Identification of Functionally Significant Polymorphic Variants in miRNA Genes in Carotid Atherosclerosis
- Authors: Zarubin A.A.1, Mannanova K.V.2, Koroleva I.A.1, Sleptсov A.A.1, Kuznetsov M.S.3, Kozlov B.N.3, Nazarenko M.S.1,2
-
Affiliations:
- Research Institute of Medical Genetics, Tomsk National Research Medical Center, Russian Academy of Sciences
- Siberian State Medical University
- Cardiology Research Institute, Tomsk National Research Medical Center, Russian Academy of Sciences
- Issue: Vol 57, No 3 (2023)
- Pages: 471-482
- Section: ГЕНОМИКА. ТРАНСКРИПТОМИКА
- URL: https://ogarev-online.ru/0026-8984/article/view/138620
- DOI: https://doi.org/10.31857/S0026898423030205
- EDN: https://elibrary.ru/CHZTLI
- ID: 138620
Cite item
Full Text
Abstract
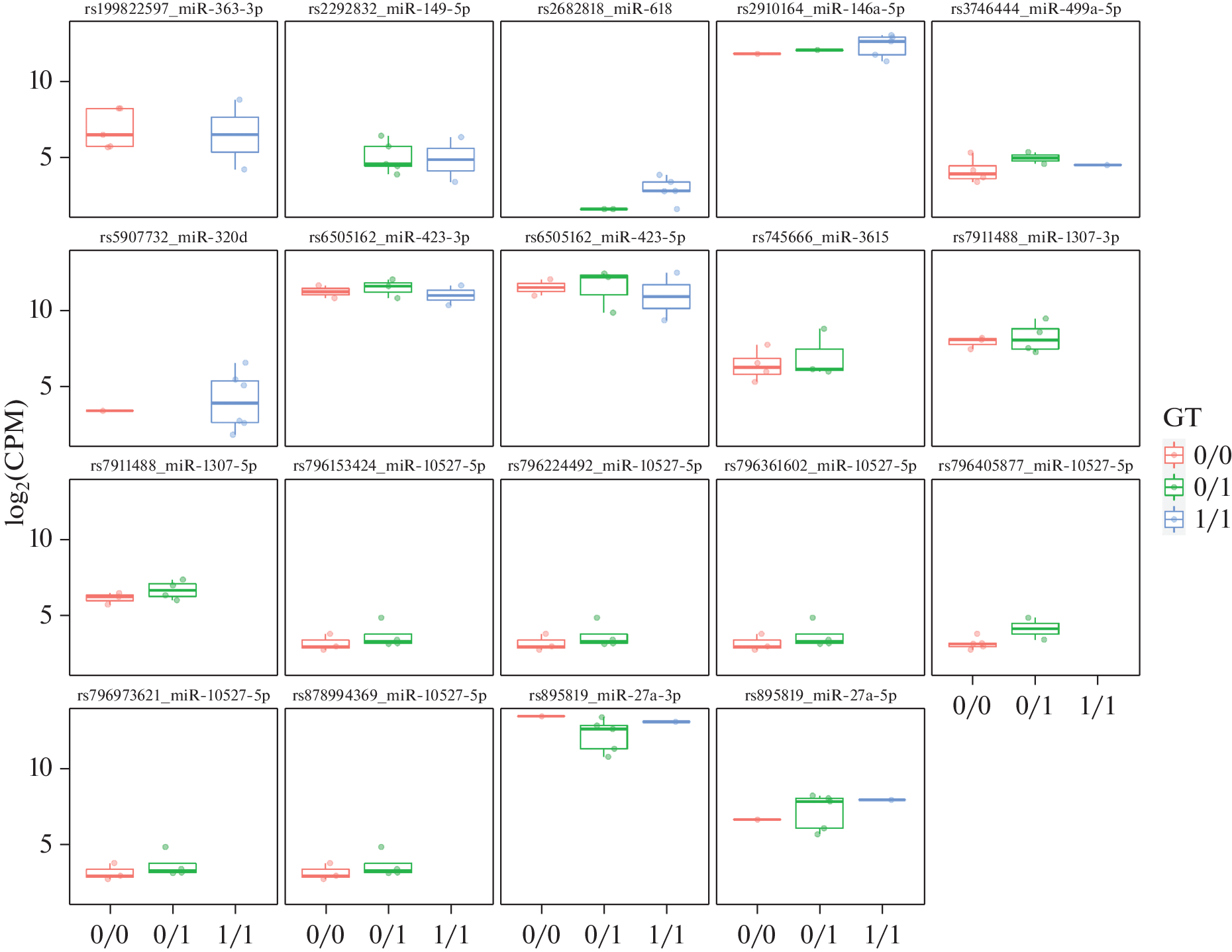
miRNAs are vital molecules of gene expression. They are involved in the pathogenesis of various common diseases, including atherosclerosis, its risk factors and complications. A detailed characterization of the spectrum of functionally significant polymorphisms of miRNA genes of patients with advanced carotid atherosclerosis is an actual research task. We analyzed miRNA expression and exome sequencing data of carotid atherosclerotic plaques of the same male patients (n = 8, 66–71 years of age, 67‒90% degree of carotid artery stenosis). For further study and analysis of the association between rs2910164 polymorphism of the MIR146A gene and advanced carotid atherosclerosis, we recruited 112 patients and 72 relatively healthy Slavic residents of Western Siberia. 321 and 97 single nucleotide variants (SNVs) were detected in the nucleotide sequences of pre- and mature miRNAs in carotid atherosclerotic plaques. These variants were located in 206 and 76 miRNA genes, respectively. Integration the data of exome sequencing and miRNA expression revealed 24 SNVs of 18 miRNA genes which were processed to mature form in carotid atherosclerotic plaques. SNVs with the greatest potential functional significance for miRNA expression predicted in silico were rs2910164:C>G (MIR146A), rs2682818:A>C (MIR618), rs3746444:A>G (MIR499A), rs776722712:C>T (MIR186), rs199822597:G>A (MIR363). The expression of miR-618 was lower in carotid atherosclerotic plaques of patients with the AC rs2682818 genotype of the MIR618 gene compared with the CC genotype (log2FC = 4.8; p = 0.012). We also found the association of rs2910164:C (MIR146A) with the risk of advanced carotid atherosclerosis (OR = 2.35; 95% CI: 1.43–3.85; p = 0.001). Integrative analysis of polymorphism in miRNA genes and miRNA expression is informative for identifying functionally significant polymorphisms in miRNA genes. The rs2682818:A>C (MIR618) is a candidate for regulating miRNA expression in carotid atherosclerotic plaques. The rs2910164:C (MIR146A) is associated with the risk of advanced carotid atherosclerosis.
Keywords
About the authors
A. A. Zarubin
Research Institute of Medical Genetics, Tomsk National Research Medical Center, Russian Academy of Sciences
Email: maria.nazarenko@medgenetics.ru
Russia, 634050, Tomsk
K. V. Mannanova
Siberian State Medical University
Email: maria.nazarenko@medgenetics.ru
Russia, 634050, Tomsk
I. A. Koroleva
Research Institute of Medical Genetics, Tomsk National Research Medical Center, Russian Academy of Sciences
Email: maria.nazarenko@medgenetics.ru
Russia, 634050, Tomsk
A. A. Sleptсov
Research Institute of Medical Genetics, Tomsk National Research Medical Center, Russian Academy of Sciences
Email: maria.nazarenko@medgenetics.ru
Russia, 634050, Tomsk
M. S. Kuznetsov
Cardiology Research Institute, Tomsk National Research Medical Center, Russian Academy of Sciences
Email: maria.nazarenko@medgenetics.ru
Russia, 634050, Tomsk
B. N. Kozlov
Cardiology Research Institute, Tomsk National Research Medical Center, Russian Academy of Sciences
Email: maria.nazarenko@medgenetics.ru
Russia, 634050, Tomsk
M. S. Nazarenko
Research Institute of Medical Genetics, Tomsk National Research Medical Center, Russian Academy of Sciences; Siberian State Medical University
Author for correspondence.
Email: maria.nazarenko@medgenetics.ru
Russia, 634050, Tomsk; Russia, 634050, Tomsk
References
- Song P., Fang Z., Wang H., Cai Y., Rahimi K., Zhu Y., Fowkes F., Fowkes F., Rudan I. (2020) Global and regional prevalence, burden, and risk factors for carotid atherosclerosis: a systematic review, meta-analysis, and modelling study. Lancet Glob. Hlth. 8(5), e721–e729.
- Libby P., Bornfeldt K.E., Tall A.R. (2016) Atherosclerosis: successes, surprises, and future challenges. Circ. Res. 118(4), 531–534.
- Gebert L.F.R., MacRae I.J. (2019) Regulation of microRNA function in animals. Nat. Rev. Mol. Cell. Biol. 20(1), 21–37.
- Borghini A., Andreassi M.G. (2018) Genetic polymorphisms offer insight into the causal role of microRNA in coronary artery disease. Atherosclerosis. 269, 63–70.
- Króliczewski J., Sobolewska A., Lejnowski D., Collawn J.F., Bartoszewski R. (2018) microRNA single polynucleotide polymorphism influences on microRNA biogenesis and mRNA target specificity. Gene. 640, 66–72.
- Li Y., Huo C., Pan T., Li L., Jin X., Lin X., Chen J., Zhang J., Guo Z., Xu J., Li X. (2019) Systematic review regulatory principles of non-coding RNAs in cardiovascular diseases. Brief. Bioinform. 20(1), 66–76.
- Feinberg M.W., Moore K.J. (2016) MicroRNA regulation of atherosclerosis. Circ. Res. 118(4), 703–720.
- Ghanbari M., Franco O.H., de Looper H.W., Hofman A., Erkeland S.J., Dehghan A. (2015) Genetic variations in microRNA-binding sites affect microRNA-mediated regulation of several genes associated with cardio-metabolic phenotypes. Circ. Cardiovasc. Genet. 8(3), 473–486.
- Fasolo F., Di Gregoli K., Maegdefessel L., Johnson J.L. (2019) Non-coding RNAs in cardiovascular cell biology and atherosclerosis. Cardiovasc. Res. 115(12), 1732–1756.
- Huang Z., Shi J., Gao Y., Cui C., Zhang S., Li J., Zhou Y., Cui Q. (2019) HMDD v3.0: a database for experimentally supported human microRNA-disease associations. Nucl. Acids Res. 47(D1), D1013–D1017.
- He Y., Yang J., Kong D., Lin, J., Xu C., Ren H., Ou-yang P., Ding Y., Wang K. (2015) Association of miR-146a rs2910164 polymorphism with cardio-cerebrovascular diseases: a systematic review and meta-analysis. Gene. 565(2), 171–179.
- Bao M.H., Xiao Y., Zhang Q.S., Luo H.Q., Luo J., Zhao J., Li G.Y., Zeng J., Li J.M. (2015) Meta-analysis of miR-146a polymorphisms association with coronary artery diseases and ischemic stroke. Int. J. Mol. Sci. 16(7), 14305–14317.
- Zhu J., Yue H., Qiao C., Li Y. (2015) Association between single-nucleotide polymorphism (SNP) in miR-146a, miR-196a2, and miR-499 and risk of ischemic stroke: a meta-analysis. Med. Sci. Monit. 21, 3658–3663.
- Zhao D., Li Y., Yu X., Zhu Y., Ma B. (2019) Associations between miR-146a rs2910164 polymorphisms and risk of ischemic cardio-cerebrovascular diseases. Medicine. 98(42), e17106.
- Bastami M., Choupani J., Saadatian Z., Zununi Vahed S., Mansoori Y., Daraei A., Samadi Kafil H., Masotti A., Nariman-Saleh-Fam Z. (2019) miRNA polymorphisms and risk of cardio-cerebrovascular diseases: a systematic review and meta-analysis. Int. J. Mol. Sci. 20(2), 293.
- Elfaki I, Mir R., Mir M.M., AbuDuhier F.M., Babakr A.T., Barnawi J. (2019) Potential impact of microRNA gene polymorphisms in the pathogenesis of diabetes and atherosclerotic cardiovascular disease. J. Personalized Med. 9(4), 51.
- Raitoharju E., Oksala N., Lehtimäki T. (2013) Mic-roRNAs in the atherosclerotic plaque. Clin. Chem. 59(12), 1708–1721.
- Maitrias P., Metzinger-Le Meuth V., Nader J., Reix T., Caus T., Metzinger L. (2017) The involvement of miR-NA in carotid-related stroke. Arterioscler. Thromb. Vasc. Biol. 37(9), 1608–1617.
- Назаренко М.С., Королёва Ю.А., Зарубин А.А., Слепцов А.А. (2022) Регулом микроРНК при различных фенотипах атеросклероза. Молекуляр. биология. 56(2), 227–243.
- Sleptcov A.A., Zarubin A.A., Bogaychuk P.M., Kuznetsov M.S., Kozlov B.N., Nazarenko M.S. (2021) Human exome sequence data in support of somatic mosaicism in carotid atherosclerosis. Data Brief. 39, 107656.
- Van der Auwera G.A., O’Connor B.D. (2020) Genomics in the Cloud: Using Docker, GATK, and WDL in Terra. O’Reilly Media, Inc. p. 496.
- Andrews S. (2010) FastQC: a quality control tool for high throughput sequence data. http://www.bioinformatics.babraham.ac.uk/projects/fastqc/.
- Andrés-León E., Núñez-Torres R., Rojas A.M. (2016) miARma-Seq: a comprehensive tool for miRNA, mRN-A and circRNA analysis. Sci. Rep. 6, 25749.
- Krueger F., James F., Ewels P., Afyounian E., Schuster-Boeckler B. (2021) FelixKrueger/TrimGalore: v0.6.7 – DOI via Zenodo. Zenodo.
- Li H. (2013) Aligning sequence reads, clone sequences and assembly contigs with BWA-MEM. arXiv Preprint arXiv. 1303.3997.
- Liao Y., Smyth G.K., Shi W. (2014) featureCounts: an efficient general purpose program for assigning sequence reads to genomic features. Bioinformatics (Oxford). 30(7), 923–930.
- Kozomara A., Birgaoanu M., Griffiths-Jones S. (2019) miRBase: from microRNA sequences to function. Nu-cl. Acids Res. 47(D1), D155–D162.
- Cammaerts S., Strazisar M., Dierckx J., Del Favero J., De Rijk P. (2016) miRVaS: a tool to predict the impact of genetic variants on miRNAs. Nucl. Acids Res. 44(3), e23.
- Huang Z., Shi J., Gao Y., Cui C., Zhang S., Li J., Zhou Z., Cui Q. (2019) HMDD v3. 0: a database for experimentally supported human microRNA–disease associations. Nucl. Acids Res. 47(D1), D1013–D1017.
- Yamashita J., Iwakiri T, Fukushima S, Jinnin M., Miyashita A., Hamasaki T., Makino T., Aoi J., Masuguchi S., Inoue Y., Ihn H. (2013) The rs2910164 G >C polymorphism in microRNA-146a is associated with the incidence of malignant melanoma. Melanoma Res. 23(1), 13–20.
- Omariba G., Xu F., Wang M., Li K., Zhou Y., Xiao J. (2020) Genome-wide analysis of microRNA-related single nucleotide polymorphisms (SNPs) in mouse genome. Sci. Rep. 10(1), 5789.
- Sharma A.R., Shashikiran U., Uk A.R., Shetty R., Satyamoorthy K., Rai P.S. (2020) Aberrant DNA methylation and miRNAs in coronary artery diseases and stroke: a systematic review. Brief. Funct. Genomics. 19(4), 259‒285.
- De Rie D., Abugessaisa I., Alam T., Arner E., Arner P., Ashoor H., Åström G., Babina M., Bertin N., Burroughs A.M., Carlisle A.J., Daub C.O., Detmar M., Deviatiiarov R., Fort A., Gebhard C., Goldowitz D., Guhl S., Ha T.J., Harshbarger J., Hasegawa A., Hashimoto K., Herlyn M., Heutink P., Hitchens K.J., Hon C.C., Huang E., Ishizu Y., Kai C., Kasukawa T., Klinken P., Lassmann T., Lecellier C.H., Lee W., Lizio M., Makeev V., Mathelier A., Medvedeva Y.A., Mejhert N., Mungall C.J., Noma S., Ohshima M., Okada-Hatakeyama M., Persson H., Rizzu P., Roudnicky F., Sætrom P., Sato H., Severin J., Shin J.W., Swoboda R.K., Tarui H., Toyoda H., Vitting-Seerup K., Winteringham L., Yamaguchi Y., Yasuzawa K., Yoneda M., Yumoto N., Zabierowski S., Zhang P.G., Wells C.A., Summers K.M., Kawaji H., Sandelin A., Rehli M.; FANTOM Consortium, Hayashizaki Y., Carninci P., Forrest A.R.R., de Hoon M.J.L. (2017) An integrated expression atlas of miRNAs and their promoters in human and mouse. Nat. Biotechnol. 35(9), 872‒878.
- Zou D., Liu C., Zhang Q., Li X., Qin G., Huang Q., Meng Y., Chen L., Wei J. (2018) Association between polymorphisms in microRNAs and ischemic stroke in an Asian population: evidence based on 6.083 cases and 7.248 controls. Clin. Interv. Aging. 13, 1709–1726.
- Zhu R., Wang Q.W., Zhao J., Liu X., He Z. (2020) miR-149 and miR-499 gene polymorphism and the incident of ischemic stroke in the Asian population: from a case-control study to meta-analysis. Clin. Neurol. Neurosurg. 193, 105789.
- Wang M., Wang S., Wang X., Wu J., Wu Y., Wang Z., Wang J., Wu T., Hu Y. (2020) Carotid intima-media thickness, genetic risk, and ischemic stroke: a family-based study in Rural China. Int. J. Environ. Res. Publ. Hlth. 18(1), 119.
- Zhang Z., Xu G., Cai B., Zhang H., Zhu W., Liu X. (2017) Genetic variants in microRNAs predict recurrence of ischemic stroke. Mol. Neurobiol. 54(4), 2776–2780.
- Sung J.H., Kim S.H., Yang W.I., Kim W.J., Moon J.Y., Kim I.J., Cha D.H., Cho S.Y., Kim J.O., Kim K.A., Kim O.J., Lim S.W., Kim N.K. (2016) miRNA polymorphisms (miR-146a, miR-149, miR-196a2 and miR-499) are associated with the risk of coronary artery disease. Mol. Med. Rep. 14(3), 2328–2342.
- Jha C.K., Mir R., Elfaki I., Khullar N., Rehman S., Javid J., Banu S., Chahal S. (2019) Potential impact of microRNA-423 gene variability in coronary artery disease. Endocr. Metab. Immune Disord. Drug Targets. 19(1), 67–74.
- Cai M.Y., Cheng J., Zhou M.Y., Liang L.L., Lian S.M., Xie X.S., Xu S., Liu X., Xiong X.D. (2018) The association between pre-miR-27a rs895819 polymorphism and myocardial infarction risk in a Chinese Han population. Lipids Hlth Dis. 17(1), 7.
- Chen C., Hong H., Chen L., Shi X., Chen Y., Weng Q. (2014) Association of microRNA polymorphisms with the risk of myocardial infarction in a Chinese population. Tohoku J. Exp. Med. 233(2), 89–94.
- Yang Y., Shi X., Du Z., Zhou G., Zhang X. (2021) Associations between genetic variations in microRNA and myocardial infarction susceptibility: a meta-analysis and systematic review. Herz. 47(6), 524‒535. https://doi.org/10.1007/s00059-021-05086-3
- Sun B., Cao Q., Meng M., Wang X. (2020) MicroRNA-186-5p serves as a diagnostic biomarker in atherosclerosis and regulates vascular smooth muscle cell proliferation and migration. Cell Mol. Biol. Lett. 25, 27.
- Zhang S., Zhu X., Li G. (2020) E2F1/SNHG7/miR-186-5p/MMP2 axis modulates the proliferation and migration of vascular endothelial cell in atherosclerosis. Life Sci. 257, 118013.
- Ye Z.M., Yang S., Xia Y.P., Hu R.T., Chen S., Li B.W., Chen S.L., Luo X.Y., Mao L., Li Y., Jin H., Qin C., Hu B. (2019) LncRNA MIAT sponges miR-149-5p to inhibit efferocytosis in advanced atherosclerosis through CD47 upregulation. Cell Death Dis. 10(2), 138.
- Hou J., Deng Q., Deng X., Zhong W., Liu S., Zhong Z. (2021) MicroRNA-146a-5p alleviates lipopolysaccharide-induced NLRP3 inflammasome injury and pro-inflammatory cytokine production via the regulation of TRAF6 and IRAK1 in human umbilical vein endothelial cells (HUVECs). Ann. Transl. Med. 9(18), 1433.
- Huang S.F., Zhao G., Peng X.F., Ye W.C. (2021) The pathogenic role of long non-coding RNA H19 in atherosclerosis via the miR-146a-5p/ANGPTL4 pathway. Front. Cardiovasc. Med. 8, 770163.
- Qin S.B., Peng D.Y., Lu J.M., Ke Z.P. (2018) MiR-182-5p inhibited oxidative stress and apoptosis triggered by oxidized low-density lipoprotein via targeting toll-like receptor 4. J. Cell Physiol. 233(10), 6630–6637.
- Choe N., Kwon D.H., Ryu J., Shin S., Cho H.J., Joung H., Eom G.H., Ahn Y., Park W.J., Nam K.I., Kim Y.K., Kook H. (2020) miR-27a-3p targets ATF3 to reduce calcium deposition in vascular smooth muscle cells. Mol. Ther. Nucl. Acids. 22, 627–639.
- Zhou T., Li S., Yang L., Xiang D. (2021) microRNA-363-3p reduces endothelial cell inflammatory responses in coronary heart disease via inactivation of the NOX4-dependent p38 MAPK axis. Aging. 13(8), 11061–11082.
- Fu A., Hoffman A.E., Liu R., Jacobs D.I., Zheng T., Zhu Y. (2014) Targetome profiling and functional genetics implicate miR-618 in lymphomagenesis. Epigenetics. 9(5), 730–737.
- Ramkaran P., Khan S., Phulukdaree A., Moodley D., Chuturgoon A.A. (2014) miR-146a polymorphism influences levels of miR-146a, IRAK-1, and TRAF-6 in young patients with coronary artery disease. Cell. Biochem. Biophys. 68(2), 259–266.
- Raitoharju E., Lyytikäinen L.P., Levula M., Oksala N., Mennander A., Tarkka M., Klopp N., Illig T., Kähönen M., Karhunen P.J., Laaksonen R., Lehtimäki T. (2011) miR-21, miR-210, miR-34a, and miR-146a/b are up-regulated in human atherosclerotic plaques in the Tampere Vascular Study. Atherosclerosis. 219(1), 211–217.
- Takahashi Y., Satoh M., Minami Y., Tabuchi T., Itoh T., Nakamura M. (2010) Expression of miR-146a is associated with the Toll-like receptor 4 signal in coronary artery disease: effect of renin–angiotensin system blockade and statins on miRNA-146a/b and Toll-like receptor 4 levels. Clin. Sci. (Lond). 119(9), 395–405.
- Hamann L., Glaeser C., Schulz S., Gross M., Franke A., Nöthlings U., Schumann R.R. (2014) A micro RNA-146a polymorphism is associated with coronary restenosis. Int. J. Immunogenet. 41(5), 393–396.
- Jazdzewski K., Murray E.L., Franssila K., Jarzab B., Schoenberg D.R., de la Chapelle A. (2008) Common SNP in pre-miR-146a decreases mature miR expression and predisposes to papillary thyroid carcinoma. Proc. Natl. Acad. Sci. USA. 105(20), 7269–7274.
- Xiong X.D., Cho M., Cai X.P., Cheng J., Jing X., Cen J.M., Liu X., Yang X.L., Suh Y. (2014) A common variant in pre-miR-146 is associated with coronary artery disease risk and its mature miRNA expression. Mutat. Res. 761, 15–20.
- Alipoor B., Ghaedi H., Meshkani R., Omrani M.D., Sharifi Z., Golmohammadi T. (2018) The rs2910164 variant is associated with reduced miR-146a expression but not cytokine levels in patients with type 2 diabetes. J. Endocrinol. Invest. 41(5), 557–566.
- Cao J., Zhang K., Zheng J., Dong R. (2015) MicroRNA-146a and -21 cooperate to regulate vascular smooth muscle cell proliferation via modulation of the Notch signaling pathway. Mol. Med. Rep. 11(4), 2889–2895.
- Chu T., Xu X., Ruan Z., Wu L., Zhou M., Zhu G. (2022) miR-146a contributes to atherosclerotic plaque stability by regulating the expression of TRAF6 and IRAK-1. Mol. Biol. Rep. 49(6), 4205‒4216. https://doi.org/10.1007/s11033-022-07253-z
Supplementary files


