Effects of Hydrogen Sulfide Donor GYY4137 on the Proteasome Pool of Colon Cancer Cells
- Autores: Grigorieva E.V.1,2, Astakhova T.M.3, Burov A.V.1, Karpov V.L.1, Morozov A.V.1,2
-
Afiliações:
- Engelhardt Institute of Molecular Biology, Russian Academy of Sciences
- Moscow Institute of Physics and Technology (National Research University)
- Koltsov Institute of Developmental Biology, Russian Academy of Sciences
- Edição: Volume 57, Nº 6 (2023)
- Páginas: 938-948
- Seção: РОЛЬ ГАЗОТРАНСМИТТЕРОВ ОКСИДА АЗОТА И СЕРОВОДОРОДА В РЕДОКС-РЕГУЛЯЦИИ КЛЕТОК
- URL: https://ogarev-online.ru/0026-8984/article/view/231931
- DOI: https://doi.org/10.31857/S0026898423060083
- EDN: https://elibrary.ru/RBEQZK
- ID: 231931
Citar
Texto integral
Resumo
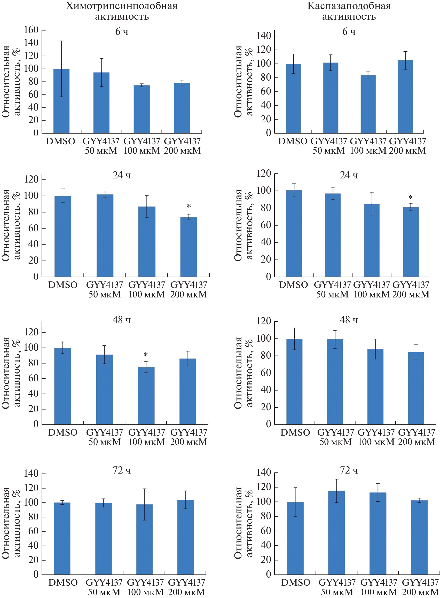
Cancer cells are characterized by an increased level of metabolism and are highly dependent on the correct functioning of the processes that ensure homeostasis. Reactive sulfur species (RSS) are important molecular modulators of metabolic processes in both healthy and tumor cells. The effect of RSS and, in particular, H2S, on key cellular systems, including the ubiquitin-proteasome system (UPS), which ensures the destruction of most intracellular proteins, has been shown. The main components of the UPS are proteasomes ‒ multisubunit protein complexes, within which protein proteolysis occurs. At the same time, data on the effect of H2S directly on the pool of proteasomes in tumor cells are insufficient. Here, we studied the effect of incubation of SW620B8-mCherry colon adenocarcinoma cells expressing a fluorescently labeled proteasome subunit with 50, 100, and 200 µM of hydrogen sulfide donor GYY4137. The effect of the substance on the proteasome pool was assessed 6, 24, 48, and 72 h after administration. It was shown that the chymotrypsin-like and caspase-like proteasome activity decreases in cells incubated with 200 µM of the GYY4137 for 24 h. This coincided with an increase in the expression of proteasome subunit genes. In lysates of cells incubated with 200 µM GYY4137 for 48 h an increase in the content of the constitutive β5 subunit was observed. Against this background, the activity of proteasomes in cells levels off. Following prolonged incubation with GYY4137 (72h), an increase in the expression levels of some proteasome genes was also observed, though this did not have a significant effect on the activity and subunit composition of proteasomes. Thus, the data obtained indicate the modulation of proteasome activity by the hydrogen sulfide donor, as well as the effect of GYY4137 on the levels of transcription and translation of proteasome genes.
Palavras-chave
Sobre autores
E. Grigorieva
Engelhardt Institute of Molecular Biology, Russian Academy of Sciences; Moscow Institute of Physics and Technology (National Research University)
Email: Runkel@inbox.ru
Russia, 119991, Moscow; Russia, 141701, Moscow Region, Dolgoprudny
T. Astakhova
Koltsov Institute of Developmental Biology, Russian Academy of Sciences
Email: Runkel@inbox.ru
Russia, 119334, Moscow
A. Burov
Engelhardt Institute of Molecular Biology, Russian Academy of Sciences
Email: Runkel@inbox.ru
Russia, 119991, Moscow
V. Karpov
Engelhardt Institute of Molecular Biology, Russian Academy of Sciences
Email: Runkel@inbox.ru
Russia, 119991, Moscow
A. Morozov
Engelhardt Institute of Molecular Biology, Russian Academy of Sciences; Moscow Institute of Physics and Technology (National Research University)
Autor responsável pela correspondência
Email: Runkel@inbox.ru
Russia, 119991, Moscow; Russia, 141701, Moscow Region, Dolgoprudny
Bibliografia
- Kimura H. (2014) Hydrogen sulfide and polysulfides as biological mediators. Molecules. 19, 16146‒16157.
- Sen N. (2017) Functional and molecular insights of hydrogen sulfide signaling and protein sulfhydration. J. Mol. Biol. 429, 543‒561.
- Paul B.D., Snyder S.H., Kashfi K. (2021) Effects of hydrogen sulfide on mitochondrial function and cellular bioenergetics. Redox Biol. 38, 101772.
- Groll M., Ditzel L., Löwe J., Stock D., Bochtler M., Bartunik H.D., Huber R. (1997) Structure of 20S proteasome from yeast at 2.4 Å resolution. Nature. 386, 463‒471.
- Abi Habib J., Lesenfants J., Vigneron N., Van den Eynde B.J. (2022) Functional differences between proteasome subtypes. Cells. 11, 421.
- Ferrington D.A., Gregerson D.S. (2012) Immunoproteasomes: structure, function, and antigen presentation. Progr. Mol. Biol. Transl. Sci. 109, 75‒112.
- Pickering A.M., Linder R.A., Zhang H., Forman H.J., Davies K.J. (2012) Nrf2-dependent induction of proteasome and Pa28αβ regulator are required for adaptation to oxidative stress. J. Biol. Chem. 287, 10021‒10031.
- Koike S., Ogasawara Y., Shibuya N., Kimura H., Ishii K. (2013) Polysulfide exerts a protective effect against cytotoxicity caused by t-buthylhydroperoxide through Nrf2 signaling in neuroblastoma cells. FEBS Lett. 587, 3548‒3555.
- Shimizu Y., Nicholson C.K., Lambert J.P., Barr L.A., Kuek N., Herszenhaut D., Tan L., Murohara T., Hansen J.M., Husain A., Naqvi N., Calvert J.W. (2016) Sodium sulfide attenuates ischemic-induced heart failure by enhancing proteasomal function in an Nrf2-dependent manner. Circ. Heart Fail. 9, e002368.
- Burov A., Funikov S., Vagapova E., Dalina A., Rezvykh A., Shyrokova E., Lebedev T., Grigorieva E., Popenko V., Leonova O., Spasskaya D., Spirin P., Prassolov V., Karpov V., Morozov A. (2021) A cell-based platform for the investigation of immunoproteasome subunit β5i expression and biology of β5i-containing proteasomes. Cells. 10, 3049.
- Морозов А.В., Буров А.В., Астахова Т.М., Спасская Д.С., Маргулис Б.А., Карпов В.Л. (2019) Динамика функциональной активности и экспрессии субъединиц протеасом в условиях адаптации клетки к тепловому шоку. Молекуляр. биология. 53, 638–647.
- Морозов А.В., Буров А.В., Фуников С.Ю., Тетерина Е.В., Астахова Т.М., Ерохов П. А., Устюгов А.А., Карпов В.Л. (2023) Изменения активности и содержания отдельных форм протеасом в образцах коры головного мозга при развитии патологии у мышей линии 5xFAD. Молекуляр. биоло-гия. 57(5), 873‒885.
- Morozov A., Astakhova T., Erokhov P., Karpov V. (2022) The ATP/Mg2+ balance affects the degradation of short fluorogenic substrates by the 20S proteasome. Methods Protocols. 5, 15.
- Li L., Fox B., Keeble J., Salto-Tellez M., Winyard P.G., Wood M.E., Moore P.K., Whiteman M. (2013) The complex effects of the slow-releasing hydrogen sulfide donor GYY4137 in a model of acute joint inflammation and in human cartilage cells. J. Cell. Mol. Med. 17(3), 365‒376. https://doi.org/10.1111/jcmm.12016
- Li L., Whiteman M., Guan Y.Y., Neo K.L., Cheng Y., Lee S.W., Zhao Y., Baskar R., Tan C.H., Moore P.K. (2008) Characterization of a novel, water-soluble hydrogen sulfide-releasing molecule (GYY4137): new insights into the biology of hydrogen sulfide. Circulation. 117(18), 2351‒2360. https://doi.org/10.1161/CIRCULATIONAHA.107.753467
- Wu Z., Peng H., Du Q., Lin W., Liu Y. (2015) GYY4137, a hydrogen sulfide‑releasing molecule, inhibits the inflammatory response by suppressing the activation of nuclear factor‑kappa B and mitogen‑activated protein kinases in Coxsackie virus B3‑infected rat cardiomyocytes. Mol. Med. Rep. 11(3), 1837‒1844. https://doi.org/10.3892/mmr.2014.2901
- Powell C.R., Dillon K.M., Matson J.B. (2018) A review of hydrogen sulfide (H2S) donors: chemistry and potential therapeutic applications. Biochem. Pharmacol. 149, 110‒123.
- Kors S., Geijtenbeek K., Reits E., Schipper-Krom S. (2019) Regulation of proteasome activity by (post-) transcriptional mechanisms. Front. Mol. Biosci. 6, 48.
- Westermann B. (2009) Nitric oxide links mitochondrial fission to Alzheimer’s disease. Sci. Signaling. 2, pe29‒pe29.
- Zhang D., Du J., Tang C., Huang Y., Jin H. (2017) H2S-induced sulfhydration: biological function and detection methodology. Front. Pharmacol. 8, 608.
- Kaya H.E.K., Radhakrishnan S.K. (2021) Trash talk: mammalian proteasome regulation at the transcriptional level. Trends Genet. 37, 160‒173.
- King A.L., Polhemus D.J., Bhushan S., Otsuka H., Kondo K., Nicholson C.K., Bradley J.M., Islam K.N., Calvert J.W., Tao Y.X., Dugas T.R., Kelley E.E., Elrod J.W., Huang P.L, Wang R., Lefer D. (2014) Hydrogen sulfide cytoprotective signaling is endothelial nitric oxide synthase-nitric oxide dependent. Proc. Natl. Acad. Sci. USA. 111, 3182‒3187.
- Kotamraju S., Matalon S., Matsunaga T., Shang T., Hickman-Davis J.M., Kalyanaraman B. (2006) Upregulation of immunoproteasomes by nitric oxide: potential antioxidative mechanism in endothelial cells. Free Rad. Biol. Med. 40, 1034‒1044.
- Sen N., Paul B.D., Gadalla M.M., Mustafa A.K., Sen T., Xu R., Kim S., Snyder S.H. (2012) Hydrogen sulfide-linked sulfhydration of NF-κB mediates its antiapoptotic actions. Mol. Cell. 45, 13‒24.
- Kimura H. (2000) Hydrogen sulfide induces cyclic AMP and modulates the NMDA receptor. Biochem. Biophys. Res. Commun. 267, 129‒133.
- Huang H., Wang H., Figueiredo-Pereira M.E. (2013) Regulating the ubiquitin/proteasome pathway via cAMP-signaling: neuroprotective potential. Cell Biochem. Biophys. 67, 55‒66.
Arquivos suplementares





