Модуляция активности азитромицина в отношении моновидовых и бинарных биопленок Staphylococcus aureus и Kytococcus schroeteri гормоном норадреналином
- Авторы: Дювенжи Е.В.1, Соловьев И.Д.1, Сухачева М.В.1, Неволина Е.Д.1, Овчарова М.А.1, Логинова Н.А.1, Мосолова А.М.1, Мартьянов С.В.1, Плакунов В.К.1, Ганнесен А.В.1
-
Учреждения:
- ФИЦ “Фундаментальные основы биотехнологии” Российской академии наук
- Выпуск: Том 93, № 6 (2024)
- Страницы: 732-744
- Раздел: ЭКСПЕРИМЕНТАЛЬНЫЕ СТАТЬИ
- URL: https://ogarev-online.ru/0026-3656/article/view/276140
- DOI: https://doi.org/10.31857/S0026365624060058
- ID: 276140
Цитировать
Аннотация
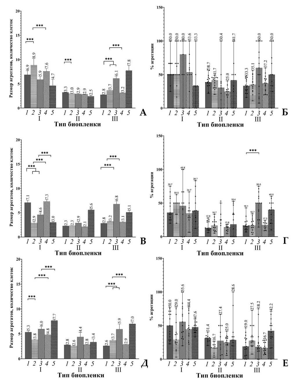
Исследовано действие норадреналина как вещества-модулятора активности антибиотика азитромицина в отношении моновидовых и бинарных биопленок представителей микробиоты человека Staphylococcus aureus и Kytococcus schroeteri в различных модельных системах. Показано, что гормон в концентрации 3.55 мкМ, в зависимости от системы культивирования и времени инкубации, способен как усиливать, так и ослаблять эффекты от действия азитромицина в субингибиторных концентрациях (0.001 и 4 мкг/мл). В случае быстро сформированных биопленок норадреналин ослабляет ингибирующее действие антибиотика, тогда как при наличии полной стадии адгезии, напротив, гормон усиливает ингибиторный эффект антибиотика. Не менее важным является фактор взаимодействия двух микроорганизмов в сообществе, поскольку присутствие K. schroeteri в сообществе изменяет эффект от действия 4 мкг/мл азитромицина в комбинации с норадреналином на S. aureus . Показано, что азитромицин и норадреналин, а также их комбинации способны менять экспрессию генов устойчивости не только к макролидам (повышение экспрессии гена mrx сочетанием 4 мкг/мл азитромицина и 3.55 мкМ норадреналина), но и к фторхинолонам (понижение экспрессии гена arlR и повышение – mdtK).
Полный текст
Об авторах
Е. В. Дювенжи
ФИЦ “Фундаментальные основы биотехнологии” Российской академии наук
Email: andrei.gannesen@gmail.com
Россия, Москва, 119071
И. Д. Соловьев
ФИЦ “Фундаментальные основы биотехнологии” Российской академии наук
Email: andrei.gannesen@gmail.com
Россия, Москва, 119071
М. В. Сухачева
ФИЦ “Фундаментальные основы биотехнологии” Российской академии наук
Email: andrei.gannesen@gmail.com
Россия, Москва, 119071
Е. Д. Неволина
ФИЦ “Фундаментальные основы биотехнологии” Российской академии наук
Email: andrei.gannesen@gmail.com
Россия, Москва, 119071
М. А. Овчарова
ФИЦ “Фундаментальные основы биотехнологии” Российской академии наук
Email: andrei.gannesen@gmail.com
Россия, Москва, 119071
Н. А. Логинова
ФИЦ “Фундаментальные основы биотехнологии” Российской академии наук
Email: andrei.gannesen@gmail.com
Россия, Москва, 119071
А. М. Мосолова
ФИЦ “Фундаментальные основы биотехнологии” Российской академии наук
Email: andrei.gannesen@gmail.com
Россия, Москва, 119071
С. В. Мартьянов
ФИЦ “Фундаментальные основы биотехнологии” Российской академии наук
Email: andrei.gannesen@gmail.com
Россия, Москва, 119071
В. К. Плакунов
ФИЦ “Фундаментальные основы биотехнологии” Российской академии наук
Email: andrei.gannesen@gmail.com
Россия, Москва, 119071
А. В. Ганнесен
ФИЦ “Фундаментальные основы биотехнологии” Российской академии наук
Автор, ответственный за переписку.
Email: andrei.gannesen@gmail.com
Россия, Москва, 119071
Список литературы
- Данилова Н. Д., Гераськина О. В., Дювенжи Е. В., Феофанов А. В., Плакунов В. К., Ганнесен А. В. Ингибирующее действие норадреналина на рост биопленок комменсала кожи человека Kytococcus schroeteri H01 // Микробиология. 2021. Т. 90. С. 618‒622.
- Danilova N. D., Geraskina O. V., Diuvenji E. V., Feofanov A. V., Plakunov V. K., Gannesen A. V. Inhibitory effect of norepinephrine on biofilm growth of the human skin commensal Kytococcus schroeteri H01 // Microbiology (Moscow). 2021. V. 90. P. 666‒669.
- Дювенжи Е. В., Неволина Е. Д., Мартьянов С. В., Журина М. В., Калмантаева О. В., Макарова М. А., Бочкова Е. А., Фирстова В. В., Плакунов В. К., Ган несен А. В. Бинарные биопленки Staphylococcus aureus 209Р и Kytococcus schroeteri H01: дуалистическая роль китококков и изменения клеточной адгезии в присутствии натрийуретического пептида А-типа // Микробиология. 2022. Т. 91. С. 597‒612.
- Diuvenji E. V., Nevol ina E. D., Mart’Yanov S.V., Zhurina M. A., Kalmantaeva O. V., Makarova M. A., Botchkova E. A., Firstova V. V., Plakunov V. K., Gannesen A. V. Binary biofilms of Staphylococcus aureus 209P and Kytococcus schroeteri H01: Dualistic role of kytococci and cell adhesion alterations in the presence of the A-type natriuretic peptide // Microbiology (Moscow). 2022. V. 91. P. 563‒576.
- Плакунов В. К., Мартьянов С. В., Тетенева Н. А., Журина М. В. Универсальный метод количественной характеристики роста и метаболической активности микробных биопленок в статических моделях // Микробиология. 2016. Т. 85. №. 4. С. 484‒489.
- Plakunov V. K., Mart’yanov S.V., Teteneva N. A., Zhurina M. V. A universal method for quantitative characterization of growth and metabolic activity of microbial biofilms in static models // Microbiology (Moscow). 2016. V. 85. P. 509‒513.
- Плакунов В. К., Николаев Ю. А., Ганнесен А. В., Чемаева Д. С., Журина М. В. Новый подход к выявлению защитной роли Esherichia coli в отношении грамположительных бактерий при действии антибиотиков на бинарные биопленки // Микробиология. 2019. Т. 88. С. 288‒296.
- Plakunov V. K., Nikolaev Y. A., Gannesen A. V., Chemaeva D. S., Zhurina M. V. A new approach to detection of the protective effect of Escherichia coli on Gram-positive bacteria in binary biofilms in the presence of antibiotics // Microbiology (Moscow). 2019. V. 88. P. 275‒281.
- Плакунов В. К., Стрелкова Е. А., Журина М. В. Персистенция и адаптивный мутагенез в биопленках // Микробиология. 2010. Т. 79. С. 447–458.
- P lakunov V. K., Strelkova E. A., Zhurina M. V. Persistence and adaptive mutagenesis in biofilms // Microbiology (Moscow). 2010. V. 79. P. 424‒434.
- Aepinus C., Adolph E., von Eiff C., Podbielski A., Petzsch M. Kytococcus schroeteri : a probably underdiagnosed pathogen involved in prosthetic valve endocarditis // Wien Klin. Wochenschr. 2008. V. 120. P. 46‒49.
- Becker K., Schumann P., Wullenweber J., Schulte M., Weil H. P., Stackebrandt E., Peters G., von Eiff C. Kytococcus schroeteri sp. nov., a novel Gram-positive actinobacterium isolated from a human clinical source // Int. J. Syst. Evol. Microbiol. 2002. V. 52. P. 1609‒1614.
- Cambronel M., Tortuel D., Biaggini K., Maillot O., Taupin L., Réhel K., Rince I., Muller C., Hardouin J., Feuilloley M., Rodrigues S., Connil N. Epinephrine affects motility, and increases adhesion, biofilm and virulence of Pseudomonas aeruginosa H103 // Sci. Rep. 2019. V. 9. Art. 20203.
- Chow L. K.M., Ghaly T. M., Gillings M. R. A survey of sub-inhibitory concentrations of antibiotics in the environment // J. Environ. Sci. 2021. V. 99. P. 21‒27.
- Clabaut M., Suet A., Racine P. J., Tahrioui A., Verdon J., Barreau M., Maillot O., le Tirant A., Karsybayeva M., Kremser C., Redziniak G., Duclairoir-Poc C., Pichon C., Chevalier S., Feuilloley M. G.J. Effect of 17β-estradiol on a human vaginal Lactobacillus crispatus strain // Sci. Rep. 2021. V. 11. Art. 7133.
- Coenye T., Peeters E., Nelis H. Biofilm formation by Propionibacterium acnes is associated with increased resistance to antimicrobial agents and increased production of putative virulence factors // Res. Microbiol. 2007. V. 158. P. 386–392.
- Diuvenji E. V., Nevolina E. D., Solovyev I. D., Sukhacheva M. V., Mart’yanov S.V., Novikova A. S., Zhurina M. V., Plakunov V. K., Gannesen A. V. A-Type natriuretic peptide alters the impact of azithromycin on planktonic culture and on (monospecies and binary) biofilms of skin bacteria Kytococcus schroeteri and Staphylococcus aureus // Microorganisms. 2023. V. 11. Art. 2965.
- Green B. N., Johnson C. D., Egan J. T., Rosenthal M., Griffith E. A., Evans M. W. Methicillin-resistant Staphylococcus aureus : an overview for manual therapists // J. Chiropr. Med. 2012. V. 11. P. 64–76.
- Heydorn A., Nielsen A. T., Hentzer M., Sternberg C., Givskov M., Ersbøll B. K., Molin S. Quantification of biofilm structures by the novel computer program COMSTAT // Microbiology (Reading). 2000. V. 146. P. 2395‒2407.
- Hosoda K., Shimomura H., Hayashi S., Yokota K., Hirai Y. Steroid hormones as bactericidal agents to Helicobacter pylori // FEMS Microbiol. Lett. 2011. V. 318. P. 68‒75.
- Lewis K. Persister cells // Annu. Rev. Microbiol. 2010. V. 64. P. 357‒372.
- Louis M., Clamens T., Tahrioui A., Desriac F., Rodrigues S., Rosay T., Harmer N., Diaz S., Barreau M., Racine P. J., Kipnis E., Grandjean T., Vieillard J., Bouffatrigues E., Cornelis P., Chevalier S., Feuilloley M. G.J., Lesouhaitier O . Pseudomonas aeruginosa biofilm dispersion by the human atrial natriuretic peptide // Adv. Sci. 2022. V. 9. Art. 2103262.
- Lyte M. Microbial endocrinology in the microbiome-gut-brain axis: how bacterial production and utilization of neurochemicals influence behavior // PLoS Pathog. 2013. V. 9. Art. e1003726.
- Mah T. F. Biofilm-specific antibiotic resistance // Future Microbiol. 2012. V. 7. Р. 1061‒1072.
- Mart’yanov S.V., Botchkova E. A., Plakunov V. K., Gannesen A. V. The impact of norepinephrine on mono-species and dual-species staphylococcal biofilms // Microorganisms. 2021. V. 9. Art. 820.
- N’Diaye A., Mijouin L., Hillion M., Diaz S., Konto-Ghiorghi Y., Percoco G., Chevalier S., Lefeuvre L., Harmer N. J., Lesouhaitier O., Feuilloley M. G. Effect of substance P in Staphylococcus aureus and Staphylococcus epidermidis virulence: implication for skin homeostasis // Front. Microbiol. 2016. V. 7. Art. 188414.
- Ovcharova M. A., Geraskina O. V., Danilova N. D., Botchkova E. A., Martyanov S. V., Feofanov A. V., Plakunov V. K., Gannesen A. V. Atrial natriuretic peptide affects skin commensal Staphylococcus epidermidis and Cutibacterium acnes dual-species biofilms // Microorganisms. 2021. V. 9. Art. 552.
- Ranieri M. R.M., Whitchurch C. B., Burrows L. L. Mechanisms of biofilm stimulation by subinhibitory concentrations of antimicrobials // Curr. Opin. Microbiol. 2018. V. 45. P. 164‒169.
- Sauer K., Stoodley P., Goeres D. M., Hall-Stoodley L., Burmølle M., Stewart P. S., Bjarnsholt T. The biofilm life cycle: expanding the conceptual model of biofilm formation // Nat. Rev. Microbiol. 2022. V. 20. P. 608‒620.
- Sharma D., Misba L., Khan A. U. Antibiotics versus biofilm: an emerging battleground in microbial communities // Antimicrob. Resist. Infect. Control. 2019. V. 8. Art. 76.
- Schaumburg F., Schmalstieg C., Fiedler B., Brentrup A., Omran H., Becker K. A bumpy road to the diagnosis of a Kytococcus schroeteri shunt infection // J. Med. Microbiol. 2013. V. 62. P. 165–168.
- Tong S. Y., Davis J. S., Eichenberger E., Holland T. L., Fowler V. G. Jr. Staphylococcus aureus infections: epidemiology, pathophysiology, clinical manifestations, and management // Clin. Microbiol. Rev. 2015. V. 28. P. 603‒661.
- Veron W., Lesouhaitier O., Pennanec X., Rehel K., Leroux P., Orange N., Feuilloley M. G. Natriuretic peptides affect Pseudomonas aeruginosa and specifically modify lipopolysaccharide biosynthesis // FEBS J. 2007. V. 274. P. 5852‒5864.
- Yousri T., Hawari M., Saad R., Langley S. Kytococcus schroeteri prosthetic valve endocarditis // BMJ Case Rep. 2010. V. 2010. Art. bcr0620103064.
Дополнительные файлы






















