Characteristics of Psychrotolerant Bacteria Isolated from Clay Organogenic Deposits of Mramorny Cave (Primorsky Territory)
- 作者: Rusakova D.A.1,2, Sidorenko M.L.1, Kim A.V.1,2
-
隶属关系:
- Federal Scientific Center of the East Asia Terrestrial Biodiversity, Far Eastern Branch of Russian Academy of Sciences
- Far Eastern Federal University
- 期: 卷 93, 编号 1 (2024)
- 页面: 79-90
- 栏目: EXPERIMENTAL ARTICLES
- URL: https://ogarev-online.ru/0026-3656/article/view/257721
- DOI: https://doi.org/10.31857/S0026365624010086
- ID: 257721
如何引用文章
全文:
详细
A cultivated community of bacteria of the genus Pseudomonas was researched in clayey organogenic deposits of the Mramorny Cave (Primorsky Territory). The bacterial strains studied in this work are eurythermal and psychrotolerant. Their phylogenetic affiliation was found by high throughput sequencing of 16S rRNA gene fragments. It is known that bacteria of the genus Pseudomonas represent all the Earth ecological niches and, accordingly, have a wide range of adaptive functions. Using microscopy methods, a change in the nature of mobility and the cell size stability with changes in the temperatures of cultivating bacteria were established. The studied strains are of scientific and practical interest due to the enzymatic activity detection to several substrates simultaneously at different temperatures (25 and 4℃), as well as the ability to secrete cold active pectinase, protease and lipase. However, phosphate-solubilizing activity both at 4 and at 25℃ became preferable for the strains. The Mramorny Cave is karst and is characterized by carbonate karst, which explains the preference for the studied strains in calcium phosphate. An analysis of the obtained data shows that the collection of cultivated bacteria obtained by us includes both typical psychrotolerant ones, which exhibit enzymatic activity under conditions of optimal growth temperature, and unique ones, capable of synthesizing a wide range of enzymes under conditions not characteristic of its optimum growth.
全文:
Пещеры являются специфической экосистемой: они обладают уникальным микроклиматом за счет отсутствия света, характеризуются постоянно низкой температурой (3‒4℃), высокой влажностью (до 100%) и недостатком органического вещества. Чтобы преодолеть факторы, ограничивающие рост, микроорганизмы вынуждены адаптироваться, создавая сложные, мутуалистические сети или конкуренцию. По этой причине пещерные микроорганизмы обладают специфичными вторичными метаболитами, которые потенциально могут быть использованы в различных сферах человеческой жизни (Lopes da Silva et al., 2019). Исследования с применением различных (культуральных, молекулярных) методов показывают, что Proteobacteria составляют значительную часть общего микробного разнообразия в пещерах. На уровне рода наиболее многочисленными являются роды Pseudomonas, Brevundimonas, Caulobacter и Bosea. Однако их численность и биоразнообразие зависят от эволюционной зрелости микробного сообщества, текущего уровня поступления чужеродных органических веществ и притока аллохтонной микрофлоры (Кузьмина и соавт., 2012; Jaroszewicz et al., 2021; Zhu et al., 2021; Kosznik-Kwaаnicka et al., 2022).
В Приморском крае описано около 90 доступных для человека пещер длиной более 20 м каждая. Наиболее многочисленными являются карстовые пещеры. Их образование, как следует из названия, связано с карстом — процессом растворения и выщелачивания горных пород водой. В Хасанском районе Приморского края в настоящее время известно более 10 пещер Барабашской свиты, приуроченных к выходам верхнепермских известняков. Одной из них является малоизученная пещера Мраморная, которая представляет интерес как пещерная экосистема, не испытывающая антропогенной нагрузки (Берсенев, 1990; 2017).
В последнее время наблюдается интерес к микробиому пещер, так как выделенные из этих мест обитания микроорганизмы обладают интересными свойствами, которые могут быть применимы в биотехнологической, медицинской и экологической отрасли (Ghosh et al., 2017; Jaroszewicz et al., 2021). Например, Pseudomonas frederiksbergensis RRC23 и Rhodococcus sp. RRC75, выделенные из пещеры Raspberry Rising (Канада), проявляли антимикробное действие против Escherichia coli 15–318 с множественной лекарственной устойчивостью (Ghosh et al., 2020). Штамм Bacillus subtilis CV16, выделенный из пещеры в восточной части Амазонки (Бразилия) имеет потенциал применения в цементирующих материалах, благодаря способности осаждать CaCO3 в виде кристаллов кальцита (Nicole et al., 2022). Pseudomonas sp. IB-K 13–1А, выделенный из пещеры Киндерлинской (Россия), обладал высокой способностью растворять различные соединения фосфора и производить ростостимулирующие соединения — ауксины (Кузьмина и соавт., 2015).
В связи с этим целью работы стало изучение физиологических и биохимических свойств бактерий рода Pseudomonas, выделенных из образцов глинистых органогенных отложений карстовой пещеры Мраморная (Приморский край).
МАТЕРИАЛЫ И МЕТОДЫ ИССЛЕДОВАНИЯ
Характеристика объекта исследования. В качестве объекта исследования использовали штаммы бактерий рода Pseudomonas, выделенные из образцов глинистых органогенных отложений карстовой пещеры Мраморная (Приморский край). Пещера Мраморная (Хасанский район, Приморский край) расположена в верховье реки Амба в 30 км к северо-западу от села Занадворовка (43.34456 N, 131.39599 E). Она находится у подножья сопки рядом с рекой Амба, имеет горизонтальный вход и вертикальный выход, обильно заполнена такими породами, как известняк и мрамор. Пещера является затапливаемой, за счет близкого расположения с рекой и вертикально расположенных отверстий в пещере, это подтверждает наличие костных останков лягушек и песчаного слоя в грунте.
Отбор проб проводили в весенний период времени (27.04.2021 г.) в стерильную герметичную емкость. Образцы почвы отбирали стерильными инструментами и помещали в стерильную посуду. Точечные пробы отбирали на пробной площадке из одного слоя методом конверта, с таким расчетом, чтобы каждая проба представляла собой часть почвы. Объединенную пробу составляли путем смешивания 5 точечных проб, отобранных на одной пробной площадке, массой от 200 до 250 г каждая, отобранных с глубины 5‒10 см. До начала работы образцы хранились в холодильнике при температуре от 4 до 5℃.
Для выделения и культивирования бактерий использовали питательную среду ГРМ-агар (ФБУН ГНЦ ПМБ, Оболенск). Почвы обрабатывали стандартным методом посева аликвот из серийных разведений суспензии на поверхность питательной среды. Чашки с посевным материалом инкубировали при температуре 4℃, близкой к климатическим условиям пещеры.
Микроскопирование. Морфологию клеток бактерий исследовали в мазках, окрашенных по Граму, с помощью микроскопа Carl Zeiss Axioskop 40 (Германия) на объективах 40× и 100× с применением иммерсионной системы в режиме фазового контраста. Подвижность бактерий наблюдали в препарате “раздавленная капля” (Нетрусов и соавт., 2005).
Определение температурного оптимума. Оптимальную температуру роста выделенных штаммов определяли при температурах культивирования 4, 10, 15 25, 30 и 37℃ на среде с ГРМ-бульоном (ФБУН ГНЦ ПМБ, Оболенск). Концентрацию бактериальной массы измеряли методом прямого подсчета клеток в камере Горяева, далее фиксировали изменение концентрации на 3, 6, 8 и 10-е сутки при помощи цифрового фотоэлектроколориметра APEL AP-101 (Япония). Концентрацию биомассы С (КОЕ/мл) высчитывали по формуле для построения кривых роста:
(1)
где а — сумма клеток, подсчитанная в 5 (или 10) больших квадратах сетки; b — разведение исходного субстрата; с — число малых квадратов, в которых производился подсчет.
Удельную скорость роста штамма определяли по формуле:
(2)
где μ — удельная скорость роста микроорганизмов (ч-1); х0 и х — начальная и конечная концентрация микробных клеток (КОЕ/см3); t — время культивирования микроорганизмов (ч) (Фирсова, 2019).
Выявление ферментативных свойств. Для детальной характеристики особенностей метаболизма исследуемых бактерий, выявления у них внеклеточных ферментов (протеазы, пектиназы и липазы) и способности растворять труднорастворимые соединения фосфора применяли диско-диффузионный метод. Бумажные диски диаметром 5 мм пропитывали бактериальной суспензией, накладывали на поверхности агаризованных сред, содержащих в качестве источника питания один из субстратов. Ферментативную активность оценивали по зоне гало вокруг колоний бактерий (зоны гидролиза для оценки протеолитической активности, зоны помутнения при определении липолитической активности и зоны просветления при определении пектиназной активности). Результаты учитывали в мм. Скрининг ферментативной активности проводили при температуре инкубирования 4 и 25℃.
Для определения протеолитической активности применяли молочный агар Эйкмана (г/л): СаСО3–1.0; К2НРО4–0.2; пептон — 5.0; дрожжевой экстракт — 5.0; агар — 30.0; молоко обезжиренное — 5.0 (Нетрусов и соавт., 2005).
Для определения пектиназной активности применяли питательную среду с содержанием пектина (г/л): пектин — 5.0; триптон — 5.0; дрожжевой экстракт — 5.0; NaCl — 5.0; агар — 15.0 (Roy K et al., 2018).
Для определения липазной активности применяли среду следующего состава (г/л): триптон — 10.0; дрожжевой экстракт — 5.0; агар — 20.0; отдельно добавляли стерильный липидный гомогенизат (теплая дистиллированная вода ‒ 400 мл; оливковое масло ‒ 100 мл; Твин 80–1 мл) в объеме 30 мл на 1 л среды (Нетрусов и соавт., 2005).
Тест на способность мобилизировать неорганический фосфат проводили на среде Пиковской (г/л): глюкоза — 20.0; NaCl — 0.2; CaPO4–5.0; MgSO4 · 7H2O — 0.1; MnSO4 · 7H2O — следы; FeSO4 · 7H2O– следы; агар — 20.0 (Кадырова и соавт., 2022).
Определение гликолитической активности осуществляли на дифференциально-диагностических средах Гисса (ФБУН ГНЦ ПМБ, Оболенск). В качестве углеводных субстратов использовали глюкозу, лактозу, сахарозу, манит, сорбит, дульцит, мальтозу, арабинозу, инозит, ксилозу, рамнозу и фруктозу. Результаты учитывали по способности бактерий утилизировать сахара с образованием кислоты, что приводит к изменению цвета среды.
Молекулярно-генетическая идентификация бактерий и филогенетический анализ. Геномную ДНК из культур бактерий выделяли с помощью коммерческого набора НК-сорбент Base (“Литех”, Россия), согласно протоколу производителя. Анализ фрагмента гена 16S рРНК проводили с использованием набора реагентов БиоМастер HS-Taq ПЦР-Color (2×) (“Биолабмикс”, Россия) и универсальных бактериальных праймеров 27F (5'-AGAGTTTGATCATGGCTCAG-3') и 1350R (5'-GACGGGCGGTGTGTACAAG-3'). Амплификацию осуществляли на приборе Т100 Thermal Cycler (“BioRad”, США) в следующем режиме: 94℃ — 4 мин (1 цикл); 94℃ — 60 с, 48℃ — 60 с, 72℃ — 90 с (5 циклов); 92℃ — 60 с, 50℃ — 110 с, 72℃ — 90 с (10 циклов); 92℃ — 60 с, 52℃ — 60 с, 72℃ — 60 с (10 циклов); 92℃ — 60 с, 54℃ — 60 с, 72℃ — 110 с (10 циклов); 72℃ — 10 мин (1 цикл). Продукты ПЦР разделяли в электрофорезной камере (при напряженности поля около 2 В/см) в 1% агарозном геле с добавлением этидиум бромида; результаты учитывали на трансиллюминаторе под ультрафиолетовым излучением. Для очистки продуктов амплификации от остатков реакционной смеси использовали набор ExoSAP-IT Express (“Thermo FS”, США).
Полученные ПЦР-продукты секвенировали по методу Сэнгера, используя набор реактивов Big Dye Terminator v.3.1 Cycle Sequencing Kit (“Thermo FS”, США) для подготовки нуклеотидных последовательностей к прочтению на генетическом анализаторе Нанофор 05 (“Синтол”, Россия). Секвенирование проводили на базе лаборатории морской микробиологии ИМО ДВФУ. Филогенетический анализ осуществляли путем поиска гомологичных последовательностей в международном банке данных (GenBank) с помощью программы BLAST (Altschul et al., 1997) (http://www.ncbi.nlm.nih.gov/blast). Редактирование последовательностей выполнено в редакторе BioEdit; для выравнивания последовательностей использовали алгоритм программы CLUSTAL W (http://www.genebee.msu.su/clustal). Филогенетическое дерево построено с использованием метода ближайших соседей (neighbor-joining) на основе алгоритма Kimura two-parameters в программе MEGA 11 (Kumar et al., 2016). Показатель достоверности порядка ветвления определяли на основании bootstrap — анализа 100 альтернативных деревьев.
В работе использовали научное оборудование Центра коллективного пользования “Биотехнология и генетическая инженерия” на базе ФНЦ Биоразнообразия ДВО РАН.
Статистическая обработка результатов. Выполняли не менее трех независимых экспериментов, как минимум в двух повторностях. Статистическую обработку данных проводили с помощью дисперсионного анализа (ANOVA) (при уровне значимости p ≤ 0.05), вычисляли статистику центра (медиану) и статистику диапазона (квартиль). Выбранные значения изображали на диаграмме размаха с применением программы Statistica 13 и Microsoft Excel 2007.
РЕЗУЛЬТАТЫ И ОБСУЖДЕНИЕ
Бактерии рода Pseudomonas описаны давно (Palleroni et al., 1973). Как правило, они встречаются повсеместно в почве (Lujаn et al., 2015), воде (Majorina et al., 2022) и ризосфере некоторых растений (Molina et al., 2020). Описано также их присутствие в карстовых пещерах разных регионов мира — Лешу (Румыния) (Bogdan et al., 2023), Каповой (Россия) (Галимзянова и соавт., 2020), Майорке (Испания) (Busquets et al., 2021) и в неэксплуатируемых пещерах природного заповедника Куанкуошуй, Цзуньи, провинции Гуйчжоу (Китай) (Zhu et al., 2021). Известно, что бактерии рода Pseudomonas широко используются в хозяйственной практике для производства антибиотиков, извлечения остаточной нефти из скважин, для борьбы с загрязнением окружающей среды, а также в качестве моделей для многочисленных теоретических исследований, среди них встречаются психрофильные формы (Щербаков и соавт., 2017; Глушаковa и соавт., 2021; Сидоренко, Русакова, 2022).
Филогенетический анализ. В результате культивирования на ГРМ-агаре глинистых органогенных отложений карстовой пещеры Мраморная были выделены 13 штаммов бактерий. Для определения их таксономической принадлежности для каждого штамма были секвенированы последовательности гена 16S рРНК размером от 1100 до 1310 нуклеотидов и депонированы в NCBI (табл. 1).
Таблица 1. Филогенетическая принадлежность бактерий рода Pseudomonas, выделенных из проб глинистых органогенных отложений пещеры Мраморная, на основе поиска ближайших родственников, полученных нуклеотидных последовательностей гена 16S рРНК в базе данных GenBank
Штамм | Номер в NCBI | Длина фрагмента, п. н. | Процент гомологии | Гомолог |
МР10 | OR352475 | 1160 | 99.48 | Pseudomonas brassicacearum ICMP 14356 (MK356421) |
МР16 | OR352477 | 1120 | 99.88 | Pseudomonas arsenicoxydans Y24–2 (MH817850) |
МР20.1 | OR352478 | 1270 | 99.35 | Pseudomonas gessardii YL-179 (OK135846) |
МР11 | OR352479 | 1190 | 98.73 | Pseudomonas gessardii YL-179 (OK135846) |
МР24.2 | OR352480 | 1260 | 99.21 | Pseudomonas fragi 8d-S10 (MN062067) |
МР2 | OR352481 | 1195 | 99.75 | Pseudomonas lini KNUC164 (DQ424866) |
МР25 | OR352482 | 1310 | 98.52 | Pseudomonas sp. PAMC27331 (MT555369) |
МР17 | OR352483 | 1300 | 99.69 | Pseudomonas fluorescens CP DB12 (MH304227) |
МР1 | OR352484 | 1100 | 99.64 | Pseudomonas lini KNUC164 (DQ424866) |
МР5 | OR352485 | 1280 | 99.77 | Pseudomonas sp. MDT1–85 (JX949570) |
МР3 | OR352486 | 1280 | 98.70 | Pseudomonas frederiksbergensis MRC ER1 49 (ОК605778) |
МР24.1 | OR352487 | 1300 | 99.70 | Pseudomonas fragi 8d-S10 (MN062067) |
МР4 | OR352476 | 1300 | 99.61 | Pseudomonas mandelii SY03134 (KT369882) |
Филогенетический анализ полученных последовательностей показал, что все они относятся к роду Pseudomonas (рис. 1).
Рис. 1. Филогенетическое дерево, построенное на основе анализа последовательностей фрагментов гена 16S рРНК штаммов бактерий, выделенных из органогенных отложений пещеры Мраморная, показывающее их положение среди представителей рода Pseudomonas. Дендрограмма построена на основе алгоритма метода объединения ближайших соседей (NJ). Масштаб соответствует двум нуклеотидным заменам на каждые 100 п. н. Представлены значения бутстреп поддержки выше 50%
Сравнительный анализ нуклеотидных последовательностей показал, что исследуемые гены штаммов МР5 и МР25 гомологичны на 99.77 и 98.52% последовательностям Pseudomonas sp. MDT1–85 и Pseudomonas sp. PAMC27331 соответственно. Pseudomonas sp. MDT1–85 ранее был выделен из ледника, а Pseudomonas sp. PAMC27331 из Антарктической почвы.
Ближайшим родственником штамма МР3 является P. frederiksbergensis MRC ER1 49 (сходство 98.70%), выделенный из ризосферы оливкового дерева. Ферментативная активность бактерий этого вида хорошо изучена. Известно, что P. frederiksbergensis является эффективным биоинокулянтом для повышения устойчивости растений к холодовому стрессу (Chatterjee et al., 2017), а также способен расти при 4 и 30℃, но не при 37℃ (Andersen et al., 2000).
Штаммы МР1 и МР2 близки Pseudomonas lini KNUC164, выделенному из ризопланы дикорастущих злаков. Данный вид мало изучен, отмечено несколько работ, посвященных его способности растворять фосфатные соединения и выделять ростостимулирующие вещества (Sandhya et al., 2017). P. lini растет при температуре от 4 до 36℃, но не при 41℃ (Delorme et al., 2002).
Нуклеотидная последовательность гена 16S рРНК штамма МР16 гомологична на 99.88% последовательности штамма P. arsenicoxydans Y24–2, выделенного из образцов донных отложений долины Камаронес в пустыне Атакама и проявляющего способность окислять арсенит. Температурный диапазон роста P. arsenicoxydans ‒ 4–37℃. (Campos et al., 2010).
Штамм МР4 близок P. mandelii SY03134 (сходство 99.61%), который был выделен из образцов почвы горы Цилиан в Китае. Необходимо отметить, что в литературе P. mandelii характеризуется как психрофил, обладающий адаптированными к холоду глюкозо-6-фосфатдегидрогеназами, участвующими в пентозофосфатном пути (DangThu, et al., 2020).
Штаммы МР24.1 и МР24.2 кластеризуются в одну группу и близки P. fragi 8d-S10 со сходством 99.70 и 99.21% соответственно. Примечательно, что штамм P. fragi 8d-S10 является факультативным психрофилом, способным расти в диапазоне температур от 0 до 30℃ (Bao et al., 2023).
Анализ последовательностей гена 16S рРНК штаммов МР11 и МР20.1 продемонстрировал их сходство с P. gessardii YL-179 на уровне 98.73 и 99.35% соответственно. Данный вид бактерий известен своей термоустойчивой протеолитической способностью. Так же термостабильную протеазу продуцируют бактерии вида P. fluorescens. Оптимальная температура роста для этих видов составляет выше 20℃, однако они могут расти в диапазоне температур 4–42℃. (Meng et al., 2017). Одному из штаммов этого вида бактерий, а именно: P. fluorescens CP DB12, на 99.48% близок штамм МР17 выделенный из органогенных отложений пещеры Мраморная.
Штамм МР10 является ближайшим родственником P. brassicacearum ICMP 14356 (сходство 99.48%), выделенного из некрозного участка стебля томата. Бактерии вида P. brassicacearum, содержащие 1-аминоциклопропан-1-карбоксилатдезаминазу, при взаимодействии с томатом могут проявлять как патогенные, так и ростостимулирующие свойства (Belimov et al., 2007). Диапазон роста для этого вида составляет от 5 до 37℃, при этом незначительный рост отмечен при 40℃ на сложной среде Луриа‒Бертани (Zachow et al., 2017).
Таким образом, представители рода Pseudomonas встречаются в большом количестве во всех основных природных средах (наземных, пресноводных и морских), а также образуют тесные связи с растениями и животными. Это универсальное распространение предполагает высокую степень физиологической и генетической приспособляемости, что может являться фактором проявления широкого спектра биохимических свойств.
Исходя из результатов определения сходства последовательностей генов 16S рРНК, а также из сравнения с типовыми штаммами P. brassicacearum DBK11, P. arsenicoxydans VC-1, P. gessardii CIP 105–469, P. fragi ATCC13525, P. lini DLE411J, P. fluorescens ATCC1325, P. frederiksbergensis JAJ28, P. mandelii CIP 10523, можно сделать вывод о принадлежности исследуемых бактерий к роду Pseudomonas.
Использование источников углерода. Для псевдомонад описаны различные свойства: способность фиксировать азот, растворять фосфаты (Sandhya et al., 2017), синтезировать протеазы, липазы и другие ферменты (Meng et al., 2017; Pabai et al., 1995; Ramani et al., 2010). Для рода Pseudomonas характерны следующие сахаролитические свойства — большинство видов используют сахарозу, арабинозу, маннозу и маннит в качестве углеводного источника. (Определитель бактерий …, 1997). В данной работе исследовали гликолитическую активность на ряд углеводов (расширенный ряд Гисса) при двух режимах культивирования при 4 и 25℃. В результате установлено, что для всех исследуемых штаммов характерна гликолитическая активность в отношении сорбита, сахарозы, лактозы, маннита, мальтозы, глюкозы и ксилозы при 25℃. При 4℃ спектр субстратов, доступных для окисления, сужается до сорбита, сахарозы, лактозы, маннита, мальтозы и рамнозы. Отмечено отсутствие реакции у всех исследуемых штаммов при 25℃ в присутствии дульцита, а при 4℃ — вышеупомянутого, инозита и фруктозы. Для отдельных штаммов наблюдали изменение метаболической реакции в зависимости от температуры. Так, при 4℃ отсутствует ферментация фруктозы у штаммов МР24, МР25, МР17, глюкозы и ксилозы — у штамма МР16, ксилозы и инозита — МР10 и инозита у МР20.1. При 25℃ отмечена отрицательная реакция при культивировании на средах, содержащих рамнозу у штамма МР17. Таким образом, гликолитическая активность исследуемых бактерий зависит от температуры, однако на ферментативный аппарат, отвечающий за гликолиз штамма МР24.2, температура культивирования не оказывает влияния.
Морфологические, культуральные и биохимические свойства. Исследуемые бактерии рода Pseudomonas имели цвет колоний от прозрачного до бежевого и не образовывали пигмент при росте на ГРМ-агаре. Все штаммы отличались по своим культуральным, морфологическим и тинкториальным свойствам (табл. 2).
Таблица 2. Культуральные и морфологические характеристики исследуемых штаммов
Штамм | Температурный оптимум, C | Морфология колонии | Микроскопические характеристики (4С) | Микроскопические характеристики (25С) | |||||||||||
Цвет | Диаметр, мм | Поперечного сечения | Поверхность | Край | Пигмент | Окраска по Граму (+/–) | Форма | Размер, мкм | Подвижность | Окраска по Граму (+/–) | Форма | Размер, мкм | Подвижность | ||
МР1 | 25 | Белый | 1–3 | Плоская | Глянцевая | Ровный | Отсутствует | – | Палочки | 0.73–1.55 | Слабо-подвижные | – | Палочки | 0.73–1.55 | Слабо-подвижные |
МР2 | 37 | Прозрачно-бежевый | 3–5 | Плоская | Глянцевая | Ровный | – | Палочки | 1.11–2.14 | Слабо-подвижные | – | Палочки | 1.12–2.13 | Слабо-подвижные | |
МР4 | 4 | Прозрачно-серый | 10–15 | Плоская | Глянцевая | Неровный | – | Палочки | 1.68–1.80 | Подвижные | – | Палочки | 1.84–5.60 | Слабо-подвижные | |
МР5 | 4 | Бежевый | 1–3 | Плоская | Глянцевая | Ровный | – | Палочки | 0.74–1.53 | Подвижные | – | Палочки | 0.74–1.51 | Слабо-подвижные | |
МР25 | 25 | Серый | 3–5 | Кратерообразная | Глянцевая | Ровный | – | Палочки | 0.74–1.53 | Подвижные | – | Палочки | 0.72–1.51 | Подвижные | |
МР16 | 37 | Белый | 2–4 | Плоская | Глянцевая | Ровный | – | Палочки | 0.68–1.76 | Подвижные | – | Палочки | 0.70–1.75 | Подвижные | |
МР10 | 4 | Прозрачно-белый | 3–4 | Плоская | Глянцевая | Ровный | – | Палочки | 0.62–1.42 | Подвижные | – | Палочки | 0.62–1.44 | Подвижные | |
МР3 | 25 | Белый | 10–16 | Плоская | Матовая | Неровный | – | Палочки | 1.05–1.20 | Подвижные | – | Палочки | 1.35–5.60 | Подвижные | |
МР24.1 | 25 | Светло-бежевый | 14–16 | Плоская | Матовая | Неровный | – | Палочки | 0.54–0.78 | Подвижные | – | Палочки | 0.54–0.76 | Подвижные | |
МР24.2 | 25 | Светло-бежевый | 11–15 | Плоская | Матовая | Ровный | – | Палочки | 0.56–0.80 | Подвижные | – | Палочки | 0.30–0.81 | Подвижные | |
МР17 | 4 | Серый | 2–5 | Выпуклая | Глянцевая | Ровный | – | Палочки | 0.68–1.76 | Подвижные | – | Палочки | 0.66–1.77 | Слабо-подвижные | |
МР11 | 25 | Прозрачно-белый | 5–8 | Выпуклая | Глянцевая | Ровный | – | Палочки | 0.64–1.43 | Подвижные | – | Палочки | 0.66–1.44 | Подвижные | |
МР20.1 | 25 | Белый | 10–13 | Плоская | Матовый | Ровный | – | Палочки | 0.58–0.86 | Слабо-подвижные | – | Палочки | 0.59–0.85 | Подвижные | |
Известно, что температура может оказывать влияние на размер бактериальной клетки (Shehata, Marr, 1975). В наших исследованиях отмечено, что температура культивирования не оказывала влияния на размер бактериальных клеток большинства штаммов: их длина, независимо от температуры, варьировала от 0.54 до 2.14 мкм у разных изолятов (рис. 2). Исключение составили два штамма (МР3, МР4), у которых при изменении температуры с 4 на 25℃ клетки увеличивались в размерах с 1.2–1.8 до 5.6 мкм.
Рис. 2. Клеточная морфология штамма МР4 при 25℃ (а) и 4℃ (б). Маcштабные метки — 5 мкм
Для бактерий, живущих в сложной и ограниченной по питательным веществам среде, способность мигрировать в благоприятную среду (хемотаксис) имеет большое значение для выживания (Воротников, 2011). Наши исследования показали изменение подвижности клеток штаммов в зависимости от температуры. Так, клетки штаммов МР4, МР5, МР3, МР17 при 4℃ осуществляли плавательное направленное движение, при этом бактерии управляли своим движением, меняя направление вращения базального тела, а при 25℃ активность заметно снижалась и приобретала характер движения твитчинг (дергающее). Штамм МР20.1, напротив, при 25℃ осуществлял плавательное движение, а при 4℃ — дергающее. Бактерии МР10 при 4℃ осуществляли дергающее движение, а при 25℃ — круговое. Согласно полученным данным и анализу литературных сведений (McBride, 2001; Цыганов и соавт., 2021), полагаем, что у большинства исследуемых штаммов в условиях холода активируются защитные механизмы, позволяющие им активно двигаться в поиске нового источника энергии. В роли защитного механизма может выступать формирование нетрадиционных локомотивных органов — изменение синтеза белков-рецепторов, ответственных за таксис; белков флагелина, способного самоорганизовываться в филаменты бактериальных жгутиков; трансформация количества жгутиков и формы их базального тела и др.
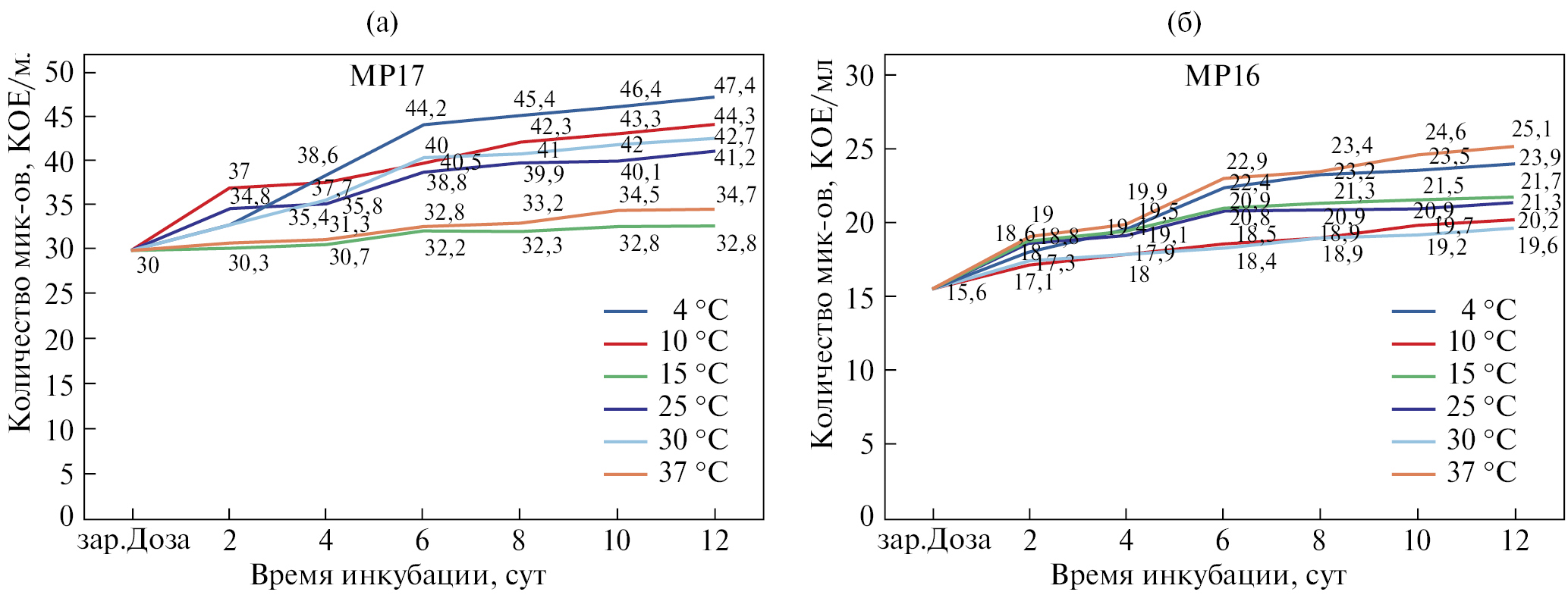
Одной из важнейших характеристик обитающих в пещере микроорганизмов является температурный диапазон роста. Температурный оптимум роста всех исследуемых бактерий находился в пределах 4–25℃. При 30 и 37℃ увеличение концентрации бактериальных клеток для большинства штаммов не наблюдали. Исключение составили штаммы МР16 и МР2, темпы роста которых заметно увеличивались при 37℃ на протяжении всего времени культивирования (рис. 3б). На рис. 3а представлены кривые роста штамма МР 17, демонстрирующие характер роста большинства штаммов при разных температурах.
Рис. 3. Кривые роста представителей психротрофной культуры Pseudomonas sp. МР17 (а) и эвритермной культуры Pseudomonas sp. МР16 (б) при исследуемых температурах
Таким образом, в пещере Мраморная присутствуют как психротолерантные, так и эвритермные бактерии рода Pseudomonas. При этом психротолерантные бактерии являются преобладающими формами, среди исследуемых штаммов. Это подтверждается низким уровнем удельной скорости роста при 37℃ в сравнении с удельной скоростью роста при 4 и 25℃ (рис. 4а), где диапазон средних значений удельной скорости роста основного пула исследуемых штаммов составил от 0.0023 до 0.0098 ч-1 (при 37℃) и от 0.0065 до 0.0125 ч-1 (при 4 и 25℃).
Рис. 4. Диапазон значений удельной скорости роста (а) и прироста биомассы клеток (б) для всех исследуемых штаммов при различных температурах
При этом размах от минимального до максимального значения при 4℃ имел широкий диапазон и составил от 0.0050 до 0.0150 ч-1, что, вероятно, связано с адаптированными к холодным условиям свойствами исследуемых штаммов. Вследствие чего прирост биомассы при 37℃ имел наименьшие значения подавляющего большинства исследуемых штаммов, с концентрацией от 0.20 до 0.75 КОЕ/мл (рис. 4б). При 4 и 25℃ диапазон значений основной массы исследуемых бактерий имел от 0.70 до 1.40 КОЕ/мл. Сопоставимые данные получены для карстовых пещер Средней Сибири, так как выделенные изоляты не были способны расти при температуре 29℃ (Воробьева и соавт., 2012). В то же время работы других исследователей указывают на то, что независимо от температурного оптимума роста, пещерные бактериальные изоляты способны хорошо расти при температурах от 13 до 45℃ (Laiz et al., 2003). Противоречивые данные могут быть свидетельством индивидуальной особенности системы пещер, так как каждая пещера уникальна с точки зрения биологических, химических и физических характеристик. Доступность солнечного света, воды, питательных веществ, воздушный поток и взаимодействие с организмами, живущими вне пещер, различны в каждой пещерной зоне и влияют на микрофлору, которая может там развиваться и выживать (Ryan, Meiman, 2004).
Все исследуемые штаммы являются грамотрицательными, оксидазо- и каталазоположительными палочками. Поскольку известно, что оксидаза служит катализатором окислительно-восстановительных реакций, а каталаза участвует в клеточной антиоксидантной защите бактерий, разлагая перекись водорода и осуществляя транспорт электронов (Рязанцева, 2011), мы предполагаем, что исследуемые штаммы способны участвовать в окислительно-восстановительных процессах, при этом обладают защитным свойством в отношении окислительного стресса.
Ферментативная активность. В результате исследования установили, что экспериментальные штаммы проявляли протеолитическую, липазную, пектиназную и фосфатсолюбилизирующую активности, зависящие от температурных режимов культивирования (табл. 3).
Таблица 3. Ферментативная активность исследуемых штаммов бактерий рода Pseudomonas, выделенных из органогенных отложений пещеры Мраморная (Приморский край)
Наименование штамма | Диаметр зоны активности штаммов, мм | |||||||
Протеолитическая | Пектиназная | Липазная | Фосфат-солюбилизирующая | |||||
4C | 25C | 4C | 25C | 4C | 25C | 4C | 25C | |
МР10 | 20 | 26 | 0 | 17 | 0 | 17 | 12 | 21 |
МР16 | 13 | 0 | 17 | 0 | 17 | 0 | 14 | 20 |
МР2 | 0 | 0 | 0 | 0 | 0 | 0 | 0 | 0 |
МР11 | 28 | 28 | 0 | 0 | 0 | 0 | 22 | 30 |
МР1 | 0 | 18 | 15 | 28 | 15 | 28 | 18 | 18 |
МР20.1 | 25 | 20 | 0 | 20 | 0 | 20 | 14 | 19 |
МР24.2 | 16 | 21 | 0 | 35 | 0 | 35 | 25 | 15 |
МР4 | 0 | 0 | 30 | 20 | 30 | 20 | 14 | 19 |
МР25 | 17 | 21 | 31 | 0 | 31 | 0 | 15 | 16 |
МР17 | 27 | 28 | 24 | 0 | 24 | 0 | 19 | 20 |
МР3 | 0 | 14 | 20 | 10 | 20 | 10 | 15 | 25 |
МР24.1 | 13 | 0 | 18 | 0 | 18 | 0 | 20 | 0 |
МР5 | 0 | 21 | 0 | 0 | 0 | 0 | 15 | 0 |
Так, повышенную протеолитическую активность культуры чаще проявляли при 25℃, однако некоторые штаммы (МР16, МР20.1, МР24.1) демонстрировали ее при 4℃. При снижении температуры у штаммов МР16 и МР24.1 проявлялась способность к деструкции белоксодержащих субстратов. Так, при культивировании этих штаммов в холодных условиях (4℃) выявили протеазную активность, тогда как при 25℃ ее не наблюдали. Протеолитическая активность обнаружена у штаммов МР10, МР11, МР24.2, МР25, МР17, МР20.1 при 4 и 25℃, однако для большинства из этих штаммов зона гидролиза при 25℃ превышала значения, выявленные при 4℃. Вероятно, протеаза, синтезируемая этими бактериями, более термостабильна, так как температурный диапазон ее проявления лежит в пределах от 4 до 25℃. Штаммы МР5, МР3, МР1 проявили протеолитическую активность только при 25℃. При этом температурный оптимум роста для МР3 и МР1 составил 25℃, а для штамма МР5 – 4℃.
Большинство исследуемых штаммов проявляли высокоспецифичную и зависящую от условий культивирования пектиназную активность. Так, холодоактивную пектиназу обнаружили у четырех штаммов (МР16, МР25, МР17, МР24.1), а у трех штаммов (МР10, МР20.1, МР24.2) — пектиназную активность с температурным оптимумом 25℃. Часть штаммов обладала термотолерантной пектиназной: ферментативная активность одновременно выявлена при 4 и 25℃ у штаммов МР1, МР4, МР3.
Штаммы МР10, МР11, МР20.1, МР25, МР17, МР5 демонстрировали липолитическую активность при 4 и 25℃. Холодоактивную липолитическую активность в отношении оливкового масла и твина — 80 обнаружили у штаммов МР16, МР4. При 25℃ липолитическую активность проявили штаммы МР1 и МР3. Наибольшей активностью обладает штамм МР25.
Фосфат-солюбилизирующую активность при 4 и 25℃ проявили все исследуемые штаммы. При этом исключение составили: штаммы МР2 (при 4℃), МР24.1 и МР5 (при 25℃), которые свойства растворять фосфат кальция не проявили. Наибольшая зона просветления выявлена у штамма МР11 при 25℃ и составила 30 мм. Высокий показатель способности исследуемых штаммов солюбилизировать фосфат кальция, является еще одним показателем приспособляемости исследуемых штаммов к условиям пещеры, так как одной из характерных особенностей многих карстовых пещер является образование карбоната кальция в грунте.
Таким образом, среди бактерий рода Pseudomonas, выделенных из глинистых органогенных отложений пещеры Мраморная (Приморский край), выявлены психротолерантные и эвритермные формы. Большинство исследуемых штаммов при изменении температуры культивирования не изменяют размер клеток, но меняют характер движения. Скрининг ферментативной активности при температурах 4 и 25℃ показал различную активность пектиназы, протеазы и липазы, в зависимости от температурного оптимума роста. Наибольшее количество штаммов проявило фосфат-солюбилизирующую активность как при 4℃, так и при 25℃.
БЛАГОДАРНОСТИ
Авторы выражают признательность доктору биологических наук, ведущему научному сотруднику лаборатории териологии ФНЦ Биоразнообразия ДВО РАН Михаилу Петровичу Тиунову, за предоставление образцов грунта пещеры Мраморная (Приморский край), Центру коллективного пользования “Биотехнология и генетическая инженерия” на базе ФНЦ Биоразнообразия ДВО РАН и руководителю лаборатории морской микробиологии Института Мирового океана ДВФУ, кандидату биологических наук Елене Александровне Богатыренко за допуск к работе на приборах.
ФИНАНСИРОВАНИЕ РАБОТЫ
Работа выполнена в рамках государственного задания Министерства науки и высшего образования Российской Федерации (тема № 121031000134–6).
СОБЛЮДЕНИЕ ЭТИЧЕСКИХ СТАНДАРТОВ
Настоящая статья не содержит результатов исследований, в которых в качестве объектов использовались люди или животные.
КОНФЛИКТ ИНТЕРЕСОВ
Авторы заявляют об отсутствии конфликта интересов.
作者简介
D. Rusakova
Federal Scientific Center of the East Asia Terrestrial Biodiversity, Far Eastern Branch of Russian Academy of Sciences; Far Eastern Federal University
编辑信件的主要联系方式.
Email: sidorenko@biosoil.ru
俄罗斯联邦, Vladivostok; Vladivostok
M. Sidorenko
Federal Scientific Center of the East Asia Terrestrial Biodiversity, Far Eastern Branch of Russian Academy of Sciences
Email: sidorenko@biosoil.ru
俄罗斯联邦, Vladivostok
A. Kim
Federal Scientific Center of the East Asia Terrestrial Biodiversity, Far Eastern Branch of Russian Academy of Sciences; Far Eastern Federal University
Email: sidorenko@biosoil.ru
俄罗斯联邦, Vladivostok; Vladivostok
参考
- Берсенев Ю. И. Особо охраняемые природные территории Приморского края: существующие и проектируемые: монография. Владивосток: Изд-во Дальневост. федерал. ун-та. 2017. 202 с.
- Берсенев Ю. И. Пещеры Дальнего Востока и перспективы их использования // Пещеры. Проблемы изучения: Межвузовский сборник научных трудов / Перм. ун-т. Пермь. 1990. 156 с.
- Воробьёва С. В., Хижняк С. В., Харламова Л. Т. Влияние температуры на рост психрофильных бактерий, выделенных из пещер Дальнего Востока, Средней Сибири и Западного Кавказа // Вестник КрасГАУ. 2012. № 9. C. 117–121.
- Воротников А. В. Хемотаксис: движение, направление, управление // Успехи биологической химии. 2011. Т. 51. С. 335–400.
- Vorotnikov A. V. Chemotaxis: movement, direction, control // Biochemistry (Moscow). 2011. V. 76. № 13. P. 1528–1555. https://doi.org/10.1134/S0006297911130104
- Галимзянова Н. Ф., Гильванова Е. А., Рябова А. С., Гуватова З. Г., Кудрявцева А. В., Мелентьев А. И. Филогенетическое разнообразие прокариотов в микробных сообществах скальных поверхностей пещеры Шульган-Таш (Капова), Южный Урал // Экобиотех. 2020. Т. 3. С. 298–304. https://doi.org/10.31163/2618-964X-2020-3-3-298-304
- Глушакова А. М., Лысак Л. В., Качалкин А. В., Иванова А. Е., Умарова А. Б., Абрямян И. А., Ежелев З. С., Максимова И. А. Трансформация микробных комплексов в компонентах почвенных конструкций разного генезиса (почва, торф, песок) при процессах замораживания–оттаивания // Микробиология. 2021. Т. 90. С. 166–178. https://doi.org/10.31857/S002636562102004X
- Glushakova A. M., Lysak L. V., Kachalkin A. V., Ivanova A. E., Umarova A. B., Abramyan I. A., Ezhelev Z. S., Maksimova I. A. Transformation of microbial complexes in components of soil constructions of different origin (soil, peat, sand) during freezing-thawing processes // Microbiology (Moscow). 2021. V. 90. P. 176‒186.
- Кадырова Г. Х., Садуллаева М. С., Атаджанова Ш. Ш., Закирьяева С. И Фосфат-солюбилизирующая активность ризобактерий пшеницы (Triticum aestivum L.) // Universum: химия и биология: электрон. научн. журн. 2022. Т. 12. № 102. 6 с. https://doi.org/10.32743/UniChem.2022.102.12.14609
- Кондратьева Л. М., Полевская О. С., Голубева Е. М., Штарева А. В., Коновалова Н. С. Элементный состав грунтовых вод и спелеотемы “лунное молоко” в карстовой пещере Прощальная (Дальний Восток) // Литосфера. 2018. Т. 18. С. 928–941. https://doi.org/10.24930/1681-9004-2018-18-6-928-941
- Кузьмина Л. Ю., Галимзянова Н. Ф., Абдуллин Ш. Р., Рябова А. С. Микробиота пещеры Киндерлинская (Южный Урал) // Микробиология. 2012. Т. 81. С. 273–281.
- Kuzmina L. Y., Galimzianova N. F., Abdullin S. R., Ryabova A. S. Microbiota of the Kinderlinskaya cave (South Urals, Russia) // Microbiology (Moscow). 2012. V. 81. P. 251‒258.
- Кузьмина Л. Ю. Высоцкая Л. Б., Галимзянова Н. Ф., Гильванова Е. А., Рябова А. С., Мелентьев А. И. Новые штаммы фосфатмобилизующих бактерий, продуцирующие ауксин, перспективные для сельскохозяйственной биотехнологии // Известия УНЦ. 2015. № 1. C. 40–52.
- Нетрусов А. И., Егорова М. А., Захарчук Л. М. Практикум по микробиологии. — М.: Издательский центр “Академия”, 2005. 608 с.
- Определитель бактерий Берджи в 2 томах. Т. 2: Пер. с англ. / Под ред. Дж. Хоулта, Н. Крига, П. Снита, Дж. Стейли, С. Уилльямса. М.: Мир, 1997. 368 с.
- Рязанцева Л. Т. Ферменты-антиоксиданты: структурно-функциональные свойства и роль в регулировании метаболических процессов // Вестн. Воронежского гос. техн. ун-та. 2011. Т. 7. № 2. С. 126–129.
- Сидоренко М. Л., Русакова Д. А. Разнообразие психрофильных бактерий и их биотехнологический потенциал // Вестн. Том. гос. ун-та. Биология. 2022. № 58. С. 28–54. https://doi.org/10.17223/19988591/58/2
- Фирсова М. С., Евграфова В. А., Потехин А. В. Подбор питательной среды и оптимизация режима глубинного культивирования Avibacterium paragallinarum // Ветеринария сегодня. 2019. Т. 2. № 29. С. 12–16. https://doi.org/10.29326/2304-196Х-2019-2-29-12-16
- Цыганов И. В., Нестерова Л. Ю., Ткаченко А. Г. Скольжение бактерий: способ пассивного распространения без использования жгутиков и пилей // Вестник ПГУ. Биология. 2021. № 4. С. 263–274.
- Щербаков А. В., Щербакова Е. Н., Мулина С. А., Роц П. Ю., Дарью Р. Ф., Кипрушкина Е. И., Гончар Л. Н., Чеботарь В. К. Психрофильные псевдомонады-эндофиты как потенциальные агенты в биоконтроле фитопатогенных и гнилостных микроорганизмов при холодильном хранении картофеля // Сельскохозяйственная биология. 2017. Т. 52. № 1. С. 116–128. https://doi.org/10.15389/agrobiology.2017.1.116rus
- Andersen S. M., Johnsen K., Sоrensen J., Nielsen P., Jacobsen C. S. Pseudomonas frederiksbergensis sp. nov., isolated from soil at a coal gasification site // Int. J. Syst. Evol. Microbiol. 2000. V. 50. Р. 1957–1964. https://doi.org/10.1099/00207713-50-6-1957
- Altschul S. F., Madden T. L., Schaffer A. A. Zhang J., Zhang Z., Miller W., Lipman D. J. Gapped BLAST and PSI–BLAST: a new generation of protein database search programs // Nucleic Acids Res. 1997. V. 25. P. 3389–3402. https://doi.org/10.1093/nar/25.17.3389
- Belimov A. A., Dodd I. C., Safronova V. I., Hontzeas N., Davies W. J. Pseudomonas brassicacearum strain Am3 containing 1-aminocyclopropane-1-carboxylate deaminase can show both pathogenic and growth-promoting properties in its interaction with tomato // J. Exp. Botany. 2007. V. 58. Р. 1485–1495. https://doi.org/10.1093/jxb/erm010
- Bogdan D. F., Baricz A. I., Chiciudean I., Bulzu P. A., Cristea A., Nastase-Bucur R., Levei E. A., Cadar O., Sitar C., Banciu H. L., Moldovan O. T. Diversity, distribution and organic substrates preferences of microbial communities of a low anthropic activity cave in North-Western Romania // Front. Microbiol. 2023. V. 14. P. 962452. https://doi.org/10.3389/fmicb.2023.962452
- Bao C., Li M., Zhao X., Shi J., Liu Y., Zhang N., Zhou Y., Ma J., Chen G., Zhang S., Chen H. Mining of key genes for cold adaptation from Pseudomonas fragi D12 and analysis of its cold-adaptation mechanism // Front. Microbiol. 2023. V. 14. Art. 1215837. Р. 1–15. https://doi.org/10.3389/fmicb.2023.1215837
- Busquets A., Mulet M., Gomila M., Garcia-Valdes E. Pseudomonas lalucatii sp. nov. isolated from Vallgornera, a karstic cave in Mallorca, Western Mediterranean // Syst. Appl. Microbiol. 2021. V. 44. P. 126205. https://doi.org/10.1016/j.syapm.2021.126205
- Campos V. L., Valenzuela C., Yarza P., Kаmpfer P., Vidal R., Zaror C., Mondaca M. A. Lopez-Lopez A., Rossellо-Mоra R. Pseudomonas arsenicoxydans sp nov., an arsenite-oxidizing strain isolated from the Atacama desert // Syst. Appl. Microbiol. 2010. V. 33. Р. 193–197. https://doi.org/10.1016/j.syapm.2010.02.007
- Chatterjee P., Samaddar S., Anandham R., Kang Y., Kim K., Selvakumar G, Sa T. Beneficial soil bacterium Pseudomonas frederiksbergensis OS261 augments salt tolerance and promotes red pepper plant growth // Front. Plant Sci. 2017. V. 8. Art. 705. https://doi.org/10.3389/fpls.2017.00705
- Hebraud M., Dubois E., Potier P., Labadie J. Effect of growth temperatures on the protein levels in a psychrotrophic bacterium, Pseudomonas fragi // J. Bacteriol. 1994. V. 176. Р. 4017–4024.
- DangThu Q., Jang S. H., Lee C. Biochemical comparison of two glucose 6-phosphate dehydrogenase isozymes from a cold-adapted Pseudomonas mandelii // Extremophiles: life under extreme conditions. 2020. V. 24. Р. 501–509. https://doi.org/10.1007/s00792-020-01171-3
- Delorme S., Lemanceau P., Christen R. Pseudomonas lini sp. nov., a novel species from bulk and rhizospheric soils // Int. J. Syst. Evol. Microbiol. 2002. V. 52. Р. 513–523.
- Ghosh S., Kuisiene N., Cheeptham N. The cave microbiome as a source for drug discovery: Reality or pipe dream? // Biochem. Pharmacol. 2017. V. 134. Р. 18–34. https://doi.org/10.1016/j.bcp.2016.11.018
- Ghosh S., Kam G., Nijjer M., Stenner C, Cheeptham N. Culture dependent analysis of bacterial diversity in Canada’s Raspberry Rising Cave revealed antimicrobial properties // Int. J. Speleol. 2020. V. 49. Р. 43–53. https://doi.org/10.5038/18 27-806X.49.1.2291
- Jaroszewicz W., Bielanska P., Lubomska D., Kosznik-Kwasnicka K., Golec P.; Grabowski L., Wieczerzak E. Drozdz W., Gaffke L., Pierzynowska K. Wegrzyn G., Wegrzyn A. Antibacterial, antifungal and anticancer activities of compounds produced by newly isolated Streptomyces strains from the Szczelina Chochołowska Cave (Tatra Mountains, Poland) // Antibiotics. 2021. V. 10. Р. 1212. https://doi.org/10.3390/antibiotics10101212
- Kosznik-Kwaаnicka K., Golec P., Jaroszewicz W., Lubomska D., Piechowicz L. Into the unknown: microbial communities in caves, their role, and potential use // Microorganisms. 2022. V. 10. P. 222. https://doi.org/10.3390/microorganisms10020222
- Kumar S., Stecher G., Tamura K. MEGA7: Molecular Evolutionary Genetics Analysis version 7.0 for bigger datasets // Mol. Biol. Evol. 2016. V. 33. P. 1870–1874. https://doi.org/10.1093/molbev/msw054
- Laiz L., Gonzalez-Delvalle M., Hermosin B., Ortiz-Martinez A. Saiz-Jimenez C. Isolation of cave bacteria and substrate utilization at different temperatures // Geomicrobiol. J. 2003. V. 20. Р. 479–489. https://doi.org/10.1080/713851125
- Lopes da Silva T., Moniz P., Silva C., Reis A. The dark side of microalgae biotechnology: a heterotrophic biorefinery platform directed to ω-3 rich lipid production // Microorganisms. 2019. V. 7. Р. 670. https://doi.org/10.3390/microorganisms7120670
- Lujаn A. M., Gоmez P., Buckling A. Siderophore cooperation of the bacterium Pseudomonas fluorescens in soil // Biology Lett. 2015. V. 11. Р. 20140934. https://doi.org/10.1098/rsbl.2014.0934
- Majorina M. A., Veselova V. R., Melnik B. S. The influence of Pseudomonas syringae on water freezing and ice melting // PLoS One. 2022. V. 17. Р. e0265683. https://doi.org/10.1371/journal.pone.0265683
- Meng L., Zhang Y., Liu H., Zhao S., Wang J., Zheng N. Characterization of Pseudomonas spp. and associated proteolytic properties in raw milk stored at low temperatures // Front. Microbiol. 2017. Р. 2158. https://doi.org/10.3389/fmicb.2017.02158
- McBride M. J. Bacterial gliding motility: multiple mechanisms for cell movement over surfaces // Annu. Rev. Microbiol. 2001. V. 55. Р. 49–75.
- Molina L., Segura A., Duque E., Ramos J. L. The versatility of Pseudomonas putida in the rhizosphere environment // Adv. Appl. Microbiol. 2020. V. 110. Р. 149–180. https://doi.org/10.1016/bs.aambs.2019.12.002
- Nicole S. C., Lucca V. C., Leonardo P. M., Gustavo M. T., Ulisses B. A., Luis E. A. Marques L., Leopoldo S.M, Admilton G. O., Paulo R. C.S., Berenice M. T. Potential of cave isolated bacteria in self-healing of cement-based materials // J. Building Engin. 2022. V. 45. P. 103551. https://doi.org/10.1016/j.jobe.2021.103551
- Pabai F., Kermasha S., Morin A. Lipase from Pseudomonas fragi CRDA 323: partial purification, characterization and interesterification of butter fat // Appl. Microbiol. Biotechnol. 1995. V. 43. Р. 42–51. https://doi.org/10.1007/BF00170621
- Palleroni N. J., Kunisawa R., Contopoulou R., Doudoroff M. Nucleic acid homologies in the genus Pseudomonas // Int. J. Syst. Bacteriol. 1973. V. 23. P. 333–339. https://doi.org/10.1099/00207713-23-4-333
- Ramani K., Chockalingam E., Sekaran G. Production of a novel extracellular acidic lipase from Pseudomonas gessardii using slaughterhouse waste as a substrate // J. Ind. Microbiol. Biotechnol. 2010. V. 37. P. 531–535. https://doi.org/10.1007/s10295-010-0700-1
- Roy K., Dey S., Uddin M. K., Barua R., Hossain M. T. Extracellular pectinase from a novel bacterium Chryseobacterium indologenes strain SD and its application in fruit juice clarification // Enzyme Res. 2018. V. 2018. P. 3859752. https://doi.org/10.1155/2018/3859752.
- Ryan M., Meiman J. An examination of short-term variations in water quality at a karst spring in Kentucky // Ground Water. 1996. V. 34. P. 23–30. https://doi.org/10.1111/j.1745-6584.1996.tb01861.x
- Sandhya V., Shrivastava M., Ali S. Z., Sai Shiva Krishna Prasad V. Endophytes from maize with plant growth promotion and biocontrol activity under drought stress // Russ. Agricult. Sci. 2017. V. 43. Р. 22–34. https://doi.org/10.3103/S1068367417010165
- Shehata T. E., Marr A. G. Effect of temperature on the size of Escherichia coli cells // J. Bacteriol. 1975. V. 124. Р. 857–862. https://doi.org/10.1128/jb.124.2.857-862.1975
- Zachow C., Müller H., Monk J., Berg G. Complete genome sequence of Pseudomonas brassicacearum strain L13–6–12, a biological control agent from the rhizosphere of potato // Stand. Genom. Sci. 2017. V. 12. № 6. Р. 1–7. https://doi.org/10.1186/s40793-016-0215-1
- Zhu H. Z., Zhang Z. F., Zhou N., Jiang C. Y., Wang B. J., Cai L., Wang H. M., Liu S. J. Bacteria and metabolic potential in karst caves revealed by intensive bacterial cultivation and genome assembly // Appl. Environ. Microbiol. 2021. V. 87. Р. e02440–20. https://doi.org/10.1128/AEM.02440-20
补充文件






