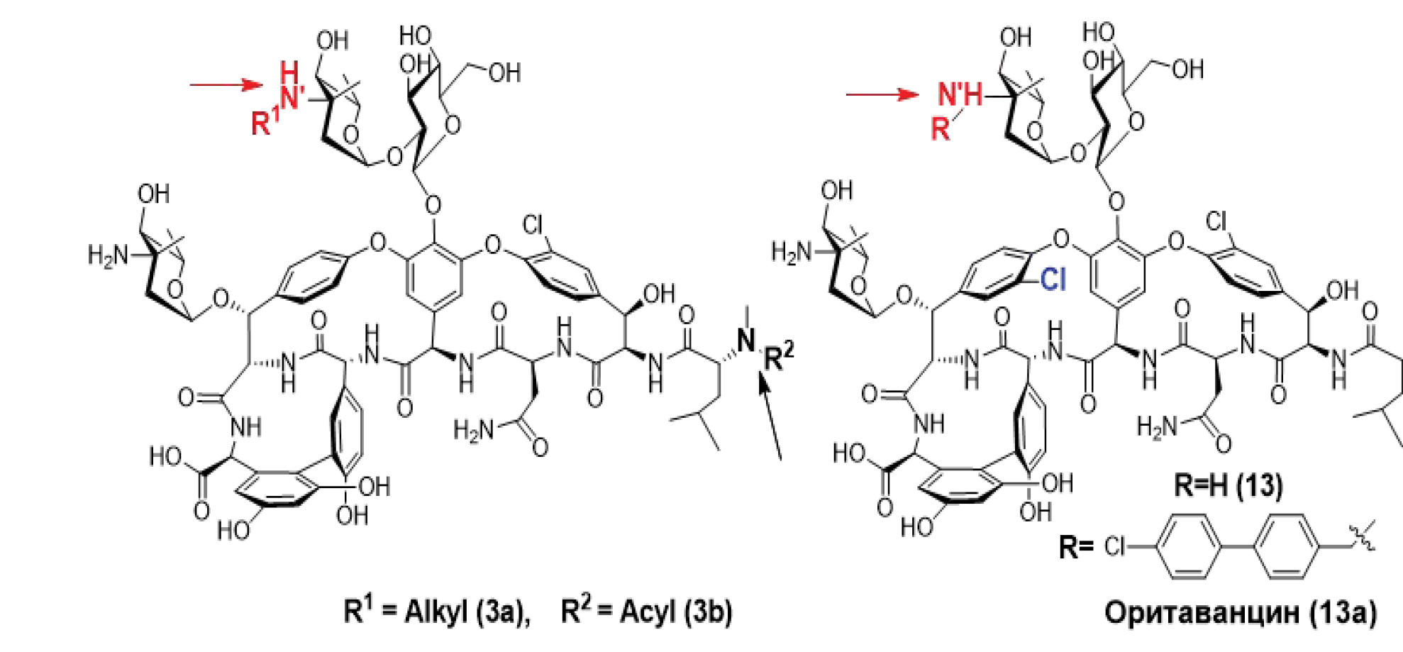
Обнадеживающие результаты получены при использовании уже первых модификаций эремомицина (3) и хлорэремомицина (13), полученных путем восстановительного алкилирования альдегидами N’H2-группы (R1) при АК4 и ацилирования NMe-группы АК1(R2) (c ацил-Cl, соединения 3a и 3b) [34].
Практически одновременно на основе хлорэремомицина (13) фирмой “Eli Lilly” был независимо получен высокоактивный п-Cl-Ph-п-Bz-хлорэремомицин (оритаванцин) (13а) (рис. 11) [35–37]. Этот препарат, одобренный FDA в 2014 г., активен в отношении резистентных штаммов энтерококков VanA и VanB и применяется в настоящее время при острых бактериальных инфекциях кожи и ее придатков.
Рис. 11. Структуры производных эремомицина (3a, 3b), хлорэремомицина (13) и его производного оритаванцина (13а).
Успешным направлением модификации ванкомицина (1) и эремомицина (3) стало избирательное аминоацилирование той же функциональной группы N’H2-аминосахара при АК4 активированными OSu-эфирами замещенных аминокислот. Среди производных этого типа наиболее активным (МПК = 2–4 мкг/мл) в отношении резистентных штаммов энтерококков VanA оказался аналог ванкомицина (1а), содержащий по N’-аминогруппе ванкозамина остаток п-O-(н-Octyl)-п-Ph-Gly (рис. 12) [38].
Рис. 12. Структуры N’-ацильных производных ванкомицина (1a) и далбаванцина (14).
Интересно отметить, что полусинтетическое производное природного гликопептида, родственного тейкопланину А40926А, ацилированное жирной кислотой по АК48, – далбаванцин (14), также применяется для лечения пациентов с ABSSSI, вызванными большинством чувствительных штаммов грамположительных микроорганизмов и некоторых штаммов резистентных энтерококков. Далбаванцин (14), как и 2, активен в отношении резистентных энтерококков VanB, но не действует на VanA. Далбаванцин (14) имеет увеличенный период полувыведения ‒ 204 ч, что позволяет вводить этот препарат однократно [39]. Интересно, что название 14 происходит от “dalbaheptides” – D-Ala-D-Ala-Binding Hepta Peptides [40], однако оно не прижилось.
Далбаванцин (14) является N1, N1-диметиламинопропиламидом природного антибиотика А40926А. Этот гидрофильный радикал делает антибиотик хорошо растворимым в водных растворах, поскольку компенсирует его гидрофобность за счет остатка жирной кислоты [41]. Принцип амфифильности реализован также при создании еще одного важного препарата N’-н-дециламиноэтил-7d-аминометилфосфоната ванкомицина – телаванцина (1b) (TD-6424), который содержит гидрофобный фрагмент, присоединенный к N’-аминогруппе ванкозамина при АК4, и гидрофильный фрагмент в положении 7d бокового ароматического радикала АК7.
Получение данного препарата стало возможным благодаря разработанному ранее в Институте оригинальному способу введения радикалов разной амфифильности в ароматическое кольцо АК7 гликопептидов по реакции Манниха [42]. На примере производных Манниха четко показано, что оптимальный размер гидрофобного радикала имеет С9–С12, это правило подтверждено многочисленными примерами, включая вышеприведенные соединения 1a, 3b–d, 13а, 14. Среди полученных производных наибольшей активностью в отношении чувствительных энтерококков (MПК = 0.5 мкг/мл) и устойчивых энтерококков VanA (MПК = 2–8 мкг/мл) обладало соединение (3d) с радикалом R = –NHC10H21 (рис. 13, 14, табл. 1).
Рис. 13. Структуры производных типа основания Манниха – телаванцина (1b) и эремомицина (3d).
Рис. 14. Формула соединений (3d–f), приведенных в табл. 1.
Таблица 1. Антибактериальная активность производных эремомицина, модифицированных по различным положениям на периферии молекулы
Тип соединения | Соединение | МПК, мкг/мл | ||
MRSA | GSE | GRE (VanA) | ||
Основание Манниха (3d) | Y = -CH2NHC10H21 | 0.5–1 | 0.5 | 2–8 |
Амид (3e) | X = -CONHC10H21 | 0.25–0.5 | 0.25–0.5 | 8 |
N’H-производное по сахару (3f) | Z = -N’H-C10H21 | 0.5–1 | 0.25–0.5 | 4–8 |
Результаты проведенных исследований позволили сделать еще два важных вывода: 1) аналоги гликопептидных антибиотиков, содержащие дополнительные радикалы ~ С9–C16 арильного или алкильного типов, способны преодолевать резистентность грамположительных бактерий; 2) положение заместителя практически не имеет значения (рис. 14, табл. 1), хотя ранее считали, что гидрофобный радикал желательно вводить в дисахаридный фрагмент при АК4 по аналогии со структурой тейкопланина (2), имеющего гидрофобный заместитель в том же положении АК4 [22].
МЕХАНИЗМЫ ДЕЙСТВИЯ ГЛИКОПЕПТИДОВ
Полученные результаты подтверждены также при изучении влияния места введения радикалов жирных кислот разной длины (С6–С18) по трем функциональным группам ванкомицина: N’H2-дисахарида при АК4, N- и C-концевым остаткам пептидного кора при АК1 и АК7 соответственно. Все три производных показали наиболее высокую антимикробную активность в отношении ванкомицинрезистентных энтерококков VanA, VanB и VanC (МПК ~ 2–4 мкг/мл) c заместителем размером С10–С12 независимо от его положения на периферии молекулы [43].
Предполагалось, что согласно теории, предложенной группой исследователей под руководством Williams D.H., такой гидрофобный заместитель способствует возможности заякоривания производного антибиотика в мембране [44]. Однако механизмы действия гидрофобных гликопептидов оказались значительно сложнее (см. ниже).
Наиболее эффективным методом введения различных заместителей в молекулу гликопептидных антибиотиков является амидирование концевой карбоксильной группы с помощью реагентов типа PyBOP. Реакции амидирования протекают при комнатной температуре с высокими выходами и не требуют предварительной защиты других функциональных групп.
В Институте получена серия перспективных карбоксамидов эремомицина, обладающих преимуществом перед исходными антибиотиками. В частности, адамантил-2-амид эремомицина (3g) (рис. 15) проявлял активность в отношении штаммов MSSA, MRSA, VISA, VRE, а также Bacíllus anthracis, включая штаммы, устойчивые к ципрофлоксацину. В модельных опытах in vivo он лучше защищал животных, искусственно зараженных стафилококком или возбудителем сибирской язвы, от гибели, чем ципрофлоксацин [45].
Рис. 15. Структуры карбоксамидных аналогов эремомицина (3g–3m) и де-Cl-F-оритаванцина (13b).
Два других производных – пирролидид- (3h) [46] и 2-фторбензиламиноэтиламид эремомицина (флаванцин) (3i) [47, 48] (рис. 15) – показали высокую активность in vitro в отношении штаммов MSSA, MRSA, энтерококков VanA (МПК = 1–4 мкг/мл) и стафилококков VISA (МПК = 0.5–1 мкг/мл). В доклинических испытаниях на животных амиды (3h) и (3i) имели явные преимущества перед применяемыми в клинике аналогами и, что очень важно, реже приводили к развитию аллергических реакций. Как препараты нового поколения они перспективны для продвижения в клинику.
При обсуждении рассмотренных примеров возникает вопрос о механизмах антибактериальной активности, поскольку модификации второго типа, не затрагивающие функциональные группы в связывающем кармане, тем не менее привели к появлению активности в отношении резистентных энтерококков с измененной мишенью. Этот факт имеет несколько объяснений.
С целью углубленного изучения механизма действия гидрофобных производных гликопептидов проведены серии экспериментов на модельном штамме Escherichia coli OV58 (pTA9), у которого отсутствует наружная оболочка и разделены стадии трансгликозилирования (сшивание димерных пептидилгликозидных фрагментов с образованием незрелого линейного пептидогликана) и транспептидации (сшивание цепей незрелого пептидогликана до трехмерной структуры) [49].
Для построения незрелого линейного пептидогликана использовали его предшественники – дисахаридпептиды, содержащие в одном случае D-Ala-D-Ala (т. е. нормальные, полноценные мономеры), а в другом, укороченные пептиды с одним остатком D-Ala (т. е. неполноценные мономеры). Показано, что ванкомицин (1) или эремомицин (3) ингибирует стадию трансгликозилирования только при использовании нормальных мономерных предшественников, при этом в случае неполноценных мономеров ингибирования не происходит, поскольку антибиотик не может связаться с поврежденной мишенью. Совсем иная ситуация наблюдается при ингибировании получения незрелого пептидогликана с помощью гидрофобного производного гликопептида c “разрушенным карманом” (например, н-дециламида де-D-MeLeu-эремомицина (3k)). Оказалось, что в присутствии 3k стадия трансгликозилирования нарушается практически одинаково при использовании и неполноценных, и нормальных мономеров. Это говорит о том, что в присутствии гидрофобного антибиотика трансгликозилаза фактически не нуждается во взаимодействии с концевым пептидом D-Ala-D-Ala.
Полученные результаты подтверждены экспериментами по изучению антибактериальной активности гидрофобных производных гликопептидов. Например, производное с разрушенным связывающим карманом 3k проявляло активность в отношении как чувствительных штаммов S. epidermidis 533 и S. haemolyticus 602, E. faecium (GSE) 568 и E. faecalis (GSE) 559 (МПК = 0.5–1 мкг/мл и МПК = 2 мкг/мл соответственно), так и резистентных штаммов E. faecium 569 (GRE) и E. faecalis (GRE) 560 (МПК = 2–4 мкг/мл).
Эти результаты позволили сделать важный вывод о том, что замена мишени D-Ala-D-Ala гидрофобного гликопептида на резистентную мишень D-Ala-D-Lac не влияет на трансгликозилирование, при этом у такого производного сохраняется способность останавливать образование зрелого трехмерного пептидогликана, не связываясь априори ни с чувствительной мишенью D-Ala-D-Ala, ни с измененной D-Ala-D-Lac.
С целью более подробного изучения механизмов действия гликопептидных антибиотиков в Институте были специально синтезированы производные эремомицина, содержащие ЯМР-меченые стабильные изотопы 19F и 15N, и методом твердофазного ЯМР REDOR изучены комплексы полученных гликопептидов с пептидогликаном непосредственно в нативных клетках грамположительных бактерий.
Установлено, что 19F-содержащее гидрофобное производное эремомицина – 1-(4-фторфенил)пиперазиниламид эремомицина (3j), в комплексе с интактной клеткой S. aureus тесно взаимодействует со вторым участком связывания – с пептидной ножкой D-изо-Gln-L-Ala (рис. 16а) [50].
Рис. 16. Модели взаимодействия 19F-содержащих аналогов эремомицина (3j) (а) и хлорэремомицина (13b) (б) с фрагментами пептидогликана интактной клетки Staphylococcus aureus c пептидной ножкой D-iso-Gln-L-Ala и, соответственно, с мостиком –(Gly)5-, полученные методом REDOR. Прямой синей стрелкой указаны 19F-содержащие гидрофобные радикалы (выделены зеленым) антибиотиков.
Похожие результаты получены и для 19F-содержащего гидрофобного производного оритаванцина – п-F-Ph-п-Bz-хлорэремомицина (13b) (рис. 16б). Методом REDOR обнаружено дополнительное место взаимодействия (13b) с поперечным пентаглициновым мостиком – (Gly)5- [50].
В результате проведенных исследований предложены модели механизмов антибактериального действия на энтерококки VanA гликопептидов, содержащих гидрофобные заместители (3d–3j, а также 3l, 13a, 13b), и ванкомицина (1) (рис. 17) [22].
Рис. 17. Предполагаемая модель механизмов действия ванкомицина (1) (a) и производных гликопептидов, содержащих гидрофобный заместитель (3d–3j, а также 3l, 13a, 13b) (б). Ингибирование ванкомицином (1) стадии транспептидации в случае (а) незначительно, поэтому не показано.
Согласно этой модели, ванкомицин (1) связывается с концевым пептидом D-Ala-D-Ala стволового пептида преимущественно на стадии трансгликозилирования (механизм 1, рис. 17а). В отличие от ванкомицина (1) такие производные (рис. 17б) ингибируют как трансгликозилирование (механизм 1), так и транспептидацию (механизм 2), а также нарушают целостность бактериальных мембран (механизм 3). Аналогичная модель механизмов действия аналогов хлорэремомицина, в частности оритаванцина (13a), предложена в работе [51].
Важно добавить, что положительный заряд гидрофобной части заместителя не снижает активности изученных гликопептидов, направленной против резистентных грамположительных бактерий, но в ряде случаев способствует снижению токсичности. Так, например, N-((1-тетрадецилпиридин-1-иум-4-ил)метил)амид эремомицина (3l) (рис. 15) проявляет активность в отношении как пяти чувствительных энтерококков и S. aureus АТСС 29213 (МПК 0.25–2 мкг/мл), так и резистентных штаммов E. gallinarum 1308 и E. faecium 3567 (МПК = 2 мкг/мл) [52].
Аналогичный эффект наблюдали и для протонированных производных ванкомицина, содержащих гидрофобный радикал (рис. 18). Так, производное дипиколилванкомицина (1c) показало повышенную эффективность против бактерий, устойчивых к ванкомицину (1), а производное VanQAmC10 (1d), содержащее гидрофобный заместитель и протонированную группу, сохранило активность против бактерий, устойчивых к ванкомицину. При этом соединение (1d) было значительно менее токсичным как in vitro, так и in vivo [53]. Предполагается, что при взаимодействии положительно заряженных производных с встроенными в мембрану отрицательно заряженными бактопренолпирофосфатом и ундекапренилпирофосфорил-NAG-NAM-пентапептидом (липидом II) образуется ионная связь.
Рис. 18. Производные ванкомицина (1c, 1d), содержащие гидрофобный радикал и положительно заряженную группу.
В связи с предположением о возможности механизма 3 для производных (3d–3j, 3l, 13a, 13b) необходимо более подробно рассмотреть способность некоторых гликопептидов образовывать гомодимеры. Ванкомицин (1) способен в определенных условиях образовывать мономолекулярные димеры, что подтверждено методами молекулярно-динамического моделирования, основанными на ЯМР [54]. Но особенно эта способность характерна для эремомицина (3) и хлорэремомицина (13), димерный комплекс у которых дополнительно стабилизирован моносахаридным остатком эремозамина при АК6. Еще в ранних работах при изучении спектров ЯМР в водных растворах было установлено, что молекула эремомицина (3) существует в виде гомодимера типа голова к хвосту (рис. 19) [55]. Молекулы антибиотика удерживаются в димере за счет водородных связей, образованных “спинками” пептидных групп, не участвующих в связывании с мишенью D-Ala-D-Ala.
Рис. 19. Модель образования гомодимера эремомицина (3). R1–R7 – боковые радикалы пептидного кора антибиотика. Пунктиром обозначены водородные связи между HN- и CO-группами пептидных цепей двух молекул антибиотика.
В этой связи следует напомнить, что еще в ранних исследованиях, проведенных методом УФ-спектроскопии, отмечали несоответствие между более высокой (в 3–5 раз) активностью эремомицина (3) в сравнении с ванкомицином (1) в отношении грамположительных бактерий, и менее стабильным комплексом с модельной мишенью Ac2-Lys-D-Ala-D-Ala (Kа ~ 4 × 104 M–1) у (3) в сравнении с (1) (Kа ~ 1 × 106 M–1). Была сделана попытка объяснить этот факт тем, что димеризация молекул способствует образованию более прочного комплекса антибиотика (3) с лигандом Ac2-Lys-D-Ala-D-Ala [23].
Из последних данных, полученных методом ЯМР [56], также следует, что эремомицин (3) образует прочные димеры и олигомеры в присутствии лиганда N-Ac2-D-Ala-D-Ala. Олигомеризация комплекса (3) с лигандом приводит к усилению его антибактериальной активности в отношении S. aureus. Ванкомицин (1) такого эффекта не оказывает.
Процесс образования гликопептидами гомодимеров подробно изучен методом ЯМР группой исследователей под руководством Williams D.H. [57]. Наличие гомодимеров гликопептидных антибиотиков позже доказали, анализируя рентгеновские спектры [58] и результаты масс-спектрометрии ESI MS [59]. Оказалось, что многие полусинтетические производные эремомицина сохраняют присущую исходному антибиотику способность димеризоваться при нейтральных значениях рН [59].
Предложена модель, согласно которой гликопептиды, содержащие гидрофобный фрагмент, например, тейкопланин (2) по АК4, могут заякориваться этим фрагментом на мембране [44]. Предполагается также, что оритаванцин может закрепляться на клеточной мембране и самоассоциироваться в димеры, что приведет к нарушению целостности клеточной мембраны у грамположительных бактерий (рис. 17б) [51].
Интересные результаты получены при изучении упомянутым методом REDOR производного без заместителя при С-концевой группе пептидного кора – 15N-амида эремомицина (3m). Обнаружено, что 15N-амидная группа при АК7 этого производного сильно сближена (3.5 Å) с остатком L-[3–13C]Ala пептидной ножки, хотя 15N аспарагина АК3 больше удален от 13СО-групп обоих остатков D-Ala (5.1 и 4.8 Å) (рис. 20) [60].
Рис. 20. Модельная схема, показывающая близость 15N-амидных групп эремомицина (3m) к 13C атомам пептидного фрагмента пептидогликана интактной клетки S. aureus, измеренную методом REDOR. Пунктиром показаны расстояния в Å.
Важно отметить, что это производное не активно в отношении резистентных энтерококков VanA, но проявляет достаточно высокую активность в отношении стафилококков VISA (МПК = 0.5 мкг/мл), малочувствительных к ванкомицину (1) или эремомицину (3) при средних величинах концентрации (МПК > 8 мкг/мл).
Другие рассмотренные амиды эремомицина (3e, 3g–3i) были, как и (3m), активны в отношении стафилококков VISA. Вполне вероятно, что близость С-концевого амидного фрагмента молекулы антибиотика к фрагменту пептидной ножки зрелого пептидогликана как-то влияет на проявление активности в отношении штаммов VISA.
Таким образом, с использованием 1-(4-фторфенил)пиперазиниламида (3j) или 15N-амида (3l), содержащих метку 19F или 15N, получено прямое доказательство возможности связывания антибиотика с определенными структурами пептидогликана, помимо взаимодействия с основной мишенью D-Ala-D-Ala. Этим и объясняется возможность ингибирования синтеза пептидогликана в присутствии гидрофобных производных как эремомицина, так и оритаванцина (13а), в клетках резистентных грамположительных бактерий типа VanA без взаимодействия с основной мишенью, но за счет связывания с дополнительной мишенью.
В результате проведенных исследований сделаны следующие выводы:
- аналоги гликопептидных антибиотиков, содержащие дополнительные гидрофобные заместители размером ~ С9–C16, способны преодолевать резистентность грамположительных бактерий типа VanA, VanB;
- место присоединения гидрофобного радикала на периферии молекулы практически не имеет значения;
- гликопептиды, содержащие гидрофобный радикал, имеют дополнительный механизм действия; они способны связываться не только с концевым –D-Ala-D-Ala, но и еще с одной мишенью зрелого пептидогликана, т. е. обладают двойным механизмом действия;
- гидрофобные производные гликопептидов с разрушенным карманом, связываются не с основной мишенью D-Ala-D-Ala, а с элементом структуры трехмерного пептидогликана, т. е. обладают только одним механизмом действия;
- гликопептиды, образующие гомодимеры, также могут иметь еще один механизм действия за счет нарушения целостности бактериальных мембран.
ПРОТИВОВИРУСНАЯ АКТИВНОСТЬ
Совместное изучение биологических свойств полициклических гликопептидов и их полусинтетических производных, проведенное сотрудниками Института и исследователями Rega Institute for Medical Research (Leuven, Бельгия), привело к открытию у этих соединений противовирусной активности в отношении опасных оболочечных корона- и флавивирусов, HIV–1 и –2, вируса гепатита С (HCV), цитомегаловируса (CMV), вирусов японского и клещевого энцефалита (JEV и TBEV) и DENV (лихорадка Денге), коронавирусов кошек и человека (FIPV и SARS-CoV-2) и др. [61–65]. Противовирусную активность серии производных антибиотиков группы ванкомицина–тейкопланина изучали также венгерские ученые из Университета Дебрецена [66–68].
В экспериментах на клетках, зараженных вирусами, многие производные гликопептидов имели EC50 ~ 10 мкM и меньше при цитотоксичности в отношении клеток хозяина CC50 >80 мкM. Предполагалось, что механизм противовирусного действия агликонов гликопептидов связан с блокированием входа в клетку ретровируса (HIV) или флавивируса (DENV) за счет взаимодействия с рецепторами на поверхности клетки [65].
На рис. 21 приведены примеры производных гликопептидов, наиболее интересных с практической точки зрения. Так, например, адамантил-1-метиламид агликона эремомицина (5d) и его аналог де-N-MeLeu (5e) ингибировали репликацию HIV-1 в микромолярных концентрациях: EC50 = 1.6 и 5.5 мкM соответственно, при низкой токсичности CC50 > 80 мкM в отношении лимфобластных клеток хозяина CEM. де-N-MeLeu с разрушенным связывающим карманом (5e) перспективен как анти-HIV-агент длительного применения, так как он не способен связываться с бактериальными мишенями и индуцировать резистентность к гликопептидам [62].
N–BOC-адамантил-2-амид тейкопланина (6e) (рис. 21) ингибировал репликацию HCV (EC50 ~ 3 мкM), но не проявлял заметной токсичности на клетках хозяина (CC50 >40 мкM). Совместное применение соединения (6е) с различными ингибиторами протеазы (VX-950) и полимеразы (2’-C-метилцитидин) HCV вызывало аддитивный эффект. Это производное тейкопланина (6e) эффективно очищало клетки хозяина (гепатомы) от репликонов HCV [64]. В результате оказалось, что одно и то же соединение (6e) может предотвращать вход вируса DENV2 в клетки BS-C-1 и ингибировать репликацию HCV после проникновения в клетки Huh 913. Поэтому важно отметить, что несмотря на родство этих вирусов, а они относятся к одному семейству Flaviviridae, противовирусная активность (6e) не предполагает одинакового механизма действия. Обнаружено, что производные агликона тейкопланина (6f–h) проявляют достаточно высокую активность (EC50 ~ 7.3–8.0 мкM) в отношении вируса SARS-CoV-2 (штамм Frankfurt 1) при низкой токсичности в отношении клеток Vero (CC50 > 80 мкM).
Рис. 21. Производные агликонов эремомицина (5d, e) и тейкопланина 6e–h, обладающие противовирусной активностью, и 5d, 6f–h, подавляющие киназную активность.
Детальный механизм противовирусной активности гликопептидов остается практически неизученным. В Институте совместно с сотрудниками Университета Падуи (Италия) и группы MHG Kubbutat’s research (“ProQinase GmbH”, Германия) предпринято изучение протеинкиназной активности серии производных гликопептидов [69].
Впервые обнаружена ингибирующая активность полициклических пептидов, в частности, производных гликопептидных антибиотиков тейкопланина и эремомицина, против панели из 12 рекомбинантных протеинкиназ человека и двух протеинкиназ (СК1 и СК2) печени крыс. Например, 5d, 6e, 6f (рис. 21) ингибировали различные протеинкиназы со значениями IC50 ≤ 10 мкМ и в концентрации 10 мкМ подавляли активность фермента более чем на 90%. Анализ кинетики ингибирования протеинкиназы CK2α аналогом агликона тейкопланина (6f) обнаружил редкий пример неконкурентного механизма ингибирования (по отношению к АТР и пептидам).
Анализ полученных результатов показал, что противокиназная активность многих исследованных соединений коррелировала с их активностью против HIV, HСV, DENV2 и других оболочечных вирусов и флавивирусов.
В последние годы в связи с пандемией COVID-19, вызванной коронавирусом SARS-CoV-2, возобновился интерес к группе гликопептидных препаратов. В этих работах особое внимание уделено тейкопланину (2), поскольку известно, что он и его производные, в отличие от ванкомицина (1) и эремомицина (3), не только обладают высокой антибактериальной активностью, но и проявляют противовирусную активность в отношении ряда оболочечных вирусов [61–63]. Так, например, величина ЕС50 (2) в отношении HIV-1 составляет 17 ± 3.5 мкM при цитотоксической активности СС50 > 100 мкM в клетках C3H/3T3.
Как уже отмечалось, производные гликопептидных производных обладают важным свойством – способностью ингибировать проникновение оболочечных вирусов (HIV, DENV) в клетку, т. е. первую и очень важную стадию заражения.
Недавно показали, что тейкопланин (2) способен ингибировать проникновение вирусов Эбола и SARS-CoV-2 в клетку [8]. Эти результаты подтверждены данными о том, что (2) ингибирует репликацию SARS-CoV-2 в концентрациях, достижимых при использовании этого антибиотика в клинике. Установлено, что (2) связывается с белком шипа (спайк, S) SARS-CoV-2, прерывает его взаимодействие с рецептором ACE2 и избирательно ингибирует проникновение вируса в клетку [70].
ЗАКЛЮЧЕНИЕ
Несмотря на то, что легкие плоды открытия антибиотиков были, возможно, уже давно сорваны, разумные полусинтетические модификации гликопептидов по-прежнему имеют большие перспективы для дальнейшей оптимизации и расширения клинической значимости этого важного класса гликопептидов как антибактериальных средств.
Один из источников получения новых структур антибиотиков этого класса – геномные данные о генах, вовлеченных в биосинтез полициклических гликопептидов [68, 69]. В частности, в качестве примера приведены первые результаты получения новых структур – палеомицина и корбомицина – близких аналогов природных антибиотиков группы кистамицина–комплестатина. Антибиотики этой группы представляют собой соединения, родственные полициклическим гликопептидам, но лишенные углеводных остатков, они рассматриваются как структурные архетипы известных полициклических гликопептидов, которые могут дать новые исходные соединения “Scaffolds” для последующей химической трансформации с возможностью преодоления бактериальной антибиотикорезистентности. Перспективы антибиотиков группы кистамицина–комплестатина, как основы для создания антимикробных препаратов нового поколения, рассмотрены в обзоре [70].
Полициклические гликопептиды априори не действуют на грамотрицательные бактерии, вызывающие инфекционные заболевания, не поддающиеся лечению всеми доступными средствами. Они, как и грамположительные бактерии, имеют внутреннюю оболочку, построенную из трехмерного пептидогликана и на них, в принципе, могут подействовать полициклические гликопептиды, если удастся преодолеть наружную мембрану, состоящую преимущественно из липополисахаридов и фосфолипидов.
Описаны попытки сделать полициклические гликопептиды активными в отношении грамотрицательных бактерий [13, 53, 71–76]. Молекулы ванкомицина (1) конъюгировали либо с сидерофорами [13, 71], либо с постоянно положительно заряженными заместителями, либо с функциональными группами, положительно заряженными при физиологических значениях pH [13, 53, 72–76]. Сидерофоры можно использовать как модераторы железозависимых процессов активного транспорта для доставки антибиотиков, особенно в грамотрицательные бактерии, а положительно заряженные группы могут облегчить проникновение антибиотиков через наружную мембрану.
И действительно, в этом направлении достигнуты определенные успехи. В опытах in vitro и в некоторых случаях in vivo получены предварительные данные об активности производных ванкомицина в отношении некоторых клинически значимых грамотрицательных бактерий: Escherichia coli, P. aeruginosa и A. baumannii. Важно отметить, что производные ванкомицина такого типа в отличие от самого ванкомицина (1) показали способность к разрушению биопленок, образованных в экспериментах in vitro как грамположительными (MRSA), так и грамотрицательными бактериями. Например, производное ванкомицина VanQAmC10 (1d) снижало жизнеспособность клеток A. baumannii в стационарной фазе [53].
В результате было установлено, что такие соединения в отличие от ванкомицина (1) и других гликопептидов второго поколения способны проникать через внешнюю мембрану и достигать своей периплазматической мишени. Следовательно, конъюгирование сидерофоров или катионных групп с гликопептидами является жизнеспособной стратегией, позволяющей сделать грамотрицательные штаммы более чувствительными к этому классу антибиотиков, хотя значения МПК обычно остаются в “промежуточном диапазоне активности” [13]. Возникают также вопросы к истинному механизму такого действия на грамотрицательные бактерии, поскольку гликопептидные производные, содержащие положительно заряженные радикалы, проявляют активность благодаря способности к самопромотированию проникновения через внешнюю мембрану. Экспериментально показано, что добавление ионов магния резко снижает активность производных типа (1d) в отношении грамотрицательных бактерий [72, 75, 76].
Другим направлением в создании производных гликопептидных антибиотиков нового поколения, преодолевающих все более возрастающую резистентность грамположительных бактерий, может быть создание гибридных структур двойного действия, например, состоящих из антибиотиков, обладающих различными механизмами действия [77, 78]. Проведенные исследования показали, что перспективно получение гибридных антибиотиков, состоящих, например, из ванкомицина (1) или эремомицина (3), ковалентно связанных с антибиотиками, обладающими иными механизмами действия.
Синтезированные гетеродимеры ванкомицина с цефалоспорином (цефилаванцин, TD-1792) (1с) [79], а также эремомицина с азитромицином (3n) [80] или с 3, 6’- ди-Bz-оксикарбонилканамицином А (3o) (рис. 22) [81] продемонстрировали высокую активность в отношении как чувствительных, так и резистентных штаммов грамположительных бактерий, включая клинические изоляты. TD-1792 (1с) с 2019 года находится в фазе III клинических испытаний [82].
Рис. 22. Структуры цефилаванцина (1c) и конъюгатов эремомицина с азитромицином (3n) и с 3,6’-ди-Bz-оксикарбонилканамицином А (3o).
Важнейшей перспективой изучения гликопептидных антибиотиков и их полусинтетических аналогов должны стать поиски новых структур как биологическими, так и химическими методами в сочетании с углубленным изучением механизмов их молекулярного действия в отношении резистентных грамположительных и грамотрицательных бактерий, а также вирусов. Таким образом, можно сделать вывод о том, что полициклические антибиотики группы ванкомицина–тейкопланина представляют собой класс соединений, важный как для практического применения, так и для подробного изучения их влияния на микро- и макроорганизмы.
Обзор написан без привлечения дополнительного финансирования.
Настоящая работа выполнена без привлечения людей и животных в качестве объектов исследования.
Автор заявляет об отсутствии конфликта интересов.
About the authors
E. N. Olsufyeva
Gause Institute of New Antibiotics
Author for correspondence.
Email: eolsufeva@list.ru
Russian Federation, Moscow, 119021
References
- World Health Organization. 10 global health issues to track in 2021. https://www.who.int/news-room/spotlight/10-global-health-issues-to-track-in-2021
- Antimicrobial Resistance Collaborators. (2022) Global burden of bacterial antimicrobial resistance in 2019: a systematic analysis. Lancet. 399, 629–655.
- Manyi-Loh C., Mamphweli S., Meyer E., Okoh A. (2018) Antibiotic use in agriculture and its consequential resistance in environmental sources: potential public health implications. Molecules. 23, 795–842.
- Олсуфьева Е.Н., Янковская В.С., Дунченко Н.И. (2022) Обзор рисков контаминации антибиотиками молочной продукции. Антибиотики Химиотерапия. 67(7–8), 82–96.
- Mann A., Nehra K., Rana J.S., Dahiya T. (2021) Antibiotic resistance in agriculture: Perspectives on upcoming strategies to overcome upsurge in resistance. Curr. Res. Microb. Sci. 2, 100030–100043.
- Painuli S., Semwal P., Sharma R., Akash S. (2023) A new threat to the society. Health Sci. Rep. 6, e1480–e1482.
- WHO Strategic Priorities on Antimicrobial Resistance Preserving antimicrobials for today and tomorrow. 18 May 2022. https://www.who.int/publications/i/item/9789240041387
- Mirzaei R., Campoccia D., Ravaioli S., Arciola C.R. (2024) Emerging issues and initial insights into bacterial biofilms: from orthopedic infection to metabolomics. Antibiotics. 13, 184–206.
- Олсуфьева Е.Н., Янковская В.С. (2020) Основные тенденции в создании полусинтетических антибиотиков нового поколения. Успехи Химии. 89(3), 339–378.
- Rubinstein E., Keynan Y. (2014) Vancomycin revisited – 60 years later. Front. Publ. Health. 2, 217–223.
- Vimberg V. (2021) Teicoplanin – a new use for an old drug in the COVID-19 era? Pharmaceuticals. 14, 1227–1238.
- Гольдберг ЛЕ., Степанова Е.С., Вертоградова Т.П., Шевнюк Л.А., Шепелевцева Н.Г. (1987) Доклинические токсикологические исследования нового антибиотика эремомицина I. Острая токсичность на лабораторных животных. Антибиотики и мед. биотехнол. 32, 910–915.
- Van Groesen E., Innocenti P., Martin N.I. (2022) Recent advances in the development of semisynthetic glycopeptide antibiotics: 2014–2022. ACS Infect. Dis. 8, 1381–1407.
- Zamone W., Prado I.R.S., Balbi A.L., Ponce D. (2019) Vancomycin dosing, monitoring and toxicity: сritical review of the clinical practice. Clin. Exp. Pharmacol. Physiol. 46, 292–301.
- Li G., Walker M.J., De Oliveira D.M.P. (2023) Vancomycin resistance in Enterococcus and Staphylococcus aureus. Microorganisms. 11, 24–74.
- Walsh C., Wencewicz T. (2016) Antibiotics: challenges, mechanisms, opportunities. Washington: ASM Press, 477 p.
- Bugg T.D.H., Wright G.D., Dutka-Malen S., Arthur M., Courvalin P., Walsh C.T. (1991) Molecular basis of vancomycin resistance in Enterococcus faecium BM4147: biosynthesis of a depsipeptide peptidoglycan precursor by vancomycin resistance proteins VanH and VanA. Biochemistry. 30, 10408–10415.
- Healy V.L., Lessard I.A.D., Roper D.I., Knox J.R., Walsh C.T. (2000) Vancomycin resistance in enterococci: reprogramming of the D-Ala-D-Ala ligases in bacterial peptidoglycan biosynthesis. Chem. Biol. 7, R109–R119.
- Hughes C.S., Longo E., Phillips-Jones M.K., Hussain R. (2017) Characterisation of the selective binding of antibiotics vancomycin and teicoplanin by the VanS receptor regulating type A vancomycin resistance in the enterococci. Biochim. Biophys. Acta. 1861, 1951–1959.
- Vimberg V., Cavanagh J.P., Benada O., Kofronova O., Hjerde E., Zieglerova L., Balikova Novotna G. (2018) Teicoplanin resistance in Staphylococcus haemolyticus is associated with mutations in histidine kinases VraS and WalK. Diagn. Microbiol. Infect. Dis. 90, 233–240.
- Cong Y., Yang S., Rao X. (2020) Vancomycin resistant Staphylococcus aureus infections: а review of case updating and clinical features. J. Adv. Res. 21, 169–176.
- Olsufyeva E.N., Tevyashova A.N. (2017) Synthesis, properties, and mechanism of action of new generation of polycyclic glycopeptide antibiotics. Curr. Top. Med. Chem. 17, 2166‒2198.
- Good V.M., Gwinn M.N., Knowles D.J.C. (1990) MM45289, а potent glycopeptide antibiotic which interacts weakly with diacetyl-L-lysyl-D-alanyl-D-alanine. J. Antibiotics. 43, 550–555.
- Быков Е.Е., Мирчинк Е.П., Исакова Е.Б., Бычкова Е.Н., Олсуфьева Е.Н., Тевяшова А.Н. (2017) Изучение антибактериальной активности и энергии связывания с пептидным лигандом гибридным антибиотиков ванкомицин-азитромицин и эремомицин-азитромицин. Антибиотики Химиотерапия. 62(3, 4), 10–17.
- Olsufyeva E.N., Berdnikova T.F., Miroshnikova O.V., Rerznikova M.I., Preobrazhenskaya M.N. (1999) Chemical modification of antibiotic eremomycin at the asparagin side chain. J. Antibiot. 52, 319–324.
- Miroshnikova O.V., Berdnikova T.F., Olsufyeva E.N., Pavlov A.Y., Reznikova M.I., Preobrazhenskaya M.N., Malabarba A., Ciabatti R., Colombo L. (1996) A modification of N-terminal aminoacid in the eremomycin aglycone. J. Antibiot. 49, 1157–1161.
- Malabarba A., Ciabatti R., Gerli E., Ferrari P., Colombo L. Ripamonti R., Olsufyeva E.N., Pavlov A.Y., Reznikova M.I., Lazhko E.I., Preobrazhenskaya M.N. (1997) Synthetic glycopeptides. II. Substitution of aminoacides 1 and 3 in teicoplanin aglycon. J. Antibiot. 50, 70–81.
- Malabarba A., Ciabatti R., Gerli E., Ferrari P., Colombo L. Ripamonti R., Olsufyeva E.N., Pavlov A.Y., Reznikova M.I., Lazhko E.I., Preobrazhenskaya M.N. (1997) Synthetic glycopeptides. II. Substitution of aminoacides 1 and 3 in teicoplanin aglycon. J. Antibiot. 50, 70–81.
- Malabarba A., Ciabatti R., Kettenring J., Ferrari P., Vekey K., Bellagio E, Denaro M. (1996) Structural modification of the active site in teicoplanin and related glycopeptides. Reductive hydrolysis of the 1,2- and 2,3-peptide bonds. J. Org. Chem. 61, 2137–2150.
- Okano A., Nakayama A., Wu K., Lindsey E.A., Schammel A.W., Feng Y., Collins K.C., Boger D.L. (2015) Total syntheses and initial evaluation of [Ψ[C(=S)NH]Tpg4]vancomycin, [Ψ[C(=NH)NH]Tpg4]vancomycin, [Ψ[CH2NH]Tpg4]vancomycin and their (4-chlorobiphenyl)methyl derivatives: synergistic binding pocket and peripheral modifications for the glycopeptide antibiotics. J. Am. Chem. Soc. 137(10), 3693–3704.
- Moore M.J., Qu S., Tan C., Cai Y., Mogi Y., Keith D.J., Boger D.L. (2020) Next-generation total synthesis of vancomycin. J. Am. Chem. Soc. 142(37), 16039–16050.
- Boger D.L., Kim S. H., Miyazaki S., Strittmatter H., Weng J.H., Mori Y., Rogel O., Castle S.L., McAtee J.J. (2000) Total synthesis of the teicoplanin aglycon. J. Am. Chem. Soc. 122, 7416–7417.
- Xie J., Okano A., Pierce J.G., James R.C., Stamm S., Crane C.M., Boger D.L. (2012) Total synthesis of [Ψ[C(═S)NH]Tpg4]vancomycin aglycon, [Ψ[C(═NH)NH]Tpg4]vancomycin aglycon, and related key compounds: reengineering vancomycin for dual D-Ala-D-Ala and D-Ala-D-Lac binding. J. Am. Chem. Soc. 134, 1284–1297.
- Олсуфьева Е.Н., Бердникова Т.Ф., Докшина Н.Ю., Ломакина Н.Н., Орлова Г.И., Малкова И.В., Прозорова И.Н. (1989) Модификация эремомицина по аминным группам. Антибиотики Химиотерапия. 34, 352–358.
- Патент US5919756 (1989) https://patentimages.storage.googleapis.com/6e/d6/2e/3ed84141b5d27f/US5919756.pdf
- Cooper R.D.G., Snyder N.J., Zweifel M.J., Staszak M. A., Wilkie S. C., Nicas T.I., Mullen D.L., Butler T.F., Rodriguez M.J., Huff B.E., Thompson R.C. (1996) Reductive alkylation of glycopeptide antibiotics: synthesis and antibacterial activity. J. Antibiot. 49, 575–581.
- Allen N.E. (2010) From vancomycin to oritavancin: the discovery and development of a novel lipoglycopeptide antibiotic. Antiinfect. Agents Med. Chem. 9, 23–47.
- Plattner J.J., Chu D., Mirchink E.P., Isakova E.B., Preobrazhenskaya M.N., Olsufyeva E.N., Miroshnikova O.V., Printsevskaya S.S. (2007) N’-(alpha-aminoacyl)- and N’-alpha-(N-alkylamino)acyl derivatives of vancomycin and eremomycin. II. Antibacterial activity of N’-(alpha-aminoacyl)- and N’-alpha-(N-alkylamino)acyl derivatives of vancomycin and eremomycin. J. Antibiot. 60, 245–250.
- Werth B.J., Ashford N., Penewit K., Waalkes A., Holmes A., Ross D.H., Shen T., Hines K. M., Salipante S.J., Xu L. (2021) Dalbavancin exposure in vitro selects for dalba- vancin-non-susceptible and vancomycin-intermediate strains of methicillin-resistant Staphylococcus aureus. Clin. Microbiol. Infect. 27, 910.e1–910.e8.
- Parenti F., Cavalleri B. (1989) Proposal to name the vancomycin-ristocetin like glycopeptides as dalbaheptides. J. Antibiot. 42, 1882–1883.
- Barber K.E., Tirmizi A., Finley R., Stover K. R. (2017) Dalbavancin use for the treatment of methicillin resistant Staphylococcus aureus pneumonia. J. Pharmacol. Pharmacother. 8, 77–79.
- Pavlov A.Y., Lazhko E.I., Preobrazhenskaya M.N. (1996) A new type of chemical modification of glycopeptides antibiotics: aminomethylated derivatives of eremomycin and their antibacterial activity. J. Antibiot. 50, 509–513.
- Mühlberg E., Umstätter F., Domhan C., Hertlein T., Ohlsen K., Krause A., Kleist C., Beijer B., Zimmermann S., Haberkorn U., Mier W., Uhl P. (2020) Vancomycin-lipopeptide conjugates with high antimicrobial activity on vancomycin-resistant Enterococci. Pharmaceuticals. 13, 110–123.
- Beauregard D.A., Williams D.H., Gwynn M.N., Knowles D.H.C. (1995) Dimerization and membrane anchors in extracellular targeting of vancomycin group antibiotics. Antimicrob. Agents Chemother. 39, 781–785.
- Maples K.R., Wheeler C., Ip E., Plattner J., Chu D., Zhang Y.K., Preobrazhenskaya M.N., Printsevskaya S.S., Solovieva S.E., Olsufyeva E.N., Heine H., Lovchik J., Lyons C.R. (2007) Novel semisynthetic derivative of antibiotic eremomycin active against drug-resistant gram-positive pathogens including Bacillus anthracis. J. Med. Chem. 50, 3681–3685.
- Olsufyeva E.N., Shchekotikhin A.E., Bychkova E.N., Pereverzeva E.R., Treshalin I.D., Mirchink E.P., Isakova E.B., Chernobrovkin M.G., Kozlov R.S., Dekhnich A.V., Preobrazhenskaya M.N. (2018) Eremomycin pyrrolidide: a novel semisynthetic glycopeptide with improved chemotherapeutic properties. Drug Des. Dev. Ther. 12, 2875–2885.
- Moiseenko E.I., Erdei R., Grammatikova N.E., Mirchink E.P., Isakova E.B., Pereverzeva E.R., Batta G., Shchekotikhin A.E. (2021) Aminoalkylamides of eremomycin exhibit an improved antibacterial activity. Pharmaceuticals. 14, 379–390.
- Патент РФ № 2751334, 2021. https://patents.google.com/patent/RU2751334C1/ru
- Printsevskaya S.S., Pavlov A.Y., Olsufyeva E.N., Mirchink E.P., Isakova E.B., Reznikova M.I., Goldman R.C., Brandstrom A.A., Baizman E.R., Longley C.B., Sztaricskai F., Batta G., Preobrazhenskaya M.N. (2002) Synthesis and mode of action of hydrophobic derivatives of glycopeptide antibiotic eremomycin and des-(N-methyl-D-leucyl)eremomycin against glycopeptide-sensitive and resistant bacteria. J. Med. Chem. 45, 1340–1347.
- Kim S.J., Chang J., Singh M. (2015) Peptidoglycan architecture of gram-positive bacteria by solid- state NMR. Biochim. Biophys. Acta. 1848, 350–362.
- Zeng D., Debabov D., Hartsell T.L., Cano R.J., Adams S., Schuyler J.A., McMillan R., Pace J.L. (2016) Approved glycopeptide antibacterial drugs: mechanism of action and resistance. Cold Spring Harb. Perspect. Med. 6(12), a026989.
- Моисеенко Е.И., Грамматикова Н.Э., Щекотихин А.Е. (2019) Пиколиламиды эремомицина и катионные липогликопептиды на их основе: cинтез и оценка антимикробных свойств. Макрогетероциклы. 12(1) 98–106.
- Acharya Y., Dhanda G., Sarkara P., Haldar J. (2022) Pursuit of next-generation glycopeptides: a journey with vancomycin. Chem. Commun. 58, 1881–1897.
- Jia Z.G., O’Mara M.L., Zuegg J., Cooper M.A., Mark A.E. (2013) Vancomycin: ligand recognition, dimerization and super-complex formation. FEBS J. 280, 1294–1307.
- Gause G.F., Brazhnikova M.G., Lomakina N.N., Berdnikova T.F., Fedorova G.B., Tokareva N.L., Borisova V.N., Batta G.Y. (1989) Eremomycin – new glycopeptide antibiotic: chemical properties and structure. J. Antibiot. 42, 1790–1799.
- Izsépi L., Erdei R., Tevyashova A.N., Grammatikova N.E., Shchekotikhin A.E., Herczegh P., Batta G. (2021) Bacterial cell wall analogue peptides control the oligomeric states and activity of the glycopeptide antibiotic eremomycin: solution NMR and antimicrobial studies, Pharmaceuticals. 14, 83–96.
- Gerhard U., Mackay J.P., Malpestone R.A., Williams D.H. (1993) The role of dimerization of vancomycin antibiotics. J. Am. Chem. Soc. 115, 232–237.
- Nitanai Y., Kikuchi T., Kakoi K., Hanamaki S., Fujisawa I., Aoki K. (2009) Crystal structures of the complexes between vancomycin and cell-wall precursor analogs. J. Mol. Biol. 385, 1422–1432.
- Миргородская О.А., Олсуфьева Е.Н., Колуме D.E., Йоргенсен T.G.D., Роепсторф, П., Павлов А.Ю., Мирошникова О.В., Преображенская М.Н. (2000) Димеризация полусинтетических производных эремомицина, изученная методом ESI MS, и ее влияние на их антибактериальную активность. Биоорган. химия. 26, 631–640.
- Chang J., Zhou H., Preobrazhenskaya M., Tao P., Kim S. J. (2016) Correction to the carboxyl terminus of eremomycin facilitates binding to the non-D-Ala-D-Ala segment of the peptidoglycan pentapeptide stem. Biochemistry. 55, 3383–3391.
- Balzarini J., Pannecouque C., De Clercq E., Pavlov A., Printsevskaya S., Miroshnikova O., Reznikova M., Preobrazhenskaya M. (2003) Antiretroviral activity of semisynthetic derivatives of glycopeptide antibiotics. J. Med. Chem. 46, 2755–2764.
- Printsevskaya S., Solovieva S., Olsufyeva E., Mirchink E., Isakova E., De Clercq E., Balzarini J., Preobrazhenskaya M. (2005) Structure-activity relationship studies of a series of antiviral and antibacterial aglycon derivatives of the glycopeptide antibiotics vancomycin, eremomycin, and dechloroeremomycin. J. Med. Chem. 48, 3885–3890.
- Balzarini J., Keyaerts E., Vijgen L., Egberink H., De Clercq E., Van Ranst M., Printsevskaya S., Olsufyeva E., Solovieva S., Preobrazhenskaya M. (2006) Inhibition of feline (Fipv) and human (SARS) coronavirus by semisynthetic derivatives of glycopeptide antibiotics. Antiviral Res. 72, 20–33.
- Obeid S., Printsevskaya S., Olsufyeva E., Dallmeier K., Durantel D., Zoulim F., Preobrazhenskaya M. N., Neyts J., Paeshuyse J. (2011) Inhibition of hepatitis C virus replication by semisynthetic derivatives of glycopeptide antibiotics. J. Antimicrob. Chemother. 66, 1287–1294.
- De Burghgraeve T., Kaptein S. J.F., Ayala-Nunez N.V., Mondotte J.A., Pastorino B., Printsevskaya S.S., de Lamballerie X., Jacobs M., Preobrazhenskaya M., Gamarnik A.V., Smit J.M., Neyts J. (2012) An analogue of the antibiotic teicoplanin prevents flavivirus entry in vitro. PLoS One. 7, e37244–e37252
- Szűcs Z., Csavas M., Roth E., Borbas A., Batta G., Perret F., Ostorhazi E., Szatmari R., Vanderlinden E., Naesens L., Herczegh P. (2017) Synthesis and biological evaluation of lipophilic teicoplanin pseudoaglycon derivatives containing a substituted triazole function. J. Antibiot. 70, 152–157.
- Bereczki I., Szűcs Z., Batta G., Nagy T.M., Ostorházi E., Kövér K.E., Borbás A., Herczegh P. (2022) The first dimeric derivatives of the glycopeptide antibiotic teicoplanin. Pharmaceuticals. 15, 77–92.
- Bereczki I., Csávás M., Szűcs Z., Rőth E., Batta G., Ostorházi E., Naesens L., Borbás A., Herczegh P. (2020) Synthesis of antiviral perfluoroalkyl derivatives of teicoplanin and vancomycin. ChemMedChem. 15, 1661–1671.
- Коцца Д., Фортуна М., Меггио Ф., Сарно С., Куббутат М.Х.Д., Тотцке Ф., Шаехтеле С., Пинна Л.А., Олсуфьева Е.Н., Преображенская М.Н. (2018) Гидрофобные производные гликопептидных антибиотиков как новый класс ингибиторов протеинкиназ. Биохимия. 83, 1523–1533.
- Ma L., Li Y., Shi T., Zhu Z., Zhao J., Xie Y., Wen J., Guo S., Wang J., Ding J., Liang C., Shan G., Li Q., Ge M., Cena S. (2023) Teicoplanin derivatives block spike protein mediated viral entry as pan-SARS-CoV-2 inhibitors. Biomed. Pharmacother. 158, 114213–114223.
- Ghosh M., Miller P.A., Miller M.J. (2020) Antibiotic repurposing: bis-catechol- and mixed ligand (bis-catechol- mono-hydroxamate)-teicoplanin conjugates are active against multidrug resistant Acinetobacter baumannii. J. Antibiot. 73(3), 152–157.
- Hanckok R.E.W., Farmer S.W. (1993) Mechanism of uptake of degluco-teicoplanin amide derivatives across outer membranes of Escherichia coli and Pseudomonas aeruginosa, Antimicrob. Agents Chemother. 37(3), 453–456.
- Yarlagadda V., Manjunath G.B., Sarkar P., Akkapeddi P., Paramanandham K., Shome B.R., Ravikumar R., Haldar J. (2016) Glycopeptide antibiotic to overcome the intrinsic resistance of gram-negative bacteria. ACS Infect. Dis. 2(2), 132–139.
- Acharya Y., Bhattacharyya S., Dhanda, G., Haldar J. (2022) Emerging roles of glycopeptide antibiotics: moving beyond gram-positive bacteria. ACS Infect. Dis. 8, 1–28.
- Antonoplis A., Zang X., Wegner T., Wender P.A., Cegelski L. (2019) A vancomycin-arginine conjugate inhibits growth of carbapenem-resistant E. coli and targets cell-wall synthesis. ACS Chem. Biol. 14(9), 2065–2070.
- Chosy M.B., Sun J., Rahn H.P., Liu X., Brčić J., Wender P.A., Cegelski L. (2024) Vancomycin-polyguanidino dendrimer conjugates inhibit growth of antibiotic-resistant gram-positive and gram-negative bacteria and eradicate biofilm-associated S. aureus. ACS Infect Dis. 10(2), 384–397.
- Тевяшова А.Н., Олсуфьева Е.Н., Преображенская М.Н. (2015) Создание антибиотиков двойного действия как путь поиска новых перспективных лекарственных препаратов. Успехи химии. 84, 61–97.
- Koh A.J.J., Thombare V., Hussein M., Rao G.G., Li J., Velkov T. (2023) Bifunctional antibiotic hybrids: a review of clinical candidates. Front. Pharmacol. 14, 1158152.
- Long D.D., Aggen J.B., Chinn J., Choi S.K., Christensen B.G., Fatheree P.R., Green D., Hegde S.S., Judice J.K., Kaniga K., Krause K.M., Leadbetter M., Linsell M.S., Marquess D.G., Moran E.J., Nodwell M.B., Pace J.L., Trapp S.G., Turner S.D. (2008) Exploring the positional attachment of glycopeptide/β-lactam heterodimers. J. Antibiot. 61, 603–614.
- Tevyashova A.N., Bychkova E.N., Korolev A.M., Isakova E.B., Mirchink E.P., Osterman I.A., Erdei R., Szücs Z., Batta G. (2019) Synthesis and evaluation of biological activity for dual-acting antibiotics on the basis of azithromycin and glycopeptides. BMCL. 29, 276–280.
- Solyev P.N., Isakova E.B., Olsufyeva E.N. (2023) Antibacterial conjugates of kanamycin a with vancomycin and eremomycin: biological activity and a new MS-fragmentation pattern of Cbz-protected amines. Antibiot. 12, 894–904.
- Surur A.S., Sun D. (2021) Macrocycle-antibiotic hybrids: a path to clinical candidates. Approaches to overcoming bacterial resistance using the example of chemical design of glycopeptide antibiotics of the vancomycin-teicoplanin group. Front. Chem. 9, 659845.
Supplementary files























