Биодеструкция эфиров фталевой кислоты грибом белой гнили Peniophora lycii
- Авторы: Савинова О.С.1, Шабаев А.В.1, Федорова Т.В.1
-
Учреждения:
- Институт биохимии им. А.Н. Баха, ФИЦ “Фундаментальные основы биотехнологии” Российской академии наук
- Выпуск: Том 92, № 3 (2023)
- Страницы: 310-317
- Раздел: ЭКСПЕРИМЕНТАЛЬНЫЕ СТАТЬИ
- URL: https://ogarev-online.ru/0026-3656/article/view/138222
- DOI: https://doi.org/10.31857/S0026365622600857
- EDN: https://elibrary.ru/FWTPAT
- ID: 138222
Цитировать
Полный текст
Аннотация
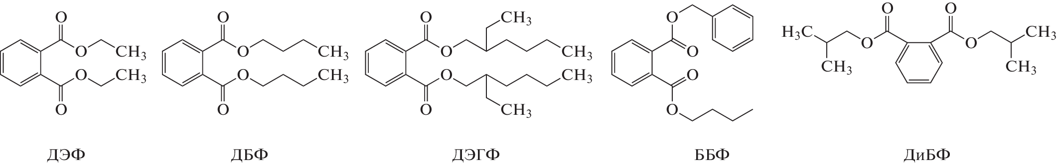
Впервые изучена способность гриба белой гнили Peniophora lycii LE-BIN 2142 к деструкции эфиров фталевой кислоты (ЭФК), таких как диэтилфталат (ДЭФ), дибутилфталат (ДБФ), ди(2-этилгексил)фталат (ДЭГФ), диизобутилфталат (ДиБФ) и бутилбензилфталат (ББФ). Показано, что ДЭГФ наиболее эффективно подвергался биодеструкции грибом (более 98% на 6 сут культивирования). Остаточное содержание ДБФ и ДиБФ в культуральной жидкости на 10 сут составляло 17‒18%. ББФ оказался наиболее трудно деградируемым соединением – его остаточное содержание на 10 сут культивирования P. lycii составляло около 40%. ДЭФ был устойчив к биодеструкции и в концентрации 1.5 г/л оказывал токсическое действие: скорость радиального роста гриба на агаризованной среде снижалась в 3 раза по сравнению с контролем, а количество грибной биомассы при жидкофазном глубинном культивировании – примерно в 1.5 раза. В процессе культивирования P. lycii на средах с ЭФК было показано увеличение примерно в 2 раза эстеразной и значительное снижение (в 2‒4 раза) оксидазной активностей по сравнению с контрольной средой без фталатов.
Ключевые слова
Об авторах
О. С. Савинова
Институт биохимии им. А.Н. Баха, ФИЦ “Фундаментальные основы биотехнологии”Российской академии наук
Email: fedorova_tv@mail.ru
Россия, 119071, Москва
А. В. Шабаев
Институт биохимии им. А.Н. Баха, ФИЦ “Фундаментальные основы биотехнологии”Российской академии наук
Email: fedorova_tv@mail.ru
Россия, 119071, Москва
Т. В. Федорова
Институт биохимии им. А.Н. Баха, ФИЦ “Фундаментальные основы биотехнологии”Российской академии наук
Автор, ответственный за переписку.
Email: fedorova_tv@mail.ru
Россия, 119071, Москва
Список литературы
- Савинова О.С., Шабаев А.В., Глазунова О.А., Еремин С.А., Федорова Т.В. Биодеструкция эфиров фталевой кислоты грибами белой гнили // Прикл. биохимия и микробиология. 2022. Т. 58. С. 484‒499.
- Savinova O.S., Shabaev A.V., Glazunova O.A., Eremin S.A., Fedorova T.V. Biodestruction of phthalic acid esters by white rot fungi // Appl. Biochem. Microbiol. 2022. V. 58. P. 598–612. https://doi.org/10.31857/S0555109922050142
- Синицын А.П., Гусаков А.В., Черноглазов В.М. Биоконверсия лигноцеллюлозных материалов. М.: Изд-во МГУ, 1995. 224 с.
- Шкаева И.Е., Солнцева С.А., Никулина О.С., Николаев А.И., Дулов С.А., Земляной А.В. Токсичность и опасность фталатов // Токсикологический вестник. 2019. Т. 159. № 6. С. 3–9.
- Ahmadi E., Yousefzadeh S., Ansari M., Ghaffari H.R., Azari A., Miri M., Nabizadeh A.M.R., Kakavandi B., Ahmadi P., Badi M.Y., Gholami M., Sharafi K., Karimaei M., Ghoochani M., Brahmand M.B., Mohseni S.M., Sarkhosh M., Rezaei S., Asgharnia H., Dehghanifard E., Jafari B., Mortezapour A., Moghaddam V.K., Mahmoudi M.M., Taghipour N. Performance, kinetic, and biodegradation pathway evaluation of anaerobic fixed film fixed bed reactor in removing phthalic acid esters from wastewater // Sci. Rep. 2017. V. 7. 41020. https://doi.org/10.1038/srep41020
- Ahuactzin-Perez M., Tlecuitl-Beristain S., García-Davila J., Santacruz-Juárez E., González-Pérez M., Gutiérrez-Ruíz M.C., Sánchez C. Mineralization of high concentrations of the endocrine disruptor dibutyl phthalate by Fusarium culmorum // 3 Biotech. 2018. V. 8. № 42. P. 1–10. https://doi.org/10.1007/s13205-017-1065-2
- Akerman-Sanchez G., Rojas-Jimenez K. Fungi for the bioremediation of pharmaceutical-derived pollutants: A bioengineering approach to water treatment // Environ. Adv. 2021. V. 4. 100071. https://doi.org/10.1016/j.envadv.2021.100071
- Boll M., Geiger R., Junghare M., Schink B. Microbial degradation of phthalates: biochemistry and environmental implications // Environ. Microbiol. Rep. 2020. V. 12. P. 3–15. https://doi.org/10.1111/1758-2229.12787
- Brenelli L.B., Persinoti G.F., Franco Cairo J.P.L. Liberato M.V., Gonçalves T.A., Otero I.V.R., Mainardi P.H., Felby C., Sette L.D., Squina F.M. Novel redox-active enzymes for ligninolytic applications revealed from multiomics analyses of Peniophora sp. CBMAI 1063, a laccase hyper-producer strain // Sci. Rep. 2019. V. 9. 17564. https://doi.org/10.1038/s41598-019-53608-1
- Carstens L., Cowan A.R., Seiwert B., Schlosser D. Biotransformation of phthalate plasticizers and bisphenol A by marine-derived, freshwater, and terrestrial fungi // Front. Microbiol. 2020. V. 11. 317. https://doi.org/10.3389/fmicb.2020.00317
- Chang B.V., Yang C.P., Yang C.W. Application of fungus enzymes in spent mushroom composts from edible mushroom cultivation for phthalate removal // Microorganisms. 2021. V. 9. 1989. https://doi.org/10.3390/microorganisms9091989
- Das M.T., Kumar S.S., Ghosh P., Shah G., Malyan S.K., Bajar S., Thakur I.S., Singh L. Remediation strategies for mitigation of phthalate pollution: challenges and future perspectives // J. Hazard. Mater. 2021 V. 409. 124496. https://doi.org/10.1016/j.jhazmat.2020.124496
- de Souza Machado A.A., Lau C.W., Kloas W., Bergmann J., Bachelier B.J., Faltin E., Becker R., Görlich A.S., Rillig M.C. Microplastics can change soil properties and affect plant performance // Environ. Sci. Technol. 2019. V. 53. P. 6044−6052. https://doi.org/10.1021/acs.est.9b01339
- Dutta S., Haggerty D.K., Rappolee D.A., Ruden D.M. Phthalate exposure and long-term epigenomic consequences: a review // Front. Genet. 2020. V. 11. 405. https://doi.org/10.3389/fgene.2020.00405
- Gao D., Wen Z. Phthalate esters in the environment: a critical review of their occurrence, biodegradation, and removal during wastewater treatment processes // Sci. Total Environ. 2016. V. 541. P. 986–1001.
- González-Márquez A., Ahuactzin-Pérez M., Sánchez C. Lentinula edodes grown on di(2-ethylhexyl)phthalate-containing media: mycelial growth and enzyme activities // BioResources. 2015. V. 10. P. 7898–7906. https://doi.org/10.15376/biores.10.4.7898-7906
- Hofmann U., Schlosser D. Biochemical and physicochemical processes contributing to the removal of endocrine-disrupting chemicals and pharmaceuticals by the aquatic ascomycete Phoma sp. UHH 5-1-03 // Appl. Microbiol. Biotechnol. 2016. V. 100. P. 2381–2399. https://doi.org/10.1007/s00253-015-7113-0
- Hwang S., Choi H.T., Song H. Biodegradation of endocrine-disrupting phthalates by Pleurotus ostreatus // J. Microbiol. Biotechnol. 2008. V. 18. P. 767–772.
- Li H., Dai Q., Yang M., Li F., Liu X., Zhou M., Qian X. Unraveling consequences of soil micro- and nano-plastic pollution on soil-plant system: implications for nitrogen (N) cycling and soil microbial activity // Chemosphere. 2020. V. 260. 127578. https://doi.org/10.1016/j.chemosphere.2020.127578
- Ma J., Yue H., Li H., Zhang J., Zhang Y., Wang X., Gong S., Liu G. Selective delignification of poplar wood with a newly isolated white‑rot basidiomycete Peniophora incarnata T‑7 by submerged fermentation to enhance saccharification // Biotechnol. Biofuels. 2021. V. 14. P. 135. https://doi.org/10.1186/s13068-021-01986-y
- Moiseenko K.V., Glazunova O.A., Shakhova N.V., Savinova O.S., Vasina D.V., Tyazhelova T.V., Psurtseva N.V., Fedorova T.V. Fungal adaptation to the advanced stages of wood decomposition: insights from the Steccherinum ochraceum // Microorganisms. 2019. V. 7. 527. https://doi.org/10.3390/microorganisms7110527
- Naveen K.V., Saravanakumar K., Zhang X. Anbazhagan K., Wang M. Impact of environmental phthalate on human health and their bioremediation strategies using fungal cell factory – a review // Environ. Res. 2022. V. 214. 113781. https://doi.org/10.1016/j.envres.2022.113781
- Savinova O.S., Shabaev A.V., Glazunova O.A. et al. Benzyl butyl phthalate and diisobutyl phthalate biodegradation by white-rot fungus Trametes hirsuta // Appl. Biochem. Microbiol. 2022. V. 58. Suppl. 1. P. S113‒S125. https://doi.org/10.1134/S0003683822100118
- Shabaev A.V., Moiseenko K.V., Glazunova O.A. Savinova O.S., Fedorova T.V. Comparative analysis of Peniophora lycii and Trametes hirsuta exoproteomes demonstrates “Shades of Gray” in the concept of white-rotting fungi // Int. J. Mol. Sci. 2022. V. 23. 10322. https://doi.org/10.3390/ijms231810322
- Suárez-Segundo J.L., Vazquez-Lopez D., Torres-Garcia J.L., Ahuactzin-Perez M., Montiel-Martínez N., Tlecuitl-Beristain S., Sánchez C. Growth of colonies and hyphal ultrastructure of filamentous fungi grown on dibutyl phthalate and di(2-ethylhexyl)phthalate // Revista Mexicana de Ingeniería Química. 2013. V. 12. P. 499–504.
- Tang Y., Zhang Y., Jiang L., Yang C., Rittmann B.E. Enhanced dimethyl phthalate biodegradation by accelerating phthalic acid di-oxygenation // Biodegradation. 2017. V. 28. P. 413–421. https://doi.org/10.1007/s10532-017-9805-x
- Tran H.T., Lin C., Bui H.-T., Nguyen M.K., Cao N.D.T., Mukhtar H., Hoang H.G., Varjani S., Ngo H.H., Nghiem L.D. Phthalates in the environment: characteristics, fate and transport, and advanced wastewater treatment technologies // Bioresour. Technol. 2022. V. 344. 126249. https://doi.org/10.1128/jcm.02479
- Weaver J.A., Beverly B.E.J., Keshava N. Mudipalli A., Arzuaga X., Cai C., Hotchkiss A.K., Makris S.L., Yost E.E. Hazards of diethyl phthalate (DEP) exposure: a systematic review of animal toxicology studies // Environ. Int. 2020. V. 145. 105848. https://doi.org/10.1016/j.envint.2020.105848
- Zhao F., Wang P., Lucardi R.D., Su Z., Li S. Natural sources and bioactivities of 2,4-di-tert-butylphenol and its analogs // Toxins. 2020. V. 12. 35. https://doi.org/10.3390/toxins12010035





