A group of new hypermethylated long non-coding RNA genes associated with the development and progression of breast cancer
- Authors: Filippova E.A.1, Loginov V.I.1, Lukina S.S.1, Burdennyy A.M.1, Pronina I.V.1, Kazubskaya T.P.2, Braga E.A.1
-
Affiliations:
- Institute of General Pathology and Pathophysiology
- Blokhin National Medical Research Center of Oncology
- Issue: Vol 58, No 1 (2024)
- Pages: 88-98
- Section: ГЕНОМИКА. ТРАНСКРИПТОМИКА
- URL: https://ogarev-online.ru/0026-8984/article/view/259793
- DOI: https://doi.org/10.31857/S0026898424010085
- EDN: https://elibrary.ru/ODZLJB
- ID: 259793
Cite item
Full Text
Abstract
Breast cancer is the most common type of cancer among women. The study of the mechanisms of metastasis, the main cause of death from breast cancer, as well as the search for new markers for early diagnosis and prognosis of breast cancer is an extremely topical issue. New perspectives in the diagnosis and treatment of breast cancer are opened by the mechanisms of gene regulation involving non-coding RNAs, in particular, long non-coding RNAs (lncRNAs). In this work, we analyzed the methylation level of seven lncRNA genes (MEG3, SEMA3B-AS1, HAND2-AS1, KCNK15-AS1, ZNF667-AS1, MAGI2-AS3, and PLUT) by quantitative methyl-specific PCR on a set of 79 paired (tumor/normal) samples breast cancer. Hypermethylation of all seven lncRNA genes was revealed, and hypermethylation of HAND2-AS1, KCNK15-AS1, MAGI2-AS3 and PLUT was detected by us in breast cancer for the first time. It was found that the level of methylation of the studied lncRNA genes correlated statistically significantly with the stage of the tumor process, the size of the tumor, and the presence of metastases in the lymph nodes. Thus, methylation of the seven studied lncRNA genes is associated with the development and progression of breast cancer, and these genes can be useful as potential markers in the diagnosis and prognosis of breast cancer.
Full Text
Введение
Согласно данным общемировой статистики за 2020 год, рак молочной железы (РМЖ) вышел на первое место по заболеваемости эпителиальными опухолями, опережая рак легкого, и представляет главную причину смертности от онкопатологии среди женщин во всем мире [1]. Молекулярные различия между гистологически сходными опухолями затрудняют возможность прогноза клинического исхода при РМЖ [2], а также препятствуют созданию лучшей молекулярной классификации и проведению персонализированной терапии. Метастазы и рецидивы являются основными причинами смерти от РМЖ [3], причем смертность от отдаленных метастазов значительно выше, чем от лимфогенного метастазирования [4].
Важную роль в патогенезе и прогрессировании РМЖ играют как генетические, так и эпигенетические факторы [5]. Эпигенетическая регуляция включает модификацию ДНК посредством метилирования, ковалентные модификации гистонов и ремоделирование хроматина, а также регуляцию генов с участием некодирующих РНК, открытых в последние 20 лет [6]. Тонкая эпигенетическая регуляция очень важна для стабильности генома и более динамичной его реализации, в то время как нарушение регуляции эпигенетических механизмов может приводить к возникновению опухолей, в частности РМЖ [7, 8]. Так, установлено участие микроРНК и длинных некодирующих РНК (днРНК) в дерегуляции генов-мишеней при РМЖ и в опухолях других локализаций [9, 10].
ДнРНК – это длинные некодирующие РНК, состоящие более чем из 200 нуклеотидов, которые транскрибируются РНК-полимеразой II и распределяются в цитоплазме и ядре, выполняя разнообразные биологические функции [11]. днРНК вовлечены в развитие и прогрессирование различных видов рака, участвуя в регуляции генов на разных уровнях, включая эпигенетический, транскрипционный и посттранскрипционный, они признаны новыми биомаркерами рака [12, 13]. В последние годы актуальными стали также вопросы эпигенетической регуляции самих регуляторных днРНК, в частности метилирования промоторов генов днРНК. Метилирование ДНК – эпигенетическая модификация, в которой ДНК-метилтрансфераза (DNMT) катализирует присоединение метильной группы к атому углерода в остатке цитозина в CpG-островках, которые присутствуют примерно в 70% промоторов генов человека, что препятствует прямому связыванию факторов транскрипции и сборке РНК-полимеразы II на промоторах. Аберрантное метилирование ДНК прямо или косвенно изменяет транскрипцию генов-супрессоров опухолевого роста и других факторов канцерогенеза, тем самым ускоряя развитие РМЖ [14, 15]. Снижение уровня метилирования ДНК, усиливающее экспрессию онкогенных днРНК, и специфичное повышение уровня метилирования генов супрессорных днРНК, подавляющее их экспрессию, вовлечены в инициацию злокачественной трансформации. Все большее число исследований показывает, что нарушение регуляции днРНК тесно связано с нарушением апоптоза, опухолевым ростом, метастазированием и резистентностью РМЖ к химиотерапии [16, 17]. Таким образом, актуальным представляется изучение вовлеченности днРНК в патогенез РМЖ и механизмы метастазирования, поиск на их основе новых терапевтических мишеней. Крайне важен также поиск неинвазивных биомаркеров, обладающих высокой чувствительностью и специфичностью, которые можно использовать для выявления РМЖ на ранней стадии и мониторинга ответа на терапию.
Цель данной работы состояла в определении изменений уровня метилирования группы генов днРНК в опухолях больных РМЖ и в оценке возможной связи этих изменений с развитием и прогрессией РМЖ.
Экспериментальная часть
Парные (опухоль/прилежащая гистологически нормальная ткань молочной железы) образцы РМЖ собраны и клинически и морфологически охарактеризованы в НМИЦ онкологии им. Н.Н. Блохина на основании классификации ВОЗ [18]. Клинико-патоморфологические характеристики 79 образцов РМЖ представлены в табл. 1.
Таблица 1. Клинико-патоморфологические параметры образцов РМЖ
Клинико-патоморфологический параметр | Количество образцов | |
Стадия опухолевого процесса | Ранние стадии (I + II) | 53 |
III стадия | 25 | |
Размер первичной опухоли | Т1 | 18 |
Т2 | 46 | |
Т3 | 7 | |
Т4 | 7 | |
Лимфогенное метастазирование | Есть | 42 |
Нет | 36 | |
В исследовании использовали образцы РМЖ, полученные от больных, которые до операции не получали лучевую, химио- или гормонотерапию. Работа проведена с соблюдением принципов добровольности и конфиденциальности в соответствии с Хельсинкской декларацией Всемирной медицинской ассоциации [19]. Для отбора образцов с высоким содержанием опухолевых клеток (не менее 70%) проводили дополнительный гистологический анализ микросрезов (3–5 мкм), окрашенных гематоксилином и эозином. Образцы тканей хранили при -70ºС. Замороженную в жидком азоте ткань измельчали с помощью гомогенизатора-диспергатора T10 basic ULTRA-TURRAX (“IKA”, Китай).
Высокомолекулярную ДНК выделяли из ткани по стандартной методике с применением фенол-хлороформной экстракции. ДНК хранили при -20ºС. Концентрацию и чистоту выделенной ДНК оценивали на спектрофотометре NanoDrop-2000 (“Thermo Scientific”, США). Концентрация составила от 250 до 550 нг/мкл, А260/А280 = 2.10–2.35; А260/А230 = 2.15–2.40. Целостность ДНК оценивали с использованием электрофореза в 0.8%-ном агарозном геле. В качестве стандарта использовали ДНК фага лямбда с известной концентрацией.
Уровень метилирования генов днРНК анализировали с применением бисульфитной конверсии ДНК и количественной метил-специфичной ПЦР с детекцией в реальном времени (МС-ПЦР-РВ), как описано в работе [20]. Амплификацию проводили на системе Bio-Rad CFX96 Real-Time PCR Detection System в соответствии с прилагаемым к прибору протоколом с использованием набора qPCRmix-HS SYBR по протоколу компании “Евроген” (Россия). Все олигонуклеотиды подобраны по программе SeqBuilder Pro, которая входит в пакет программ Lasergene 17.1 компании “DNASTAR”. Последовательности олигонуклеотидов и условия проведения ПЦР генов днРНК MEG3, SEMA3B-AS1, HAND2-AS1, KCNK15-AS1, ZNF667-AS1, MAGI2-AS3 и PLUT приведены в табл. 2. Для контрольного локуса ACTB1 использованы олигонуклеотиды из работы [21]. В качестве контроля для неметилированных аллелей использовали коммерческий препарат ДНК (#G1471; “Promega”, США). В качестве положительного контроля 100% метилирования использовали коммерческий препарат ДНК (#SD1131; “Thermo Fisher Scientific”, США).
Статистическую обработку результатов проводили с помощью пакета статистических программ IBM SPSS Statistics 22 и в программной среде R. Значимость различий между исследуемыми группами оценивали с использованием непараметрического U-теста Манна–Уитни для независимых выборок. Различия считали значимыми при р < 0.05. Данные выражали в виде медианы, нижнего (Q1) и верхнего (Q3) квартилей.
Результаты исследований
Анализ уровней метилирования семи генов днРНК (MEG3, SEMA3B-AS1, HAND2-AS1, KCNK15-AS1, ZNF667-AS1, MAGI2-AS3 и PLUT) проведен нами на выборке из 79 парных образцов РМЖ. Обнаружено статистически значимое (p < 0.001) увеличение уровня метилирования всех семи генов в опухолевой ткани молочной железы по сравнению с нормальной (рис. 1). Гиперметилирование четырех генов (HAND2-AS1, KCNK15-AS1, MAGI2-AS3 и PLUT) при РМЖ показано нами впервые. Эти данные указывают на вовлеченность метилирования семи генов днРНК в патогенез РМЖ.
Таблица 2. Нуклеотидные последовательности праймеров и параметры МС-ПЦР и количественной МС-ПЦР
Ген днРНК | Последовательности олигонуклеотидова, 5ꞌ→3ꞌ | Тотж, °C | Размер ампликона, п.н. |
MEG3 | MF: CGTTAAGTTCGTATTTTTCGATGGATGTT | 60 | 185 |
MR: CGCGAATACTTTTTCCCTACGTAAACC | |||
UF: TGATGGATGTTTTGAAATTGTTAGGTGTG | 60 | 165 | |
UR: CAAATACTTTTTCCCTACATAAACCCAACTCA | |||
SEMA3B-AS1 | MF: CCACTCCCGCCTAACTACCG | 54 | 91 |
MR: ATCGTTCGTCGTGTCGTAAAGT | |||
UF: ACTCCCACCTAACTACCA | 46 | 90 | |
UR: TATTGTTTGTTGTGTTGTAA | |||
HAND2-AS1 | MF: CGAGGTTGGTACGCGGAG | 60 | 121 |
MR: CCGACACAACTAAACCGACTC | |||
UF: TGGGGTTTTTGTGAGGTTGGTATGT | 60 | 134 | |
UR: CCCCAACACAACTAAACCAACTCCTC | |||
KCNK15-AS1 | MF: CGGTGATGGCGAAGTAGAAGGAGT | 60 | 182 |
MR: CGAATCCGAAACGAAAAACGACC | |||
UF: GATGATGGTGATGGTGAAGTAGAAGGAGT | 60 | 163 | |
UR: CCAACAACTACTAATCCAAAAACAAAACACTC | |||
ZNF667-AS1 | MF: AGGCGCGAGTTTATCGTTTAC | 60 | 254 |
MR: ACGCGCGATCCCGAAAT | |||
UF: AGGTGTGAGTTTATTGTTTATGTA | 58 | 260 | |
UR: AACACACAATCCCAAAATCCC | |||
MAGI2-AS3 | MF: CGGAGCGAGTAGTAGTCGAGTTGGT | 60 | 276 |
MR: CGACGAAACCCTCCGTAACTCC | |||
UF: TGGAGTGAGTAGTAGTTGAGTTGGTGAGTG | 59.4 | 330 | |
UR: CTCTCTCTCTACCTTCACTACCAAATCAAACTAC | |||
PLUT | MF: CGGGGATTTGGTATTGTGTGGC | 60 | 201 |
MR: CTAAACCTAACCTCTTAATACGACCAACCA | |||
UF: TGTTGGAATGTGTATGGGTTTTTGTAAAGTT | 61 | 339 | |
UR: CACAAATACCTAAACCTAACCTCTTAATACAACCA |
а MF/UF – прямые праймеры к метилированному/неметилированному аллелю, MR/UR – обратные праймеры к метилированному/неметилированному аллелю.
Рис. 1. Уровень метилирования генов днРНК MEG3, SEMA3B-AS1, HAND2-AS1, KCNK15-AS1, ZNF667-AS1, MAGI2-AS3 и PLUT в образцах опухолей молочной железы и парных к ним нормальных тканях. Верхняя и нижняя границы прямоугольников на диаграммах соответствуют Q1 и Q3 (внутрь прямоугольника попадает 50% значений). Линия внутри прямоугольника соответствует медиане. Линиями сверху и снизу от прямоугольников отмечена “ограда”, расположенная на расстоянии 1.5 межквартильных расстояний (Q1–Q3) от нижней и верхней границы “коробки”.
Рис. 2. Уровень метилирования генов днРНК MEG3, SEMA3B-AS1, HAND2-AS1, KCNK15-AS1, ZNF667-AS1, MAGI2-AS3 и PLUT в образцах опухолей молочной железы на поздней стадии РМЖ (III) по сравнению с ранними стадиями РМЖ (I–II) и нормальными тканями.
Данные по метилированию генов днРНК при РМЖ были сопоставлены с клинико-патоморфологическими характеристиками образцов больных РМЖ. Выявлено статистически значимое (p < 0.001) увеличение уровня метилирования семи генов днРНК (MEG3, SEMA3B-AS1, HAND2-AS1, KCNK15-AS1, ZNF667-AS1, MAGI2-AS3 и PLUT) (рис. 2) на более поздней стадии РМЖ (III) по сравнению с ранними стадиями (I–II), а также при увеличении размера опухоли (р < 0.01).
Для оценки вовлеченности генов днРНК в инициацию развития РМЖ нами были сопоставлены две группы образцов: 53 образца РМЖ с ранними стадиями (I–II) и 79 образцов гистологически неизмененной ткани молочной железы. Показано значимое (p < 0.005) увеличение уровня метилирования семи генов днРНК (MEG3, SEMA3B-AS1, HAND2-AS1, KCNK15-AS1, ZNF667-AS1, MAGI2-AS3 и PLUT) в образцах с I–II стадией онкологического процесса по сравнению с нормальной тканью молочной железы (рис. 2).
При сравнении уровня метилирования в образцах РМЖ без метастазов (N0) и в образцах с метастазами в лимфатических узлах (N1–N3) нами также выявлено статистически значимое увеличение уровня метилирования всех семи генов днРНК: MEG3, SEMA3B-AS1, HAND2-AS1, KCNK15-AS1, ZNF667-AS1, MAGI2-AS3 и PLUT (рис. 3).
При сопоставлении уровня метилирования генов днРНК со степенью дифференцировки опухолевых клеток выявлено статистически значимое (р = 0.03) снижение уровня метилирования гена днРНК SEMA3B-AS1 при увеличении уровня дифференцировки клеток РМЖ.
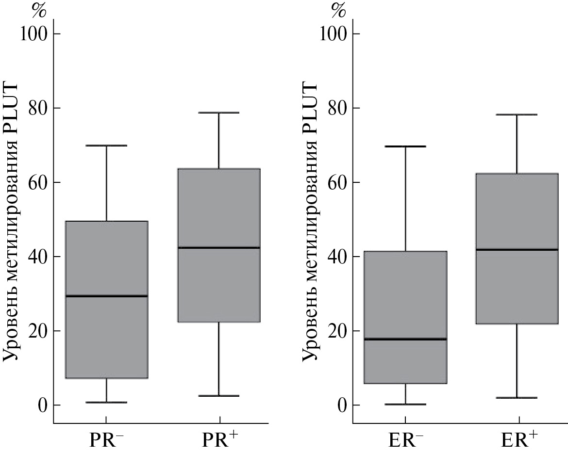
Проведен анализ изменения уровня метилирования генов днРНК в зависимости от иммуногистохимического статуса опухоли (экспрессия ER, PR, Her2/neu, Ki67).
Выявлено статистически значимое (p = 0.04) увеличение уровня метилирования гена днРНК PLUT в опухолях молочной железы, экспрессирующих рецепторы прогестерона и эстрогена (PR+, ER+) (рис. 4).
Рис. 3. Уровень метилирования генов днРНК MEG3, SEMA3B-AS1, HAND2-AS1, KCNK15-AS1, ZNF667-AS1, MAGI2-AS3 и PLUT в образцах опухолей молочной железы с метастазами (N1–N3) и без метастазов (N0).
Рис. 4. Уровень метилирования гена днРНК PLUT в образцах опухолей молочной железы, не экспрессирующих рецепторы прогестерона (PR-) и эстрогена (ER-) и экспрессирующих рецепторы прогестерона (PR+) и эстрогена (ER+).
Обсуждение результатов
В нашей работе впервые установлено гиперметилирование четырех генов днРНК (HAND2-AS1, KCNK15-AS1, MAGI2-AS3 и PLUT) в образцах РМЖ и показана вовлеченность метилирования семи генов днРНК (MEG3, SEMA3B-AS1, HAND2-AS1, KCNK15-AS1, ZNF667-AS1, MAGI2-AS3 и PLUT) в развитие и прогрессию РМЖ. Эти данные указывают на участие данных днРНК в патогенезе РМЖ и позволяют предполагать их супрессорную роль.
Метилирование генов MEG3, SEMA3B-AS1 и ZNF667-AS1 при РМЖ было показано ранее [22–24]. В единичных работах сообщается о гиперметилировании гена днРНК MEG3 при РМЖ, причем предотвращение метилирования MEG3 может иметь значение для снижения химиорезистентности опухолей молочной железы, так как днРНК MEG3 препятствует пролиферации и метастазированию опухолевых клеток [22, 25]. Аберрантное метилирование гена днРНК MEG3 показано и при раке яичников, который, как и РМЖ, относится к гормонозависимым видам рака [26].
Ранее мы показали увеличение уровня метилирования SEMA3B-AS1 и ZNF667-AS1 в опухолевой ткани молочной железы по сравнению с парной нормальной тканью, а также корреляцию высокого уровня метилирования с более поздними стадиями РМЖ на меньшей выборке [22], что получило подтверждение в текущем исследовании на большей выборке образцов. Сообщается о снижении уровня экспрессии ZNF667-AS1 на ранней стадии канцерогенеза молочной железы, предположительно во время клеточной иммортализации, предшествующей развитию инвазивного люминального РМЖ [23].
Результаты проведенного нами анализа гиперметилирования генов MEG3, SEMA3B-AS1 и ZNF667-AS1 согласуются с данными о супрессорных функциях днРНК, кодируемых этими генами, и подчеркивают важную роль их метилирования в развитии и прогрессии РМЖ [22, 25, 27, 28].
Метилирование генов HAND2-AS1, KCNK15-AS1, MAGI2-AS3 и PLUT ранее обнаружено и в опухолях других локализаций. Например, анализ депонированных в базу TCGA данных о метилировании полного генома человека выявил очевидное гиперметилирование островков CpG122 и CpG74 в промоторной области генов HAND2-AS1 и HAND2 в тканях рака эндометрия [29]. Отмечено также [30], что снижение экспрессии гена HAND2-AS1 вызвано гиперметилированием промотора, и этот ген действует как супрессор опухолевого роста в клеточных линиях высокозлокачественной серозной карциномы яичника.
Метилирование промотора гена KCNK15-AS1 обнаружено при раке желудка, причем частота метилирования на более поздних стадиях заболевания была выше, чем на ранних [31].
Гиперметилирование промотора гена MAGI2-AS3, опосредованное активацией DNMT1, приводит к снижению экспрессии MAGI2-AS3 при плоскоклеточном раке гортани, тем самым способствуя пролиферации, миграции и инвазии клеток посредством эпителиально-мезенхимального перехода [32].
Гиперметилирование промотора гена днРНК PLUT является прогностическим фактором у пациентов с ранней (I) стадией аденокарциномы легкого с высоким риском раннего рецидива [33].
Специфичное гиперметилирование промоторных участков генов часто приводит к потере или снижению их функции, что характерно для супрессоров опухолевого роста. Рассмотренные нами гены днРНК проявляют в РМЖ главным образом супрессорные свойства. Так, известно, что механизмы, посредствам которых MEG3 проявляет супрессорные свойства, включают активацию путей p53 и Rb при одновременном ингибировании их негативного регулятора MDM2 [34]. MEG3 участвует в ингибировании эпителиально-мезинхимального перехода, связывая miR-421, как “губка”, и впоследствии усиливая регуляцию Е-кадгерина, что приводит к снижению белков клеточной инвазии [35]. Кроме того, MEG3 принимает участие в предотвращении ангиогенеза, регуляции сигнальных путей PI3K/Akt и Wnt/β-катенин [36]. Таким образом, MEG3 ингибирует пролиферацию, миграцию и инвазию опухолевых клеток. Соответственно, эпигенетические изменения в промоторе гена MEG3 препятствуют выполнению ее функций.
Установлено, что днРНК SEMA3B-AS1 действует как новый супрессор РМЖ; снижение экспрессии этой днРНК коррелирует с повышенным метастазированием и плохим прогнозом у пациентов с РМЖ [27]. Определен новый путь прогрессирования трижды негативного РМЖ через ось SMAD3/SEMA3B-AS1/miR-3940-3p/KLLN. Предполагается, что SEMA3B-AS1 может служить потенциальным биомаркером и терапевтической мишенью при трижды негативном РМЖ.
ДнРНК ZNF667-AS1 препятствует пролиферации опухолевых клеток, метастазированию и ангиогенезу рака желудка в результате активации экспрессии E-кадгерина и ингибирования экспрессии N-кадгерина и VEGFA, т.е. действует как опухолевый супрессор [28]. Кроме того, днРНК ZNF667-AS1, связывая, как “губка”, miR-1290, способствует экспрессии ABLIM1, тем самым подавляя прогрессирование рака носоглотки [37]. Сверхэкспрессия ZNF667-AS1 может ингибировать пролиферацию, миграцию и инвазию клеток колоректального рака, что может быть связано с высоким уровнем экспрессии ANK2 и низким уровнем JAK2 [38].
Показано снижение экспрессии MAGI2-AS3 в тканях РМЖ по сравнению с нормальными тканями и отмечено, что MAGI2-AS3 может действовать как супрессор опухолевого роста, нацеленный на путь Fas/FasL, и подавлять пролиферацию клеток РМЖ [39]. Возможно, что MAGI2-AS3 модулирует экспрессию Fas/FasL путем взаимодействия с микроРНК. Таким образом, MAGI2-AS3 может быть потенциальной терапевтической мишенью при РМЖ. Сообщается также о супрессорных свойствах MAGI2-AS3 и при раке предстательной железы, где ингибирование прогрессирования опухоли достигается путем нацеливания на miR-142-3p [40]. При раке мочевого пузыря MAGI2-AS3 в основном взаимодействует с CCDC19, подавляя миграцию, пролиферацию и инвазию раковых клеток [41]. При гепатоцеллюлярной карциноме MAGI2-AS3 действует на miR-374b-5p/SMG1 и подавляет пролиферацию и миграцию опухолевых клеток [42]. При немелкоклеточном раке легкого MAGI2-AS3 действует как супрессор опухоли, выступая в качестве “губки” для miR-25, а взаимодействие между MAGI2-AS3 и miR-25 приводит к увеличению экспрессии RECK – мишени miR-25 [43].
Однако сообщается, что MAGI2-AS3 способствует миграции и инвазии клеток, связываясь с miR-141/200a и повышая экспрессию ZEB1, что позволяет предположить ее онкогенную роль в прогрессировании рака желудка [44]. По-видимому, можно говорить о двойственных чертах этой днРНК.
Обнаружено, что днРНК HAND2-AS1 служит “губкой” для miR-3118, уровень экспрессии которой повышен в клеточных линиях РМЖ [45]. Таким образом, днРНК HAND-AS1 препятствует прогрессированию РМЖ за счет снижения экспрессии miR-3118. Кроме того, днРНК HAND2-AS1 ингибирует процесс развития РМЖ, усиливая экспрессию PHLPP2 – нижестоящей мишени miR-3118. Таким образом, HAND2-AS1 подавляет развитие РМЖ, действуя на ось miR-3118/PHLPP2, что позволяет рассматривать HAND2-AS1 как потенциальную терапевтическую мишень при РМЖ [45]. Следует отметить, что днРНК HAND2-AS1 проявляет супрессорные свойства и при других видах опухолей, например при колоректальном раке [46], раке пищевода [47] и раке яичников [48].
Лишь в единственной работе [49] сообщается, что HAND2-AS1 оказывает онкогенное действие, способствуя самообновлению стволовых клеток рака печени.
днРНК KCNK15-AS1, связываясь с мРНК KCNK15, ингибирует ее трансляцию и, взаимодействуя с MDM2, вызывает убиквитинирование REST, что способствует транскрипции PTEN и инактивации AKT-пути при раке поджелудочной железы [50]. В итоге KCNK15-AS1 подавляет пролиферацию, миграцию и эпителиально-мезинхимальный переход клеток рака поджелудочной железы.
Однако сообщается о сверхэкспрессии KCNK15-AS1 в тканях аденокарциномы легкого, а также о корреляции между высоким уровнем экспрессии KCNK15-AS1 и плохим прогнозом при этом виде рака [51]. Предполагается, что при раке легкого KCNK15-AS1 функционирует как онкоген, регулируя ось miR-202/miR-370/EGFR.
Следовательно, исследуемые нами гены днРНК могут играть роль и супрессоров опухолевого роста, и онкогенов в зависимости от микроокружения опухоли.
Показана возможность клинического использования некоторых гиперметилированных генов днРНК. Так, метилирование гена MEG3 в плазме крови может служить диагностическим и прогностическим биомаркером рака шейки матки [52].
Необходимо более углубленное изучение генов-мишеней этих днРНК, регулируемых метилированием. Предварительный биоинформатический анализ, выполненный нами с применением баз данных RNAInter (http://www.rnainter.org/) и LncRRIsearch (http://rtools.cbrc.jp/LncRRIsearch/), показал, что возможными мишенями днРНК HAND2-AS1 могут быть мРНК генов HIF1A и BCL2, которые играют существенную роль в ангиогенезе и апоптозе.
Таким образом, полученные нами результаты согласуются с опухолесупрессорными функциями семи днРНК (MEG3, SEMA3B-AS1, HAND2-AS1, KCNK15-AS1, ZNF667-AS1, MAGI2-AS3 и PLUT) и дополняют опубликованные данные о важной роли гиперметилирования их генов в развитии и прогрессии РМЖ. Однако требуется дальнейшее изучение функций и молекулярных механизмов действия этих днРНК, в частности выяснения факторов, определяющих их двойственную роль и как супрессоров, и как онкогенов в разных видах рака.
Следует подчеркнуть, что метилирование промоторных CpG-островков этих генов вносит вклад в дерегуляцию исследуемых днРНК и непосредственно влияет на функции этой группы днРНК, участвующих в различных сигнальных путях.
Кроме того, исследованные гиперметилированные гены днРНК могут рассматриваться как потенциальные диагностические и прогностические биомаркеры и терапевтические мишени при РМЖ.
Работа выполнена за счет средств Российского научного фонда (грант № 22-75-00132).
Все процедуры, выполненные в данной работе, соответствуют этическим стандартам Институционального комитета по исследовательской этике и Хельсинкской декларации 1964 года и ее последующим изменениям или сопоставимым нормам этики. Исследование рассмотрено и одобрено локальным этическим комитетом Научно-исследовательского института общей патологии и патофизиологии (протоколы заседаний № 1 от 03.03.2022 и № 4 от 31.08.2023). От всех пациентов получено письменное информированное согласие на участие в работе.
Авторы заявляют об отсутствии конфликта интересов.
About the authors
E. A. Filippova
Institute of General Pathology and Pathophysiology
Author for correspondence.
Email: p.lenyxa@yandex.ru
Russian Federation, Moscow, 125315
V. I. Loginov
Institute of General Pathology and Pathophysiology
Email: p.lenyxa@yandex.ru
Russian Federation, Moscow, 125315
S. S. Lukina
Institute of General Pathology and Pathophysiology
Email: p.lenyxa@yandex.ru
Russian Federation, Moscow, 125315
A. M. Burdennyy
Institute of General Pathology and Pathophysiology
Email: p.lenyxa@yandex.ru
Russian Federation, Moscow, 125315
I. V. Pronina
Institute of General Pathology and Pathophysiology
Email: p.lenyxa@yandex.ru
Russian Federation, Moscow, 125315
T. P. Kazubskaya
Blokhin National Medical Research Center of Oncology
Email: p.lenyxa@yandex.ru
Russian Federation, Moscow, 115478
E. A. Braga
Institute of General Pathology and Pathophysiology
Email: p.lenyxa@yandex.ru
Russian Federation, Moscow, 125315
References
- Sung H., Ferlay J., Siegel R.L., Laversanne M., Soerjomataram I., Jemal A., Bray F. (2021) Global Cancer Statistics 2020: GLOBOCAN estimates of incidence and mortality worldwide for 36 cancers in 185 countries. CA Cancer J. Clin. 71(3), 209‒249. doi: 10.3322/caac.21660
- Cancer Genome Atlas Network (2012) Comprehensive molecular portraits of human breast tumours. Nature. 490(7418), 61‒70. doi: 10.1038/nature11412
- Cuzick J. (2017) Preventive therapy for cancer. Lancet Oncol. 18(8), 472‒482. doi: 10.1016/S1470-2045(17)30536-3
- Harbeck N., Gnant M. (2017) Breast cancer. Lancet. 389(10074), 1134‒1150. doi: 10.1016/S0140-6736(16)31891-8
- Rahman M.M., Brane A.C., Tollefsbol T.O. (2019) MicroRNAs and epigenetics strategies to reverse breast cancer. Cells. 8(10), 1214. doi: 10.3390/cells8101214
- Sharma S., Kelly T.K., Jones P.A. (2010) Epigenetics in cancer. Carcinogenesis. 31(1), 27‒36. doi: 10.1093/carcin/bgp220
- Rose M., Kloten V., Noetzel E., Gola L., Ehling J., Heide T., Meurer S.K., Gaiko-Shcherbak A., Sechi A.S., Huth S., Weiskirchen R., Klaas O., Antonopoulos W., Lin Q, Wagner W., Veeck J., Gremse F., Steitz J., Knüchel R., Dahl E. (2017) ITIH5 mediates epigenetic reprogramming of breast cancer cells. Mol. Cancer. 16(1), 44. doi: 10.1186/s12943-017-0610-2
- Jeong G.Y., Park M.K., Choi H.J., An H.W., Park Y.U., Choi H.J., Park J., Kim H.Y., Son T., Lee H., Min K.W., Oh Y.H., Lee J.Y., Kong G. (2021) NSD3-Induced methylation of H3K36 activates NOTCH signaling to drive breast tumor initiation and metastatic progression. Cancer Res. 81(1), 77‒90. doi: 10.1158/0008-5472.CAN-20-0360
- Klinge C.M. (2018) Non-coding RNAs: long non-coding RNAs and microRNAs in endocrine-related cancers. Endocr. Relat. Cancer. 25(4), 259‒282. doi: 10.1530/ERC-17-0548
- Venkatesh J., Wasson M.D., Brown J.M., Fernando W., Marcato P. (2021) LncRNA-miRNA axes in breast cancer: Novel points of interaction for strategic attack. Cancer Lett. 509, 81‒88. doi: 10.1016/j.canlet.2021.04.002
- Fazal F.M., Chang H.Y. (2016) lncRNA structure: message to the heart. Mol. Cell. 64(1), 1‒2. doi: 10.1016/j.molcel.2016.09.030
- Kim J., Piao H.L., Kim B.J., Yao F., Han Z., Wang Y., Xiao Z., Siverly A.N., Lawhon S.E., Ton B.N., Lee H., Zhou Z., Gan B., Nakagawa S., Ellis M.J., Liang H., Hung M.C., You M.J., Sun Y., Ma L. (2018) Lo . J. Cancer. 108(12), 2419‒2425. doi: 10.1038/bjc.2013.233
- Huang J., Zhang S.Y., Gao Y.M., Liu Y.F., Liu Y.B., Zhao Z.G., Yang K. (2014) MicroRNAs as oncogenes or tumour suppressors in oesophageal cancer: potential biomarkers and therapeutic targets. Cell Prolif. 47(4), 277‒286. doi: 10.1111/cpr.12109
- Union for International Cancer Control (UICC) (2017) TNM Classification of Malignant Tumours. Eds Brierley J.D., Gospodarowicz M.K., Wittekind C. Oxford, UK: John Wiley and Sons, 241 p.
- World Medical Association (2013) World Medical Association declaration of Helsinki: ethical principles for medical research involving human subjects. JAMA. 310(20), 2191‒2194. doi: 10.1001/jama.2013.281053
- Loginov V.I., Pronina I.V., Filippova E.A., Burdennyy A.M., Lukina S.S., Kazubskaya T.P., Uroshlev L.A., Fridman M.V., Brovkina O.I., Apanovich N.V., Karpukhin A.V., Stilidi I.S., Kushlinskii N.E., Dmitriev A.A., Braga E.A. (2022) Aberrant methylation of 20 miRNA genes specifically involved in various steps of ovarian carcinoma spread: from primary tumors to peritoneal macroscopic metastases. Int. J. Mol. Sci. 23(3), 1300. doi: 10.3390/ijms23031300
- Hattermann K., Mehdorn H.M., Mentlein R., Schultka S., Held-Feindt J. (2008) A methylation-specific and SYBR-green-based quantitative polymerase chain reaction technique for O6-methylguanine DNA methyltransferase promoter methylation analysis. Anal. Biochem. 377(1), 62‒71. doi: 10.1016/j.ab.2008.03.014
- Selezneva A.D., Filippova E.A., Selezneva A.D., Lukina S.S., Pronina I.V., Ivanova N.A., Kazubskaya T.P., Burdennyy A.M., Braga E.A., Loginov V.I. (2022) Hypermethylation of long non-coding RNA genes group in the breast cancer development and progression. Bull. Exp. Biol. Med. 173(6), 765‒769. doi: 10.1007/s10517-022-05627-8
- Vrba L., Futscher B.W. (2017) Epigenetic silencing of MORT is an early event in cancer and is associated with luminal, receptor positive breast tumor subtypes. J. Breast Cancer. 20(2), 198‒202. doi: 10.4048/jbc.2017.20.2.198
- Di Fiore R., Suleiman S., Drago-Ferrante R., Felix A., OꞌToole S.A., OꞌLeary J.J., Ward M.P., Beirne J., Yordanov A., Vasileva-Slaveva M., Subbannayya Y., Pentimalli F., Giordano A., Calleja-Agius J. (2021) LncRNA MORT (ZNF667-AS1) in cancer-is there a possible role in gynecological malignancies? Int. J. Mol. Sci. 22(15), 7829. doi: 10.3390/ijms22157829
- Li H., Wang P., Liu J., Liu W., Wu X., Ding J., Kang J., Li J., Lu J., Pan G. (2020) Hypermethylation of lncRNA MEG3 impairs chemosensitivity of breast cancer cells. J. Clin. Lab. Anal. 34(9), e23369. doi: 10.1002/jcla.23369
- Burdennyy A.M., Filippova E.A., Ivanova N.A., Lukina S.S., Pronina I.V., Loginov V.I., Fridman M.V., Kazubskaya T.P., Utkin D.O., Braga E.A., Kushlinskii N.E. (2021) Hypermethylation of genes in new long noncoding RNA in ovarian tumors and metastases: a dual effect. Bull. Exp. Biol. Med. 171(3), 370–374. doi: 10.1007/s10517-021-05230-3
- Hu J., Huang H., Xi Z., Ma S., Ming J., Dong F., Guo H., Zhang H., Zhao E., Yao G., Yang L., Zhang F., Zheng W., Chen H., Huang T., Li L. (2022) LncRNA SEMA3B-AS1 inhibits breast cancer progression by targeting miR-3940/KLLN axis. Cell Death Dis. 13(9), 800. doi: 10.1038/s41419-022-05189-7
- Yu C., Chen W., Cai Y., Du M., Zong D., Qian L., Jiang X., Zhu H. (2022) The lncRNA ZNF667-AS1 inhibits propagation, invasion, and angiogenesis of gastric cancer by silencing the expression of N-cadherin and VEGFA. J. Oncol. 2022–3579547. doi: 10.1155/2022/3579547
- Yang X., Wang C.C., Lee W.Y.W., Trovik J., Chung T.K.H, Kwong J. (2018) Long non-coding RNA HAND2-AS1 inhibits invasion and metastasis in endometrioid endometrial carcinoma through inactivating neuromedin U. Cancer Lett. 28(413), 23–34. doi: 10.1016/j.canlet.2017.10.028
- Gokulnath P., de Cristofaro T., Manipur I., Di Palma T., Soriano A.A., Guarracino M.R., Zannini M. (2020) Long non-coding RNA HAND2-AS1 acts as a tumor suppressor in high-grade serous ovarian carcinoma. Int. J. Mol. Sci. 21(11), 4059. doi: 10.3390/ijms21114059
- Zhang H., Zhang Z., Wang D. (2019) Epigenetic regulation of lncRNA KCNKI5-ASI in gastric cancer. Cancer Manag. Res. 11, 8589–8602. doi: 10.2147/CMAR.S186002
- Wang J., Yang C., Cao H., Yang J., Meng W., Yu M., Yu L., Wang B. (2023) Hypermethylation-mediated lncRNA MAGI2-as3 downregulation facilitates malignant progression of laryngeal squamous cell carcinoma via interacting with SPT6. Cell Transplant. 32, 9636897231154574. doi: 10.1177/09636897231154574
- Kim-Wanner S.Z., Assenov Y., Nair M.B., Weichenhan D., Benner A., Becker N., Landwehr K., Kuner R., Sültmann H., Esteller M., Koch I., Lindner M., Meister M., Thomas M., Bieg M., Klingmüller U., Schlesner M., Warth A., Brors B., Seifried E., Bönig H., Plass C., Risch A., Muley T. (2020) Genome-wide DNA methylation profiling in early stage I lung adenocarcinoma reveals predictive aberrant methylation in the promoter region of the long noncoding RNA PLUT: an exploratory study. J. Thorac. Oncol. 15(8), 1338–1350. doi: 10.1016/j.jtho.2020.03.023
- Al-Rugeebah A., Alanazi M., Parine N.R. (2019) MEG3: an oncogenic long non-coding RNA in different cancers. Pathol. Oncol. Res. 25(3), 859–874. doi: 10.1007/s12253-019-00614-3
- Zhang W., Shi S., Jiang J., Li X., Lu H., Ren F. (2017) LncRNA MEG3 inhibits cell epithelial-mesenchymal transition by sponging miR-421 targeting E-cadherin in breast cancer. Biomed. Pharmacother. 91, 312–319. doi: 10.1016/j.biopha.2017.04.085
- Zhang L., Liang X., Li Y. (2017) Long non-coding RNA MEG3 inhibits cell growth of gliomas by targeting miR-93 and inactivating PI3K/AKT pathway. Oncol. Rep. 38(4), 2408–2416. https://doi.org/10.3892/or.2017.5871
- Chen X., Huang Y., Shi D., Nie C., Luo Y., Guo L., Zou Y., Xie C. (2020) LncRNA ZNF667-AS1 promotes ABLIM1 expression by adsorbing microRNA-1290 to suppress nasopharyngeal carcinoma cell progression. OncoTargets Ther. 20(13), 4397–4409. doi: 10.2147/OTT.S245554
- Zhuang L., Ding W., Ding W., Zhang Q., Xu X., Xi D. (2021) lncRNA ZNF667-AS1 (NR_036521.1) inhibits the progression of colorectal cancer via regulating ANK2/JAK2 expression. J. Cell. Physiol. 236(3), 2178–2193. doi: 10.1002/jcp.30004
- Yang Y., Yang H., Xu M., Zhang H., Sun M., Mu P., Dong T., Du S., Liu K. (2018) Long non-coding RNA (lncRNA) MAGI2-AS3 inhibits breast cancer cell growth by targeting the Fas/FasL signalling pathway. Hum. Cell. 31(3), 232–241. doi: 10.1007/s13577-018-0206-1
- Hu R., Wu P., Liu J. (2022) LncRNA MAGI2-AS3 inhibits prostate cancer progression by targeting the miR-142-3p. Hormon. Metab Res. 54(11), 754–759. doi: 10.1055/a-1891-6864
- Wang F., Zu Y., Zhu S., Yang Y., Huang W., Xie H., Li G. (2018) Long noncoding RNA MAGI2-AS3 regulates CCDC19 expression by sponging miR-15b-5p and suppresses bladder cancer progression. Biochem Biophys Res Commun. 507(1–4), 231–235. doi: 10.1016/j.bbrc.2018.11.013
- Yin Z., Ma T., Yan J., Shi N., Zhang C., Lu X., Hou B., Jian Z. (2019) LncRNA MAGI2-AS3 inhibits hepatocellular carcinoma cell proliferation and migration by targeting the miR-374b-5p/SMG1 signaling pathway. J. Cell Physiol. 234(10), 18825–18836. doi: 10.1002/jcp.28521
- Sui Y., Chi W., Feng L., Jiang J. (2020) LncRNA MAGI2-AS3 is downregulated in non-small cell lung cancer and may be a sponge of miR-25. BMC Pulmonol. Med. 20(1), 59. doi: 10.1186/s12890-020-1064-7
- Li D., Wang J., Zhang M., Hu X., She J., Qiu X., Zhang X., Xu L., Liu Y, Qin S. (2020) LncRNA MAGI2-AS3 is regulated by BRD4 and promotes gastric cancer progression via maintaining ZEB1 overexpression by sponging miR-141/200a. Mol. Ther. Nucl. Acids. 19, 109–123. doi: 10.1016/j.omtn.2019.11.003
- Dong G., Wang X., Jia Y., Jia Y., Zhao W., Zhang J., Tong Z. (2020) HAND2-AS1 works as a ceRNA of miR-3118 to suppress proliferation and migration in breast cancer by upregulating PHLPP2. Biomed. Res. Int. 2020, 8124570. doi: 10.1155/2020/8124570
- Jiang Z., Li L., Hou Z., Liu W., Wang H., Zhou T., Li Y., Chen S. (2020) LncRNA HAND2-AS1 inhibits 5-fuorouracil resistance by modulating miR-20a/PDCD4 axis in colorectal cancer. Cell. Signal. 66, 109483.
- Yan Y., Li S., Wang S., Rubegni P., Tognetti L., Zhang J., Yan L. (2019) Long noncoding RNA HAND2-AS1 inhibits cancer cell proliferation, migration, and invasion in esophagus squamous cell carcinoma by regulating microRNA-21. J. Cell. Biochem. 120(6), 9564–9571.
- Chen J., Lin Y., Jia Y., Xu T., Wu F., Jin Y. (2019) LncRNA HAND2-AS1 exerts antioncogenic effects on ovarian cancer via restoration of BCL2L11 as a sponge of microRNA-340-5p. J. Cell. Physiol. 234, 23421–23436. https://doi.org/10.1002/jcp.28911
- Wang Y., Zhu P., Luo J., Wang J., Liu Z., Wu W., Du Y., Ye B., Wang D., He L., Ren W., Wang J., Sun X., Chen R., Tian Y., Fan Z. (2019) LncRNA HAND2-AS1 promotes liver cancer stem cell self-renewal via BMP signaling, EMBO J. 38(17), e101110. https://doi.org/10.15252/embj.2018101110
- He Y., Yue H., Cheng Y., Ding Z., Xu Z., Lv C., Wang Z., Wang J., Yin C., Hao H., Chen C. (2021) ALKBH5-mediated m6A demethylation of KCNK15-AS1 inhibits pancreatic cancer progression via regulating KCNK15 and PTEN/AKT signaling. Cell Death Dis. 12(12), 1121. doi: 10.1038/s41419-021-04401-4
- Peng J., Chen X.L., Cheng H.Z., Xu Z.Y., Wang H., Shi Z.Z., Liu J., Ning X.G., Peng H. (2019) Silencing of KCNK15-AS1 inhibits lung cancer cell proliferation via upregulation of miR-202 and miR-370. Oncol. Lett. 18(6), 5968–5976. doi: 10.3892/ol.2019.10944
- Zhang J., Yao T., Lin Z., Gao Y. (2017) Aberrant methylation of MEG3 functions as a potential plasma-based biomarker for cervical cancer. Sci. Rep. 7(1), 6271. doi: 10.1038/s41598-017-06502-7
Supplementary files





