Разработка и апробация ДНК-зондов для определения активности ключевых ферментов пути эксцизионной репарации оснований ДНК в клетках человека
- Авторы: Алексеева И.В.1, Кузнецова А.А.1, Кладова О.А.1, Шендер В.О.2, Шнайдер П.В.2, Федорова О.С.1, Кузнецов Н.А.1,3
-
Учреждения:
- Институт химической биологии и фундаментальной медицины Сибирского отделения Российской академии наук
- Федеральный научно-клинический центр физико-химической медицины Федерального медико-биологического агентства России
- Новосибирский государственный университет
- Выпуск: Том 57, № 2 (2023)
- Страницы: 316-329
- Раздел: МОЛЕКУЛЯРНАЯ БИОЛОГИЯ КЛЕТКИ: ОТ РЕПАРАЦИИ ДНК ДО МЕТАБОЛОМИКИ
- URL: https://ogarev-online.ru/0026-8984/article/view/138653
- DOI: https://doi.org/10.31857/S0026898423020027
- EDN: https://elibrary.ru/EELFGZ
- ID: 138653
Цитировать
Полный текст
Аннотация
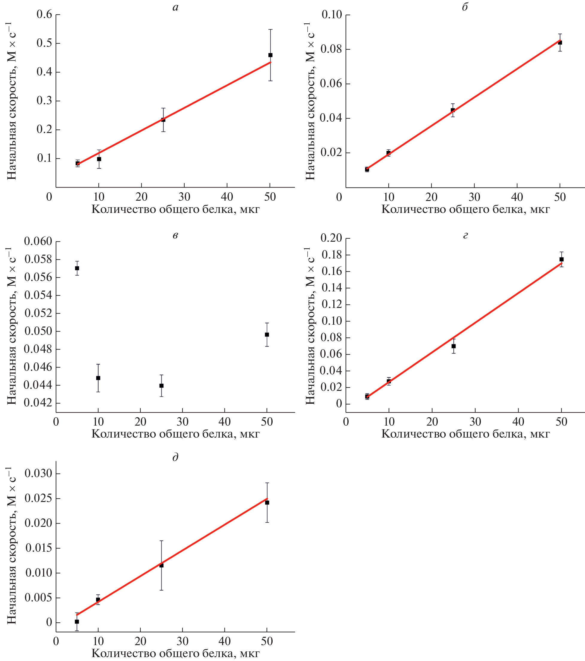
Исследования механизмов сохранения генетической информации, проводимые с момента открытия систем репарации ДНК, обусловлены ключевой ролью повреждений ДНК в возникновении различных заболеваний, включая онкологические. До сих пор остается актуальным вопрос о связи между накоплением повреждений ДНК, сбоями в работе путей репарации ДНК и повышенным риском развития некоторых заболеваний. За последние несколько лет предприняты значительные усилия, направленные на разработку методов анализа активности ферментов эксцизионной репарации оснований ДНК в клетках человека. Нами разработаны флуоресцентные ДНК-зонды, позволяющие определять в клеточных экстрактах уровень активности ключевых ферментов эксцизионной репарации оснований ДНК, а именно ДНК-гликозилаз UNG2, SMUG1, MBD4, TDG, AAG, NEIL1, NTHL1 и OGG1 и АР-эндонуклеазы APE1. Чувствительность ДНК-зондов определяли на очищенных препаратах ферментов. Определение активности ферментов репарации в экстрактах клеточных линий опухолей яичников человека TOV112, 79, OVCAR3, MESOV, SCOV3 и TOV21 позволило выявить значительную вариабельность уровня активности ферментов в этих линиях клеток. Полученные результаты могут стать основой для создания тест-системы определения активности ключевых ферментов эксцизионной репарации оснований ДНК в организме человека.
Ключевые слова
Об авторах
И. В. Алексеева
Институт химической биологии и фундаментальной медицины Сибирского отделения Российской академии наук
Email: nikita.kuznetsov@niboch.nsc.ru
Россия, 630090, Новосибирск
А. А. Кузнецова
Институт химической биологии и фундаментальной медицины Сибирского отделения Российской академии наук
Email: nikita.kuznetsov@niboch.nsc.ru
Россия, 630090, Новосибирск
О. А. Кладова
Институт химической биологии и фундаментальной медицины Сибирского отделения Российской академии наук
Email: nikita.kuznetsov@niboch.nsc.ru
Россия, 630090, Новосибирск
В. О. Шендер
Федеральный научно-клинический центр физико-химической медицины Федерального медико-биологического агентства России
Email: nikita.kuznetsov@niboch.nsc.ru
Россия, 119435, Москва
П. В. Шнайдер
Федеральный научно-клинический центр физико-химической медицины Федерального медико-биологического агентства России
Email: nikita.kuznetsov@niboch.nsc.ru
Россия, 119435, Москва
О. С. Федорова
Институт химической биологии и фундаментальной медицины Сибирского отделения Российской академии наук
Email: nikita.kuznetsov@niboch.nsc.ru
Россия, 630090, Новосибирск
Н. А. Кузнецов
Институт химической биологии и фундаментальной медицины Сибирского отделения Российской академии наук; Новосибирский государственный университет
Автор, ответственный за переписку.
Email: nikita.kuznetsov@niboch.nsc.ru
Россия, 630090, Новосибирск; Россия, 630090, Новосибирск
Список литературы
- Krokan H.E., Bjørås M. (2013) Base excision repair. Cold Spring Harb. Perspect. Biol. 5, a012583.
- Dianov G., Price A., Lindahl T. (1992) Generation of single-nucleotide repair patches following excision of uracil residues from DNA. Mol. Cell. Biol. 12, 1605–1612.
- Matsumoto Y., Bogenhagen D.F. (1994) Proliferating cell nuclear antigen-dependent abasic site repair in Xenopus laevis oocytes: an alternative pathway of base excision DNA repair. Mol. Cell. Biol. 14, 6187–6197.
- Frosina G., Fortini P., Rossi O., Carrozzino F., Raspaglio G., Cox L.S., Lane D.P., Abbondandolo A., Dogliotti E. (1996) Two pathways for base excision repair in mammalian cells. J. Biol. Chem. 271, 9573–9578.
- Klungland A., Lindahl T. (1997) Second pathway for completion of human DNA base excision-repair: reconstitution with purified proteins and requirement for DNase IV (FEN1). EMBO J. 16, 3341–3348.
- Kim Y.-J., Wilson D.M. III (2012) Overview of base excision repair biochemistry. Curr. Mol. Pharmacol. 5, 3–13.
- Wiederhold L., Leppard J.B., Kedar P., Karimi-Busheri F., Rasouli-Nia A., Weinfeld M., Tomkinson A.E., Izumi T., Prasad R., Wilson S.H. (2004) AP endonuclease-independent DNA base excision repair in human cells. Mol. Cell. 15, 209–220.
- Das A., Wiederhold L., Leppard J.B., Kedar P., Prasad R., Wang H., Boldogh I., Karimi-Busheri F., Weinfeld M., Tomkinson A.E., Wilson S.H., Mitra S. (2006) NEIL2-initiated, APE-independent repair of oxidized bases in DNA: evidence for a repair complex in human cells. DNA Repair (Amst). 5, 1439–1448.
- Cleaver J.E. (1968) Defective repair replication of DNA in Xeroderma pigmentosum. DNA Repair (Amst). 3, 183–187.
- Setlow R.B., Regan J.D., German J., Carrier W.L. (1969) Evidence that Xeroderma pigmentosum cells do not perform the first step in the repair of ultraviolet damage to their DNA. DNA Repair (Amst). 3, 188–195.
- Helleday T., Eshtad S., Nik-Zainal S. (2014) Mechanisms underlying mutational signatures in human cancers. Nat. Rev. Genet. 15, 585–598.
- Grin I.R., Konorovsky P.G., Nevinsky G.A., Zharkov D.O. (2009) Heavy metal ions affect the activity of DNA glycosylases of the Fpg family. Biochemistry. 74, 1253–1259.
- Kreklau E.L., Limp-Foster M., Liu N., Xu Y., Kelley M.R., Erickson L.C. (2001) A novel fluorometric oligonucleotide assay to measure O 6-methylguanine DNA methyltransferase, methylpurine DNA glycosylase, 8-oxoguanine DNA glycosylase and abasic endonuclease activities: DNA repair status in human breast carcinoma cells overexpressing. Nucl. Acids Res. 29, 2558–2566.
- Dianov G.L. (2003) Monitoring base excision repair by in vitro assays. Toxicology. 193, 35–41.
- Weiss J.M., Goode E.L., Ladiges W.C., Ulrich C.M. (2005) Polymorphic variation in hOgg1 and risk of cancer: a review of the functional and epidemiologic literature. Mol. Carcinog. 42, 127–141.
- Lee A.J., Hodges N.J., Chipman J.K. (2005) Interindividual variability in response to sodium dichromate-induced oxidative DNA damage: role of the Ser 326 Cys polymorphism in the DNA-repair protein of 8-oxo-7,8-dihydro-2v-deoxyguanosine DNA glycosylase 1. Cancer Epidemiol. Biomarkers Prev. 14, 497–505.
- Xia L., O′Connor T.R. (2001) DNA glycosylase activity assay based on streptavidin paramagnetic bead substrate capture. Anal. Biochem. 298, 322–326.
- Liu B., Yang X., Wang K., Tan W., Li H., Tang H. (2007) Real-time monitoring of uracil removal by uracil-DNA glycosylase using fluorescent resonance energy transfer probes. Anal. Biochem. 366, 237–243.
- Wang X., Hou T., Lu T., Li F. (2014) Autonomous exonuclease iii-assisted isothermal cycling signal amplification: a facile and highly sensitive fluorescence DNA glycosylase activity assay. Anal. Chem. 86, 9626–9631.
- Chen C., Zhou D., Tang H., Liang M., Jiang J. (2013) A sensitive, homogeneous fluorescence assay for detection of thymine DNA glycosylase activity based on exonuclease-mediated amplification. Chem. Commun. 49, 5874.
- Cao X., Sun Y., LuP., Zhao M. (2020) Fluorescence imaging of intracellular nucleases – a review. Anal. Chim. Acta. 1137, 225–237.
- Mirbahai L., Kershaw R.M., Green R.M., Hayden R.E., Meldrum R.A., Hodges N.J. (2010) Use of a molecular beacon to track the activity of base excision repair protein OGG1 in live cells. DNA Repair (Amst). 9, 144–152.
- Belhadj S., Rentsch A., Schwede F., Paquet-Durand F. (2021) Fluorescent detection of PARP activity in unfixed tissue. PLoS One. 16, 1–13.
- Torchinsky D., Michaeli Y., Gassman N.R., Ebenstein Y. (2019) Simultaneous detection of multiple DNA damage types by multi-colour fluorescent labelling. Chem. Commun. 55, 11414–11417.
- Hu J., Liu M.-H., Li Y., Tang B., Zhang C.-Y. (2018) Simultaneous sensitive detection of multiple DNA glycosylases from lung cancer cells at the single-molecule level. Chem. Sci. 9, 712–720.
- Maksimenko A., Ishchenko A.A., Sanz G., Laval J., Elder R.H., Saparbaev M.K. (2004) A molecular beacon assay for measuring base excision repair activities. Biochem. Biophys. Res. Commun. 319, 240–246.
- Pearl L.H., Schierz A.C., Ward S.E., Al-Lazikani B., Pearl F.M.G. (2015) Therapeutic opportunities within the DNA damage response. Nat. Rev. Cancer. 15, 166–180.
- Zhang Y., Li C.-C., Zhang X., Xu,Q., Zhang C.-Y. (2020) Development of oxidation damage base-based fluorescent probe for direct detection of DNA methylation. Anal. Chem. 92, 10223–10227.
- Liu G., He W., Liu C. (2019) Sensitive detection of uracil-DNA glycosylase (UDG) activity based on terminal deoxynucleotidyl transferase-assisted formation of fluorescent copper nanoclusters (CuNCs). Talanta. 195, 320–326.
- Suggitt M., Fearnley J., Swaine D., Volpato M., Phillips R., Bibby M., Loadman P., Anderson D., Anderson D. (2003) Comet assay and flow cytometry analysis of DNA repair in normal and cancer cells treated with known mutagens with different mechanisms of action. Teratog. Carcinog. Mutagen. 2, 13–29.
- Fasman G.D. (1975) Handbook of Biochemistry and Molecular Biology. 3rd ed. Cleveland: CRC Press.
- Мирошникова А.Д., Кузнецова А.А., Кузнецов Н.А., Федорова О.С. (2016) Термодинамика конформационных переходов АП-эндонуклеазы человека APE1 при взаимодействии с ДНК. Acta Naturae. 8, 103–110.
- Kuznetsova A.A., Fedorova O.S., Kuznetsov N.A. (2018) Kinetic features of 3’-5’ exonuclease activity of human AP-endonuclease APE1. Molecules. 23, 2101.
- Kuznetsova A.A., Kuznetsov N.A., Ishchenko A.A., Saparbaev M.K., Fedorova O.S. (2014) Step-by-step mechanism of DNA damage recognition by human 8‑oxoguanine DNA glycosylase. Biochim. Biophys. A-cta. 1840, 387–395.
- Кузнецов Н.А., Коваль В.В., Федорова О.С. (2011) Механизмы ферментативного катализа и узнавания поврежденных участков ДНК 8-оксогуанан-ДНК-гликозилазой человека hOGG1. Биохимия. 76, 118–130.
- Kuznetsova A.A., Iakovlev D.A., Misovets I.V., Ishchenko A.A., Saparbaev M.K., Kuznetsov N.A., Fedorova O.S. (2017) Pre-steady-state kinetic analysis of damage recognition by human single-strand selective monofunctional uracil-DNA glycosylase SMUG1. Mol. Biosyst. 13, 2638–2649.
- Kuznetsov N.A., Kiryutin A.S., Kuznetsova A.A., Panov M.S., Barsukova M.O., Yurkovskaya A.V., Fedorova O.S. (2017) The formation of catalytically competent enzyme-substrate complex is not a bottleneck in lesion excision by human alkyladenine DNA glycosylase. J. Biomol. Struct. Dyn. 35, 950–967.
- Kladova O.A., Grin I.R., Fedorova O.S., Kuznetsov N.A., Zharkov D.O. (2019) Conformational dynamics of damage processing by human DNA glycosylase NEIL1. J. Mol. Biol. 431, 1098–1112.
- Кладова О.А., Яковлев Д.А., Гройсман Р., Ищенко А.А., Сапарбаев М.К., Федорова О.С., Кузнецов Н.А. (2020) Определение сравнительной активности ключевых ферментов эксцизионной репарации оснований в клеточных экстрактах. Биохимия. 8, 480–489.
- Kladova O.A., Alekseeva I.V., Saparbaev M., Fedorova O.S., Kuznetsov N.A. (2020) Modulation of the apurinic/apyrimidinic endonuclease activity of human APE1 and of its natural polymorphic variants by base excision repair proteins. Int. J. Mol. Sci. 21, 7174.
- Kladova O.A., Bazlekowa-Karaban M., Baconnais S., Piétrement O., Ishchenko A.A., Matkarimov B.T., Iakovlev D.A., Vasenko A., Fedorova O.S., Le Cam E. (2018) The role of the N-terminal domain of human apurinic/apyrimidinic endonuclease 1, APE1, in DNA glycosylase stimulation. DNA Repair (Amst). 64, 10–25.
- Saparbaev M., Langouet S., Privezentzev C.V., Guengerich F.P., Cai H., Elder R.H., Laval J. (2002) 1,N(2)-ethenoguanine, a mutagenic DNA adduct, is a primary substrate of Escherichia coli mismatch-specific uracil-DNA glycosylase and human alkylpurine-DNA-N-glycosylase. J. Biol. Chem. 277, 26987–26993.
- O’Brien P.J., Ellenberger T. (2004) Dissecting the broad substrate specificity of human 3-methyladenine-DNA glycosylase. J. Biol. Chem. 279, 9750–9757.
- Ringvoll J., Moen M.N., Nordstrand L.M., Meira L.B., Pang B., Bekkelund A., Dedon P.C., Bjelland S., Samson L.D., Falnes P.Ø. (2008) AlkB homologue 2-mediated repair of ethenoadenine lesions in mammalian DNA. Cancer Res. 68, 4142–4149.
- Kuznetsov N.A., Kanazhevskaya L.Y., Fedorova O.S. (2021) DNA demethylation in the processes of repair and epigenetic regulation performed by 2-ketoglutarate-dependent DNA dioxygenases. Int. J. Mol. Sci. 22, 10540.
Дополнительные файлы










