Influence of Usnic Acid Derivative (Tyrosyl-DNA Phosphodiesterase 1 Inhibitor) on Transplanted Tumors in vivo as a Monotherapy and in Combination with Olaparib
- Authors: Kornienko Т.Е.1, Salakhutdinov N.F.2,3, Luzina О.А.2, Filimonov А.S.2, Nikolin V.P.4, Popova N.А.4,3, Dyrkheeva .S.1, Zakharova О.D.1, Chepanova А.А.1, Ilina Е.S.1,3, Zakharenko А.L.1, Lavrik О.I.1,3
-
Affiliations:
- Institute of Chemical Biology and Fundamental Medicine, Siberian Branch, Russian Academy of Sciences
- Vorozhtsov Novosibirsk Institute of Organic Chemistry, Siberian Branch, Russian Academy of Sciences
- Novosibirsk State University
- Federal Research Centre Institute of Cytology and Genetics, Siberian Branch, Russian Academy of Sciences
- Issue: Vol 57, No 2 (2023)
- Pages: 220-231
- Section: СИСТЕМНАЯ ФАРМАКОЛОГИЯ И СОЗДАНИЕ НОВЫХ МЕДИЦИНСКИХ ТЕХНОЛОГИЙ
- URL: https://ogarev-online.ru/0026-8984/article/view/138632
- DOI: https://doi.org/10.31857/S0026898423020143
- EDN: https://elibrary.ru/EFXISX
- ID: 138632
Cite item
Full Text
Abstract
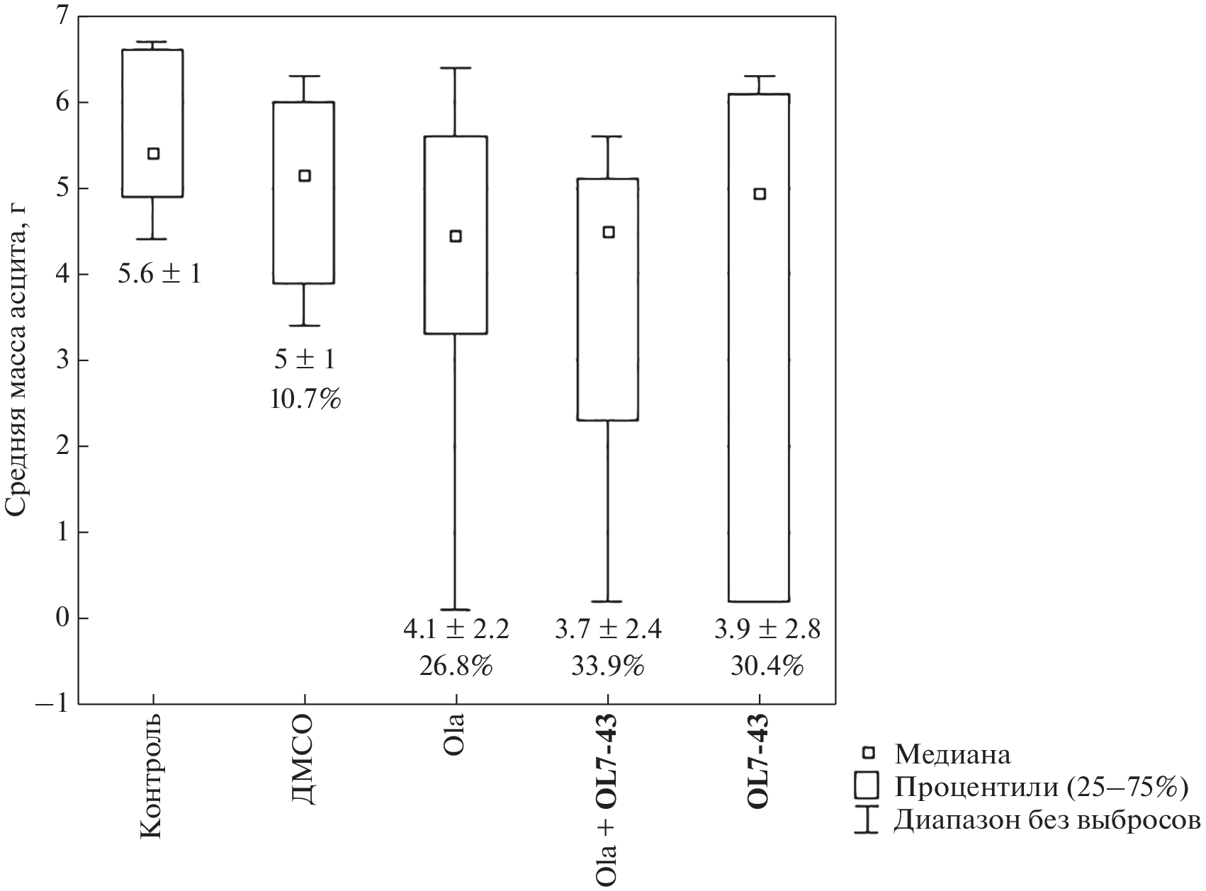
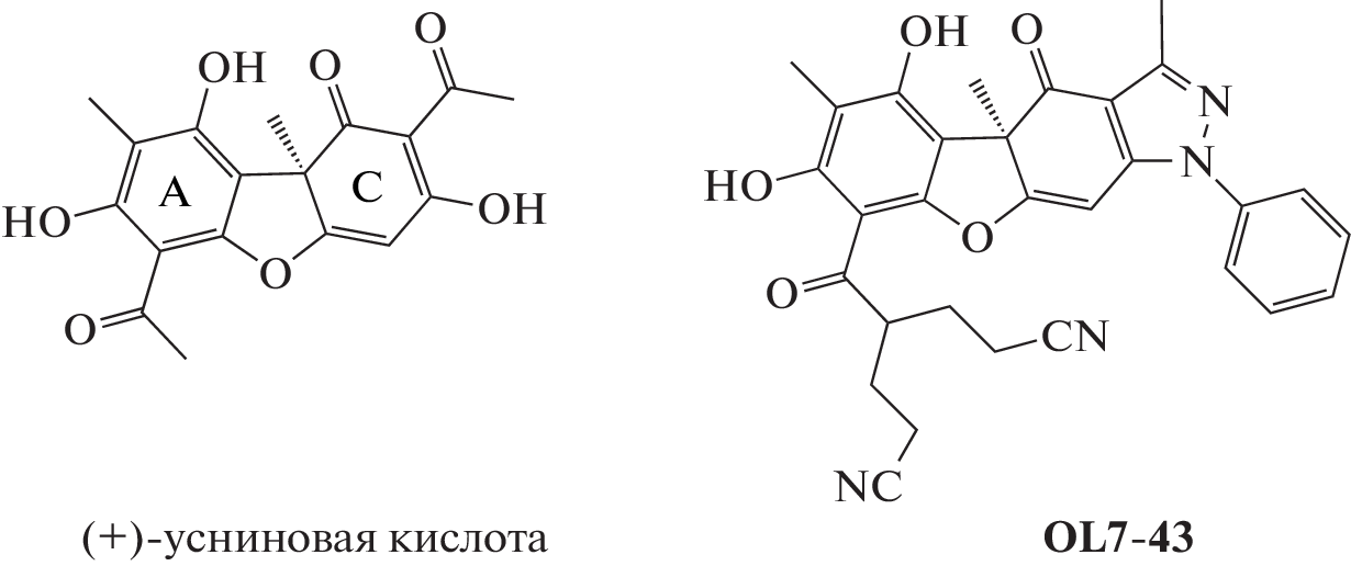
Tyrosyl-DNA phosphodiesterase 1 (Tdp1) is a DNA repair enzyme that removes various adducts from the 3'‑end of DNA. Such damage is formed, for example, under the action of enzymes that introduce single-strand breaks in DNA during catalysis (for example, topoisomerase 1), as well as a number of anticancer drugs with different mechanisms of action. Poly(ADP-ribose) polymerase 1 (PARP1) is an enzyme that catalyzes the post-translational modification of various targets (PARylation), and with its help controls many processes in the cell, including DNA repair. The target of PARP1 is also Tdp1, whose PARylation attracts Tdp1 to the site of DNA damage. Olaparib is a PARP1 inhibitor used in clinical practice to treat homologous recombination deficient tumors. The main mechanism of action of olaparib is to obstruction of PARylation and thus DNA repair. In this study, we used the Tdp1 inhibitor OL7-43 in combination with olaparib to increase the antitumor effect of the latter. Despite the increase in cytotoxicity of olaparib in the presence of OL7-43 in vitro, we did not find a sensitizing effect of this compound in the Lewis and Krebs-2 carcinoma models, but it showed its own antitumor and antimetastatic effects.
About the authors
Т. Е. Kornienko
Institute of Chemical Biology and Fundamental Medicine, Siberian Branch, Russian Academy of Sciences
Email: lavrik@niboch.nsc.ru
Russia, 630090, Novosibirsk
N. F. Salakhutdinov
Vorozhtsov Novosibirsk Institute of Organic Chemistry, Siberian Branch, Russian Academy of Sciences; Novosibirsk State University
Email: lavrik@niboch.nsc.ru
Russia, 630090, Novosibirsk; Russia, 630090, Novosibirsk
О. А. Luzina
Vorozhtsov Novosibirsk Institute of Organic Chemistry, Siberian Branch, Russian Academy of Sciences
Email: lavrik@niboch.nsc.ru
Russia, 630090, Novosibirsk
А. S. Filimonov
Vorozhtsov Novosibirsk Institute of Organic Chemistry, Siberian Branch, Russian Academy of Sciences
Email: lavrik@niboch.nsc.ru
Russia, 630090, Novosibirsk
V. P. Nikolin
Federal Research Centre Institute of Cytology and Genetics, Siberian Branch, Russian Academy of Sciences
Email: lavrik@niboch.nsc.ru
Russia, 630090, Novosibirsk
N. А. Popova
Federal Research Centre Institute of Cytology and Genetics, Siberian Branch, Russian Academy of Sciences; Novosibirsk State University
Email: lavrik@niboch.nsc.ru
Russia, 630090, Novosibirsk; Russia, 630090, Novosibirsk
N. S. Dyrkheeva
Institute of Chemical Biology and Fundamental Medicine, Siberian Branch, Russian Academy of Sciences
Email: lavrik@niboch.nsc.ru
Russia, 630090, Novosibirsk
О. D. Zakharova
Institute of Chemical Biology and Fundamental Medicine, Siberian Branch, Russian Academy of Sciences
Email: lavrik@niboch.nsc.ru
Russia, 630090, Novosibirsk
А. А. Chepanova
Institute of Chemical Biology and Fundamental Medicine, Siberian Branch, Russian Academy of Sciences
Email: lavrik@niboch.nsc.ru
Russia, 630090, Novosibirsk
Е. S. Ilina
Institute of Chemical Biology and Fundamental Medicine, Siberian Branch, Russian Academy of Sciences; Novosibirsk State University
Email: lavrik@niboch.nsc.ru
Russia, 630090, Novosibirsk; Russia, 630090, Novosibirsk
А. L. Zakharenko
Institute of Chemical Biology and Fundamental Medicine, Siberian Branch, Russian Academy of Sciences
Email: lavrik@niboch.nsc.ru
Russia, 630090, Novosibirsk
О. I. Lavrik
Institute of Chemical Biology and Fundamental Medicine, Siberian Branch, Russian Academy of Sciences; Novosibirsk State University
Author for correspondence.
Email: lavrik@niboch.nsc.ru
Russia, 630090, Novosibirsk; Russia, 630090, Novosibirsk
References
- Безбородова О.А., Немцова Е.Р., Кармакова Т.А., Венедиктова Ю.Б., Панкратов А.А, Алексеенко И.В., Плешкан В.В., Зиновьева М.В., Монастырская Г.С., Свердлов Е.Д., Каприн А.А. (2019) Современные тенденции развития противоопухолевой генной и клеточной терапии. Материалы Первого Международного Форума онкологии и радиологии, 23–27 сентября 2019 г. Москва, 65–66.
- Curtin N.J., Szabo C. (2020) Poly (ADP-ribose) polymerase inhibition: past, present and future. Nat. Rev. Drug Discov. 19, 711–736.
- Zakharenko A., Dyrkheeva N., Lavrik O. (2019) Dual DNA topoisomerase 1 and tyrosyl-DNA phosphodiesterase 1 inhibition for improved anticancer activity. Med. Res. Rev. 39, 1427–1441.
- Alagoz M., Gilbert D.C., El-Khamisy S., Chalmers A.J. (2012) DNA repair and resistance to topoisomerase I inhibitors: mechanisms, biomarkers and therapeutic targets. Curr. Med. Chem. 19, 3874–3885.
- Pommier Y., Huang S.N., Gao R., Das B.B., Murai J., Marchand C. (2014) Tyrosyl-DNA-phosphodiesterases (tdp1 and tdp2). DNA Repair. 19, 114–129.
- Comeaux E.Q., van Waardenburg R.C. (2014) Tyrosyl-DNA phosphodiesterase I resolves both naturally and chemically induced DNA adducts and its potential as a therapeutic target. Drug Metabolism Rev. 46, 494–507.
- Virág L., Szabó C. (2002) The therapeutic potential of poly (ADP-ribose) polymerase inhibitors. Pharmacol. Rev. 54, 375–429.
- Groslambert J., Prokhorova E., Ahel I. (2021) ADP-ribosylation of DNA RNA. DNA Repair. 105, 103144.
- Lord C.J., Tutt A.N.J., Ashworth A. (2015) Synthetic lethality and cancer therapy: lessons learned from the development of PARP inhibitors. Annu. Rev. Med. 66, 455–470.
- Das B.B., Huang S.N., Murai J., Rehman I., Amé J.-C., Sengupta S., Das S.K., Majumdar P., Zhang H., Biard D., Majumder H.K., Schreiber V., Pommier Y. (2014) PARP1–TDP1 coupling for the repair of topoisomerase I-induced DNA damage. Nucl. Acids Res. 42, 4435–4449.
- Lebedeva N.A., Anarbaev R.O., Sukhanova M., Vasil’eva I.A., Rechkunova N.I., Lavrik O.I. (2015) Poly(ADP-ribose) polymerase 1 stimulates the AP-site cleavage activity of tyrosyl-DNA phosphodiesterase 1. Biosci. Rep. 35–44.
- Lopez-Mosqueda J., Hurley K., Simonson Q., Kloet M.S., Liu Q., Filippov D.V., van der Heden van Noort G.J. (2022) Poly-ADP-ribosylation modifies DNA-protein crosslinks to signal for SPRTN-dependent degradation. Int. Conference the PARP Family & ADP-ribosylation, Cold Spring Harbor Lab., USA. Abstract book. P. 42.
- Sun Y., Chen J., Huang S.N., Su Y.P., Wang W., Agama K., Saha S., Jenkins L.M., Pascal J.M., Pommier Y. (2021) PARylation prevents the proteasomal degradation of topoisomerase I DNA-protein crosslinks and induces their deubiquitylation. Nat. Commun. 12, 1–16.
- Захаренко А.Л., Лузина О.А., Соколов Д.Н., Захарова О.Д., Рахманова М.Е., Чепанова А.А., Дырхеева Н.С., Лаврик О.И., Салахутдинов Н.Ф. (2017) Производные усниновой кислоты как эффективные ингибиторы тирозил-ДНК-фосфодиэстеразы 1. Биоорган. химия. 43, 97–104.
- Лузина О.А., Салахутдинов Н.Ф. (2016) Биологическая активность усниновой кислоты и ее производных. Часть 2. Действие усниновой кислоты и ее производных на высшие организмы, молекулярные и физико-химические аспекты биологической активности (обзорная статья). Биоорган. химия. 42, 276–276.
- Zakharenko A.L. Zakharenko A.L., Luzina O.A., Sokolov D.N., Kaledin V.I., Nikolin V.P., Popova N.A., Patel J., Zakharova O.D., Chepanova A.A., Zafar A., Reynisson J., Leung E., Leung I.K.H., Volcho K.P., Salakhutdinov N.F., Lavrik O.I. (2019) Novel tyrosyl-DNA phosphodiesterase 1 inhibitors enhance the therapeutic impact of topotecan on in vivo tumor models. Eur. J. Med. Chem. 161, 581–593.
- Nikolin V.P., Popova N.A., Kaledin V.I., Luzina O.A., Zakharenko A.L., Salakhutdinov N.F., Lavrik O.I. (2021) The influence of an enamine usnic acid derivative (a tyrosyl-DNA phosphodiesterase 1 inhibitor) on the therapeutic effect of topotecan against transplanted tumors in vivo. Clin. Exp. Metastasis. 38, 431–440.
- Колдышева Е.В., Меньщикова А.П., Лушникова Е.Л., Попова Н А., Каледин В.И., Николин В.П., Захаренко А.Л., Лузина О.А., Салахутдинов Н.Ф., Лаврик О.И. (2018) Антиметастатическая активность комбинации топотекана и ингибитора тирозил-ДНК-фосфодиэстеразы 1 на модели карциномы легкого Льюис. Бюлл. Эксп. биологии медицины. 166, 609–615.
- Дырхеева Н.С., Захаренко А.Л., Новоселова Е.С., Чепанова А.А., Николин В.П., Лузина О.А., Салахутдинов Н.Ф., Рябчикова Е.И., Лаврик О.И. (2021) Противоопухолевая активность комбинации топотекана и ингибитора тирозил-ДНК-фосфодиэстеразы 1 на модели асцитной карциномы Кребс-2 мыши. Молекуляр. биология. 55, 312–317.
- Моисеев С.В. (2012) Анемия при онкологических заболеваниях. Онкол. Журн. им. П.А. Герцена. 1, 77–82.
- Плотникова Н.А., Пятаев Н.А., Канаев П.М., Кокорев А.В., Кемайкин С.П., Харитонов С.В., Громова С.В. (2014) Особенности морфологии карциномы легкого Льюис на фоне коррекции опухолевого роста мелатонином и 3-гидроксипиридином. Фунд. исслед. 10, 549–552.
Supplementary files










