Сравнительный анализ ДНК-полимераз семейства А как инструмент поиска ферментов с новыми свойствами
- Авторы: Булыгин А.А.1,2, Кузнецова А.А.1, Федорова О.С.1, Кузнецов Н.А.1,2
-
Учреждения:
- Институт химической биологии и фундаментальной медицины Сибирского отделения Российской академии наук
- Новосибирский национальный исследовательский государственный университет
- Выпуск: Том 57, № 2 (2023)
- Страницы: 185-196
- Раздел: БИОНФОРМАТИКА, БИОНЖЕНЕРИЯ И БИОТЕХНОЛОГИЯ
- URL: https://ogarev-online.ru/0026-8984/article/view/138618
- DOI: https://doi.org/10.31857/S0026898423020040
- EDN: https://elibrary.ru/EGAVKM
- ID: 138618
Цитировать
Полный текст
Аннотация
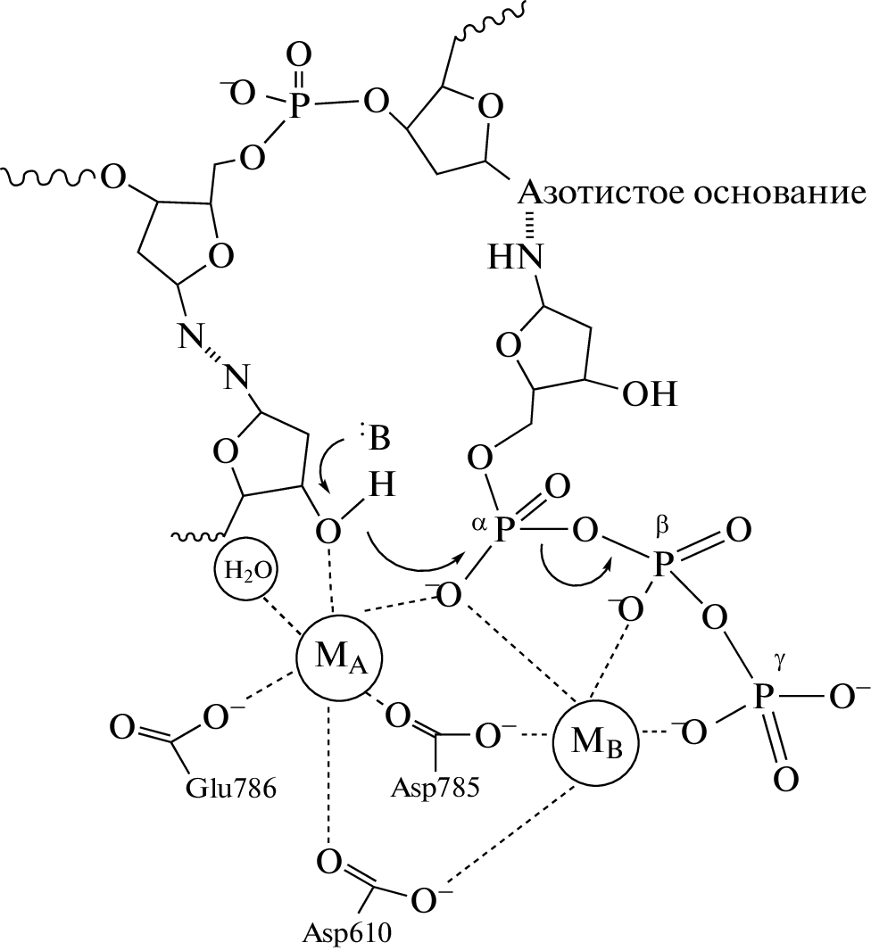
ДНК-полимеразы катализируют синтез ДНК при репликации, репарации и рекомбинации ДНК. Ряд ДНК-полимераз, например полимераза Taq из Thermus aquaticus, нашли применение в различных приложениях молекулярной биологии и биотехнологии, в частности, в качестве инструментов амплификации ДНК. Однако эффективность этих ферментов зависит от таких факторов, как происхождение ДНК, состав праймера, длина и GC-содержание матрицы, способность формировать стабильные вторичные структуры. Подобные ограничения делают актуальным поиск новых ферментов с улучшенными свойствами. В нашем обзоре рассмотрены основные структурные и молекулярно-кинетические особенности функционирования ДНК-полимераз, принадлежащих к структурному семейству А, включая Taq-полимеразу. Филогенетический анализ этих ферментов позволил установить высококонсервативный консенсусный “слепок”, содержащий 62 аминокислотных остатка, распределенных по структуре фермента. Сравнительный анализ этих аминокислотных остатков у малоизученных ДНК-полимераз позволил выявить семь ферментов, потенциально обладающих свойствами, необходимыми для их использования в амплификации ДНК.
Об авторах
А. А. Булыгин
Институт химической биологии и фундаментальной медицины Сибирского отделения Российской академии наук; Новосибирский национальный исследовательский государственный университет
Email: nikita.kuznetsov@niboch.nsc.ru
Россия, 630090, Новосибирск; Россия, 630090, Новосибирск
А. А. Кузнецова
Институт химической биологии и фундаментальной медицины Сибирского отделения Российской академии наук
Email: nikita.kuznetsov@niboch.nsc.ru
Россия, 630090, Новосибирск
О. С. Федорова
Институт химической биологии и фундаментальной медицины Сибирского отделения Российской академии наук
Email: nikita.kuznetsov@niboch.nsc.ru
Россия, 630090, Новосибирск
Н. А. Кузнецов
Институт химической биологии и фундаментальной медицины Сибирского отделения Российской академии наук; Новосибирский национальный исследовательский государственный университет
Автор, ответственный за переписку.
Email: nikita.kuznetsov@niboch.nsc.ru
Россия, 630090, Новосибирск; Россия, 630090, Новосибирск
Список литературы
- Nikoomanzar A., Chim N., Yik E.J., Chaput J.C. (2020) Engineering polymerases for applications in synthetic biology. Q. Rev. Biophys. 53, 1–31.
- Wu D.A.N.Y., Ugozzoli L., Pal B.K., Qian J.I.N., Wallace R.B. (1991) The effect of temperature and oligonucleotide primer length on the specificity and efficiency of amplification by the polymerase chain reaction. DNA Cell Biol. 10, 233–238.
- Owczarzy R., Moreira B.G., You Y., Behlke M.A., Walder J.A. (2008) Predicting stability of DNA duplexes in solutions containing magnesium and monovalent cations. Biochemistry. 47, 5336–5353.
- Garcia-Diaz M., Bebenek K. (2007) Multiple functions of DNA polymerases. CRC. Crit. Rev. Plant Sci. 26, 105–122.
- Alba M.M. (2001) Replicative DNA polymerases. Genome Biol. 2, 1–7.
- Rothwell P.J., Waksman G. (2005) Structure and mechanism of DNA polymerases. Adv. Protein Chem. 71, 401–440.
- Chien A., Edgar D.B., Trela J.M. (1976) Deoxyribonucleic acid polymerase from the extreme thermophile Thermus aquaticus. J. Bacteriol. 127, 1550–1557.
- Choi J.J., Jung S.E., Kim H.K., Kwon S.T. (1999) Purification and properties of Thermus filiformis DNA polymerase expressed in Escherichia coli. Biotechnol. Appl. Biochem. 30, 19–25.
- Lawyer F.C., Stoffel S., Saiki R.K., Chang S.Y., Landre P.A., Abramson R.D., Gelfand D.H. (1993) High-level expression, purification, and enzymatic characterization of full-length Thermus aquaticus DNA polymerase and a truncated form deficient in 5′ to 3′ exonuclease activity. Genome Res. 2, 275–287.
- Park J.H., Kim J.S., Kwon S.-T., Lee D.-S. (1993) Purification and characterization of Thermus caldophilus GK24 DNA polymerase. Eur. J. Biochem. 214, 135–140.
- Каледин А.С., Слюсаренко А.Г., Городецкий С.И. (1980) Выделение и свойства ДНК-полимеразы из экстремально-термофильной бактерии Thermus aquaticus YT1. Биохимия. 45, 644–651.
- Saiki R.K., Gelfand D.H., Stoffel S., Scharf S.J., Higuchi R., Horn G.T., Mullis K.B., Erlich H.A. (1988) Primer-directed enzymatic amplification of DNA with a thermostable DNA polymerase. Science. 239, 487–491.
- Arezi B., Xing W., Sorge J.A., Hogrefe H.H. (2003) Amplification efficiency of thermostable DNA polymerases. Anal. Biochem. 321, 226–235.
- Al-Soud W.A., Rådström P. (2001) Purification and characterization of PCR-inhibitory components in blood cells. J. Clin. Microbiol. 39, 485–493.
- Flaman J.-M., Frebourg T., Moreau V., Charbonnier F., Martin C., Ishioka C., Friend S.H., Iggo R. (1994) A rapid PCR fidelity assay. Nucl. Acids Res. 22, 3259–3260.
- Ling L.L., Keohavong P., Dias C., Thilly W.G. (1991) Optimization of the polymerase chain reaction with regard to fidelity: modified T7, Taq, and Vent DNA polymerases. Genome Res. 1, 63–69.
- Lee J.I., Kim Y.J., Bae H., Cho S.S., Lee J.-H., Kwon S.-T. (2010) Biochemical properties and PCR performance of a family B DNA polymerase from hyperthermophilic euryarchaeon Thermococcus peptonophilus. Appl. Biochem. Biotechnol. 160, 1585–1599.
- Harrell R.A., Hart R.P. (1994) Rapid preparation of Thermus flavus DNA polymerase. Genome Res. 3, 372–375.
- Carballeira N., Nazabal M., Brito J., Garcia O. (1990) Purification of a thermostable DNA polymerase from Thermus thermophilus HB8, useful in the polymerase chain reaction. Biotechniques. 9, 276–281.
- Yang S.-W., Astatke M., Potter J., Chatterjee D.K. (2002) Mutant Thermotoga neapolitana DNA polymerase I: altered catalytic properties for non-templated nucleotide addition and incorporation of correct nucleotides. Nucl. Acids Res. 30, 4314–4320.
- Steitz T.A. (1993) DNA- and RNA-dependent DNA polymerases. Curr. Opin. Struct. Biol. 3, 31–38.
- Steitz T.A. (1998) A mechanism for all polymerases. Nature. 391, 231–2323.
- Steitz T.A. (1999) DNA polymerases: structural diversity and common mechanisms. J. Biol. Chem. 274, 17395–17398.
- Joyce C.M. (2013) DNA polymerase I, Bacterial. in Encyclopedia of Biological Chemistry, 2nd ed. 87–90. Elsevier Inc.
- Betz K., Malyshev D.A., Lavergne T., Welte W., Diederichs K., Dwyer T.J., Ordoukhanian P., Romesberg F.E., Marx A. (2012) KlenTaq polymerase replicates unnatural base pairs by inducing a Watson-Crick geometry. Nat. Chem. Biol. 8, 612–614.
- Raper A.T., Reed A.J., Suo Z. (2018) Kinetic mechanism of DNA polymerases: contributions of conformational dynamics and a third divalent metal ion. Chem. Rev. 118, 6000–6025.
- Berdis A.J. (2009) Mechanisms of DNA polymerases. Chem. Rev. 109, 2862–2879.
- Brautigam C.A., Steitz T.A. (1998) Structural and functional insights provided by crystal structures of DNA polymerases and their substrate complexes. Curr. Biol. 8, 54–63.
- Ignatov K.B., Bashirova A.A., Miroshnikov A.I., Kramarov V.M. (1999) Mutation S543N in the thumb subdomain of the Taq DNA polymerase large fragment suppresses pausing associated with the template structure. FEBS Lett. 448, 145–148.
- Drum M., Kranaster R., Ewald C., Blasczyk R., Marx A. (2014) Variants of a Thermus aquaticus DNA polymerase with increased selectivity for applications in allele- and methylation-specific amplification. PLoS One. 9, e96640.
- Raghunathan G., Marx A. (2019) Identification of Thermus aquaticus DNA polymerase variants with increased mismatch discrimination and reverse transcriptase activity from a smart enzyme mutant library. Sci. Rep. 9, 590.
- Yamagami T., Ishino S., Kawarabayasi Y., Ishino Y. (2014) Mutant Taq DNA polymerases with improved elongation ability as a useful reagent for genetic engineering. Front. Microbiol. 5. 461.
- Minnick D.T., Bebenek K., Osheroff W.P., Turner R.M., Astatke M., Liu L., Kunkel T.A., Joyce C.M. (1999) Side chains that influence fidelity at the polymerase active site of Escherichia coli DNA polymerase I (Klenow fragment). J. Biol. Chem. 274, 3067–3075.
- Yamagami T., Matsukawa H., Tsunekawa S., Kawarabayasi Y., Ishino S., Ishino Y. (2016) A longer finger-subdomain of family A DNA polymerases found by metagenomic analysis strengthens DNA binding and primer extension abilities. Gene. 576, 690–695.
- Roberts R.J. (1995) On base flipping. Cell. 82, 9–12.
- Suzuki M., Yoshida S., Adman E.T., Blank A., Loeb L.A. (2000) Thermus aquaticus DNA polymerase I mutants with altered fidelity. J. Biol. Chem. 275, 32728–32735.
- Bernad A., Blanco L., Lázaro J., Martín G., Salas M. (1989) A conserved 3′→5′ exonuclease active site in prokaryotic and eukaryotic DNA polymerases. Cell. 59, 219–228.
- Park Y., Choi H., Lee D.S., Kim Y. (1997) Improvement of the 3′-5′ exonuclease activity of Taq DNA polymerase by protein engineering in the active site. Mol. Cells. 7, 419–424.
- Ignatov K., Kramarov V., Billingham S. (2009) Chimeric DNA polymerase. US20090209005A1, US
- Stenesh J., McGowan G.R. (1977) DNA polymerase from mesophilic and thermophilic bacteria. Biochim. Biophys. Acta – Nucl. Acids Protein Synth. 475, 32–41.
- Kevbrin V.V., Zengler K., Lysenko A., Wiegel J. (2005) Anoxybacillus kamchatkensis sp. nov., a novel thermophilic facultative aerobic bacterium with a broad pH optimum from the Geyser valley, Kamchatka. Extremophiles. 9, 391–398.
- Namsaraev Z., Babasanova O., Dunaevsky Y., Akimov V., Barkhutova D., Gorlenko V.M., Namsaraev B. (2010) Anoxybacillus mongoliensis sp. nov., a novel thermophilic proteinase producing bacterium isolated from alkaline hot spring, central Mongolia. Mикpoбиoлoгия. 79, 516–523.
Дополнительные файлы








