Ингибирующее действие низкомолекулярного хитозана на рост бактерий с различными тинкториальными свойствами
- Авторы: Коробов В.П.1, Шагдарова Б.Ц.2, Варламов В.П.2,3, Есаев А.Л.1, Полюдова Т.В.4
-
Учреждения:
- Институт экологии и генетики микроорганизмов УрО РАН ‒ филиал Пермского федерального исследовательского центра УрО РАН
- Институт биоинженерии им. К.Г. Скрябина, Федеральный исследовательский центр “Фундаментальные основы биотехнологии” РАН
- Казанский (Приволжский) федеральный университет
- Пермский государственный аграрно-технологический университет им. ак. Д.Н. Прянишникова
- Выпуск: Том 92, № 2 (2023)
- Страницы: 197-203
- Раздел: ЭКСПЕРИМЕНТАЛЬНЫЕ СТАТЬИ
- URL: https://ogarev-online.ru/0026-3656/article/view/138165
- DOI: https://doi.org/10.31857/S0026365622600754
- EDN: https://elibrary.ru/AVQTEW
- ID: 138165
Цитировать
Полный текст
Аннотация
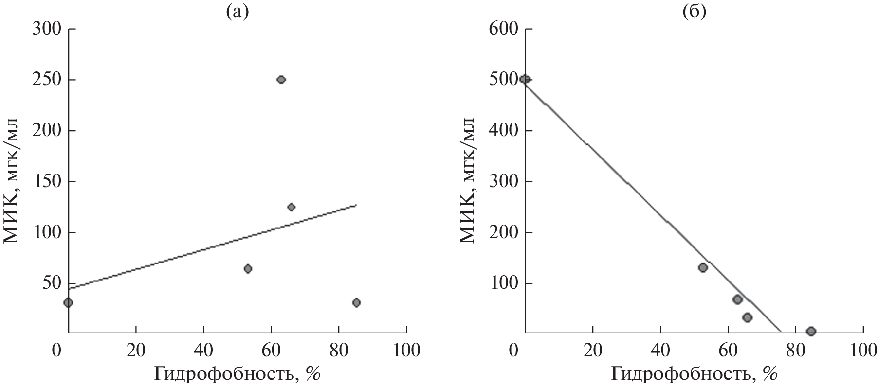
Выявлено ингибирующее действие хитозана с молекулярной массой 28 кДа, степенью деацетилирования 94% и его кватернизированного производного со степенью замещения 60% на бактерии разных систематических групп. Показано, что бактерии, обладающие разными поверхностными характеристиками клеточной стенки и сродством к красителям, различаются по степени чувствительности к хитозану. Между антибактериальной активностью кватернизированного хитозана и поверхностными характеристиками клеточной стенки выявлены корреляции, зависящие от степени гидрофобности и величины суммарного отрицательного заряда бактерий.
Об авторах
В. П. Коробов
Институт экологии и генетики микроорганизмов УрО РАН ‒ филиал Пермского федеральногоисследовательского центра УрО РАН
Email: polyudova@iegm.ru
Россия, 614081, Пермь
Б. Ц. Шагдарова
Институт биоинженерии им. К.Г. Скрябина, Федеральный исследовательский центр“Фундаментальные основы биотехнологии” РАН
Email: polyudova@iegm.ru
Россия, 119071, Москва
В. П. Варламов
Институт биоинженерии им. К.Г. Скрябина, Федеральный исследовательский центр“Фундаментальные основы биотехнологии” РАН; Казанский (Приволжский) федеральный университет
Email: polyudova@iegm.ru
Россия, 119071, Москва; Россия, 420008, Казань
А. Л. Есаев
Институт экологии и генетики микроорганизмов УрО РАН ‒ филиал Пермского федеральногоисследовательского центра УрО РАН
Email: polyudova@iegm.ru
Россия, 614081, Пермь
Т. В. Полюдова
Пермский государственный аграрно-технологический университетим. ак. Д.Н. Прянишникова
Автор, ответственный за переписку.
Email: polyudova@iegm.ru
Россия, 614990, Пермь
Список литературы
- Долгоносов А.М. Модель межмолекулярного взаимодействия общего типа между молекулой и жидкой фазой, основанная на теории обобщенных зарядов // Сорбционные и хроматографические процессы. 2020. Т. 20. № 3. С. 343‒361.
- Ерошенко Д.В., Коробов В.П. Адгезия стафилококков: первый шаг к образованию биопленок // Успехи современной биологии. 2017. Т. 137. № 1. С. 100‒112.
- Зайцева Е.А., Шаркова В.А., Диго Р.Н., Воропаева Н.М., Бронников Ю.Н. Морфологические и тинкториальные свойства бактерий. Владивосток: Медицина ДВ, 2015. 81 с.
- Красавцев В.Е., Куприна Е.Э., Маслова Г.В., Албулов А.И. Хитин и хитозан. Сырьевые источники, основные методы переработки // Хитозан / Под ред. Скря-бина К.Г., Михайлова С.Н., Варламова В.П. М.: Центр “Биоинженерия”, 2013. С. 18‒48.
- Красильников А.П., Романовская Т.Р. Микробиологический словарь-справочник. 2-е изд. Мн.: “Асар”, 1999. 400 с.
- Панькова Н.В., Полюдова Т.В., Лемкина Л.М., Коробов В.П. Гидрофобные и донорно-акцепторные свойства поверхности клеток стафилококков, чувствительных и устойчивых к варнерину // Микробиология. 2011. Т. 80. С. 568‒570.
- Pan’kova N.V., Polyudova T.V., Lemkina L.M., Korobov V.P. Hydrophobic and donor-acceptor properties of the surface of warnerin-sensitive or resistant staphylococcus cells // Microbiology (Moscow). 2011. V. 80. P. 573‒575.
- Теппер Е.З., Шильникова В.К., Переверзева Г.И. Практикум по микробиологии. М.: “Колос”, 1972. 199 с.
- Хитин и хитозан: получение, свойства и применение / Под ред. Скрябина К.Г., Вихоревой Г.А. Вар-ламова В.П. М.: Наука, 2002. 368 с.
- Шагдарова Б.Ц., Ильина А.В., Варламов В.П. Антибактериальная активность алкилированных и ацилированных производных низкомолекулярного хитозана // Прикл. биохимия и микробиология. 2016. Т. 52. С. 237‒241.
- Shagdarova B.T., Il’ina A.V., Varlamov V.P. Antibacterial activity of alkylated and acylated derivatives of low-molecular weight chitosan // Appl. Biochem. Microbiol. 2016. V. 52. P. 222‒225.
- Шульгина М.В., Нарвская О.В., Мокроусов И.В. Патогенные и условно-патогенные микобактерии. М.: ООО “НЬЮ ТЕРРА”, 2018. 104 с.
- Юсупова Р.И., Курмаева А.И., Потапова М.В., Кулагина Е.М., Барабанов В.П. Суспензия клеток микроорганизмов как коллоидная система. Часть 2. Поверхностный заряд и электрокинетические свойства дрожжевых и бактериальных суспензий // Вестник Казанского технологического университета. 2013. Т. 16. № 4. С. 189‒191.
- Evans M.L., Gichana E., Zhou Y., Chapman M.R. Bacterial amyloids // Methods Mol. Biol. 2018. V. 1779. P. 267‒288.
- Rosenberg M. Bacterial adherence to hydrocarbons: a useful technique for studying cell surface hydrophobicity // FEMS Microbiol. Lett. 1984. V. 22. P. 289‒295.
- Schneewind O., Missiakas D. Lipoteichoic acids, phosphate-containing polymers in the envelope of gram-positive bacteria // J. Bacteriol. 2014. V. 196. P. 1133‒1142.
- Shagdarova B., Lunkov A., Il’ina A., Varlamov V. Investigation of the properties of N-[(2-hydroxy-3-trimethylammonium) propyl] chloride chitosan derivatives // Int. J. Biol. Macromol. 2019. V. 124. P. 994‒1001.
- Vadyvaloo V., Otto M. Molecular genetics of Staphylococcus epidermidis biofilms on indwelling medical devices // Int. J. Artif. 2005. V. 28. P. 1069‒1078.






