Effect of Hormones and Biogenic Amines on Growth and Survival of Enterococcus durans
- Authors: El’-Registan G.I.1, Zemskova O.V.1, Galuza O.A.1, Ulanova R.V.1, Il’icheva E.A.1, Gannesen A.V.1, Nikolaev Y.A.1
-
Affiliations:
- Winogradsky Institute of Microbiology, Research Center of Biotechnology, Russian Academy of Sciences
- Issue: Vol 92, No 4 (2023)
- Pages: 376-395
- Section: EXPERIMENTAL ARTICLES
- URL: https://ogarev-online.ru/0026-3656/article/view/138209
- DOI: https://doi.org/10.31857/S0026365623600116
- EDN: https://elibrary.ru/RLAEIM
- ID: 138209
Cite item
Full Text
Abstract
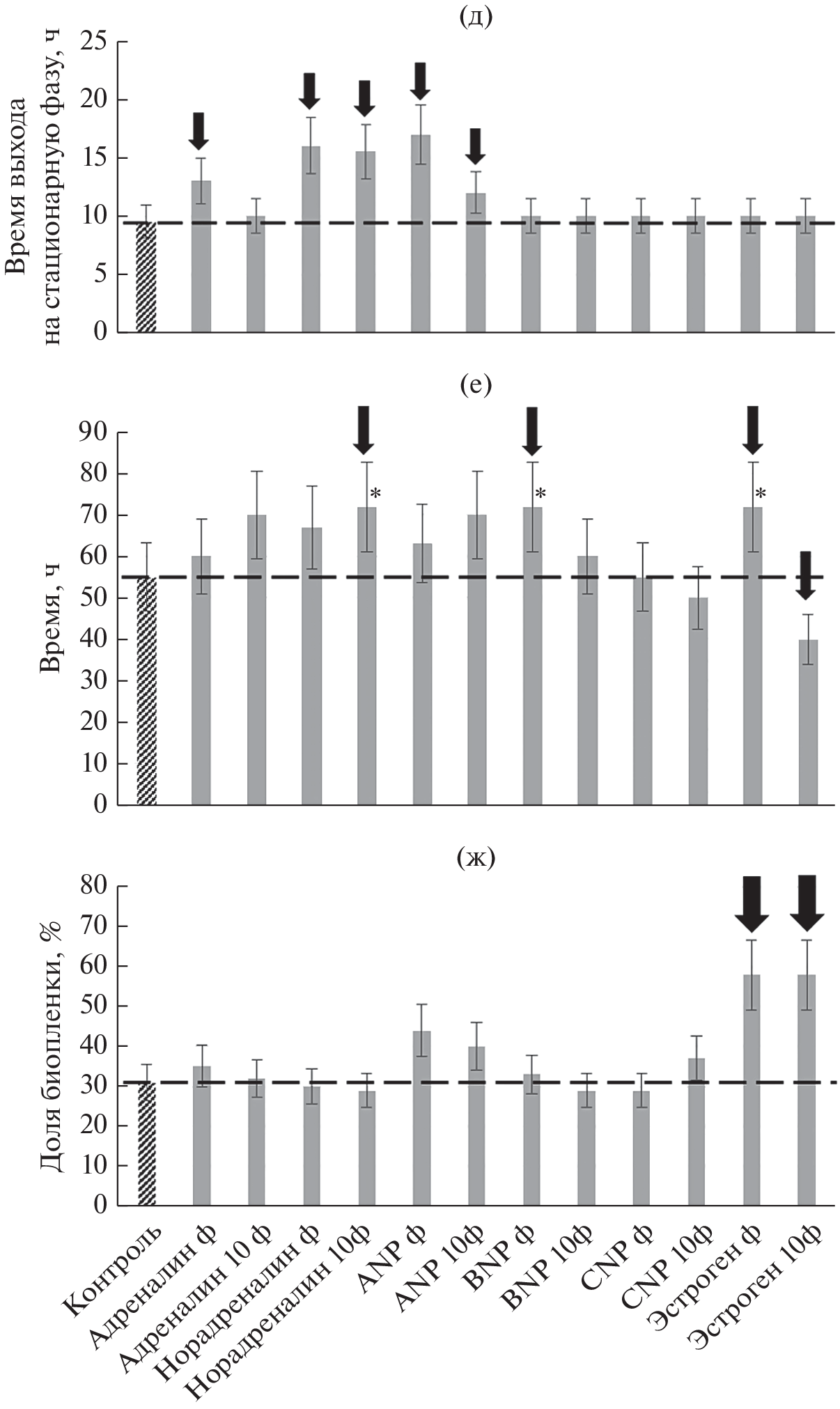
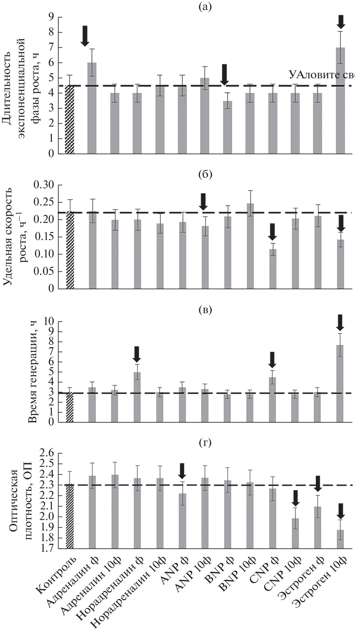
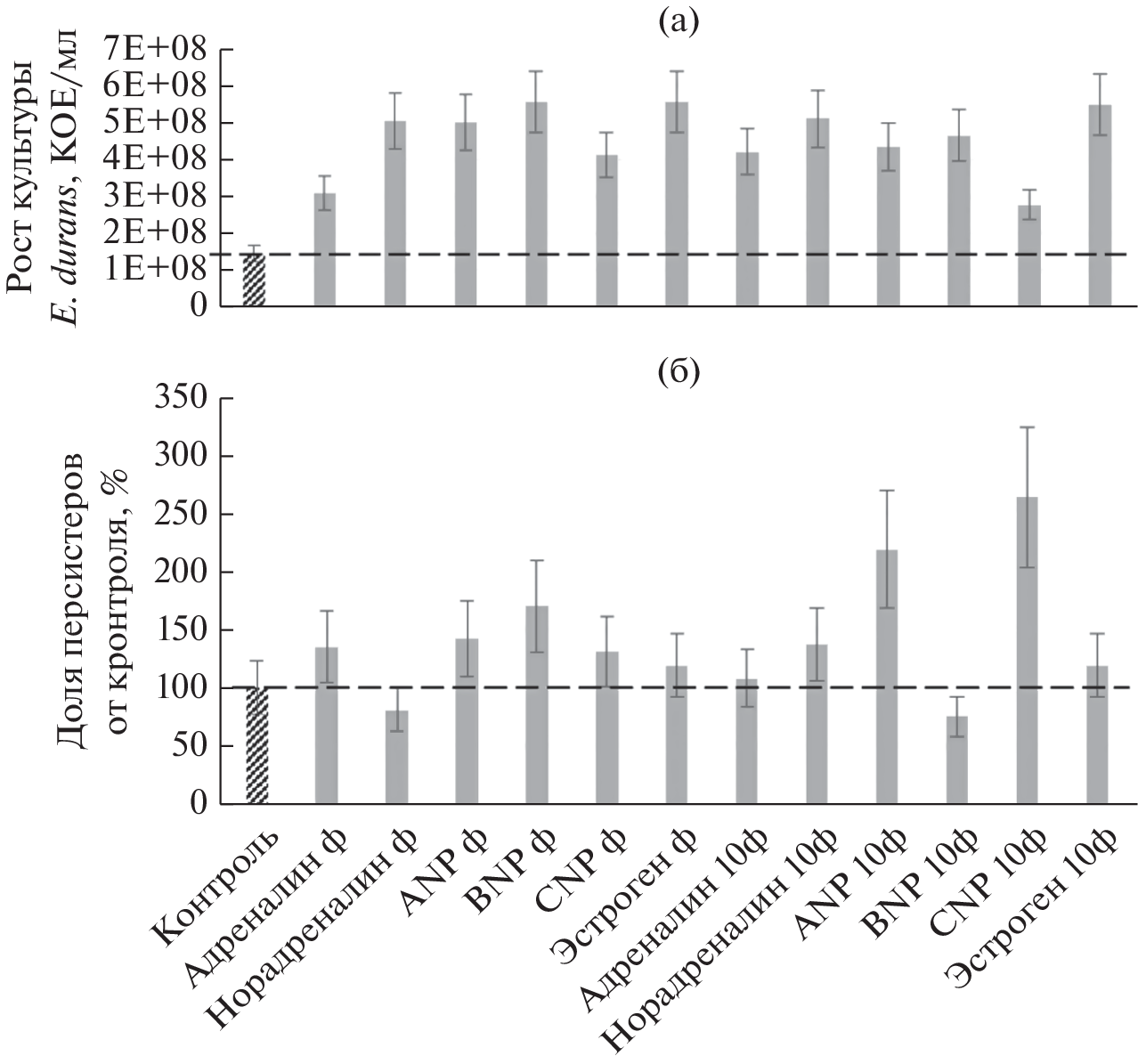
Abstract—Lactic acid bacteria (LAB) are important components of the human microbiome. While they are capable both of synthesis and response to the signals of the human humoral regulatory system (hormones and neuromediators), the phenomenology and mechanisms of the LAB response to these mediators are insufficiently studied. This work showed estrogen to hinder the growth and development of E. durans, while norepinephrine, estrogen, and the brain natriuretic peptide caused dose-dependent extension of the stationary growth phase. This is the first report on stimulation of E. durans biofilm formation by the atrial natriuretic peptide and estrogen. The frequency of persister formation depended on the type of bacterial growth (planktonic or biofilm one) and was higher in the case of biofilm growth. Epinephrine and norepinephrine exhibited dose-dependent stimulation of persister formation in planktonic LAB cultures, while other tested hormones inhibited it. The effect on persister formation in biofilms was different: natriuretic peptides exhibited dose-dependent stimulation of persister formation, and none of the hormones inhibited it significantly. After several months of incubation, E. durans persister cells matured to anaaaaaaaaabiotic dormnt forms with the typical ultrastructural features. The population of E. durans dormant forms was first shown to contain the form with different dormancy depth, including the viable uncultured ones.
About the authors
G. I. El’-Registan
Winogradsky Institute of Microbiology, Research Center of Biotechnology, Russian Academy of Sciences
Email: nikolaevya@mail.ru
Russia, 119071, Moscow
O. V. Zemskova
Winogradsky Institute of Microbiology, Research Center of Biotechnology, Russian Academy of Sciences
Email: nikolaevya@mail.ru
Russia, 119071, Moscow
O. A. Galuza
Winogradsky Institute of Microbiology, Research Center of Biotechnology, Russian Academy of Sciences
Email: nikolaevya@mail.ru
Russia, 119071, Moscow
R. V. Ulanova
Winogradsky Institute of Microbiology, Research Center of Biotechnology, Russian Academy of Sciences
Email: nikolaevya@mail.ru
Russia, 119071, Moscow
E. A. Il’icheva
Winogradsky Institute of Microbiology, Research Center of Biotechnology, Russian Academy of Sciences
Email: nikolaevya@mail.ru
Russia, 119071, Moscow
A. V. Gannesen
Winogradsky Institute of Microbiology, Research Center of Biotechnology, Russian Academy of Sciences
Email: nikolaevya@mail.ru
Russia, 119071, Moscow
Yu. A. Nikolaev
Winogradsky Institute of Microbiology, Research Center of Biotechnology, Russian Academy of Sciences
Author for correspondence.
Email: nikolaevya@mail.ru
Russia, 119071, Moscow
References
- Бухарин О.В., Гинцбург А.Л., Романова Ю.М., Эль-Регистан Г.И. Механизмы выживания бактерий. М.: Медицина, 2005. 367 с.
- Голод Н.А., Лойко Н.Г., Мулюкин А.Л., Нейматов А.Л., Воробьева Л.И., Сузина Н.Е., Шаненко Е.Ф., Гальченко В.Ф., Эль-Регистан Г.И. Адаптация молочнокислых бактерий к неблагоприятным для роста условиям // Микробиология. 2009. Т. 78. С. 317–327.
- Golod N.A., Loiko N.G., Mulyukin A.L., Neiymatov A.L., Vorobjeva L.I., Suzina N.E., Shanenko E.F., Gal’Chenko V.F., El-Registan G.I. Adaptation of lactic acid bacteria to unfavorable growth conditions // Microbiology (Moscow). 2009. V. 78. P. 280‒289.
- Лойко Н.Г., Козлова А.Н., Николаев Ю.А., Гапонов А.М., Тутельян А.В., Эль’-Регистан Г.И. Влияние стресса на образование антибиотикотолерантных клеток Escherichia coli // Микробиология. 2015. Т. 84. С. 512–528.
- Loiko N.G., Kozlova A.N., Nikolaev Y.A., Gaponov A.M., Tutel’yan A.V., El’-Registan G.I. Effect of stress on emergence of antibiotic-tolerant Escherichia coli cells // Microbiology (Moscow). 2015. V. 84. P. 595‒609.
- Лойко Н.Г., Краснова М.А., Пичугина Т.В., Гриневич А.И., Ганина В.И., Козлова А.Н., Николаев Ю.А., Гальченко В.Ф., Эль-Регистан Г.И. Изменение диссоциативного спектра популяций молочнокислых бактерий при воздействии антибиотиков // Микробиология. 2014. Т. 83. № 3. С. 284–294.
- Loiko N.G., Krasnova M.A., Pichugina T.V., Grinevich A.I., Ganina V.I., Kozlova A.N., Nikolaev Yu.A., Gal’chenko V.F., El’-Registan G.I. Changes in the phase variant spectra in the populations of lactic acid bacteria under antibiotic treatment // Microbiology (Moscow). 2014. V. 83. P. 195‒204.
- Мулюкин А.Л., Сузина Н.Е., Мельников В.Г., Гальченко В.Ф., Эль-Регистан Г.И. Состояние покоя и фенотипическая вариабельность у Staphylococcus aureus и Corynebacterium pseudodiphtheriticum // Микробиология. 2014. Т. 83. № 1. С. 15–27.
- Mulyukin A.L., Suzina N.E., Mel’nikov V.G., Gal’chenko V.F., El’-Registan G.I. Dormant state and phenotypic variability of Staphylococcus aureus and Corynebacterium pseudodiphtheriticum // Microbiology (Moscow). 2014. V. 83. P. 149‒159.
- Мулюкин А.Л., Сузина Н.Е., Погорелова А.Ю., Антонюк Л.П., Дуда В.И., Эль-Регистан Г.И. Разнообразие морфотипов покоящихся клеток и условия их образования у Azospirillum brasilense // Микробиология. 2009. Т. 78. № 1. С. 42–52.
- Mulyukin A.L., Pogorelova A.Yu., El-Registan G.I., Suzina N.E., Duda V.I., Antonyuk L.P. Diverse morphological types of dormant cells and conditions for their formation in Azospirillum brasilense // Microbiology (Moscow). 2009. V. 78. P. 33‒41.
- Олескин А.В., Кировская Т.А., Ботвинко И.В., Лысак Л.В. Действие серотонина (5-окситриптамина) на рост и дифференциацию микроорганизмов // Микробиология. 1998. Т. 67. С. 306–311.
- Oleskin A.V., Kirovskaya T.A., Botvinko I.V., Lysak L.V. Effects of serotonin (5-hydroxytryptamine) on the growth and differentiation of microorganisms // Microbiology (Moscow). 1998. V. 67. P. 251‒257.
- Олескин А.В., Шендеров Б.А., Роговский В.С. Социальность микроорганизмов и взаимоотношения в системе микробиота‒хозяин: роль нейромедиаторов. М.: Изд-во МГУ, 2020. 286 с.
- Олескин А.В., Эль-Регистан Г.И., Шендеров Б.А. Межмикробные химические взаимодействия и диалог микробиота‒хозяин: роль нейромедиаторов // Микробиология. 2016. Т. 85. С. 3–25.
- Oleskin A.V., El’-Registan G.I., Shenderov B.A. Role of neuromediators in the functioning of the human microbiota: “business talks” among microorganisms and the microbiota-host dialogue // Microbiology (Moscow). 2016. V. 85. P. 1‒22.
- Погорелова А.Ю., Мулюкин А.Л., Антонюк Л.П., Гальченко В.Ф., Эль-Регистан Г.И. Фенотипическая вариабельность у Azospirillum brasilense штаммов Sp7 и Sp245: сопряженность с состоянием покоя и свойства диссоциантов // Микробиология. 2009. Т. 78. С. 618–628.
- Pogorelova A.Y., Mulyukin A.L., Galchenko V.F., El’-Registan G.I., Antonyuk L.P. Phenotypic variability in Azospirillum brasilense strains Sp7 and Sp245: association with dormancy and characteristics of the variants // Microbiology (Moscow). 2009. V. 78. P. 559‒568.
- Шлеева М.О., Салина Е.Г., Капрельянц А.С. Покоящиеся формы микобактерий // Микробиология. 2010. Т. 79. С. 3–15.
- Shleeva M.O., Salina E.G., Kaprelyants A.S. Dormant forms of mycobacteria // Microbiology (Moscow). 2010. V. 79. P. 1‒12.
- Эль-Регистан Г.И., Мулюкин А.Л., Николаев Ю.А., Сузина Н.Е., Гальченко В.Ф., Дуда В.И. Адаптогенные функции внеклеточных ауторегуляторов микроорганизмов // Микробиология. 2006. Т. 75. С. 446–456.
- El-Registan G.I., Mulyukin A.L., Nikolaev Yu.A., Gal’chenko V.F., Suzina N.E., Duda V.I. Adaptogenic functions of extracellular autoregulators of microorganisms // Microbiology (Moscow). 2006. V. 75. P. 380‒389.
- Ayrapetyan M., Williams T., Oliver J.D. Relationship between the viable but nonculturable state and antibiotic persister cells // J. Bacteriol. 2018. V. 200. Art. e00249-18. https://doi.org/10.1128/JB.00249-18
- Ayrapetyan M., Williams T.C., Oliver J.D. Bridging the gap between viable but non-culturable and antibiotic persistent bacteria // Trends Microbiol. 2015. V. 23. P. 7–13. https://doi.org/10.1016/j.tim.2014.09.004
- Bacteria as Multicellular Organisms // Eds. Shapiro J.A., Dworkin M. Oxford University Press, 1997. 480 p.
- Balaban N., Merrin I., Chait R., Kowalik L., Leibler S. Bacterial persistence as a phenotypic switch // Science. 2004. V. 305. P. 1622‒1625.
- Balaban N.Q., Helaine S., Lewis K., Ackermann M., Aldridge B., Andersson D.I., Brynildsen M.P., Bumann D., Camilli A., Collins J.J. et al. Definitions and guidelines for research on antibiotic persistence // Nat. Rev. Microbiol. 2019. V. 17. P. 441–448. https://doi.org/10.1038/s41579-019-0196-3
- Baquero F., Levin B.R. Proximate and ultimate causes of the bactericidal action of antibiotics // Nat. Rev. Microbiol. 2021. V. 19. P. 123–132. https://doi.org/10.1038/s41579-020-00443-1
- Bigger J.W. Treatment of staphylococcal infections with penicillin by intermittent sterilisation // Lancet. 1944. V. 244. P. 497–500. https://doi.org/10.1016/S0140-6736(00)74210-3
- Canas-Duarte S.J., Restrepo S., Pedraza J.M. Novel protocol for persister cells isolation // PLoS One. 2014. V. 9. Art. e88660. https://doi.org/10.1371/journal.pone.0088660
- Chebotar I.V., Emelyanova M.A., Bocharova J.A., Mayansky N.A., Kopantseva E.E., Mikhailovich V.M. The classification of bacterial survival strategies in the presence of antimicrobials // Microb. Pathog. 2021. V. 155. Art. 104901. https://doi.org/10.1016/j.micpath.2021.104901
- Colwell R.R., Brayton P.R., Grimes D.J., Roszak D.B., Huq S.A., Palmer L.M. Viable but non-culturable Vibrio cholerae and related pathogens in the environment: implications for release of genetically engineered microorganisms // Nat. Biotechnol. 1985. V. 3. P. 817–820. https://doi.org/10.1038/nbt0985-817
- Dadinova L.A., Chesnokov Y.M., Kamyshinsky R.A., Orlov I.A., Petoukhov M.V., Mozhaev A.A., Soshinskaya E.Yu., Lazarev V.N., Manuvera V.A., Orekhov A.S., Vasiliev A.L., Shtykova E.V. Protective Dps-DNA co-crystallization in stressed cells: an in vitro structural study by small-angle X‑ray scattering and cryo-electron tomography // FEBS Lett. 2019. V. 593. P. 1360‒1371. https://doi.org/10.1002/1873-3468.13439
- Fuqua W.C., Winans S.C., Greenberg E.P. Quorum sensing in bacteria: the LuxR-LuxI family of cell density-responsive transcriptional regulators // J. Bacteriol. 1994. V. 176. P. 269–275.
- Kaldalu N., Hauryliuk V., Turnbull K.J., La Mensa A., Putrinš M., Tenson T. In vitro studies of persister cells // Microbiol. Mol. Biol. Rev. 2020. V. 84. Art. e00070-20. https://doi.org/10.1128/MMBR.00070-20
- Kaldalu N., Joers A., Ingelman H., Tenson T. A general method for measuring persister levels in Escherichia coli cultures // Methods Mol. Biol. 2016. V. 1333. P. 29–42. https://doi.org/10.1007/978-1-4939-2854-5_3
- Kaprelyants A.S., Mukamolova G.V., Kell D.B. Estimation of dormant Micrococcus luteus cells by penicillin lysis and by resuscitation in cellfree spent medium at high dilution // FEMS Microbiol. Lett. 1994. V. 115. P. 347–352.
- Kaushik V., Sharma S., Tiwari M., Tiwari V. Antipersister strategies against stress induced bacterial persistence // Microb. Pathog. 2022. V. 164. Art. 105423. https://doi.org/10.1016/j.micpath.2022.105423
- Kell D.B., Kaprelyants A.S., Weichart D.H., Harwood C.R., Barer M.R. Viability and activity in readily culturable bacteria: a review and discussion of the practical issues // Anto-nie van Leeuwenhoek. 1998. V. 73. P. 169–187. https://doi.org/10.1023/A:1000664013047
- Kim J.S., Chowdhury N., Yamasaki R., Wood T.K. Viable but non-culturable and persistence describe the same bacterial stress state // Environ. Microbiol. 2018. V. 20. P. 2038–2048. https://doi.org/10.1111/1462-2920.14075
- Krawczyk A.O., de Jong A., Omony J., Holsappel S., Wells-Bennik M.H.J., Kuipers O.P., Eijlander R.T. Spore heat activation requirements and germination responses correlate with sequences of germinant receptors and with the presence of a specific spoVA2mob operon in foodborne strains of Bacillus subtilis // Appl. Environ. Microbiol. 2017. V. 83. https://doi.org/10.1128/AEM.03122-16
- Lewis K. Persister cells // Annu. Rev. Microbiol. 2010. V. 64. P. 357‒372.
- Lyte M. Microbial endocrinology and nutrition: A perspective on new mechanisms by which diet can influence gut-to brain-communication // PharmaNutrition. 2013. V. 1. P. 35‒39.
- Lyte M. The effect of stress on microbial growth // Anim. Health Res. Rev. 2014. V. 15. P. 172‒174. https://doi.org/10.1017/S146625231400019X
- Lyte M. The microbial organ in the gut as a driver of homeostasis and disease // Med. Hypotheses. 2010. V. 74. P. 634–638.
- Maisonneuve E., Gerdes K. Molecular mechanisms underlying bacterial persisters // Cell. 2014. V. 157. P. 539–548. https://doi.org/10.1016/j.cell.2014.02.050
- Markova N., Slavchev G., Michailova L., Jourdanova M. Survival of Escherichia coli under lethal heat stress by L‑form conversion // Int. J. Biol. Sci. 2010. V. 6. P. 303‒315. https://doi.org/10.7150/ijbs.6.303
- Mukamolova G.V., Kaprelyants A.S., Kell D.B. Secretion of an antibacterial factor during resuscitation of dormant cells in Micrococcus luteus cultures held in an extended stationary phase // Antonie Van Leeuwenhoek. 1995. V. 67. P. 289–295.
- O’Toole G.A. Microtiter dish biofilm formation assay // J. Visual. Exper. 2011. V. 47. P. 2437.
- Salina E.G., Grigorov A.S., Bychenko O.S., Skvortsova Y.V., Mamedov I.Z., Azhikina T.L., Kaprelyants A.S. Resuscitation of dormant “non-culturable” Mycobacterium tuberculosis is characterized by immediate transcriptional burst // Front. Cell Infect. Microbiol. 2019. V. 9. P. 272. https://doi.org/10.3389/fcimb.2019.00272
- Song S., Wood T.K. “Viable but non-culturable cells” are dead // Environ. Microbiol. 2021. V. 23. P. 2335–2338. https://doi.org/10.1111/1462-2920.15463
- Strahl H., Errington J. Bacterial membranes: structure, domains, and function // Annu. Rev. Microbiol. 2017. V. 71. P. 519–538.
- Svenningsen M.S., Veress A., Harms A., Mitarai N., Semsey S. Birth and resuscitation of (p)ppGpp induced antibiotic tolerant persister cells // Sci. Rep. 2019. V. 9. Art. 6056. https://doi.org/10.1038/s41598-019-42403-7
- Van den Bergh B., Fauvart M., Michiels J. Formation, physiology, ecology, evolution and clinical importance of bacterial persisters // FEMS Microbiol. Rev. 2017. V. 41. P. 219‒251. https://doi.org/10.1093/femsre/fux001
- Wainwright J., Hobbs G., Nakouti I. Persister cells: formation, resuscitation and combative therapies // Arch. Microbiol. 2021. V. 203. P. 5899–5906. https://doi.org/10.1007/s00203-021-02585-z
- Wiradiputra M.R.D., Khuntayaporn P., Thirapanmethee K., Chomnawang M.T. Toxin-antitoxin systems: a key role on persister formation in Salmonella enterica serovar Typhimurium // Infect. Drug Resist. 2022. V. 15. P. 5813–5829. https://doi.org/10.2147/IDR.S378157
Supplementary files









