Протективное действие Hsp70 и доноров сероводорода в макрофагах THP-1 при ЛПС-индуцированном воспалении с участием эндоцитоза
- Авторы: Юринская М.М.1, Гарбуз Д.Г.2, Евгеньев М.Б.1,2, Винокуров М.Г.1
-
Учреждения:
- Институт биофизики клетки Российской академии наук – обособленное подразделение Федерального исследовательского центра “Пущинский научный центр биологических исследований Российской академии наук”
- Институт молекулярной биологии им. В.А. Энгельгардта Российской академии наук
- Выпуск: Том 57, № 6 (2023)
- Страницы: 1017-1027
- Раздел: МОЛЕКУЛЯРНЫЕ МЕХАНИЗМЫ РЕДОКС-РЕГУЛЯЦИИ ПРИ ВОСПАЛЕНИИ
- URL: https://ogarev-online.ru/0026-8984/article/view/231946
- DOI: https://doi.org/10.31857/S002689842306023X
- EDN: https://elibrary.ru/QMZEBQ
- ID: 231946
Цитировать
Полный текст
Аннотация
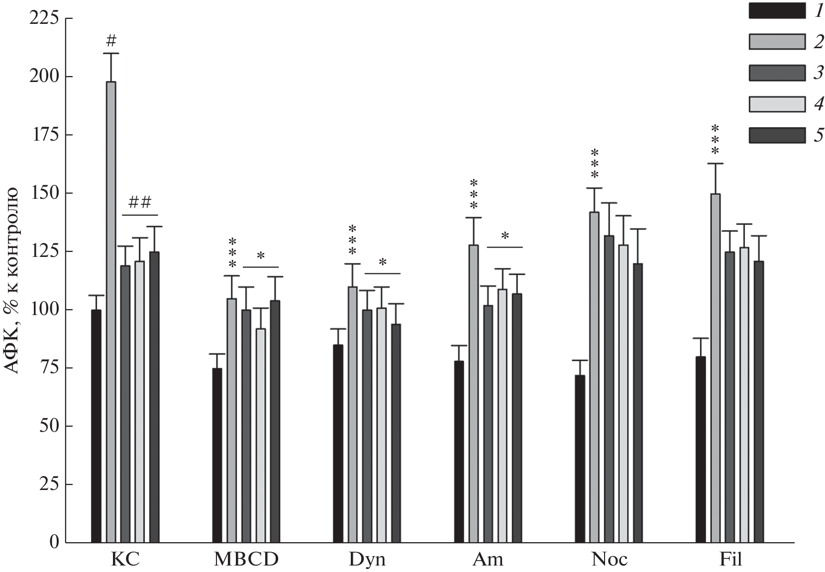
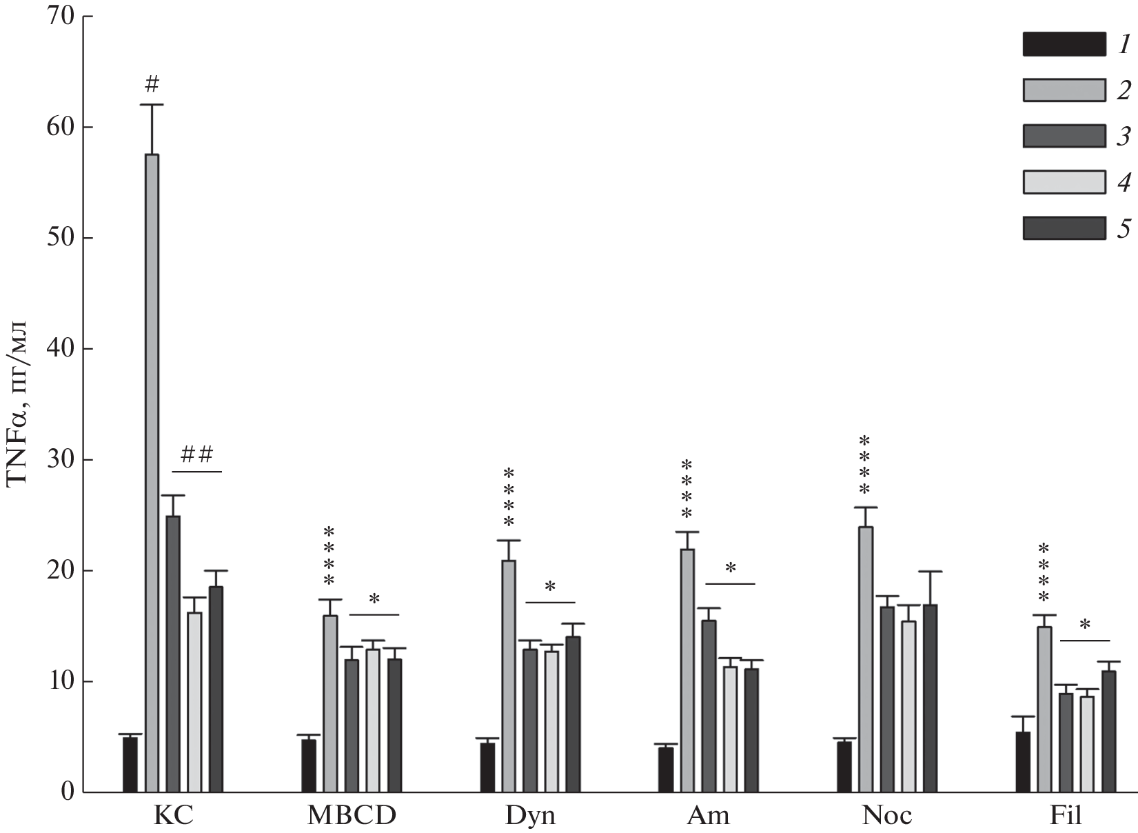
Известно, что Hsp70 и доноры сероводорода уменьшают воспалительные процессы в клетках человека и животных, однако молекулярные механизмы их действия изучены недостаточно. Эффекты Hsp70 и доноров H2S (GYY4137 и тиосульфат натрия) зависят от кинетики защиты клеток от активации липополисахаридами (ЛПС). В работе изучено влияние рекомбинантного Hsp70 человека и доноров H2S на образование активных форм кислорода и фактора некроза опухоли-альфа, индуцированных в клетках человека (THP-1) ЛПС. Определены изменения транскриптома в этих клетках после введения ЛПС в сочетании с предварительной обработкой GYY4137. Показано, что Hsp70 и доноры сероводорода снижают воспалительные процессы в клетках, активированных ЛПС. Hsp70 и доноры H2S различались кинетикой защитного действия, при этом более эффективными оказались доноры сероводорода. Изучена роль эндоцитоза в механизмах защиты клеток донорами H2S и Hsp70 от действия ЛПС. Установлено, что предварительная обработка клеток, подвергающихся воздействию ЛПС, донором сероводорода GYY4137 снижает индукцию провоспалительных генов и влияет на экспрессию генов разных путей внутриклеточной сигнализации.
Ключевые слова
Об авторах
М. М. Юринская
Институт биофизики клетки Российской академии наук – обособленное подразделение Федерального исследовательского центра “Пущинский научный центр биологических исследований Российской академии наук”
Email: misha672011@yahoo.com
Россия, 142290, Московская обл., Пущино
Д. Г. Гарбуз
Институт молекулярной биологии им. В.А. Энгельгардта Российской академии наук
Email: misha672011@yahoo.com
Россия, 119991, Москва
М. Б. Евгеньев
Институт биофизики клетки Российской академии наук – обособленное подразделение Федерального исследовательского центра “Пущинский научный центр биологических исследований Российской академии наук”; Институт молекулярной биологии им. В.А. Энгельгардта Российской академии наук
Автор, ответственный за переписку.
Email: misha672011@yahoo.com
Россия, 142290, Московская обл., Пущино; Россия, 119991, Москва
М. Г. Винокуров
Институт биофизики клетки Российской академии наук – обособленное подразделение Федерального исследовательского центра “Пущинский научный центр биологических исследований Российской академии наук”
Email: misha672011@yahoo.com
Россия, 142290, Московская обл., Пущино
Список литературы
- Hersoug L.-G., Møller P., Loft S. (2016) Gut microbiota-derived lipopolysaccharide uptake and trafficking to adipose tissue: implications for inflammation and obesity. Obes. Rev. 17(4), 297–312.
- Fuke N., Nagata N., Suganuma H., Ota T. (2019) Regulation of gut microbiota and metabolic endotoxemia with dietary factors. Nutrients. 11(10), 2277.
- Orecchioni M., Ghosheh Y., Pramod A.B., Ley K. (2019) Macrophage polarization: different gene signatures in M1(LPS+) vs. classically and M2(LPS-) vs. alternatively activated macrophages. Front. Immunol. 10, 1084.
- Page M.J., Kell D.B., Pretorius E. (2022) The role of lipopolysaccharide-induced cell signalling in chronic inflammation. Chronic Stress (Thousand Oaks). 8, 6, 24705470221076390. https://doi.org/10.1177/24705470221076390
- Mohammad S., Thiemermann C. (2021) Role of metabolic endotoxemia in systemic inflammation and potential interventions. Front. Immunol. 11, 594150.
- Evgen’ev M.B., Garbuz D.G., Zatsepina O.G. (2014) Heat shock proteins and whole body adaptation to extreme environments. Berlin/Heidelberg, Germany: Springer.
- Hu C., Yang J., Qi Z., Wu H., Wang B., Zou F., Mei H., Liu J., Wang W., Liu Q. (2022) Heat shock proteins: biological functions, pathological roles, and therapeutic opportunities. MedComm. 3(3), e161. https://doi.org/10.1002/mco2.161
- Aneja R., Odoms K., Dunsmore K., Shanley T.P., Wong H.R. (2006) Extracellular heat shock protein-70 induces endotoxin tolerance in THP-1 cells. J. Immunol. 177, 7184–7192.
- Ghosh A.K., Sinha D., Mukherjee S., Biswas R., Biswas T. (2015) LPS stimulates and Hsp70 down-regulates TLR4 to orchestrate differential cytokine response of culture-differentiated innate memory CD8+ T cells. Cytokine. 73, 44–52.
- Kustanova G.A., Murashev A.N., Karpov V.L., Margulis B.A., Guzhova I.V., Prokhorenko I.R., Grachev S.V., Evgen’ev M.B. (2006) Exogenous heat shock protein 70 mediates sepsis manifestations and decreases the mortality rate in rats. Cell Stress Chaperones. 11, 276–286.
- Rozhkova E., Yurinskaya M., Zatsepina O., Garbuz D., Surkov S., Murashev A., Ostrov V., Margulis B., Evgen’ev M., Vinokurov M. (2010) Exogenous mammalian extracellular HSP70 reduces endotoxin manifestations at the cellular and organism levels. Ann. NY Acad. Sci. 1197, 94–107.
- Yurinskaya M., Zatsepina O.G., Vinokurov M.G., Bobkova N.V., Garbuz D.G., Morozov A.V., Kulikova D.A., Mitkevich V.A., Makarov A.A., Funikov S.Y., Evgen’ev M.B. (2015) The fate of exogenous human HSP70 introduced into animal cells by different means. Curr. Drug Deliv. 12(5), 524–532.
- Afrazi A., Sodhi C.P., Good M., Jia H., Siggers R., Yazji I., Ma C., Neal M.D., Prindle T., Grant Z.S., Branca M., Ozolek J., Eugene Chang E., Hackam D.J. (2012) Intracellular heat shock protein-70 negatively regulates TLR4 signaling in the newborn intestinal epithelium. J. Immunol. 188, 4543–4557.
- Kimura H. (2014) Hydrogen sulfide and polysulfides as biological mediators. Molecules. 19, 16146–16157.
- Dilek N., Papapetropoulos A., Toliver-Kinsky T., Szabo C. (2020) Hydrogen sulfide: an endogenous regulator of the immune system. Pharmacol. Res. 161, 105119.
- Xiao Q., Ying J., Xiang L., Zhang C. (2018) The biologic effect of hydrogen sulfide and its function in various diseases. Medicine. 97, e13065.
- Khattak S., Rauf M.A., Khan N.H., Zhang Q.Q., Chen H.J., Muhammad P., Ansari M.A., Alomary M.N., Jahangir M., Zhang C.Y., Ji X.Y., Wu D.D. (2022) Hydrogen sulfide biology and its role in cancer. Molecules. 27(11), 3389. https://doi.org/10.3390/molecules27113389
- Zhu C., Liu Q., Li X., Wei R., Ge T., Zheng X., Li B., Liu K., Cui R. (2022) Hydrogen sulfide: a new therapeutic target in vascular diseases. Front. Endocrinol. (Lausanne). 13, 934231. https://doi.org/10.3389/fendo.2022.934231
- Yurinskaya M.M., Krasnov G.S., Kulikova D.A., Zatsepina O.G., Vinokurov M.G., Chuvakova L.N., Rezvykh A.P., Funikov S.Y., Morozov A.V., Evgen’ev M.B. (2020) H2S counteracts proinflammatory effects of LPS through modulation of multiple pathways in human cells. Inflamm. Res. 69(5), 481–495.
- Onikienko S., Vinokurov M., Yurinskaya M., Zemlyanoi A., Abkin S., Shaykhutdinova E., Palikov V., Ivanov A., Smirnova O., Fedyakina I., Bychkova N., Zatsepina O., Garbuz D., Evgen’ev M. (2022) The effects of H2S and recombinant human Hsp70 on inflammation induced by SARS and other agents in vitro and in vivo. Biomedicines. 10(9), 2155. https://doi.org/10.3390/biomedicines
- Du Y., Liu X.H., Zhu H.C., Wang L., Wang Z.S., Ning J.Z.,, Xiao C.C. (2019) Hydrogen sulfide treatment protects against renal ischemia-reperfusion injury via induction of heat shock proteins in rats. Iran J. Basic Med. Sci. 22(1), 99–105.
- Юринская М.М., Гарбуз Д.Г., Афанасьев В.Н., Евгеньев М.Б., Винокуров М.Г. (2020) Действие донора сероводорода GYY4137 и белка Hsp70 на активацию клеток SH-SY5Y липополисахаридами. Молекуляр. биология. 54(6), 1018–1028.
- Gurskiy Y.G., Garbuz D.G., Soshnikova N.V., Krasnov A.N., Deikin A., Lazarev V.F., Sverchinskyi D., Margulis B.A., Zatsepina O.G., Karpov V.L., Belzhelarskaya S.N., Feoktistova E., Georgieva S.G., Evgen’ev M.B. (2016) The development of modified human Hsp70 (HSPA1A) and its production in the milk of transgenic mice. Cell Stress Chaperones. 21(6), 1055–1064.
- Yurinskaya M., Kochetkova O., Shabarchina L., Antonova O., Suslikov A., Evgen’ev M., Vinokurov M. (2017) Encapsulated Hsp70 decreases endotoxin-induced production of ROS and TNFα in human phagocytes. Cell Stress Chaperones. 22(1), 163–171.
- Pfister H., Hennet T., Jungi T. (1992) Lipopolysaccharide synergizes with tumour necrosis factor-alpha in cytotoxicity assays. Immunology. 77(3), 473–476.
- Lin V.S., Lippert A.R., Chang C.J. (2013) Cell-trappable fluorescent probes for endogenous hydrogen sulfide signaling and imaging H2O2-dependent H2S production. Proc. Natl. Acad. Sci. USA. 110(18), 7131–7135.
- Giraldo E., Martin-Cordero L., Garcia J., Gerhmann M., Multhoff G., Ortega E. (2010) Exercise-induced extracellular 72 kDa heat shock protein (Hsp72) stimulates neutrophil phagocytic and fungicidal capacities via TLR-2. Eur. J. Appl. Physiol. 108(2), 217–225.
- Ciesielska A., Matyjek M., Kwiatkowska K. (2021) TLR4 and CD14 trafficking and its influence on LPS-induced pro-inflammatory signaling. Cell. Mol. Life Sci. 78(4), 1233–1261.
- Płyciennikowska A., Hromada-Judycka A., Borzęcka K., Kwiatkowska K. (2015) Co-operation of TLR4 and raft proteins in LPS-induced pro-inflammatory signaling. Cell. Mol. Life Sci. 72, 557–581.
- Pérez S., Rius-Pérez S. (2022) Macrophage polarization and reprogramming in acute nflammation: a redox perspective. Antioxidants (Basel). 11(7), 1394.
- Nocella C., D’Amico A., Cammisotto V., Bartimoccia S., Castellani V., Loffredo L., Marini L., Ferrara G., Testa M., Motta G., Benazzi B., Zara F., Frati G., Sciarretta S., Pignatelli P., Violi F., Carnevale R., Group S. (2023) Structure, activation, and regulation of Nox2: at the crossroad between the innate immunity and oxidative stress-mediated pathologies. Antioxidants (Basel). 12(2), 429.
- Trevelin S.C., Shah A.M., Lombardi G. (2020) Beyond bacterial killing: NADPH oxidase 2 is an immunomodulator. Immunol. Lett. 221, 39–48.
- Van Acker T., Tavernier J., Peelman F. (2019) The small GTPase Arf6: an overview of its mechanisms of action and of its role in host-pathogen interactions and innate immunity. Int. J. Mol. Sci. 20(9), 2209.
- Ejlerskov P., Christensen D.P., Beyaie D., Burritt J.B., Paclet M., Gorlach A., van Deurs B., Vilhardt F. (2012) NADPH oxidase is internalized by clathrin-coated pits and localizes to a Rab27A/B GTPase-regulated secretory compartment in activated macrophages. J. Biol. Chem. 287(7), 4835–4852
- Pérez-Rodríguez M.J., Ibarra-Sánchez A., Román-Figueroa A., Pérez-Severiano F., González-Espinosa C. (2020) Mutant Huntingtin affects toll-like receptor 4 intracellular trafficking and cytokine production in mast cells. J. Neuroinflammation. 17(1), 95.
- Erlich J.R., To E.E., Luong R., Liong F., Liong S., Oseghale O., Miles M.A., Bozinovski S., Brooks R.D., Vlahos R., Chan S., O’Leary J.J., Brooks D.A., Selemidis S. (2022) Glycolysis and the pentose phosphate pathway promote LPS-induced Nox2 oxidase- and IFN-β-dependent inflammation in macrophages. Antioxidants (Basel). 11(8), 1488.
- Chen F., Yu Y., Qian J., Wang Y., Cheng B., Dimitropoulou C., Patel V., Chadli A., Rudic R.D., Stepp D.W., Catravas J.D., Fulton D.J. (2012) Opposing actions of heat shock protein 90 and 70 regulate nicotinamide adenine dinucleotide phosphate oxidase stability and reactive oxygen species production. Arterioscler. Thromb. Vasc. Biol. 32, 2989–2999.
- Hsieh L.T., Frey H., Nastase M.V., Tredup C., Hoffmann A., Poluzzi C., Zeng-Brouwers J., Manon-Jensen T., Schröder K., Brandes R.P., Iozzo R.V., Schaefer L. (2016) Bimodal role of NADPH oxidases in the regulation of biglycan-triggered IL-1β synthesis. Matrix Biol. 49, 61–81.
- Zhang Y., Shan P., Srivastava A., Jiang G., Zhang X., Lee P.J. (2016) An endothelial Hsp70-TLR4 axis limits Nox3 expression and protects against oxidant injury in lungs. Antioxid. Redox Signal. 24(17), 991–1012.
- Webster J.D., Vucic D. (2020) The balance of TNF mediated pathways regulates inflammatory cell death signaling in healthy and diseased tissues. Front. Cell. Dev. Biol. 21, 365.
- Гарбуз Д.Г., Зацепина О.Г., Евгеньев М.Б. (2019) Основной стрессовый белок человека (Hsp70) как фактор белкового гомеостаза и цитокин-подобный регулятор. Молекуляр. биология. 53(2), 200–217.
- De Maio A., Hightower L. (2021) The interaction of heat shock proteins with cellular membranes: a historical perspective. Cell Stress Chaperones. 26(5), 769–783.
- Nimmervoll B., Chtcheglova L.A., Juhasz K., Cremades N., Aprile F.A., Sonnleitner A., Hinterdorfer P., Vigh L., Preiner J., Balogi Z. (2015) Cell surface localised Hsp70 is a cancer specific regulator of clathrin-independent endocytosis. FEBS Lett. 589(19 Pt B), 2747–2753.
- Shim D.W., Heo K.H., Kim Y.K., Sim E.J., Kang T.B., Choi J.W., Sim D.W., Cheong S.H., Lee S.H., Bang J.,Won H.S., Lee K.H. (2015) Anti-inflammatory action of an antimicrobial model peptide that suppresses the TRIF-dependent signaling pathway via inhibition of Toll-like receptor 4 endocytosis in lipopolysaccharide stimulated macrophages. PLoS One. 10(5), e0126871.
- Józefowski S., Śróttek M. (2017) Lipid raft-dependent endocytosis negatively regulates responsiveness of J774 macrophage-like cells to LPS by down regulating the cell surface expression of LPS receptors. Cell. Immunol. 312, 42–50.
- Olona A., Hateley C., Muralidharan S., Wenk M.R., Torta F., Behmoaras J. (2021) Sphingolipid metabolism during Toll-like receptor 4 (TLR4)-mediated macrophage activation. Br. J. Pharmacol. 178(23), 4575–4587.
- Naslavsky N., Caplan S. (2020) Endocytic membrane trafficking in the control of centrosome function. Curr. Opin. Cell. Biol. 65, 150–155.
- Gomart A., Vallée A., Lecarpentier Y. (2021) Necrotizing enterocolitis: LPS/TLR4-induced crosstalk between canonical TGF-β/Wnt/β-catenin pathways and PPARγ. Front. Pediatr. 9, 713344. https://doi.org/10.3389/fped.2021.713344
- Chen Y., Yuan S., Cao Y., Kong G., Jiang F., Li Y., Wang Q., Tang M., Zhang Q., Wang Q., Liu L. (2021) Gasotransmitters: potential therapeutic molecules of fibrotic diseases. Oxid. Med. Cell. Longev. 2021, 3206982. https://doi.org/10.1155/2021/3206982
- Pathak C., Vaidya F.U., Waghela B.N., Jaiswara P.K., Gupta V.K., Kumar A., Rajendran B.K., Ranjan K. (2023) Insights of endocytosis signaling in health and disease. Int. J. Mol. Sci. 24(3), 2971.
- Tang H., Chen H., Jia Y., Liu X., Han Z., Wang A., Liu Q., Li X., Feng X. (2017) Effect of inhibitors of endocytosis and NF-kB signal pathway on folate-conjugated nanoparticle endocytosis by rat Kupffer cells. Int. J. Nanomedicine. 12, 6937–6947.
- Li Z., Davis G.S., Mohr C., Nain M., Gemsa D. (1996) Inhibition of LPS-induced tumor necrosis factor-alpha production by colchicine and other microtubule disrupting drugs. Immunobiology. 195(4–5), 624–639.
Дополнительные файлы






