Влияние атранов на рост Rhodococcus qingshengii VKM Ac-2784D в присутствии различных источников углерода и на его способность к разложению нафталина
- Авторы: Беловежец Л.А.1, Маркова Ю.А.2, Левчук А.А.1, Оборина Е.Н.1, Адамович С.Н.1
-
Учреждения:
- Иркутский институт химии им. А.Е. Фаворского СО РАН
- Сибирский институт физиологии и биохимии растений СО РАН
- Выпуск: Том 92, № 1 (2023)
- Страницы: 77-85
- Раздел: ЭКСПЕРИМЕНТАЛЬНЫЕ СТАТЬИ
- URL: https://ogarev-online.ru/0026-3656/article/view/138174
- DOI: https://doi.org/10.31857/S0026365622600390
- EDN: https://elibrary.ru/NNLXFM
- ID: 138174
Цитировать
Полный текст
Аннотация
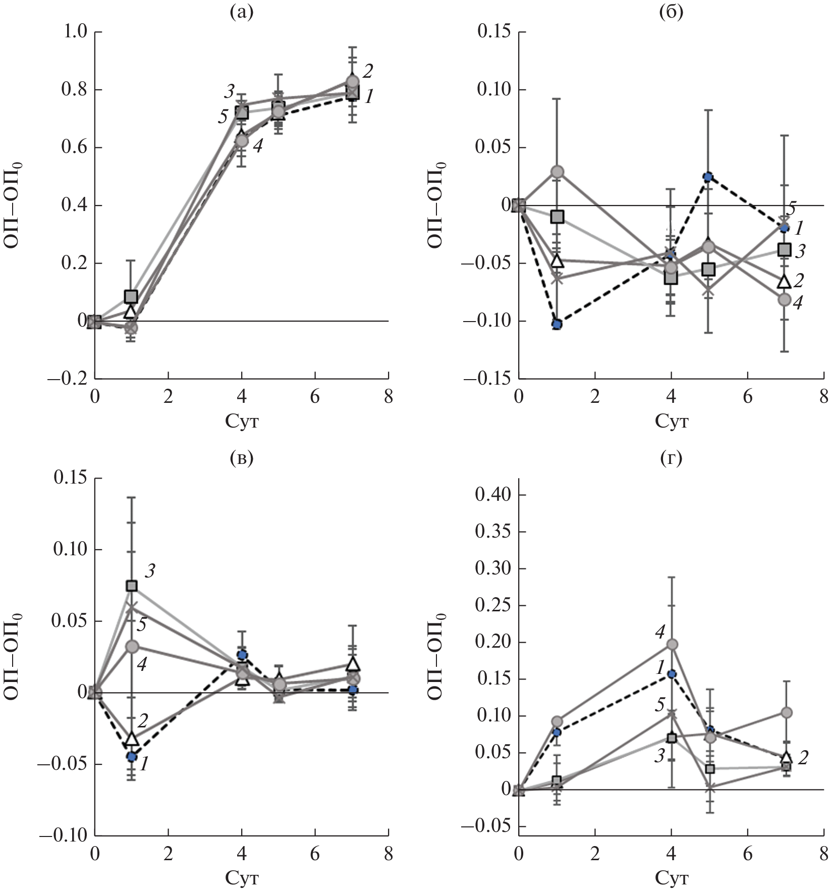
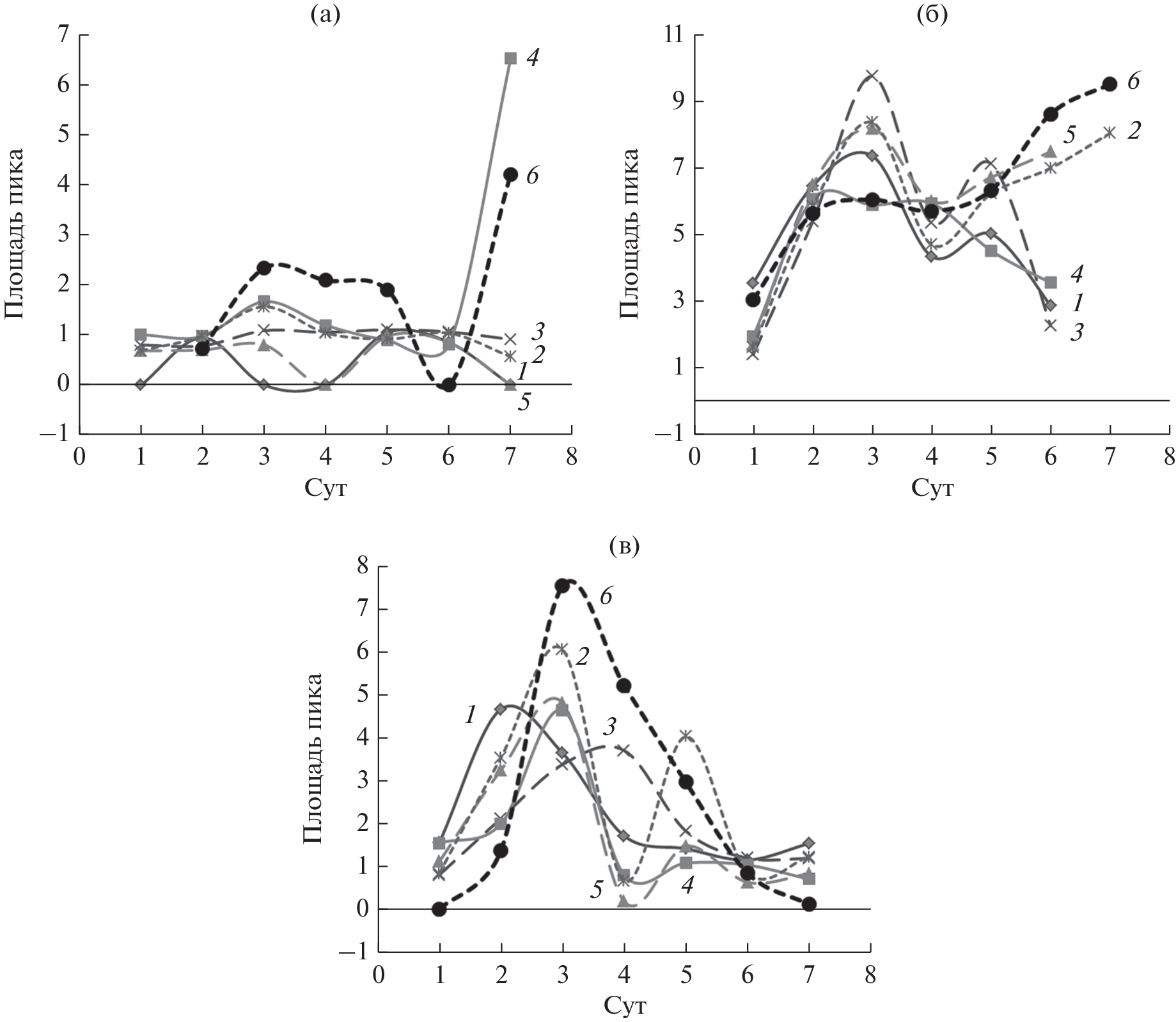
Rhodococcus qingshengii VKM Ac-2784D, выделенный из ризосферы пырея, является перспективным нефтедеструктором. Для увеличения его биотехнологического потенциала было изучено влияние атранов (потенциальных стимуляторов роста) на рост и деструкцию нафталина данным микроорганизмом. Показано, что сила и характер влияния исследуемых атранов на все изучаемые параметры функционирования R. qingshengii VKM Ac-2784D зависят от природы источника углерода: внесение атранов в богатую питательную среду БТН практически не влияло на скорость роста бактерий; в минеральной среде 8Е и в среде 8Е с глюкозой происходила кратковременная активация роста, характеризующаяся сокращением лаг-фазы; в присутствии нафталина данные соединения действовали на прирост популяции R. qingshengii VKM Ac-2784D преимущественно негативно. Исследованные атраны оказывали неблагоприятное воздействие на скорость разложения нафталина R. qingshengii VKM Ac-2784D, а также снижали гидрофобность клеточной стенки и синтез внеклеточных биосурфактантов. Предполагается, что исследованные соединения будут негативно влиять на скорость разложения нефти данным микроорганизмом.
Об авторах
Л. А. Беловежец
Иркутский институт химии им. А.Е. Фаворского СО РАН
Автор, ответственный за переписку.
Email: lyu-sya@yandex.ru
Россия, 664033, Иркутск
Ю. А. Маркова
Сибирский институт физиологии и биохимии растений СО РАН
Email: lyu-sya@yandex.ru
Россия, 664033, Иркутск
А. А. Левчук
Иркутский институт химии им. А.Е. Фаворского СО РАН
Email: lyu-sya@yandex.ru
Россия, 664033, Иркутск
Е. Н. Оборина
Иркутский институт химии им. А.Е. Фаворского СО РАН
Email: lyu-sya@yandex.ru
Россия, 664033, Иркутск
С. Н. Адамович
Иркутский институт химии им. А.Е. Фаворского СО РАН
Email: lyu-sya@yandex.ru
Россия, 664033, Иркутск
Список литературы
- Беловежец Л.А., Третьякова М.С., Маркова Ю.А. Микробный препарат для биоремедиации почвы, загрязненной нефтью и нефтепродуктами. Патент РФ № 2705290. 2019.
- Беловежец Л.А., Третьякова М.С., Маркова Ю.А. Микробный препарат для защиты растений, произрастающих на нефтезагрязненных почвах. Патент РФ № 2744094. 2021.
- Василенко С.Л., Кохановская Е.Ю., Перова В.А., Титок М.А. Характеристика природных деструкторов нафталина // Материалы III Межд. науч. конф. “Ксенобиотики и живые системы”. Минск, 22‒24 октября 2008 г. С. 21‒23.
- Воронков М.Г., Барышок В.П. Силатраны в медицине и сельском хозяйстве. Новосибирск: СО РАН, 2005. 255 с.
- Ерофеевская Л.А., Чернявский В.Ф. Потенциал использования Rhodococcus для активации процессов очищения почв от нефтезагрязнений // Современная наука: актуальные проблемы теории и практики. Серия: Естественные и технические науки. 2016. № 9‒10. С. 3‒6.
- Ившина И.Б., Куюкина М.С., Каменских Т.Н., Криворучко А.В., Тюмина Е.А., Елькин А.А. Углеводородокисляющие родококки: особенности биологической организации под воздействием экополлютантов: атлас-монография / Под ред. Ившиной И.Б. Екатеринбург: УрО РАН, 2021. 140 с.
- Куюкина М.С. Биосурфактанты актинобактерий рода Rhodococcus: индуцированный биосинтез, свойства, применение. Автореферат дис. … докт. биол. наук. Пермь, 2006. 45 с.
- Леменовский Д.А., Зайцева Г.С., Карлов С.С. Атраны ‒ молекулярные бутоны // Природа. 2008. № 3. С. 28‒34.
- Решедько Г.К., Cтецюк О.У. Особенности определения чувствительности микроорганизмов диско-диффузионным методом // Клиническая микробиология и антимикробная химиотерапия. 2001. Т. 3. С. 348‒354.
- Рогозина Е.А., Андреева О.А., Жаркова С.И., Мартынова Д.А., Орлова Н.А. Сравнительная характеристика отечественных биопрепаратов, предлагаемых для очистки почв и грунтов от загрязнения нефтью и нефтепродуктами // Нефтегазовая геология. Теория и практика. 2010. Т. 5. № 3. С. 1‒18.
- Серебрякова Е.В., Дармов И.В., Медведев Н.П., Алексеев С.А., Рыбак С.И. Оценка гидрофобных свойств бактериальных клеток по адсорбции на поверхности капель хлороформа // Микробиология. 2002. Т. 70. С. 237‒239.
- Тимергазина И.Ф., Переходова Л.С. К проблеме биологического окисления нефти и нефтепродуктов углеводородо-кисляющими микроорганизмами // Нефтегазовая геология. Теория и практика. 2012. Т. 7. № 1. С. 1‒28.
- Третьякова М.С., Беловежец Л.А., Маркова Ю.А. Скрининг бактерий, ассоциированных с растениями, по способности деструктировать компоненты нефти // Системы. Методы. Технологии. 2015. № 4(28). С. 138‒142.
- Шаханов А.В., Досаев А.А., Скичко А.С. Математическое моделирование процесса биоразложения дротаверина гидрохлорида клетками родоккоков // Успехи в химии и химической технологии. 2019. Т. 33. № 11(221). С. 101‒104.
- Adamovich S.N. New atranes and similar ionic complexes. Synthesis, structure, properties // Appl. Organomet. Chem. 2019. V. 33. Art. e4940.
- Krivoruchko A., Kuyukina M., Ivshina I. Advanced rhodococcus biocatalysts for environmental biotechnologies // Catalysts. 2019. V. 9. Art. 236.
- Mirskova A.N., Adamovich S.N., Mirskov R.G. Protatranes as effective biostimulators for agriculture, biotechnology, and microbiology // Chem. Sustain. Develop. 2016. V. 24. P. 713‒729.
- Petrushin I.S., Markova Y.A., Karepova M.S., Zaytsev Y.V., Belovezhets L.A. Complete genome sequence of Rhodococcus qingshengii strain VKM Ac-2784D, isolated from Elytrigia repens rhizosphere // Microbiol. Resour. Announc. 2021. V. 10. Art. e00107-21.
Дополнительные файлы









