Sensitivity of Primary Human Glioblastoma Cell Lines to Mumps Virus Vaccine Strain
- Authors: Nikolaeva E.Y.1, Zhelayeva Y.R.1, Susova O.Y.1, Mitrofanov A.A.2, Varachev V.O.3, Nasedkina T.V.3, Zverev V.V.1, Svitich O.A.1, Ammour Y.I.1
-
Affiliations:
- Mechnikov Research Institute for Vaccines and Sera
- Blokhin Russian Cancer Research Center
- Engelhardt Institute of Molecular Biology, Russian Academy of Sciences
- Issue: Vol 58, No 4 (2024)
- Pages: 601–611
- Section: МОЛЕКУЛЯРНАЯ БИОЛОГИЯ КЛЕТКИ
- URL: https://ogarev-online.ru/0026-8984/article/view/275159
- DOI: https://doi.org/10.31857/S0026898424040068
- EDN: https://elibrary.ru/INBJDQ
- ID: 275159
Cite item
Full Text
Abstract
The sensitivity of human glioblastoma cells to virus-mediated oncolysis was investigated on five patient-derived cell lines. Primary glioblastoma cells (Gbl13n, Gbl16n, Gbl17n, Gbl25n, and Gbl27n) were infected with 10-fold serial dilutions of the Leningrad-3 strain of mumps virus, virus reproduction and cytotoxicity were monitored for 96–120 hours. Immortalized human non-tumor NKE cells were used as controls to determine virus specificity. Four out of the five glioblastoma cell lines examined were susceptible to mumps virus infection, whereas no virus reproduction was observed in the non-tumor cell line. Moreover, the level of proapoptotic caspase-3 activity was increased in all infected cells 48 hours after infection. The kinetics of viral RNA accumulation in the studied glioblastoma cell lines was comparable with the rate of cell death. The data suggest that glioblastoma cell lines are permissive for mumps virus. Glioblastoma cell lines differed in type I IFN production in response to mumps virus infection. In addition, it was shown that MV infection was able to induce immunogenic death of glioblastoma cells.
Keywords
Full Text
Сокращения:
ОВ – онколитические вирусы; MOI – множественность инфекции; PBS – фосфатно-солевой раствор; FBS – эмбриональная сыворотка крупного рогатого скота; УФ – ультрафиолетовое излучение; МТТ – 3-(4,5-диметилтиазол-2-ил)-2,5-дифенилтетразолийбромид; ПЦР-РВ – ПЦР в режиме реального времени; ТЦД – тканевая цитопатическая доза; ЦПД – цитопатическое действие; БОЕ – бляшкообразующие единицы; IFN – интерферон; ЕD50 – эффективная доза; PBMC (peripheral blood mononuclear cell) – мононуклеарные клетки периферической крови, NK (natural killer) – естественные киллерные клетки, E:T (Effector to target ratio) – соотношение числа эффекторных клеток (NK) к числу клеток глиобластомы, ns (not significant) – незначимое различие.
ВВЕДЕНИЕ
Глиобластома 4-й степени (Glioblastoma, Grade 4) – наиболее распространенная и наиболее летальная первичная злокачественная опухоль головного мозга у взрослых. Медиана общей выживаемости при глиобластоме составляет 15 месяцев, а 5-летная выживаемость обычно не превышает 5–7% после постановки первоначального диагноза [1]. Стандартом лечения уже более 10 лет является проведение полной хирургической резекции с последующей химиотерапией темозоломидом и лучевой терапией, что позволяет увеличить среднюю выживаемость до 14.6 месяцев [2, 3]. Глиобластома характеризуется быстрым диффузным, инфильтративным ростом и высоким уровнем клеточной гетерогенности, что затрудняет лечение и ухудшает прогноз выживаемости [4]. Перспективным подходом к лечению глиобластомы является применение онколитических вирусов (ОВ), способных специфически инфицировать и лизировать опухолевые клетки, минимально повреждая при этом нормальные клетки. Кроме того, ОВ могут преодолевать иммуносупрессивное действие микроокружения опухоли, стимулируя врожденный иммунитет, а возможность применения в комбинации с другими методами лечения существенно повышает их противоопухолевую эффективность [5]. На данный момент ОВ используют в трех клинических исследованиях терапии глиобластомы, восемь клинических испытаний уже завершены (https://clinicaltrials.gov/search?cond=Glioblastoma&term=Glioblastoma%20Multiforme;%20&distance=50&aggFilters=status: act&viewType=Table&intr=oncolytic).
Ранее нами был показан онколитический потенциал вакцинного штамма Ленинград-16 вируса кори против первичных клеток глиобластомы человека и охарактеризованы генетические закономерности, определяющие чувствительность первичных клеток глиобластомы человека к онколитической терапии вирусом кори [6]. Так, проведение РНК-Seq выявило около 1200 дифференциально экспрессированных генов (FDR < 0.05) как минимум с двукратным изменением уровня экспрессии между инфицированными и неинфицированными клетками, с наиболее значительным повышением уровня экспрессии генов интерферонового ответа, апоптозного и цитокинового сигнальных путей. В данной работе рассмотрен онколитический потенциал вируса паротита (Mumps virus, MV) в отношении первичных клеток глиобластомы и оценено влияние интерферонового ответа на репликацию MV в культурах клеток глиобластомы. Впервые онколитические свойства MV были показаны в клинических исследованиях, проведенных в Японии в 1970–1980-х гг., в которых оценивали действие клинического изолята MV дикого типа в отношении различных видов рака [7–9], включая опухоли центральной нервной системы [10]. Однако терапевтический потенциал живых вакцинных штаммов MV в отношении клеток солидных опухолей человека (меланомы [11], фибросаркомы и рака шейки матки [12], рака яичников [13], трижды негативного рака молочной железы [14]) показан относительно недавно.
Таким образом, цель работы заключалась в оценке онколитических свойств отечественного вакцинного штамма MV Ленинград-3 (L-3), которым заражали первичные клетки глиобластомы человека. Исследование проведено на пяти клеточных линиях и неопухолевой линии клеток человека, использованной в качестве контроля. Показано, что MV реплицируется в большинстве клеточных линий глиобластомы, вызывая их гибель. Таким образом, MV, наряду с другими парамиксовирусами, можно рассматривать в качестве потенциального онколитического агента в отношении клеток глиобластомы.
ЭКСПЕРИМЕНТАЛЬНАЯ ЧАСТЬ
Вирусы и клетки. В работе использован вакцинный штамм MV L-3 с титром 6.4–6.5 lgТЦД50/мл или 6.9 lgБОЕ/мл (коллекция НИИ вакцин и сывороток (НИИВС) им. И. И. Мечникова). MV культивировали и титровали по ЦПД и реакции бляшкообразования на клеточной культуре Vero (ССL-81, ATCC, США).
Линии клеток Gbl13n, Gbl16n, Gbl17n, Gbl25n и Gbl27n на ранних пассажах (7–10 пассажи) получены в Российском онкологическом научном центре (РОНЦ) им. Н.Н. Блохина (Москва) из операционного материала или биопсии пациентов с подтвержденным клиническим диагнозом глиобластома. Молекулярно-генетический профиль клеточных линий изучен с помощью NGS-секвенирования [15]. Обнаруженные мутации приведены в табл. 1.
Таблица 1. Использованные культуры клеток глиобластомы человека
Культура клеток | Пол и возраст пациента | Диагноз (по ВОЗ) | Мутированный ген | Мутация* | Пассажный уровень |
Gbl 13n | М, 45 | Глиобластома G4, | PTEN MRE11 TP53 | c.T821C c.579_582del c.C460T | 10 |
Gbl 16n | М, 47 | Глиобластома G4 | TP53 PTEN TAF1L LCK | c.A419G c.A588T c.C2746T c.G1332A | 9 |
Gbl 17n | М, 68 | Глиобластома G4 | PTEN ERBB3 PIK3CG TOP1 | c.1524_1525ins c.C2150T c.A766T c.533_538del | 8 |
Gbl 25n | Ж, 70 | Глиобластома G4 | PTEN TP53 | c.635–1G>A c.C263T | 9 |
Gbl 27n | М, 56 | Глиобластома G4 | PTEN TP53 | c.C195A c.C263T | 7 |
*Секвенирование проводили на приборе NextSeq2000 методом парноконцевых прочтений на сформированной панели зондов, включающей последовательности 812 генов, мутации в которых ассоциированы с развитием опухоли.
Примечание. Панели для таргетного секвенирования формировали на основе панелей Foundation One (“Roche”, Швейцария) и TruSight Cancer Sequencing Panel (“Illumina”, США), базы данных cBioPortal (https://www.cbioportal.org) и данных о спектре соматических мутаций в опухолях мозга [15].
Иммортализованные эпителиальные клетки NKE человека (нормальные эпителиальные клетки почки) получены из коллекции РОНЦ им. Н. Н. Блохина. Перевиваемая культура клеток Vero получена из коллекции НИИВС им. И. И. Мечникова.
Мононуклеарные клетки периферической крови (РВМС) здоровых доноров выделяли с использованием FiColl (F5415, “Sigma”, США) согласно инструкции.
Все клеточные линии культивировали во флаконах T25 (430372, “Corning”, Нидерланды) в питательной среде DMEM/F12 (31330095, “Thermo Fisher Scientific” (“TFS”), США), содержащей 10% эмбриональной сыворотки крупного рогатого скота (FBS; A3160802, “TFS”), 1 мM глутамина (35050, “TFS”) и 100 мкг/мл гентамицина (15710064, “TFS”). Клетки инкубировали при температуре 37°C в атмосфере 5% CO2. При достижении монослоя клеток проводили пересев культуры. Для этого сливали супернатанты, обрабатывали 10%-ным фосфатно-солевым раствором (PBS) для удаления остатков сыворотки и мертвых клеток. Клетки снимали раствором TrypLE Express (12605, “TFS”). Клетки в клеточной суспензии для определения их жизнеспособности окрашивали 0.2%-ным раствором трипанового синего (15250061, “TFS”). Подсчет клеток проводили в камере Горяева.
Заражение клеток. Клетки, достигшие 80–90% монослоя во флаконах Т25, промывали 2 мл 10%-ного раствора PBS. Исходя из числа клеток во флаконе и исходного титра MV, делали серию разведений вируса в соответствующей каждой культуре клеток питательной среде (без FBS) и вносили в монослой клеток. Каждую клеточную линию инкубировали с 2 мл вирусного материала с различной множественностью заражения (MOI) при 37°C в атмосфере 5% CO2 в течение 90 мин. В качестве контроля использовали те же культуры, инкубированные с предварительно УФ-обработанным MV. После адсорбции вируса монослой клеток промывали раствором Хэнкса и культивировали в 7 мл (Т25) питательной среды DMEM/F12 с 2% FBS в течение 120 ч при 37°C в атмосфере 5% CO2.
Для определения кинетики внутриклеточного накопления вируса клетки за день до заражения высаживали в 6-луночный планшет (353046, “Corning”) из расчета 2 × 106 клеток на лунку и по вышеприведенной схеме заражали MV с MOI 0.1 или 1.0, а также УФ-инактивированным вирусом (MOI 1.0). Клеточный монослой лизировали через 0, 24, 48, 72 и 96 ч после заражения, используя 300 мкл лизирующего буфера RLT RNAeasy kit (74104, “Qiagen”, Германия) на лунку. Эксперимент проводили в трех повторах. Лизаты клеток центрифугировали при 1000 об./мин в течение 5 мин. Супернатант хранили при –70°C до использования.
Оценка жизнеспособности клеток. МТТ-тест. Выживаемость клеток оценивали в МТТ-тесте согласно [11]. В лунки 96-луночных планшетов вносили по 150 мкл ростовой среды, содержащей 1.5 × 104 клеток. Клетки заражали вируссодержащим супернатантом, как описано выше, с 10-кратными разведениями вируса и инкубировали при 37°C в атмосфере 5% CO2 в течение 3–120 ч. Через каждые 24 ч в лунки добавляли 25 мкл раствора 3-(4,5-диметилтиазол-2-ил)-2,5-дифенилтетразолийбромида (МТТ, M-2128, “Sigma”), разведенного до концентрации 5 мг/мкл в аналогичной ростовой среде, и инкубировали в течение 3 ч при 37°C в атмосфере 5% CO2. Среду удаляли и добавляли по 60 мкл DMSO в лунку для растворения образовавшихся кристаллов формазана; для гомогенного распределения красителя использовали шейкер (10 мин, 300 об./мин). Оптическую плотность определяли на микропланшетном детекторе Varioskan Flash (“TFS”) при длине волны 570 нм (при эталонной длине волны 650 нм). Все эксперименты проводили в трех независимых повторах, значения оптической плотности зараженных культур рассчитывали в процентах от значений для аналогичной незараженной культуры непосредственно перед заражением (0 ч).
Оценка активности каспазы 3. Параллельно с МТТ-тестом колориметрическим методом оценивали активность каспазы 3, измеряя окрашенный субстрат согласно инструкции производителя (E-CK-A311, “Elabscience”, Китай) через 48 ч после инокуляции вируса в 6-луночный планшет. Схема заражения идентична схеме, используемой для определения кинетики накопления вируса. Колориметрический сигнал от каждого образца измеряли с помощью микропланшетного ридера Varioskan Flash.
Выделение тотальной мРНК. Тотальную РНК выделяли из лизатов (1–6) × 106 клеток с помощью коммерческого набора RNeasy Mini Kit (74104, “Qiagen”) согласно инструкции производителя. Очищенную РНК элюировали с мембраны колонок RNeasy Mini Spin (2 раза по 50 мкл воды, не содержащей РНКаз), концентрацию РНК определяли на приборе NanoDrop 8 000 (“TFS”).
Обратная транскрипция и количественная ПЦР с детекцией в режиме реального времени (ОТ-ПЦР-РВ). Репродукцию MV оценивали по уровню вирусной РНК, который определяли методом ОТ-ПЦР-РВ [16]. В каждой постановке реакции параллельно определяли пороговые циклы для разведений стандартного образца MV с известным титром вируса, по результатам которых строили калибровочную кривую. На калибровочной кривой откладывали значения пороговых циклов образцов и рассчитывали значения в lg(ТЦД50/мл), которые условно принимали за титры [16]. Полученные значения выборочно проверяли методом предельных разведений по цитопатическому действию на чувствительной культуре клеток (Vero), расхождения между значениями, полученными двумя методами, не превышали 0.5 lg(ТЦД50/мл). Эксперименты проводили в трех независимых повторах.
Иммуноферментный анализ. Уровень IFN-β измеряли в супернатантах клеточных культур с помощью набора ELISA Kit for Interferon Beta (IFNb) (SEA222Hu, “Cloud-Clone Corp.”, Китай) согласно инструкции производителя.
Проточная цитометрия. Клетки PBMC оценивали по представленности лейкоцитарных маркеров (BD Multitest IMK Kit, 340503, “BD Biosciences”, США), а также маркеров CD3 (E-AB-F1001C FITC-меченое антитело к CD3 [OKT3], “Elabscience”), CD56 (E-AB-F1239D PE-меченое антитело к CD56 [5.1H11], “Elabscience”), CD69 (E-AB-F1138E APC-меченое антитело к CD69 [FN50], “Elabscience”) в присутствии изотипических контролей (E-AB-F09802C FITC-меченое антитело для IgG2a, каппа [C1.18.4]; E-AB-F09792D PE-меченое антитело для IgG1, каппа [MOPC-21]; E-AB-F09792E APC-меченое антитело для IgG1, каппа [MOPC-21], “Elabscience”) согласно инструкциям. Анализ проводили на приборе BD FACSCanto II (“BD Biosciences”).
РЕЗУЛЬТАТЫ И ОБСУЖДЕНИЕ
Клетки глиобластомы чувствительны к онколизу, индуцированному вирусом паротита штамм L-3
Чувствительность клеток глиобластомы человека к MV-опосредованному онколизису оценивали на пяти клеточных линиях: Gbl13n, Gbl16n, Gbl17n, Gbl25n и Gbl27n, полученных от пациентов (табл. 1). При оценке специфичности действия MV на клетки глиобластомы человека в качестве контроля использовали линию иммортализованных клеток эпителия почки – NKE, темп пролиферации которых сопоставим со временем удвоения большинства линий клеток глиобластомы (за исключением Gbl17n), использованных в данном исследовании.
Клеточные линии глиобластомы заражали 10-кратными серийными разведениями материала, содержащего штамм L-3 MV. Титр вируса варьировал от 0.5 до 6.5 lgТЦД50/мл или от 0.9 до 6.9 lgБОЕ/мл. Контрольные клетки инкубировали с УФ-инактивированным вирусом (MOI 1.0) в течение такого же промежутка времени.
Уже через 48 ч после заражения наблюдали цитопатическое действие (ЦПД) MV L-3 на клетки, которое выражалось в грануляции цитоплазмы, округлении и постепенном отслаивании клеток всех исследованных культур глиобластомы, кроме Gbl17n и контрольной культуры клеток NKE. ЦПД коррелировало с разведением MV, становясь более очевидным с течением времени.
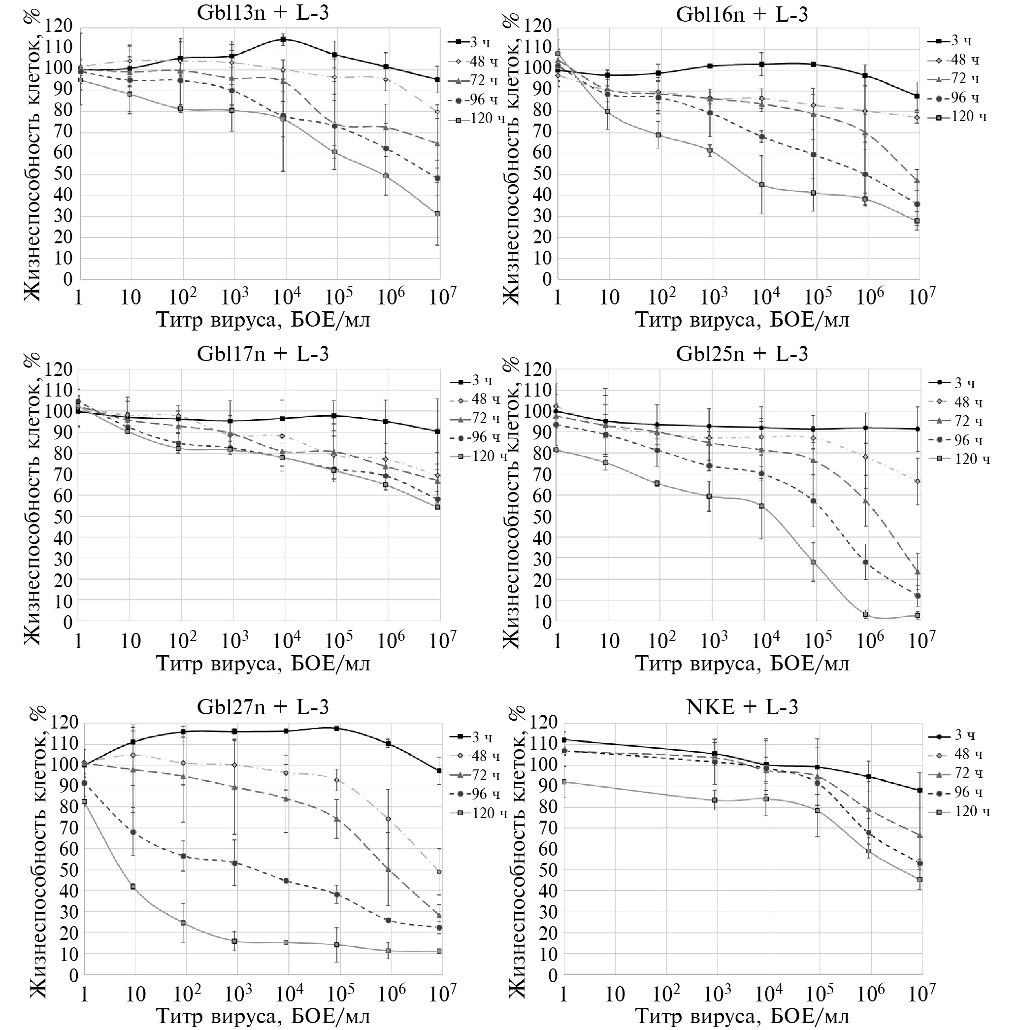
Выживаемость клеток оценивали, измеряя митохондриальную активность с помощью МТТ-теста через 3, 36, 48, 72, 96 и 120 ч после заражения, и выражали в процентах на указанной временной точке относительно незараженной культуры клеток непосредственно перед заражением (рис. 1).
Рис. 1. Жизнеспособность пяти первичных культур клеток глиобластомы и иммортализованной культуры клеток NKE, инкубированных с вирусом паротита (MV) штамм Ленинград-3 (L-3), через 3–120 ч после заражения. По оси абсцисс отложен титр инокулированного вируса (БОЕ/мл), по оси ординат – жизнеспособность клеток (%), соответствующая значениям оптической плотности зараженной культуры клеток, выраженным в процентах от значений в незараженной культуре непосредственно перед заражением (0 ч), принятым за 100%. Значение “0” по оси абсцисс соответствует УФ-инактивированному MV. Полосы погрешностей обозначают стандартное отклонение.
Первичные клетки глиобластомы проявляли разную чувствительность к MV-опосредованному онколизу. На основании данных о выживаемости клеток после заражения вирусом все культуры глиобластомы условно разделили на резистентные, умеренно-чувствительные и восприимчивые к заражению. Так, культура Gbl17n принята за условно резистентную, так как при заражении даже неразведенным MV (с наибольшим титром) выживаемость клеток через 120 ч после заражения составила 54%. Культура Gbl13n принята за умеренно-чувствительную, поскольку только при воздействии неразведенного вируса (с наибольшим титром) выживаемость клеток была менее 50%: 48.4 и 31.3% через 96 и 120 ч после заражения соответственно. При заражении 10-кратным разведением вируса выживаемость клеток глиобластомы спустя 120 ч после заражения составила 49.3%. Три остальные культуры, Gbl16n, Gbl25n и Gbl27n, были восприимчивыми к MV-опосредованному онколизу, при этом наиболее чувствительной оказалась Gbl27n. Используя полученные кривые, рассчитали индекс ЕD50 разведения MV для каждой клеточной линии с высокой статистической значимостью (R2 > 0.98). ED50 разведения вводимого MV составила: 2.54, 4.07 и 0.68 lgБОЕ/мл для клеточных культур Gbl16n, Gbl25n и Gbl27n соответственно; 5.91 lgБОЕ/мл – для культуры клеток Gbl13n; и 7.20 lgБОЕ/мл – для культуры клеток Gbl17n через 120 ч после заражения.
Выживаемость клеток контрольной неопухолевой культуры NKE составила 53.2 и 45.3% через 96 и 120 ч после заражения неразведенным вирусом с исходным титром соответственно. Рассчитанная ED50 (R2 = 0.98) составила 6.67 lgБОЕ/мл через 120 ч после заражения, что соответствует множественности инфекции (MOI) более 10 инф.ед. на клетку. Такая MOI in vivo недостижима, поэтому клетки NKE также рассматриваются как резистентные.
Выявлено значительное увеличение активности проапоптотической каспазы-3 во всех MV-инфицированных (p < 0.0005) клеточных линиях глиобластомы, включая Gbl17n, через 48 ч после заражения (рис. 2). Эти результаты показывают, что все клетки глиобластомы, включая Gbl17n, отвечают на заражение MV.
Рис. 2. Активность каспазы-3 в неинфицированных (mock) и MV-инфицированных клетках глиобластомы. Клетки глиобластомы заражали MV с MOI 1.0, через 48 ч измеряли уровень активности каспазы-3. Одна единица измерения активности каспазы-3 – количество фермента, необходимое для расщепления 1.0 нМ субстрата Ac-DEVD-pNA в течение 1 ч при 37ºС. Полосы погрешностей обозначают стандартное отклонение.
Таким образом, можно предположить, что, используя гибель клеток в качестве защитного механизма, глиобластома может запускать апоптотический сигнальный путь в ответ на заражение MV, на что может указывать активация каспазы-3, возможно, за счет вирусного матриксного белка [17].
Штамм L-3 вируса паротита реплицируется в клетках глиобластомы человека
Чувствительность клеток глиобластомы к MV – это способность к заражению небольшим количеством MV, тогда как пермиссивность – это способность поддерживать размножение MV, т. е. обеспечивать транскрипцию и репликацию генетического материала, а также полноценную сборку вирионов. Известно, что чувствительность не всегда коррелирует с пермиссивностью [18]. Связан ли MV-опосредованный онколиз с активной репликацией вируса внутри клеток глиобластомы или гибель клеток вызвана присутствием вирусной РНК? Чтобы понять это, с помощью ОТ-ПЦР-РВ определили кинетику репликации вируса в клетках глиобластомы [16] по содержанию вирусной РНК через 24, 48, 72 и 96 ч после заражения MV с MOI 1.0 и 0.1. В качестве контроля клетки инкубировали с УФ-инактивированным вирусом (MOI 1.0) в течение такого же времени (рис. 3). Ранее было показано, что выживаемость клеток, инкубированных с УФ-инактивированным вирусом, не отличалась значимо от выживаемости незараженных клеток (рис. 1).
Рис. 3. Титры вируса паротита (MV) штамм Ленинград-3 (L-3), рассчитанные по накоплению вирусной РНК в клетках глиобластомы Gbl13n, Gbl16n, Gbl25n и Gbl27n. MV собирали с клеток глиобластомы, зараженных с MOI 0.1 (–◙-) либо 1.0 (–●-) или зараженных УФ-инактивированным MV в качестве контроля. В каждой постановке реакции параллельно определяли пороговые циклы для разведений стандартного образца MV с известным титром вируса, по результатам которых строили калибровочную кривую. На нее наносили значения пороговых циклов исследуемых образцов и рассчитывали значения, выраженные в lgТЦД50/мл, которые условно принимали за титры [16].
Как видно из рис. 3, вирусная РНК накапливается в культурах зараженных клеток Gbl16n, Gbl25n и Gbl27n, что свидетельствует о чувствительности этих клеток к MV L-3, при этом в клетках Gbl13n количество вирусной РНК оставалось практически постоянным в течение 96 ч культивирования. Содержание вирусной РНК в клетках Gbl16n, Gbl25n и Gbl27n повышалось на 1–3 lgТЦД50/мл в течение 24–72 ч после заражения (рис. 3). В контрольных клетках NKE и резистентных клетках глиобластомы Gbl17n репликацию вируса не наблюдали.
Отмечено, что кинетика репликации вируса во всех протестированных клеточных линиях в целом коррелирует с показателями жизнеспособности. Таким образом, MV-опосредованный онколиз чувствительных культур клеток глиобластомы (Gbl16n, Gbl25n и Gbl27n) вызван репликацией вирусной РНК. Однако присутствие репликативно-компетентной вирусной РНК также способно приводить к умеренному онколизу в культуре клеток Gbl13n. При этом репликативно-некомпетентная вирусная РНК (УФ-инактивированный MV) не вызывает онколиз клеток глиобластомы.
Инфицированные вирусом паротита L-3 клетки глиобластомы продуцируют интерферон
Чувствительность опухолевых клеток к специфическим вирусам зависит как от вируса, прикрепленного к рецепторам клеточной мембраны, так и от генов клетки-хозяина, связанных с противовирусным ответом. Ранее сообщалось о дефектах сигнального пути IFN типа I во многих опухолевых клетках [19]. Для опухолевых клеток характерны специфические мутации в генах, кодирующих продукты IFN-системы. В свою очередь, повреждение этой системы в опухолевых клетках приводит, с одной стороны, к их усиленной пролиферации по сравнению с нормальными клетками, а с другой – к снижению противовирусной защиты, что делает опухолевую ткань относительно пермиссивным субстратом для вирусного роста, в то время как соседние нормальные клетки остаются защищенными от заражения вирусом [11]. Чтобы объяснить причины различий в чувствительности клеточных линий глиобластомы к заражению MV, мы проанализировали экспрессию главного ключевого компонента противовирусного ответа клетки: IFN-β (рис. 4).
Рис. 4. Продукция IFN-β MV-зараженными клетками глиобластомы. Клетки глиобластомы заражали MV с MOI 1.0, через 24 и 48 ч измеряли концентрацию IFN-β с помощью ИФА. К –незараженные культуры клеток. Полосы погрешностей обозначают стандартное отклонение. *р = 0.0244, ns: p = 0.0961.
Чтобы добиться относительно большого количества инфицированных клеток глиобластомы и избежать асинхронной инфекции из-за распространения вирусного потомства, клетки инфицировали MOI 1.0, а продукцию IFN анализировали через 24 и 48 ч после заражения.
Из рис. 4 видно, что только культура клеток глиобластомы Gbl25n не продуцировала IFN-β ни через 24, ни через 48 ч после заражения MV, что позволяет считать клетки этой культуры дефектными по противовирусной защите. Однако культуры клеток Gbl13n, Gbl16n, Gbl17n и Gbl27n, а также неопухолевая культура клеток NKE продуцировали IFN-β в ответ на заражение MV. Так, продукция IFN-β клетками Gbl17n через 24 ч после заражения была значимо выше, чем клетками контрольной культуры NKE. Культуры клеток Gbl13n и Gbl25n не продуцировали IFN-β через 24 ч после заражения, при этом через 48 ч уровень IFN-β значимо повышался. Спустя 48 ч после заражения уровень IFN-β в клетках глиобластомы Gbl16n снижался, не отличаясь статистически значимо от уровня в культуре клеток Gbl25n, дефектной по продукции IFN. Таким образом, чувствительность культуры клеток глиобластомы Gbl25n, а также резистентность культуры Gbl17n можно объяснить зависимостью онколиза от продукции IFN типа I. Однако эта зависимость была неочевидной для других культур клеток глиобластомы.
Таким образом, первичные клетки глиобластомы различались по способности индуцировать сигнальный путь IFN-β, что указывает на различия в ответе исследованных линий на инфекцию MV.
Вирус паротита L-3 стимулирует противоопухолевый иммунитет за счет активации NK-клеток ex vivo
Далее мы оценили способность MV стимулировать противоопухолевый иммунитет в эффекторных PBMC здоровых доноров. PBMC выделяли из свежей периферической крови, отделяли от макрофагов, инкубировали с MV L-3 (MOI 1.0) в течение ночи и анализировали их способность убивать опухолевые клетки. Клеточную линию Gbl13n инкубировали с вирусом (MOI 0.1), с клетками PBMC не обработанными вирусом и в присутствии MV, а также с PBMC, стимулированными MV. Гибель клеток оценивали через 9–12 ч после заражения.
Обработка клеток Gbl13n PBMC, предварительно инкубированными с MV (PBMC/L-3), в соотношении E:T 10:1–20:1 более существенно усиливала лизис клеток глиобластомы, чем обработка нестимулированными PBMC (рис. 5). Однако не выявлено значимых отличий в жизнеспособности клеток Gbl13n, инкубируемых c нестимулированными PBMC и нестимулированными PBMC в комбинации с MV (PBMC+L-3).
Рис. 5. Жизнеспособность клеток глиобластомы Gbl13n через 9–12 ч после инокуляции вирусом паротита (MV) штамм Ленинград-3 (L-3); инкубации с мононуклеарными клетками периферической крови (PBMC); PBMC, предварительно стимулированными MV (PBMC/L-3), а также нестимулированными PBMC с одновременной инокуляцией MV (PBMC+L-3). По оси ординат отложена жизнеспособность клеток (%), соответствующая значениям оптической плотности, выраженным в процентах от значений для незараженной культуры, принятых за 100%. Полосы погрешностей обозначают стандартное отклонение. *р = 0.0192, ns: р = 0.1857.
Поскольку лизис клеток глиобластомы после инкубации с PBMC может быть опосредован NK-клетками [20], антигенспецифическую активацию NK-клеток после обработки вирусом оценили с помощью проточной цитометрии в трехпараметрическом анализе экспрессии маркера ранней фенотипической активации NK, CD69, на поверхности CD56-положительных CD3-негативных клеток. Известно, что активировать NK-клетки способен поверхностный белок HN парамиксовирусов, который связывается с поверхностными рецепторами NKp44 и NKp46 NK-клеток [21]. При этом взаимодействие белка HN с NKp44 или NKp46 на одной и той же NK-клетке может оказывать синергический эффект на активацию этих клеток в отношении опухолевых клеток. Таким образом, HN-опосредованная активация NK-клеток усиливает лизис клеток глиобластомы. В свою очередь, экспрессия маркера CD69 указывает на цитолитическую активность NK-клеток в отношении опухолевых мишеней [22]. Экспрессия CD69 повышалась на поверхности обработанных вирусом NK-клеток у всех доноров (рис. 6). Так, содержание CD69+ клеток, инкубированных с вирусом, составило 27–59%, из них в среднем 25–44% это клетки CD3-CD56+CD69+ (NK), 18–24% – CD3+CD56+CD69+ (NKT) и 9% – CD3+CD56-CD69+ (T). Повышение экспрессии CD69 на поверхности NK-клеток указывает на их антигенспецифическую активацию и возможную иммуногенную гибель клеток глиобластомы за счет, в частности, цитотоксической активности NK-клеток.
Рис. 6. Активация NK-клеток. Результаты проточной цитометрии клеток PBMC до и после индукции вирусом паротита (MV). Экспрессия СD69 (%) на поверхности CD3-CD56+ клеток. *р = 0.014; 0.027 и 0.122 соответственно.
Таким образом, нами впервые показана онколитическая активность отечественного вакцинного штамма MV L-13 в отношении клеток глиобластомы. Четыре из пяти исследованных клеточных линий глиобластомы оказались чувствительными к заражению MV L-3 в отличие от неопухолевой линии, где не наблюдали репродукцию вируса. Наиболее чувствительными к онколизу были клеточные линии Gbl25n и Gbl27n, в то время как культура клеток Gbl17n была резистентна к MV-опосредованному онколизу. Интересно отметить, что Gbl17n – это единственная из использованных нами культур клеток глиобластомы, не несущая мутаций в гене TP53. Мутации в гене TP53, кодирующем белок-супрессор опухолевого роста, характерны для клеток глиобластомы. Ранее Gil-Ranedo J. и соавт. показали, что TP53-мутированные стволовые клетки глиобластомы служат селективными мишенями для парвовируса [23]. Кинетика накопления вирусной РНК в исследованных линиях клеток глиобластомы коррелировала со скоростью гибели клеток. Клеточные линии глиобластомы различались по уровню продукции IFN типа I в ответ на заражение MV L-3. Кроме того, показано, что заражение MV способно вызывать иммуногенную гибель клеток глиобластомы.
Таким образом, вакцинный штамм MV L-3 эффективно реплицируется в клетках глиобластомы человека с мутантным TP53, что приводит к гибели опухолевых клеток. Полученные данные могут стать основой для дальнейшего исследования MV как потенциального онколитического агента.
Работа выполнена с использованием вакцинного штамма Ленинград-3 из коллекции Центра коллективного пользования “НИИВС им. И. И. Мечникова” (соглашение № 075-15-2021-676 от 28.07.2021).
Работа выполнена при финансовой поддержке Российского научного фонда (грант № 22-15-00304).
Все процедуры, выполненные в исследовании с участием людей, соответствуют этическим стандартам институционального и национального комитета по исследовательской этике и Хельсинкской декларации 1964 г. и ее последующим изменениям или сопоставимым нормам этики. Протокол исследования одобрен локальным этическим комитетом ФГБУ “Национальный медицинский исследовательский центр онкологии им. Н. Н. Блохина” Минздрава Российской Федерации (№ 7 от 27 июля 2023 г.). От каждого пациента, принимавшего участие в исследовании, получено информированное добровольное согласие.
Авторы заявляют об отсутствии конфликта интересов.
About the authors
E. Yu. Nikolaeva
Mechnikov Research Institute for Vaccines and Sera
Email: yulia.ammour@yahoo.fr
Russian Federation, Moscow, 105064
Y. R. Zhelayeva
Mechnikov Research Institute for Vaccines and Sera
Email: yulia.ammour@yahoo.fr
Russian Federation, Moscow, 105064
O. Yu. Susova
Mechnikov Research Institute for Vaccines and Sera
Email: yulia.ammour@yahoo.fr
Russian Federation, Moscow, 105064
A. A. Mitrofanov
Blokhin Russian Cancer Research Center
Email: yulia.ammour@yahoo.fr
Russian Federation, Moscow, 115478
V. O. Varachev
Engelhardt Institute of Molecular Biology, Russian Academy of Sciences
Email: yulia.ammour@yahoo.fr
Russian Federation, Moscow, 119991
T. V. Nasedkina
Engelhardt Institute of Molecular Biology, Russian Academy of Sciences
Email: yulia.ammour@yahoo.fr
Russian Federation, Moscow, 119991
V. V. Zverev
Mechnikov Research Institute for Vaccines and Sera
Email: yulia.ammour@yahoo.fr
Russian Federation, Moscow, 105064
O. A. Svitich
Mechnikov Research Institute for Vaccines and Sera
Email: yulia.ammour@yahoo.fr
Russian Federation, Moscow, 105064
Y. I. Ammour
Mechnikov Research Institute for Vaccines and Sera
Author for correspondence.
Email: yulia.ammour@yahoo.fr
Russian Federation, Moscow, 105064
References
- Николаева Е.Ю., Щетинина Ю.Р., Шохин И.Е., Зверев В.В., Свитич О.А., Сусова О.Ю., Митрофанов А.А., Аммур Ю.И. (2022) Вирус кори как векторная платформа для иммунотерапии опухолей головного мозга (обзор). Разработка и регистрация лекарственных средств. 11, 51–58.
- Stupp R., Mason W.P., Van den Bent M.J., Weller M., Fisher B., Taphoorn M.J., Belanger K., Brandes A.A., Marosi C., Bogdahn U., Curschmann J., Janzer R.C., Ludwin S.K., Gorlia T., Allgeier A., Lacombe D., Cairncross J.G., Eisenhauer E., Mirimanoff R.O.; European organization for research and treatment of cancer brain tumor and radiotherapy groups; National Cancer Institute of Canada clinical trials group. (2005) Radiotherapy plus concomitant and adjuvant temozolomide for glioblastoma. N. Engl. J. Med. 352, 987–996.
- Stupp R., Hegi M.E., Mason W.P., Van den Bent M.J., Taphoorn M.J., Janzer R.C., Ludwin S.K., Allgeier A., Fisher B., Belanger K., Hau P., Brandes A.A., Gijtenbeek J., Marosi C., Vecht C.J., Mokhtari K., Wesseling P., Villa S., Eisenhauer E., Gorlia T., Weller M., Lacombe D., Cairncross J.G., Mirimanoff R.O.; European organisation for research and treatment of cancer brain tumour and radiation oncology groups; National Cancer Institute of Canada clinical trials group. (2009) Effects of radiotherapy with concomitant and adjuvant temozolomide versus radiotherapy alone on survival in glioblastoma in a randomised phase III study: 5-year analysis of the EORTC-NCIC trial. Lancet Oncol. 10, 459–466.
- Taylor O.G., Brzozowski J.S., Skelding K.A. (2019) Glioblastoma multiforme: an overview of emerging therapeutic targets. Front. Oncol. 9, 963.
- Suryawanshi Y.R., Schulze A.J. (2021) Oncolytic viruses for malignant glioma: on the verge of success? Viruses. 13, 1294.
- Ammour Y., Susova O., Krasnov G., Nikolaeva E., Varachev V., Schetinina Y., Gavrilova M., Mitrofanov A., Poletaeva A., Bekyashev A., Faizuloev E., Zverev V.V., Svitich O.A., Nasedkina T.V. (2022) Transcriptome analysis of human glioblastoma cells susceptible to infection with the Leningrad-16 vaccine strain of measles virus. Viruses. 14, 2433.
- Asada T. (1974) Treatment of human cancer with mumps virus. Cancer. 34, 1907–1928.
- Okuno Y., Asada T., Yamanishi K., Otsuka T., Takahashi M., Tanioka T., Aoyama H., Fukui O., Matsumoto K., Uemura F., Wada A. (1978) Studies on the use of mumps virus for treatment of human cancer. Biken J. 21, 37–49.
- Shimizu Y., Hasumi K., Okudaira Y., Yamanishi K., Takahashi M. (1988) Immunotherapy of advanced gynecologic cancer patients utilizing mumps virus. Cancer Detect Prev. 12, 487–495.
- Oka N. (1988) Experimental studies of antineoplastic therapy using mumps virus for malignant brain tumor. J. Kansai Med. Univ. 40, 19–43.
- Аммур Ю.И., Рябая О.О., Милованова А.В., Сидоров А.В., Шохин И.Е., Зверев В.В., Наседкина Т.В. (2018) Исследование онколитических свойств вакцинного штамма вируса паротита на клеточных линиях меланомы человека. Молекуляр. биология. 52, 659–666.
- Alirezaie B., Mohammadi A., Ghalyanchi Langeroudi A., Fallahi R., Khosravi A.R. (2020) Intrinsic oncolytic activity of Hoshino mumps virus vaccine strain against human fibrosarcoma and cervical cancer cell lines. Int. J. Cancer Manag. 13, e103111.
- Myers R., Greiner S., Harvey M., Soeffker D., Frenzke M., Abraham K., Shaw A., Rozenblatt S., Federspiel M.J., Russell S.J., Peng K.W. (2005) Oncolytic activities of approved mumps and measles vaccines for therapy of ovarian cancer. Cancer Gene Ther. 12, 593–599.
- Behrens M.D., Stiles R.J., Pike G.M., Sikkink L.A., Zhuang Y., Yu J., Wang L., Boughey J.C., Goetz M.P., Federspiel M.J. (2022) Oncolytic Urabe mumps virus: a promising virotherapy for triple-negative breast cancer. Mol. Ther. Oncolytics. 27, 239–255.
- Nasedkina T., Varachev V., Susova O., Krasnov G., Poletaeva A., Mitrofanov A.A., Naskhletashvili D., Bekyashev A. (2021) 350P Molecular profiling of tumor tissue and tumor-derived cell lines in patients with glioblastoma. Ann. Oncol. 32, S519.
- Ammour Y., Faizuloev E., Borisova T., Nikonova A., Dmitriev G., Lobodanov S., Zverev V. (2013) Quantification of measles, mumps and rubella viruses using real-time quantitative TaqMan-based RT-PCR assay. J. Virol. Methods. 187, 57–64.
- Morovati S., Mohammadi A., Masoudi R., Heidari A.A., Asad Sangabi M. (2023) The power of mumps virus: matrix protein activates apoptotic pathways in human colorectal cell lines. PLoS One. 18, e0295819.
- Laksono B.M., Grosserichter-Wagener C., de Vries R.D., Langeveld S.A.G., Brem M.D., van Dongen J.J.M., Katsikis P.D., Koopmans M.P.G., van Zelm M.C., de Swart R.L. (2018) In vitro measles virus infection of human lymphocyte subsets demonstrates high susceptibility and permissiveness of both naive and memory B cells. J. Virol. 92, e00131–18.
- Lichty B.D., Breitbach C.J., Stojdl D.F., Bell J.C. (2014) Going viral with cancer immunotherapy. Nat. Rev. Cancer. 14, 559–567.
- Marden C. M., North J., Anderson R., Bakhsh I.A., Addison E., Pittman H., Mackinnon S., Lowdell M.W. (2005) CD69 is required for activated NK cell-mediated killing of resistant targets. Blood. 106, 3322.
- Jarahian M., Watzl C., Fournier P., Arnold A., Djandji D., Zahedi S., Cerwenka A., Paschen A., Schirrmacher V., Momburg F. (2009) Activation of natural killer cells by newcastle disease virus hemagglutinin-neuraminidase. J. Virol. 83, 8108–8121.
- Donnelly O.G., Errington-Mais F., Steele L., Hadac E., Jennings V., Scott K., Peach H., Phillips R.M., Bond J., Pandha H., Harrington K., Vile R., Russell S., Selby P., Melcher A.A. (2013) Measles virus causes immunogenic cell death in human melanoma. Gene Ther. 20, 7–15.
- Gil-Ranedo J., Gallego-García C., Almendral J.M. (2021) Viral targeting of glioblastoma stem cells with patient-specific genetic and post-translational p53 deregulations. Cell Rep. 36, 109673.
Supplementary files







