Methylation of long non-coding rna genes: SNHG6, SNHG12, TINCR in ovarian cancer
- Authors: Lukina S.S.1, Burdennyy A.M.1, Filippova E.A.1, Uroshlev L.A.2, Pronina I.V.1, Ivanova N.A.1, Fridman M.V.2, Zhordania K.I.3, Kazubskaya T.P.3, Kushlinskii N.E.3, Loginov V.I.1,4, Braga E.A.1,4
-
Affiliations:
- Institute of General Pathology and Pathophysiology
- Vavilov Institute of General Genetics, Russian Academy of Science
- N.N. Blokhin National Medical Research Center of Oncology
- Research Centre for Medical Genetics
- Issue: Vol 58, No 3 (2024)
- Pages: 403-413
- Section: ГЕНОМИКА. ТРАНСКРИПТОМИКА
- URL: https://ogarev-online.ru/0026-8984/article/view/274495
- DOI: https://doi.org/10.31857/S0026898424030059
- EDN: https://elibrary.ru/JCWWHN
- ID: 274495
Cite item
Full Text
Abstract
Ovarian cancer (OC) develops asymptomatically and is not diagnosed until advanced stages, which increases the mortality rate from this disease. In the diagnosis and treatment of OC, new prospects have been opened in studies of the gene regulation mechanisms involving long non-coding RNAs (lncRNAs) and identification of lncRNA genes inhibited by methylation of promoter regions. Using a set of 122 samples of primary OC tumors, by methylation specific real-time PCR, changes in the methylation level of a group of lncRNA genes were studied: PLUT, SNHG1, SNHG6, SNHG12, and TINCR. Using the nonparametric Mann–Whitney test, a statistically significant (p < 0.001) increase in the methylation level of these 5 lncRNA genes in tumors was shown. A statistically significant (p < 0.05) correlation was established between the level of methylation of the lncRNA genes SNHG6, SNHG12 and TINCR with the stage of the tumor process, the histological grade and the presence of metastases. Using real-time RT-qPCR, a decrease in the expression level of the SNHG6, SNHG12 and TINCR genes was observed and a significant correlation of methylation with the expression of SNHG6 and TINCR was shown (rs ≤ −0.5, p < 0.001). Thus, new lncRNA genes representing potential epigenetic markers of ovarian cancer have been identified.
Full Text
ВВЕДЕНИЕ
Рак яичников (РЯ) – является одним из наиболее летальных злокачественных новообразований и причина ежегодной смерти более 200000 женщин в мире [1, 2]. РЯ развивается бессимптомно и не диагностируется вплоть до поздних стадий с обширным метастазированием и устойчивостью к химиотерапии. Кроме лимфогенного и гематогенного типов метастазирования, для РЯ характерна также диссеминация по брюшине с образованием асцита, что повышает уровень летальности. Для ранней диагностики РЯ необходимо знать механизмы и факторы, участвующие в развитии и прогрессии этого вида рака, а также его маркеры и терапевтические мишени.
Важную роль в транскрипционной и посттранскрипционной регуляции экспрессии генов и сигнальных путей в онкогенезе играют некодирующие РНК (нкРНК) [3–5]. В число этих РНК входят длинные некодирующие РНК (днРНК) протяженностью более 200 нуклеотидов, которые взаимодействуют с ДНК, РНК или белками, образуют с ними сложные структуры и участвуют в ремоделировании хроматина, модуляции экспрессии генов и передаче сигналов [5–7].
В настоящее время проводится интенсивный функциональный анализ некодирующих областей генома и их транскриптов, в том числе регуляторных микроРНК и днРНК, а также эпигенетических модификаций, которые управляют регуляцией генома [8]. К таким модификациям относится и аберрантное метилирование промоторных CpG-островков генов. Изучение участков дифференциального метилирования, способных влиять на изменения экспрессии гена, позволяет лучше понять механизмы регуляции генов, кодирующих белки, микроРНК и днРНК [8, 9]. Так, гиперметилирование играет критическую роль в дерегуляции супрессорных и других функций ряда генов днРНК, таких как MEG3, TP53-TG1, HAND2-AS1 и др. [10–12].
Цель данной работы – найти новые гены днРНК, экспрессия которых в РЯ регулируется метилированием, и оценить возможную связь аберрантного метилирования этих генов с прогрессией и метастазированием РЯ.
С этой целью нами проведен отбор группы генов днРНК, содержащих, согласно базам данных (https://www.ncbi.nlm.nih.gov/gene, http://www.urogene.org/methprimer2/), CpG-островки и дифференциально регулируемых в РЯ. В исследование вошли пять генов днРНК: PLUT, SNHG1, SNHG6, SNHG12 и TINCR, отобранных также путем анализа базы данных GEPIA2 (http://gepia2.cancer-pku.cn/), согласно которой экспрессия этих генов снижена в серозной цистаденокарциноме яичника, доминирующем типе РЯ. Так, значимо снижена экспрессия как генов SNHG1 и SNHG12 (p < 0.01), так и генов SNHG6 и TINCR. Уровень экспрессии PLUT мало изменяется в РЯ и также несколько снижается (по данным GEPIA2 (http://gepia2.cancer-pku.cn/)).
Кроме того, нами проведен пилотный биоинформатический скрининг данных полногеномного бисульфитного секвенирования генома РЯ из базы NCBI's Gene Expression Omnibus (NCBI GEO, a public archive and resource for gene expression data). Был использован опыт GSE81228 (https://www.ncbi.nlm.nih.gov/geo/query/acc.cgi?acc=GSE81228), который включал данные для 27 образцов РЯ. Далее с помощью языка программирования R были отобраны гены, метилирование которых выявлено в 70% и более наборов бисульфитных прочтений в опухолях РЯ, а в контрольных образцах – менее чем в 20%.
Согласно анализу данных NCBI GEO, гены PLUT и SNHG12 относятся к генам, гиперметилированным при РЯ. Учитывая существенное снижение экспрессии генов днРНК SNHG1, SNHG6 и TINCR при серозной цистаденокарциноме яичника (согласно данным GEPIA2), можно предположить участие эпигенетической модификации в дерегуляции экспрессии этих трех генов, имеющих CpG-островки. В итоге для экспериментального исследования были отобраны пять генов днРНК (PLUT, SNHG1, SNHG6, SNHG12 и TINCR), предположительно гиперметилированных в РЯ.
Следует подчеркнуть практически полное отсутствие данных о роли метилирования ДНК этих генов в патогенезе РЯ, за исключением недавних работ о вовлеченности SNHG12 и TINCR в эпигенетические механизмы [13, 14].
ЭКСПЕРИМЕНТАЛЬНАЯ ЧАСТЬ
Образцы РЯ собраны и морфологически охарактеризованы в НМИЦ онкологии им. Н.Н. Блохина Минздрава России. Работа проведена с соблюдением принципов добровольности и конфиденциальности; получено информированное согласие больных. Исследование проведено в соответствии с принципами Хельсинкской декларации Всемирной медицинской ассоциации [15]. Исследовали образцы РЯ, полученные от больных, которые до операции не получали лучевую, химио- или гормонотерапию. Все опухоли были классифицированы в соответствии с TNM-классификацией Международного противоопухолевого союза и гистологически верифицированы на основании критериев классификации ВОЗ [16, 17]. Образцы с высоким содержанием опухолевых клеток (не менее 70–80%) отбирали с помощью дополнительного гистологического анализа микросрезов (3–5 мкм), окрашенных гематоксилин-эозином. Образцы тканей хранили при –70°С. Замороженную в жидком азоте ткань измельчали с помощью гомогенизатора-диспергатора T10 basic ULTRA-TURRAX (“IKA”, Китай).
Таблица 1. Клинические и гистологические характеристики образцов первичного рака яичников
Клинико-гистологический параметр | Выборка | ||
N = 122 | N = 93 | ||
Гистологический тип | Серозная аденокарцинома | 85 | 68 |
Эндометриоидная аденокарцинома | 15 | 12 | |
Другие гистологические типы | 22 | 13 | |
Стадия | I | 26 | 24 |
II | 19 | 17 | |
III | 68 | 50 | |
IV | 9 | 2 | |
Степень дифференцировки | G1 | 25 | 11 |
G2 | 31 | 28 | |
G3 | 48 | 43 | |
Пограничные | 18 | 11 | |
Метастазирование | ЕСТЬ | 79 | 56 |
НЕТ | 43 | 37 | |
N1 | 21 | 11 | |
M1 | 9 | 2 | |
Метастазы в большой сальник | 61 | 42 | |
Диссеминация по брюшине | 45 | 35 | |
Перитонеальные метастазы суммарно | 69 | 50 | |
Примечание. Гены SNHG6 и TINCR анализировали в 122 образцах опухолей, а гены PLUT, SNHG1, SNHG12 – в 93 образцах.
В исследовании использовали 122 образца РЯ, 105 образцов парной гистологически неизмененной ткани яичника и 48 макроскопических перитонеальных метастазов. Часть исследования выполнена на меньшей выборке из 93 образцов РЯ, 75 образцов парной гистологически неизмененной ткани яичника и 29 перитонеальных метастазов. Клинико-морфологические характеристики образцов представлены в табл. 1. Выделение ДНК и РНК, получение кДНК проводили, как описано ранее [18].
Уровень метилирования генов днРНК анализировали с применением бисульфитной конверсии ДНК и количественной метил-специфичной ПЦР с детекцией в реальном времени (МС-ПЦР). Набор реактивов qPCRmix-HS SYBR использовали согласно рекомендациям фирмы (“Евроген”, Россия). Амплификацию проводили в системе Bio-Rad CFX96 Real-Time PCR Detection System (США) в соответствии с прилагаемым к прибору протоколом. Олигонуклеотиды и условия проведения ПЦР для генов днРНК приведены в табл. 2.
Таблица 2. Праймеры и условия МС-ПЦР, использованные в данной работе
Ген днРНК | M/U | Праймер, нуклеотидная последовательность | Длина, п. н. | Тотж, °C |
PLUT | M | MF: CGGGGATTTGGTATTGTGTGGC | 201 | 60 |
MR: CTAAACCTAACCTCTTAATACGACCAACCA | ||||
U | UF: TGTTGGAATGTGTATGGGTTTTTGTAAAGTT | 339 | 61 | |
UR: CACAAATACCTAAACCTAACCTCTTAATACAACCA | ||||
SNHG1 | M | MF: CGGCGATCGAGGTTTTAGGA | 210 | 60 |
MR: ACTAACTCACCGACCGCATT | ||||
U | UF: TGGTGATTGAGGTTTTAGGA | 210 | 55 | |
UR: ACTAACTCACCAACCACATT | ||||
SNHG6 | M | MF: TTGAGTTATCGCGTTCGGTTT | 295 | 61 |
MR: CTCTTCCGATACGCGACCC | ||||
U | UF: CTCTTCCAATACACAACCC | 295 | 58 | |
UR: CAAAAACCATAAACCACCCTCC | ||||
SNHG12 | M | MF: CGCGTTTAGTAAAATTATATATTAGTGGAAGAGATAAG | 239 | 60 |
MR: CCCGACGCTAAACCCACGC | ||||
U | UF: TGTGTTTAGTAAAATTATATATTAGTGGAAGAGATAAG | 245 | 56 | |
UR: TCAATACCCAACACTAAACCCACAC | ||||
TINCR | M | MF: GCGGACGAGGCGTTGTTGTTAT | 193 | 60 |
MR: CGCTAACGAACAACAACACCGAAC | ||||
U | UF: GTGGATGAGGTGTTGTTGTTATTGTTGATT | 194 | 60 | |
UR: TCACTAACAAACAACAACACCAAACCATC |
Примечание. MF/UF и MR/UR – прямые и обратные праймеры к метилированному/неметилированному аллелю соответственно. Олигонуклеотиды подобраны с использованием базы данных https://www.ncbi.nlm.nih.gov/gene/ и программы http://www.urogene.org/methprimer2/ c проверкой в программе SeqBuilder Pro, которая входит в пакет программ Lasergene 17.1 компании DNASTAR (США).
Результаты определения уровня метилирования анализировали с использованием метода ΔΔCt, как описано нами ранее [18]. В качестве контрольного локуса использовали локус ACTB, полученный с помощью олигонуклеотидов, специфичных к конвертированной матрице. В качестве контроля для неметилированных аллелей использовали коммерческий препарат ДНК #G1471 (“Promega”, США). В качестве положительного контроля 100% метилирования использовали препарат ДНК #SD1131 (“Thermo Fisher Scientific”, США). Результаты метилирования оценивали с помощью индекса метилирования (ИМ) согласно [19, 20]. Значение ИМ рассчитывали для каждого образца в системе Bio-Rad CFX96 Real-Time PCR Detection System.
Уровни экспрессии четырех днРНК анализировали методом количественной ПЦР в реальном времени в системе Bio-Rad CFX96 Real-Time PCR Detection System. Данные анализировали с использованием метода ΔΔCt [18]. Изменение уровня днРНК менее чем в 2 раза (|ΔΔCt| ≤ 2) принимали за отсутствие изменений. Праймеры для анализа уровня экспрессии трех днРНК и контрольного гена B2M приведены в табл. 3.
Таблица 3. Праймеры, условия ПЦР и размеры продукта ПЦР трех днРНК и контрольного гена
РНК | Праймеры, нуклеотидная последовательность | Tотж, °C | Размер, п. н. |
SNHG12 | F: TCTGGTGATCGAGGACTTCC R: AGCATGCTGTTGTTTCTACCTAA | 60 | 157 |
SNHG6 | F: GCGAGGTGCAAGAAAGCC R: TGCTGCATGCCACACTTGA | 60 | 94 |
TINCR | F: TGACAGGGCCAAGGGGAACTATT R: TGTGGCCCAAACTCAGGGATACAT | 60 | 152 |
B2M | F: TGACTTTGTCACAGCCCAAGATAG R: CAAATGCGGCATCTTCAAACCTC | 60 | 81 |
Примечание. Праймеры подбирали в программе Beacon Designer (Premier Biosoft International) и с использованием PrimerSelect, Lasergene (http://www.dnastar.com/t-primerselect.aspx).
Наличие продуктов ПЦР и их размер проверяли с помощью электрофореза в 1%-ном агарозном геле с окрашиванием интеркалирующим красителем бромидом этидия.
Статистическая обработка. Полученные результаты анализировали с помощью пакета статистических программ IBM SPSS Statistics 22 и в среде программирования R. Значимость различий между исследуемыми группами оценивали, используя непараметрический U тест Манна–Уитни для независимых выборок. Данные выражали в виде медианы, нижнего (Q1) и верхнего (Q3) квартилей. При анализе связи уровней метилирования со степенью злокачественности (дедифференцировки) применяли критерий Краскала–Уоллиса (для определения статистически значимых различий между медианами трех независимых групп: G1-G2-G3). Корреляции между изменениями уровней метилирования и экспрессии оценивали с применением коэффициента корреляции Спирмена (rs). Различия считали значимыми при р < 0.05.
РЕЗУЛЬТАТЫ ИССЛЕДОВАНИЙ
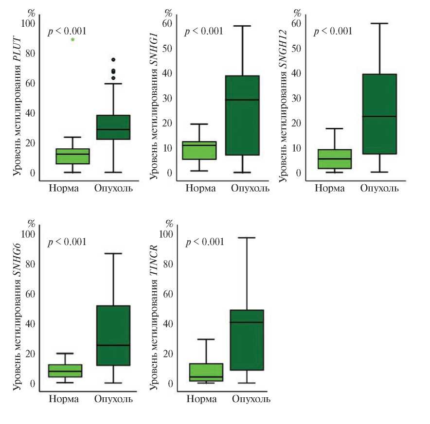
Методом МС-ПЦР в реальном времени нами определен уровень метилирования пяти генов днРНК: PLUT, SNHG1, SNHG12 в 93 образцах РЯ, SNHG6 и TINCR – в 122 (см. табл. 1). С применением непараметрического критерия Манна–Уитни показано статистически высоко значимое (p < 0.001) повышение уровня метилирования всех пяти исследованных генов днРНК в опухолях. На рис. 1 представлены результаты сравнения уровней метилирования пяти генов днРНК.
Рис. 1. Сравнение уровней метилирования генов днРНК в образцах РЯ и в парных условно нормальных образцах: PLUT, SNHG1, SNHG12 (93 против 75), SNHG6, TINCR (122 против 105). Верхняя и нижняя границы прямоугольников на диаграммах соответствуют Q1 и Q3 (внутрь прямоугольника попадает 50% значений). Линия внутри прямоугольника соответствует медиане. Линиями сверху и снизу от прямоугольников отмечена “oграда”, расположенная на расстоянии 1.5 межквартильных расстояний (Q1–Q3) от нижней и верхней границы “коробки”.
С целью оценки связи гиперметилирования пяти генов с прогрессией РЯ сравнили уровни метилирования на III–IV и на I–II стадиях и установили статистически значимое (p ≤ 0.001) повышение уровня метилирования генов SNHG6 и SNHG12 на более поздних клинических стадиях РЯ (рис. 2а). Установлено также статистически значимое (p ≤ 0.001) повышение уровня метилирования генов SNHG6 и TINCR с увеличением степени злокачественности (снижение дифференцировки) РЯ (рис. 2б).
Рис. 2. Повышение уровня метилирования генов днРНК SNHG6 и SNHG12 на поздних стадиях РЯ (III, IV, 77 образцов) по сравнению с ранними стадиями РЯ (I–II, 45 образцов) (а); и генов днРНК SNHG6 и TINCR по мере увеличения степени злокачественности (G1-G2-G3) (б); для сравнения трех групп применен непараметрический критерий Краскала–Уоллиса.
Далее исследовали связь между уровнями метилирования генов днРНК и наличием метастазов (рис. 3).
Если учитывать метастазы всех типов, включая отдаленные гематогенные, лимфогенные и перитонеальные (сравнивали 79 образцов РЯ с метастазами и 43 образца без метастазов), то выявили значимые различия в метилировании генов днРНК SNHG6 и TINCR (рис. 3а). Показана также связь метилирования генов SNHG6 и SNHG12 с метастазированием в региональные лимфатические узлы (рис. 3б). Кроме того, обнаружено снижение уровня метилирования гена SNHG12 в 29 перитонеальных метастазах относительно парных первичных опухолей (рис. 3в).
Рис. 3. Связь между повышением уровней метилирования генов днРНК SNHG6 и TINCR в образцах первичного РЯ с наличием метастазов всех типов, включая отдаленные гематогенные, лимфогенные и перитонеальные (а), и генов SNHG6 и SNHG12 с наличием лимфогенных метастазов (б). Снижение уровня метилирования SNHG12 в макроскопических перитонеальных метастазах относительно парных первичных опухолей (в). Применен непараметрический критерий Манна–Уитни.
Итак, три из пяти исследованных генов днРНК – SNHG6, SNHG12 и TINCR – связаны с прогрессией РЯ, включая клиническую стадию и степень злокачественности, а также метастазирование. Далее изучена возможная связь гиперметилирования этих трех генов днРНК с изменением уровня их экспрессии. Изменения уровня экспрессии генов днРНК SNHG6, SNHG12 и TINCR представлены на рис. 4.
Рис. 4. Анализ уровней экспрессии генов днРНК SNHG6, SNHG12 (30 парных образцов РЯ) и TINCR (69 парных образцов РЯ) методом количественной ПЦР.
Установлено статистически значимое снижение уровня экспрессии гена TINCR (p = 0.02), маргинально значимое – гена SNHG6 (p = 0.08) и на уровне тенденции – гена SNGH12 (9/30, 30% против 5/30, 17%).
С использованием коэффициента корреляции Спирмена (rs) сопоставлены изменения уровней метилирования и экспрессии генов днРНК SNHG6, SNHG12 и TINCR в общих выборках образцов РЯ. Выявлена значимая отрицательная корреляция этих параметров генов SNHG6 (rs = −0.66, p < 0.001) и TINCR (rs = −0.49, p < 0.001) (рис. 5).
Рис. 5. Статистически значимая отрицательная корреляция между изменениями уровней метилирования и экспрессии генов днРНК SNHG6 и TINCR в общих выборках образцов (30 и 69 соответственно) РЯ. Применен коэффициент корреляции Спирмена (rₛ).
Таким образом, ассоциация метилирования со снижением экспрессии наиболее убедительно показана для генов SNHG6 и TINCR.
ОБСУЖДЕНИЕ РЕЗУЛЬТАТОВ
Данные, полученные нами при изучении аберрантного метилирования пяти генов днРНК (PLUT, SNHG1, SNHG6, SNHG12 и TINCR), позволяют предполагать участие гиперметилирования этих генов в возникновении и развитии РЯ. Следует подчеркнуть практически полное отсутствие публикаций, посвященных роли метилирования этих генов в патогенезе РЯ. Показана вовлеченность SNHG12 в эпигенетические механизмы и развитие устойчивости РЯ к химиотерапии [13], а также представлены результаты предварительного изучения гиперметилирования ряда генов днРНК, включая TINCR, проведенного нами на выборке из 40 образцов РЯ [14].
ДнРНК PLUT/PDX1-AS1 (PDX1 associated lncRNA, upregulator of transcription, PLUTO) регулирует экспрессию гена транскрипционного фактора PDX1 (pancreatic and duodenal homeobox 1), участвующего в регуляции функций и идентичности β-клеток поджелудочной железы [21, 22]. Аномальное метилирование CpG-островков промоторного участка гена PLUT обнаружено в опухолях аденокарциномы легкого [23]. Гиперметилирование гена PLUT в РЯ указывает на возможную роль аберрантного метилирования в механизмах возникновения и развития РЯ. Отсутствие, по нашим данным, связи метилирования гена PLUT с прогрессией РЯ позволяет предполагать вовлеченность этой эпигенетической модификации только на начальных этапах патогенеза РЯ.
SNHG1 (Small Nucleolar RNA Host Gene 1), SNHG6 (Small Nucleolar RNA Host Gene 6) и SNHG12 (Small Nucleolar RNA Host Gene 12) входят в семейство днРНК, образовавшихся из генов малых ядрышковых РНК [24]. В отличие от малых ядрышковых РНК, происходящих из интронов, днРНК семейства SNHG содержат последовательности как интронов, так и экзонов.
Для днРНК SNHG1, SNHG6 и SNHG12 в РЯ характерны скорее проонкогенные, чем супрессорные функции [25–28]. Так, на клеточных линиях РЯ показано, что SNHG6 участвует в эпителиально-мезенхимальном переходе, активируя ассоциированный с этим переходом белок YAP1 (Yes-associated protein 1) [27]. Причем сообщается также о повышенной экспрессии SNHG1, SNHG6 и SNHG12 в образцах РЯ [25–28]. Однако это противоречит данным ресурса GEPIA2 (http://gepia2.cancer-pku.cn/), согласно которым экспрессия этих днРНК снижена в опухолях яичников: SNHG1 и SNHG12 (p < 0.01), SNHG6 (p < 0.1).
Данные о снижении уровня экспрессии генов SNHG6 и SNHG12 и о статистически значимой корреляции между уровнями метилирования и экспрессии гена днРНК SNHG6 убедительно указывают на возможное участие метилирования в подавлении транскрипции данных генов и позволяют предположить, что днРНК SNHG6 и SNHG12 могут обладать супрессорной активностью при РЯ.
Полученные нами данные об ассоциации гиперметилирования генов днРНК SNHG6 и SNHG12 с более поздней клинической стадией и метастазированием РЯ указывают на вовлеченность этих днРНК и модификаций их генов в прогрессию РЯ. Анализ макроскопических перитонеальных метастазов выявил интересную особенность гена SNHG12. Оказалось, что если по мере прогрессии опухоли уровень метилирования этого гена повышается, то в самих перитонеальных метастазах уровень метилирования гена SNHG12, наоборот, снижается. Противоположную направленность изменений уровня метилирования генов днРНК MEG3, SEMA3B-AS1 и микроРНК miR-148a в перитонеальных метастазах РЯ и в парных опухолях мы отмечали и ранее [14, 20]. Это может указывать на участие эпигенетических факторов в реверсии эпителиально-мезенхимального перехода в мезенхимально-эпителиальный, наблюдаемый в макроскопических метастазах [29, 30].
ДнРНК TINCR ((terminal/tissue) differentiation-induced non-coding RNA) участвует в контроле дифференцировки соматических клеток, в частности в контроле эпидермальной дифференцировки клеток человека и дифференцировки клеток бронхиального эпителия [31, 32]. Анализ интерактома РНК в масштабе генома показал, что TINCR взаимодействует с множеством мРНК, связанных с дифференцировкой посредством мотива “TINCR-бокс” из 25 нуклеотидов [30]. TINCR влияет на экспрессию важнейших регуляторов дифференцировки, таких как SOX2, JAG1 и HES1, частично за счет связывания с белком STAU1 [32]. Показано участие и других РНК-связывающих белков, таких как IGF2BP3 (insulin-like growth factor 2 RNA-binding protein 3), в качестве посредников в регуляторных функциях TINCR [33].
Отмечено, что TINCR может действовать и как супрессор, и как онкоген в патогенезе опухолей разных нозологических форм [34]. Так, уровень экспрессии TINCR повышается при раке желудка, пищевода, мочевого пузыря и молочной железы, но он снижается при глиоме, ретинобластоме и раке простаты [34]. TINCR снижается также в образцах плоскоклеточного рака легкого, что согласуется со снижением дифференцировки, наблюдаемым при этом виде рака [31].
Согласно GEPIA2 (http://gepia2.cancer-pku.cn/) и по нашим данным (p = 0.02), уровень транскрипции TINCR в РЯ снижен, поэтому можно предположить, что при РЯ днРНК TINCR действует как супрессор. В данной работе установлена также значимая обратная корреляция между уровнями метилирования и экспрессией (rs = −0.5, p < 0.001), подтверждающая функциональную значимость метилирования гена TINCR.
Нами обнаружено повышение уровня метилирования гена TINCR при метастазировании (р = 0.04) и при снижении степени дифференцировки (G1-G2-G3, p < 0.001) клеток РЯ, что согласуется с данными о роли этой днРНК в контроле клеточной дифференцировки [31, 32].
Интересно, что TINCR – это РНК, выполняющая две функции: днРНК и мРНК, поскольку в TINCR недавно обнаружена открытая рамка считывания, кодирующая убиквитинподобный микропротеин [35, 36], играющий супрессорную роль при плоскоклеточном раке легкого.
Необходимо подчеркнуть клиническое значение локусов, аберрантно метилируемых в опухолях и выявляемых как на основе белоккодирующих генов, так и на основе генов микроРНК и днРНК [37, 38]. Так, с помощью интегрированного эпигеномно-транскриптомного анализа в образцах рака легкого обнаружены восемь новых аберрантно метилированных драйверных генов и 13 аберрантно метилированных драйверных нкРНК, из которых пять микроРНК и восемь днРНК обладают диагностическим и терапевтическим потенциалом [38]. Возможности клинического применения генов днРНК широко исследуются. Показано, что гиперметилирование гена PLUT, обнаруживаемое в опухолях больных аденокарциномой легкого на ранних стадиях, может служить маркером риска ранних рецидивов [23]. Оказалось, что аберрантное метилирование гена HOTAIR можно использовать для прогнозирования устойчивости РЯ к химиотерапии карбоплатином [39]. Гиперметилирование промоторного района гена днРНК LINC00473, обнаруженное в ДНК плазмы больных колоректальным раком, предложено использовать для ранней неинвазивной диагностики этого вида рака [40]. Сравнение метилирования CpG-островков промоторных участков генов днРНК H19 и MALAT1 в периферической крови 150 больных раком желудка и 100 здоровых доноров показало, что уровень метилирования этих генов днРНК можно использовать для неинвазивной диагностики рака желудка [41].
Таким образом, нами получены данные, позволяющие предполагать вовлеченность гиперметилирования пяти генов днРНК PLUT, SNHG1, SNHG6, SNHG12 и TINCR в развитие РЯ, а генов SNHG6, SNHG12 и TINCR – в прогрессию РЯ, включая клиническую стадию, степень злокачественности и метастазирование. Нами изучена ассоциация гиперметилирования трех генов днРНК, связанных с прогрессией РЯ, с подавлением их экспрессии, обнаружено снижение экспрессии этих генов в РЯ и обратная корреляция между уровнями метилирования и экспрессии SNHG6 и TINCR. Представленные здесь данные указывают на супрессорную роль днРНК SNHG6, SNHG12 и TINCR в патогенезе РЯ, однако для проверки этих предположений необходимо проведение дальнейших исследований. Данные по гиперметилированию генов днРНК могут быть полезны при отборе новых биомаркеров или терапевтических мишеней при РЯ.
Работа выполнена за счет средств Российского научного фонда (грант № 20-15-00368П).
Все процедуры, выполненные в исследовании с участием людей, соответствуют этическим стандартам институционального и/или национального комитета по исследовательской этике и Хельсинкской декларации 1964 г. и ее последующим изменениям или сопоставимым нормам этики. Исследование одобрено Этическим комитетом Научно-исследовательского института общей патологии и патофизиологии (протоколы заседаний № 4Б от 24.11.2020 и № 2 от 04.04.2023). От каждого из включенных в исследование участников получено информированное добровольное согласие. Все обследованные – совершеннолетние.
Авторы заявляют об отсутствии конфликта интересов.
About the authors
S. S. Lukina
Institute of General Pathology and Pathophysiology
Email: burdennyy@gmail.com
Russian Federation, Moscow, 125315
A. M. Burdennyy
Institute of General Pathology and Pathophysiology
Author for correspondence.
Email: burdennyy@gmail.com
Russian Federation, Moscow, 125315
E. A. Filippova
Institute of General Pathology and Pathophysiology
Email: burdennyy@gmail.com
Russian Federation, Moscow, 125315
L. A. Uroshlev
Vavilov Institute of General Genetics, Russian Academy of Science
Email: burdennyy@gmail.com
Russian Federation, Moscow, 119991
I. V. Pronina
Institute of General Pathology and Pathophysiology
Email: burdennyy@gmail.com
Russian Federation, Moscow, 125315
N. A. Ivanova
Institute of General Pathology and Pathophysiology
Email: burdennyy@gmail.com
Russian Federation, Moscow, 125315
M. V. Fridman
Vavilov Institute of General Genetics, Russian Academy of Science
Email: burdennyy@gmail.com
Russian Federation, Moscow, 119991
K. I. Zhordania
N.N. Blokhin National Medical Research Center of Oncology
Email: burdennyy@gmail.com
Russian Federation, Moscow, 115478
T. P. Kazubskaya
N.N. Blokhin National Medical Research Center of Oncology
Email: burdennyy@gmail.com
Russian Federation, Moscow, 115478
N. E. Kushlinskii
N.N. Blokhin National Medical Research Center of Oncology
Email: burdennyy@gmail.com
Russian Federation, Moscow, 115478
V. I. Loginov
Institute of General Pathology and Pathophysiology; Research Centre for Medical Genetics
Email: eleonora10_45@mail.ru
Russian Federation, Moscow, 125315; Moscow, 115522
E. A. Braga
Institute of General Pathology and Pathophysiology; Research Centre for Medical Genetics
Email: eleonora10_45@mail.ru
Russian Federation, Moscow, 125315; Moscow, 115522
References
- Sung H., Ferlay J., Siegel R.L., Laversanne M., Soerjomataram I., Jemal A., Bray F. (2021) Global Cancer Statistics 2020: GLOBOCAN estimates of incidence and mortality worldwide for 36 cancers in 185 countries. CA Cancer J. Clin. 71(3), 209–249. doi: 10.3322/caac.21660
- (2022) Злокачественные новообразования в России в 2021 году (заболеваемость и смертность). Под ред. Каприна А.Д., Старинского В.В., Шахзадовой А.О. Москва: МНИОИ им. П.А. Герцена – филиал ФГБУ “НМИЦ радиологии” Минздрава России, 252 с.
- Baek D., Villén J., Shin C., Camargo F.D., Gygi S.P., Bartel D.P. (2008) The impact of microRNAs on protein output. Nature. 455(7209), 64–71. doi: 10.1038/nature07242
- Esteller M. (2011) Non-coding RNAs in human disease. Nat. Rev. Genet. 12(12), 861–874. doi: 10.1038/nrg3074
- Буре И.В., Кузнецова Е.Б., Залетаев Д.В. (2018) Длинные некодирующие РНК и их роль в онкогенезе. Молекуляр. биология. 52(6), 907–920. doi: 10.1134/S0026893318060031)
- Zhang X., Wang W., Zhu W., Dong J., Cheng Y., Yin Z., Shen F. (2019) Mechanisms and functions of long non-coding RNAs at multiple regulatory levels. Int. J. Mol. Sci. 20(22), 5573. doi: 10.3390/ijms20225573.
- Guttman M., Rinn J.L. (2012) Modular regulatory principles of large non-coding RNAs. Nature. 482(7385), 339–346. doi: 10.1038/nature10887
- Murtha M., Esteller M. (2016) Extraordinary cancer epigenomics: thinking outside the classical coding and promoter box. Trends Cancer. 2(10), 572–584. doi: 10.1016/j.trecan.2016.08.004
- Moutinho C., Esteller M. (2017) MicroRNAs and epigenetics. Adv. Cancer Res. 135, 189–220. doi: 10.1016/bs.acr.2017.06.003
- Sheng X., Li J., Yang L., Chen Z., Zhao Q., Tan L., Zhou Y., Li J. (2014) Promoter hypermethylation influences the suppressive role of maternally expressed 3, a long non-coding RNA, in the development of epithelial ovarian cancer. Oncol. Rep. 32(1), 277–285. doi: 10.3892/or.2014.3208
- Diaz-Lagares A., Crujeiras A.B., Lopez-Serra P., Soler M., Setien F., Goyal A., Sandoval J., Hashimoto Y., Martinez-Cardús A., Gomez A., Heyn H., Moutinho C., Espada J., Vidal A., Paúles M., Galán M., Sala N., Akiyama Y., Martínez-Iniesta M., Farré L., Villanueva A., Gross M., Diederichs S., Guil S., Esteller M. (2016) Epigenetic inactivation of the p53-induced long noncoding RNA TP53 target 1 in human cancer. Proc. Natl. Acad. Sci. USA. 113(47), E7535–E7544. doi: 10.1073/pnas.1608585113
- Gokulnath P., de Cristofaro T., Manipur I., Di Palma T., Soriano A.A., Guarracino M.R., Zannini M. (2020) Long non-coding RNA HAND2-AS1 acts as a tumor suppressor in high-grade serous ovarian carcinoma. Int. J. Mol. Sci. 21(11), 4059. doi: 10.3390/ijms21114059
- Abildgaard C., do Canto L.M., Rainho C.A., Marchi F.A., Calanca N., Waldstrøm M., Steffensen K.D., Rogatto S.R. (2022) The long non-coding RNA SNHG12 as a mediator of carboplatin resistance in ovarian cancer via epigenetic mechanisms. Cancers (Basel). 14(7), 1664. doi: 10.3390/cancers14071664
- Бурденный А.М., Филиппова Е.А., Иванова Н.А., Лукина С.С., Пронина И.В., Логинов В.И., Фридман М.В., Казубская Т.П., Уткин Д.О., Брага Э.А., Кушлинский Н.Е. (2021) Гиперметилирование генов новых длинных некодирующих РНК в опухолях яичников и метастазах: двойственный эффект. Бюлл. Эксп. Биол. Мед.171(3), 370–374. doi: 10.1007/s10517-021-05230-3
- World Medical Association (2013) World Medical Association Declaration of Helsinki: ethical principles for medical research involving human subjects. JAMA. 310(20), 2191–2194. doi: 10.1001/jama.2013.281053
- (2017) The TNM Classification of Malignant Tumours, 8th ed. Eds Brierley J.D., Gospodarowicz M.K., Wittekind C. Oxford: Wiley-Blackwell.
- (2014) WHO Classification of Tumours of Female Reproductive Organs, 4th ed. Eds Kurman R.J., Carcangiu M.L., Herrington C.S., Young R.H. Lyon: IARC Press.
- Pronina I.V., Loginov V.I., Burdennyy A.M., Fridman M.V., Senchenko V.N., Kazubskaya T.P., Kushlinskii N.E., Dmitriev A.A., Braga E.A. (2017) DNA methylation contributes to deregulation of 12 cancer-associated microRNAs and breast cancer progression. Gene. 604, 1–8. doi: 10.1016/j.gene.2016.12.018
- van Hoesel A.Q., Sato Y., Elashoff D.A., Turner R.R., Giuliano A.E., Shamonki J.M., Kuppen P.J., van de Velde C.J., Hoon D.S. (2013) Assessment of DNA methylation status in early stages of breast cancer development. Br.J. Cancer. 108, 2033–2038. doi: 10.1038/bjc.2013.136
- Loginov V.I., Pronina I.V., Filippova E.A., Burdennyy A.M., Lukina S.S., Kazubskaya T.P., Uroshlev L.A., Fridman M.V., Brovkina O.I., Apanovich N.V., Karpukhin A.V., Stilidi I.S., Kushlinskii N.E., Dmitriev A.A., Braga E.A. (2022) Aberrant methylation of 20 miRNA genes specifically involved in various steps of ovarian carcinoma spread: from primary tumors to peritoneal macroscopic metastases. Int. J. Mol. Sci. 23(3), 1300. doi: 10.3390/ijms23031300
- Ahlgren U., Jonsson J., Jonsson L., Simu K., Edlund H. (1998) Beta-cell-specific inactivation of the mouse Ipf1/Pdx1 gene results in loss of the beta-cell phenotype and maturity onset diabetes. Genes Dev. 12(12), 1763–1768. doi: 10.1101/gad.12.12.1763
- Ebrahim N., Shakirova K., Dashinimaev E. (2022) PDX1 is the cornerstone of pancreatic β-cell functions and identity. Front. Mol. Biosci. 9, 1091757. doi: 10.3389/fmolb.2022.1091757
- Kim-Wanner S.Z., Assenov Y., Nair M.B., Weichenhan D., Benner A., Becker N., Landwehr K., Kuner R., Sültmann H., Esteller M., Koch I., Lindner M., Meister M., Thomas M., Bieg M., Klingmüller U., Schlesner M., Warth A., Brors B., Seifried E., Bönig H., Plass C., Risch A., Muley T. (2020) Genome-wide DNA methylation profiling in early stage I lung adenocarcinoma reveals predictive aberrant methylation in the promoter region of the long noncoding RNA PLUT: an exploratory study. J. Thorac. Oncol. 15(8), 1338–1350. doi: 10.1016/j.jtho.2020.03.023
- Zimta A.A., Tigu A.B., Braicu C., Stefan C., Ionescu C., Berindan-Neagoe I. (2020) An emerging class of long non-coding RNA with oncogenic role arises from the snoRNA host genes. Front. Oncol. 10, 389. doi: 10.3389/fonc.2020.00389
- Wang S., Jiang J., Wang Z., Xie Y., Wu X. (2017) Long non-coding RNA SNHG1 is an unfavorable prognostic factor and promotes cell proliferation and migration by Wnt/β-catenin pathway in epithelial ovarian cancer. Int. J. Clin. Exp. Pathol. 10(9), 9284–9292.
- Wu Y., Zhu B., Yan Y., Bai S., Kang H., Zhang J., Ma W., Gao Y., Hui B., Li R., Zhang X., Ren J. (2021) Long non-coding RNA SNHG1 stimulates ovarian cancer progression by modulating expression of miR-454 and ZEB1. Mol. Oncol. 15(5), 1584–1596. doi: 10.1002/1878-0261.12932
- Su M., Huang P., Li Q. (2023) Long noncoding RNA SNHG6 promotes the malignant phenotypes of ovarian cancer cells via miR-543/YAP1 pathway. Heliyon. 9(5), e16291. doi: 10.1016/j.heliyon.2023.e16291
- Sun D., Fan X.H. (2019) LncRNA SNHG12 accelerates the progression of ovarian cancer via absorbing miRNA-129 to upregulate SOX4. Eur. Rev. Med. Pharmacol. Sci. 23(6), 2345–2352. doi: 10.26355/eurrev_201903_17378
- Tam W.L., Weinberg R.A. (2013) The epigenetics of epithelial-mesenchymal plasticity in cancer. Nat. Med. 19(11), 1438–1449. doi: 10.1038/nm.3336
- Харченко Е.П., Соловьев И.А. (2016) Метастазирование и раковая спячка. Онкология. Журнал им. П.А. Герцена. 5(5), 72–77. https://doi.org/10.17116/onkolog20165572-77
- Kretz M., Siprashvili Z., Chu C., Webster D.E., Zehnder A., Qu K., Lee C.S., Flockhart R.J., Groff A.F., Chow J., Johnston D., Kim G.E., Spitale R.C., Flynn R.A., Zheng G.X., Aiyer S., Raj A., Rinn J.L., Chang H.Y., Khavari P.A. (2013) Control of somatic tissue differentiation by the long non-coding RNA TINCR. Nature. 493(7431), 231–235. doi: 10.1038/nature11661
- Omote N., Sakamoto K., Li Q., Schupp J.C., Adams T., Ahangari F., Chioccioli M., DeIuliis G., Hashimoto N., Hasegawa Y., Kaminski N. (2021) Long noncoding RNA TINCR is a novel regulator of human bronchial epithelial cell differentiation state. Physiol. Rep. 9(3), e14727. doi: 10.14814/phy2.14727
- Zheng Z.Q., Li Z.X., Guan J.L., Liu X., Li J.Y., Chen Y., Lin L., Kou J., Lv J.W., Zhang L.L., Zhou G.Q., Liu R.Q., Chen F., He X.J., Li Y.Q., Li F., Xu S.S., Ma J., Liu N., Sun Y. (2020) Long noncoding RNA TINCR-mediated regulation of acetyl-CoA metabolism promotes nasopharyngeal carcinoma progression and chemoresistance. Cancer Res. 80(23), 5174–5188. doi: 10.1158/0008-5472.CAN-19-3626
- Ghafouri-Fard S., Dashti S., Taheri M., Omrani M.D. (2020) TINCR: an lncRNA with dual functions in the carcinogenesis process. Noncoding RNA Res. 5(3), 109–115. doi: 10.1016/j.ncrna.2020.06.003
- Eckhart L., Lachner J., Tschachler E., Rice R.H. (2020) TINCR is not a non-coding RNA but encodes a protein component of cornified epidermal keratinocytes. Exp. Dermatol. 29(4), 376–379. doi: 10.1111/exd.14083
- Morgado-Palacin L., Brown J.A., Martinez T.F., Garcia-Pedrero J.M., Forouhar F., Quinn S.A., Reglero C., Vaughan J., Heydary Y.H., Donaldson C., Rodriguez-Perales S., Allonca E., Granda-Diaz R., Fernandez A.F., Fraga M.F., Kim A.L., Santos-Juanes J., Owens D.M., Rodrigo J.P., Saghatelian A., Ferrando A.A. (2023) The TINCR ubiquitin-like microprotein is a tumor suppressor in squamous cell carcinoma. Nat. Commun. 14(1), 1328. doi: 10.1038/s41467-023-36713-8
- Sigin V.O., Kalinkin A.I., Nikolaeva A.F., Ignatova E.O., Kuznetsova E.B., Chesnokova G.G., Litviakov N.V., Tsyganov M.M., Ibragimova M.K., Vinogradov I.I., Vinogradov M.I., Vinogradov I.Y., Zaletaev D.V., Nemtsova M.V., Kutsev S.I., Tanas A.S., Strelnikov V.V. (2023) DNA methylation and prospects for predicting the therapeutic effect of neoadjuvant chemotherapy for triple-negative and luminal B breast cancer. Cancers (Basel). 15(5), 1630. doi: 10.3390/cancers15051630
- Sun X., Yi J., Yang J., Han Y., Qian X., Liu Y., Li J., Lu B., Zhang J., Pan X., Liu Y., Liang M., Chen E., Liu P., Lu Y. (2021) An integrated epigenomic-transcriptomic landscape of lung cancer reveals novel methylation driver genes of diagnostic and therapeutic relevance. Theranostics. 11(11), 5346–5364. doi: 10.7150/thno.58385
- Teschendorff A.E., Lee S.H., Jones A., Fiegl H., Kalwa M., Wagner W., Chindera K., Evans I., Dubeau L., Orjalo A., Horlings H.M., Niederreiter L., Kaser A., Yang W., Goode E.L., Fridley B.L., Jenner R.G., Berns E.M., Wik E., Salvesen H.B., Wisman G.B., van der Zee A.G., Davidson B., Trope C.G., Lambrechts S., Vergote I., Calvert H., Jacobs I.J., Widschwendter M. (2015) HOTAIR and its surrogate DNA methylation signature indicate carboplatin resistance in ovarian cancer. Genome Med. 7, 108. doi: 10.1186/s13073-015-0233-4
- Ruiz-Bañobre J., Rodriguez-Casanova A., Costa-Fraga N., Bao-Caamano A., Alvarez-Castro A., Carreras-Presas M., Brozos-Vazquez E., Vidal-Insua Y., Vazquez-Rivera F., Candamio-Folgar S., Mosquera-Presedo M., Lago-Lestón R.M., Muinelo-Romay L., Vázquez-Bueno J.Á., Sanz-Pamplona R., Moreno V., Goel A., Castillo L., Martin A.C., Arroyo R., Esteller M., Crujeiras A.B., López-López R., Díaz-Lagares A. (2022) Noninvasive early detection of colorectal cancer by hypermethylation of the LINC00473 promoter in plasma cell-free DNA. Clin. Epigenetics. 14(1), 86. doi: 10.1186/s13148-022-01302-x
- Hu D., Lou X., Meng N., Li Z., Teng Y., Zou Y., Wang F. (2021) Peripheral blood-based DNA methylation of long non-coding RNA H19 and metastasis-associated lung adenocarcinoma transcript 1 promoters are potential non-invasive biomarkers for gastric cancer detection. Cancer Control. 28, 10732748211043667. doi: 10.1177/10732748211043667
Supplementary files






