Genotype-Specific Features of Cold-Induced Sweetening Process Regulation in Potato Varieties Nikulinsky, Symphony, Nevski
- Authors: Egorova A.A.1,2, Saboiev I.A.2, Kostina N.E.1, Kuvaeva D.D.1, Shcherban A.B.1,2, Ibragimova S.M.1,2, Salina E.A.2, Kochetov A.V.1
-
Affiliations:
- Institute of Cytology and Genetics, Siberian Branch, Russian Academy of Sciences
- Kurchatov Genomic Center of the Institute of Cytology and Genetics, Siberian Branch, Russian Academy of Sciences
- Issue: Vol 57, No 2 (2023)
- Pages: 197-208
- Section: БИОНФОРМАТИКА, БИОНЖЕНЕРИЯ И БИОТЕХНОЛОГИЯ
- URL: https://ogarev-online.ru/0026-8984/article/view/138623
- DOI: https://doi.org/10.31857/S0026898423020064
- EDN: https://elibrary.ru/EFXYKD
- ID: 138623
Cite item
Full Text
Abstract
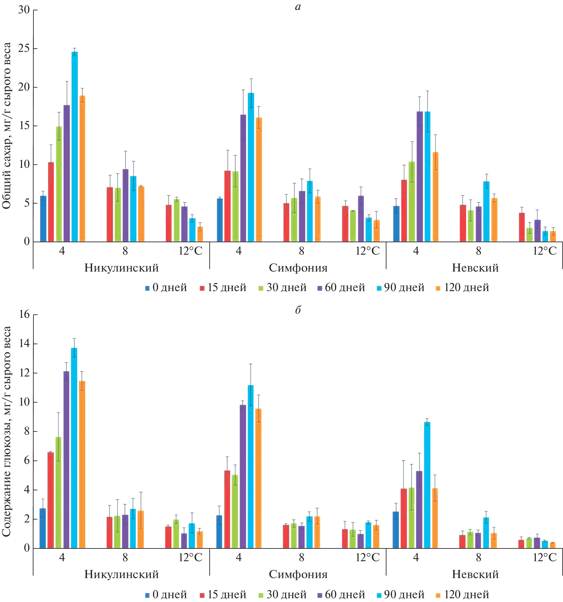
Increasing the shelf life of potato tubers demands their storage under low temperature. However, storage at low temperatures causes activation of cold-protective mechanism, so-called cold-induced sweetening (CIS). During this process, the starch is converted into reducing sugars such as glucose and fructose. Upon processing at high-temperature, these sugars react with free amino acids, resulting in brown, bitter-tasting products, which reduces the consumer value of potatoes. In this study, we performed expression analysis of genes associated with cold-induced sweetening in potato tubers: vacuolar invertase (Pain-1), sucrose-synthase (SUS4), invertase inhibitor (InvInh2). Potato varieties Nikulinsky, Symphony, Nevski were used. All three varieties were found to accumulate sugars at low temperatures, the maximum accumulation of reducing sugars being observed at 4°C. It was found that the expression pattern of genes associated with cold-induced sweetening differs depending on the variety and storage duration. The increased expression of vacuolar invertase and its inhibitor is more pronounced at the beginning of storage period while the increased expression of sucrose synthase is more pronounced after three months of storage. At early storage periods, high expression of invertase and low expression of inhibitor is observed in Dutch variety Symphony, and vice versa in Russian varieties Nikulinsky and Nevsky. The participation of the studied genes in the process of cold-induced sweetening is discussed.
About the authors
A. A. Egorova
Institute of Cytology and Genetics, Siberian Branch, Russian Academy of Sciences; Kurchatov Genomic Center of the Institute of Cytology and Genetics, Siberian Branch, Russian Academy of Sciences
Author for correspondence.
Email: egorova@bionet.nsc.ru
Russia, 630090, Novosibirsk; Russia, 630090, Novosibirsk
I. A. Saboiev
Kurchatov Genomic Center of the Institute of Cytology and Genetics, Siberian Branch, Russian Academy of Sciences
Email: egorova@bionet.nsc.ru
Russia, 630090, Novosibirsk
N. E. Kostina
Institute of Cytology and Genetics, Siberian Branch, Russian Academy of Sciences
Email: egorova@bionet.nsc.ru
Russia, 630090, Novosibirsk
D. D. Kuvaeva
Institute of Cytology and Genetics, Siberian Branch, Russian Academy of Sciences
Email: egorova@bionet.nsc.ru
Russia, 630090, Novosibirsk
A. B. Shcherban
Institute of Cytology and Genetics, Siberian Branch, Russian Academy of Sciences; Kurchatov Genomic Center of the Institute of Cytology and Genetics, Siberian Branch, Russian Academy of Sciences
Email: egorova@bionet.nsc.ru
Russia, 630090, Novosibirsk; Russia, 630090, Novosibirsk
S. M. Ibragimova
Institute of Cytology and Genetics, Siberian Branch, Russian Academy of Sciences; Kurchatov Genomic Center of the Institute of Cytology and Genetics, Siberian Branch, Russian Academy of Sciences
Email: egorova@bionet.nsc.ru
Russia, 630090, Novosibirsk; Russia, 630090, Novosibirsk
E. A. Salina
Kurchatov Genomic Center of the Institute of Cytology and Genetics, Siberian Branch, Russian Academy of Sciences
Email: egorova@bionet.nsc.ru
Russia, 630090, Novosibirsk
A. V. Kochetov
Institute of Cytology and Genetics, Siberian Branch, Russian Academy of Sciences
Email: egorova@bionet.nsc.ru
Russia, 630090, Novosibirsk
References
- Bianchi G., Scalzo R.L., Testoni A., Maestrelli A. (2014) Nondestructive analysis to monitor potato quality during cold storage. J. Food Quality. 37, 9–17.
- Zhang H., Hou J., Liu J., Zhang J., Song B., Xie C. (2017) The roles of starch metabolic pathways in the cold-induced sweetening process in potatoes. Starch-Stärke. 69, 1600194.
- McCullough M.L., Hodge R.A., Um C.Y., Gapstur S.M. (2019) Dietary acrylamide is not associated with renal cell cancer risk in the CPS-II nutrition cohort. Cancer Epidemiol. Prevention Biomarkers. 28, 616–619.
- Sowokinos J.R. (2001) Biochemical and molecular control of cold-induced sweetening in potatoes. Am. J. Potato Res. 78, 221–236.
- Amrein T.M., Schönbächler B., Rohner F., Lukac H., Schneider H., Keiser A., Escher F., Amadò R. (2004) Potential for acrylamide formation in potatoes: data from the 2003 harvest. Eur. Food Res. Technol. 219, 572−578.
- Chen S., Hajirezaei M.R., Zanor M.I., Hornyik C., Debastn S., Lacomme C., Fernie A.R., Sonnewald U., Boernke F. (2008) RNA interference-mediated repression of sucrose-phosphatase in transgenic potato tubers (Solanum tuberosum) strongly affects the hexose-to-sucrose ratio upon cold storage with only minor effects on total soluble carbohydrate accumulation. Plant Cell Environ. 31, 165–176.
- Xiong X., Tai G.C.C., Seabrook J.E.A., Wehling P. (2002) Effectiveness of selection for quality traits during the early stage in the potato breeding population. Plant Breed. 121, 441–444.
- Hamernik A.J., Hanneman R.E., Jansky S.H. (2009) Introgression of wild species germplasm with extreme resistance to cold sweetening into the cultivated potato. Crop Sci. 49, 529–542.
- Liu X., Zhang C., Ou Y., Lin Y., Song B., Xie C., Liu J., Li X.Q. (2011) Systematic analysis of potato acid invertase genes reveals that a cold-responsive member, StvacINV-1, regulates cold-induced sweetening of tubers. Mol. Genet. Genom. 286, 109–118.
- Bhaskar P.B., Wu L., Busse J.S., Whitty B.R., Hamernik A.J., Jansky S.H., Jiang J. (2010) Suppression of the vacuolar invertase gene prevents cold-induced sweetening in potato. Plant Physiol. 154, 939–948.
- Clasen B.M., Stoddard T.J., Luo S., Demorest Z.L., Li J., Cedrone F., Tibebu R., Davison S., Ray E.E., Daulhac A., Coffman A. (2015) Improving cold storage and processing traits in potato through targeted gene knockout. Plant Biotechnol. J. 14, 169–176.
- Draffehn A.M., Meller S., Li L., Gebhardt C. (2010) Natural diversity of potato (Solanum tuberosum) invertases. BMC Plant Biol. 10, 1−15.
- Слугина М.А., Снигирь Е.А., Рыжова Н.Н., Кочиева Е.З. (2013) Структура и полиморфизм фрагмента локуса Pain-1, кодирующего вакуолярную инвертазу видов Solanum. Молекуляр. биология. 47, 243–243.
- Ou Y., Song B., Liu X., Xie C., Li M., Lin Y., Zhang H., Liu J. (2013) Promoter regions of potato vacuolar invertase gene in response to sugars and hormones. Plant Physiol. Biochem. 69, 9–16.
- Shumbe L., Visse M., Soares E., Smit I., Dupuis B., Vanderschuren H. (2020) Differential DNA methylation in the Vinv promoter region controls cold induced sweetening in potato. bioRxiv. 062562.
- Brummell D.A., Chen R.K., Harris J.C., Zhang H., Hamiaux C., Kralicek A.V., McKenzie M.J. (2011) Induction of vacuolar invertase inhibitor mRNA in potato tubers contributes to cold-induced sweetening resistance and includes spliced hybrid mRNA variants. J. Exp. Botany. 62, 3519–3534.
- Liu X., Lin Y., Liu J., Song B., Ou Y., Zhang H., Li M., Xie C. (2013) StInvInh2 as an inhibitor of Stvac INV 1 regulates the cold-induced sweetening of potato tubers by specifically capping vacuolar invertase activity. Plant Biotechnol. J. 11, 640–647.
- Liu X., Cheng S., Liu J., Ou Y., Song B., Zhang C., Lin Y., Li X., Xie C. (2013) The potato protease inhibitor gene, St-Inh, plays roles in the cold-induced sweetening of potato tubers by modulating invertase activity. Postharvest Biol. Tec. 86, 265–271.
- Baroja-Fernández E., Muñoz F.J., Montero M., Etxeberria E., Sesma M.T., Ovecka M., Bahaji A., Ezquer I., Li J., Prat S., Pozueta-Romero J. (2009) Enhancing sucrose synthase activity in transgenic potato (Solanum tuberosum L.) tubers results in increased levels of starch, ADPglucose and UDPglucose and total yield. Plant Cell Physiol. 50, 1651–1662.
- Bagnaresi P., Moschella,A., Beretta O., Vitulli F., Ranalli P., Perata P. (2008) Heterologous microarray experiments allow the identification of the early events associated with potato tuber cold sweetening. BMC Genomics. 9, 1–23.
- Baldwin S.J., Dodds K.G., Auvray B., Genet R.A., Macknight R.C., Jacobs J.M.E. (2011) Association mapping of cold-induced sweetening in potato using historical phenotypic data. Ann. Appl. Biol. 158, 248–256.
- Liu X., Chen L., Shi W., Xu X., Li Z., Liu T., He Q., Xie C., Nie B., Song B. (2021) Comparative transcriptome reveals distinct starch-sugar interconversion patterns in potato genotypes contrasting for cold-induced sweetening capacity. Food Chem. 334, 127550.
- Wiberley-Bradford A.E., Bethke P.C. (2017) Rate of cooling alters chip color, sugar contents, and gene expression profiles in stored potato tubers. Am. J. Potato Res. 94, 534–543.
- Slugina M.A., Shchennikova A.V., Meleshin A.A., Kochieva E.Z. (2020) Homologs of vacuolar invertase inhibitor INH2 in tuber-bearing wild potato species and Solanum tuberosum: gene polymorphism and co-expression with saccharolytic enzyme genes in response to cold stress. Sci. Horticult. 269, 109425.
- Дорошков А.В., Симонов А.В., Сафонова А.Д., Афонников Д.А., Лихенко И.Е., Колчанов Н.А. (2016) Оценка количественных характеристик опушения листьев картофеля с использованием анализа цифровых микроизображений. Достижения науки и техники АПК. 30, 12–14.
- Альт В.В., Гурова Т.А., Елкин О.В., Клименко Д.Н., Максимов Л.В., Пестунов И.А., Дубровская О.А., Генаев М.А., Эрст Т.В., Генаев К.А., Комышев Е.Г., Хлесткин В.К., Афонников Д.А. (2020) Использование гиперспектральной камеры Specim IQ для анализа растений. Вавил. Журн. Генет. Селекции. 24, 259–266.
- Антонова О.Ю., Швачко Н.А., Новикова Л.Ю., Шувалов О.Ю., Костина Л.И., Клименко Н.С., Шувалова А.Р., Гавриленко Т.А. (2016). Генетическое разнообразие сортов картофеля российской селекции и стран ближнего зарубежья по данным полиморфизма SSR-локусов и маркеров R-генов устойчивости. Вавил. Журн. Генет. Селекции. 20, 596–606.
- Totsky I.V., Rozanova I.V., Safonova A.D., Batov A.S., Gureeva Yu.A., Khlestkina E.K., Kochetov A.V. (2021) Genotyping of potato samples from the GenAgro ICG SB RAS collection using DNA markers of genes conferring resistance to phytopathogens. J. Genet. Breed. 25, 677–686.
- Khlestkin V.K., Erst T.V., Rozanova I.V., Efimov V.M., Khlestkina E.K. (2020) Genetic loci determining potato starch yield and granule morphology revealed by genome-wide association study (GWAS). Peer. J. 8, e10286.
- Khlestkin V.K., Rozanova I.V., Efimov V.M. Khlestkina E.K. (2019) Starch phosphorylation associated SNPs found by genome-wide association studies in the potato (Solanum tuberosum L.). BMC Genet. 20, 45–53.
- Ibragimova S., Romanova A., Saboiev I., Salina E., Kochetov A. PlantGen2021: The 6th Internat. Sci. Conf. (2021) Novosibirsk, Russia. Abstract book. P. 95. Abstract 79.
- Туркина М.В., Соколова С.В. (1971) Методы определения моносахаридов и олигосахаридов. Биохимические методы в физиологии растений. Москва: Наука, 7–34.
- Lopez-Pardo R., Ruiz de Galarreta J.I., Ritter E. (2013) Selection of housekeeping genes for qRT-PCR analysis in potato tubers under cold stress. Mol. Breed. 31, 39–45.
- Matsuura-Endo C., Ohara-Takada A., Chuda Y., Ono H., Yada H., Yoshida M., Kobayashi A., Tsuda S., Takigawa S., Noda T. (2006) Effects of storage temperature on the contents of sugars and free amino acids in tubers from different potato cultivars and acrylamide in chips. Biosci. Biotechnol. Biochem. 70, 1173–1180.
- Lin Q., Xie Y., Guan W., Duan Y., Wang Z., Sun C. (2019) Combined transcriptomic and proteomic analysis of cold stress induced sugar accumulation and heat shock proteins expression during postharvest potato tuber storage. Food Chem. 297, 124991.
- Abbasi K.S., Masud T., Qayyum A., Khan S.U., Abbas S., Jenks M.A. (2016) Storage stability of potato variety Lady Rosetta under comparative temperature regimes. Sains Malaysiana. 45, 677–688.
- Sonnewald U. (2001) Control of potato tuber sprouting. Trends Plant Sci. 6, 333–335.
- Datir S.S., Regan S. (2022) Role of alkaline/neutral invertases in postharvest storage of potato. Postharvest. Biol. Technol. 184, 111779.
- Слугина М.А., Кочиева Е.З. (2018) Использование генов углеводного обмена для улучшения качества клубней картофеля (Solanum tuberosum L.). Сельскохоз. биология. 53, 450–463.
- Gupta S.K., Crants J. (2019) Identification and impact of stable prognostic biochemical markers for cold-induced sweetening resistance on selection efficiency in potato (Solanum tuberosum L.) breeding programs. PLoS One. 14, e0225411.
- McKenzie M.J., Sowokinos J.R., Shea I.M., Gupta S.K., Lindlauf R.R., Anderson J.A. (2005) Investigations on the role of acid invertase and UDP-glucose pyrophosphorylase in potato clones with varying resistance to cold-induced sweetening. Am. J. Potato Res. 82, 231–239.
- Lin Y., Liu T., Liu J., Liu X., Ou Y., Zhang H., Li M., Sonnewald U., Song B., Xie C. (2015) Subtle regulation of potato acid invertase activity by a protein complex of invertase, invertase inhibitor, and sucrose nonfermenting1-related protein kinase. Plant Physiol. 168, 1807–1819.
- Shi W., Ma Q., Yin W., Liu T., Song Y., Chen Y., Song L., Sun H., Hu S., Liu T., Jiang R. (2022) StTINY3 enhances cold-induced sweetening resistance by coordinating starch resynthesis and sucrose hydrolysis in potato. J. Exp. Botany. 73. 4968–4980.
Supplementary files





