Rhodococcus rhodochrous ИЭГМ 1360 – эффективный биокатализатор C3 окислительной трансформации олеанановых тритерпеноидов
- Авторы: Лучникова Н.А.1,2, Тарасова Е.В.1,2, Гришко В.В.3, Ившина И.Б.1,2
-
Учреждения:
- Институт экологии и генетики микроорганизмов УрО РАН ‒ филиал Пермского федерального исследовательского центра УрО РАН
- Пермский государственный национальный исследовательский университет
- Институт технической химии УрО РАН ‒ филиал Пермского федерального исследовательского центра УрО РАН
- Выпуск: Том 92, № 2 (2023)
- Страницы: 184-196
- Раздел: ЭКСПЕРИМЕНТАЛЬНЫЕ СТАТЬИ
- URL: https://ogarev-online.ru/0026-3656/article/view/138161
- DOI: https://doi.org/10.31857/S0026365622600742
- EDN: https://elibrary.ru/AVNRKP
- ID: 138161
Цитировать
Полный текст
Аннотация
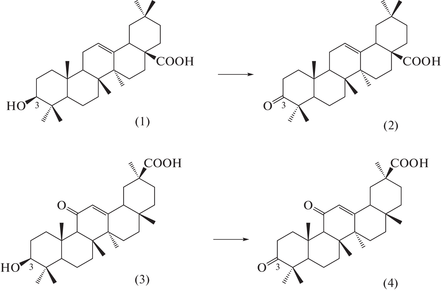
В результате проведенных исследований подобраны оптимальные условия С3 окислительной биотрансформации 1.0 г/л пентациклических тритерпеноидов олеаноловой (ОК) и глицирретовой (ГК) кислот с использованием нерастущих клеток Rhodococcus rhodochrous ИЭГМ 1360 из Региональной профилированной коллекции алканотрофных микроорганизмов. Наибольшую каталитическую активность по отношению к ОК и ГК проявляли суспензии нерастущих клеток с ОП600 2.6 в буфере pH 8.0 и ОП600 2.2 в буфере pH 6.0, что обеспечивало образование 61 и 100% 3-оксо-производных соответственно. С использованием фазово-контрастной, атомно-силовой и конфокальной лазерной сканирующей микроскопии выявлена ответная реакция родококков на воздействие ОК и ГК. In silico предположена апоптическая и антиоксидантная активность 3-оксо-ОК и 3-оксо-ГК соответственно. In vitro показана выраженная антибактериальная активность 3-оксо-ОК в отношении тест-культур Micrococcus luteus, Escherichia coli, Staphylococcus aureus и Bacillus subtilis. Отсутствие токсического действия тритерпеноидов и их 3-оксо-производных на водные и растительные объекты продемонстрировано in silico и in vitro соответственно.
Об авторах
Н. А. Лучникова
Институт экологии и генетики микроорганизмов УрО РАН ‒ филиал Пермского федеральногоисследовательского центра УрО РАН; Пермский государственный национальный исследовательский университет
Автор, ответственный за переписку.
Email: luchnikova.n@mail.ru
Россия, 614081, Пермь; Россия, 614990, Пермь
Е. В. Тарасова
Институт экологии и генетики микроорганизмов УрО РАН ‒ филиал Пермского федеральногоисследовательского центра УрО РАН; Пермский государственный национальный исследовательский университет
Email: luchnikova.n@mail.ru
Россия, 614081, Пермь; Россия, 614990, Пермь
В. В. Гришко
Институт технической химии УрО РАН ‒ филиал Пермского федеральногоисследовательского центра УрО РАН
Email: luchnikova.n@mail.ru
Россия, 614013, Пермь
И. Б. Ившина
Институт экологии и генетики микроорганизмов УрО РАН ‒ филиал Пермского федеральногоисследовательского центра УрО РАН; Пермский государственный национальный исследовательский университет
Email: luchnikova.n@mail.ru
Россия, 614081, Пермь; Россия, 614990, Пермь
Список литературы
- Иванова К.М., Гришко В.В., Ившина И.Б. Высокоэффективная биодеструкция экотоксичной дегидроабиетиновой кислоты нерастущими клетками Rhodococcus rhodochrous ИЭГМ 107 // Микробиология. 2022. Т. 91. С. 419–432.https://doi.org/10.31857/S002636562230022X
- Ivanova K.M., Grishko V.V., Ivshina I.B. Highly efficient biodegradation of ecotoxic dehydroabietic acid by resting cells of Rhodococcus rhodochrous IEGM 107 // Microbiology (Moscow). 2022. V. 91. P. 364–377.
- Лучникова Н.А., Иванова К.М., Тарасова Е.В., Гришко В.В., Ившина И.Б. Биоконверсия тритерпеноидов олеананового типа актинобактериями. IX Информационная школа молодого ученого. Россия. Екатеринбург. 2021. Сборник научных трудов. С. 15–26. https://doi.org/10.32460/ishmu-2021-9-0002
- Alho D.P.S., Salvador J.A.R., Cascante M., Marin S. Synthesis and antiproliferative activity of novel heterocyclic glycyrrhetinic acid derivatives // Molecules. 2019. V. 24. Art. 766.https://doi.org/10.3390/molecules24040766
- Atrat P., Hosel P., Richter W., Meyer H.W., Horhold C. Interactions of Mycobacterium fortuitum with solid sterol substrate particles // J. Basic Microbiol. 1991. V. 31. P. 413–422. https://doi.org/10.1002/jobm.3620310605
- Beseda I., Czollner L., Shah P.S., Khunt R., Gaware R., Kosma P., Stanetty C., del Ruiz-Ruiz M.C., Amer H., Mereiter K., Da Cunha T., Odermatt A., Claßen-Houben D., Jordis U. Synthesis of glycyrrhetinic acid derivatives for the treatment of metabolic diseases // Bioorg. Med. Chem. 2010. V. 18. P. 433–454.https://doi.org/10.1016/j.bmc.2009.10.036
- Calixto J.B. The role of natural products in modern drug discovery // An. Acad. Bras. Cienc. 2019. V. 91. e20190105. https://doi.org/10.1590/0001-3765201920190105
- Capel C.S., De Souza A.C.D., De Carvalho T.C., De Sousa J.P.B., Ambrósio S.R., Martins C.H.G., Cunha W.R., Galán R.H., Furtado N.A.J.C. Biotransformation using Mucor rouxii for the production of oleanolic acid derivatives and their antimicrobial activity against oral pathogens // J. Ind. Microbiol. Biotechnol. 2011. V. 38. P. 1493–1498.https://doi.org/10.1007/s10295-010-0935-y
- Cheremnykh K.M., Luchnikova N.A., Grishko V.V., Ivshina I.B. Bioconversion of ecotoxic dehydroabietic acid using Rhodococcus actinobacteria // J. Hazard. Mater. 2018. V. 346. P. 103–112.https://doi.org/10.1016/j.jhazmat.2017.12.025
- Choudhary M.I., Siddiqui Z.S., Nawaz S.A. Microbial transformation of 18β-glycyrrhetinic acid by Cunninghamella elegans and Fusarium lini, and lipoxygenase inhibitory activity of transformed products // Nat. Prod. Res. 2009. V. 23. P. 507–513. https://doi.org/10.1080/14786410500463536
- Clinical and Laboratory Standards Institute. Performance Standards for Antimicrobial Susceptibility Testing M100. 32nd edn. Malvern: Clinical and Laboratory Standards Institute, 2022. 362 p.
- Dawson R. Elliott D.C., Elliott W.H., Jones K.M. Data for Biochemical Research. 3rd edn. Oxford: Oxford University Press, 1986. 580 p.
- Duric K., Kovac-Besovic E., Niksic H., Sofic E. Antibacterial activity of methanolic extracts, decoction and isolated triterpene products from different parts of birch, Betula pendula, Roth // J. Plant Stud. 2013. V. 2. № 2. P. 61–70.https://doi.org/10.5539/jps.v2n2p61
- Funari C.S., de Almeida L., Passalaqua T.G., Martinez I., Ambrosio D.L., Cicarelli R.M.B., Silva D.H.S., Gramin-ha M.A.S. Oleanonic acid from Lippia lupulina (Verbenaceae) shows strong in vitro antileishmanial and antitrypanosomal activity // Acta Amazon. 2016. V. 46. P. 411–416. https://doi.org/10.1590/1809-4392201600204
- Gong T., Zheng L., Zhen X., He H.X., Zhu H.X., Zhu P. Microbial transformation of oleanolic acid by Trichothecium roseum // J. Asian Nat. Prod. Res. 2014. V. 16. P. 383–386.https://doi.org/10.1080/10286020.2014.884564
- Grishko V.V., Tarasova E.V., Ivshina I.B. Biotransformation of betulin to betulone by growing and resting cells of the actinobacterium Rhodococcus rhodochrous IEGM 66 // Process Biochem. 2013. V. 48. P. 1640–1644.https://doi.org/10.1016/j.procbio.2013.08.012
- Huang D., Ding Y., Li Y., Zhang W., Fang W., Chen X. Anti-tumor activity of a 3-oxo derivative of oleanolic acid // Cancer Lett. 2006. V. 233. P. 289–296.https://doi.org/10.1016/j.canlet.2005.03.019
- Ivshina I.B., Kuyukina M.S., Philp J.C., Christofi N. Oil desorption from mineral and organic materials using biosurfactant complexes produced by Rhodococcus species // World J. Microbiol. Biotechnol. 1998. V. 14. P. 711–717. https://doi.org/10.1023/A:1008885309221
- Ivshina I.B., Mukhutdinova A.N., Tyumina H.A., Vikhareva H.V., Suzina N.E., El’-Registan G.I., Mulyukin A.L. Drotaverine hydrochloride degradation using cyst-like dormant cells of Rhodococcus ruber // Curr. Microbiol. 2015. V. 70. P. 307–314.https://doi.org/10.1007/s00284-014-0718-1
- Kannan S., Sathasivam G., Marudhamuthu M. Decrease of growth, biofilm and secreted virulence in opportunistic nosocomial Pseudomonas aeruginosa ATCC 25619 by glycyrrhetinic acid // Microb. Pathog. 2019. V. 126. P. 332–342.https://doi.org/10.1016/j.micpath.2018.11.026
- Kumar D., Dubey K.K. Hybrid Approach for Transformation for Betulin (an Anti-HIV Molecule) / Eds. Gupta V., Pandey A. Amsterdam: Elsevier, 2019. P. 193–203.
- Luchnikova N.A., Grishko V.V., Ivshina I.B. Biotransformation of oleanane and ursane triterpenic acids // Molecules. 2020. V. 25. Art. 5526. https://doi.org/10.3390/molecules25235526
- Luchnikova N.A., Grishko V.V., Kostrikina N.A., Sorokin V.V., Mulyukin A.L., Ivshina I.B. Biotransformation of oleanolic acid using Rhodococcus rhodochrous IEGM 757 // Catalysts. 2022. V. 12. Art. 1352.https://doi.org/10.3390/catal12111352
- Ludwig B., Geib D., Haas C., Steingroewer J., Bley T., Muffler K., Ulber R. Whole-cell biotransformation of oleanolic acid by free and immobilized cells of Nocardia iowensis: characterization of new metabolites // Eng. Life Sci. 2015. V. 15. P. 108–115.https://doi.org/10.1002/elsc.201400121
- Ma C., Nakamura N., Hattori M. Chemical modification of oleanene type triterpenes and their inhibitory activity against HIV-1 protease dimerization // Chem. Pharm. Bull. 2002. V. 48. P. 1681–1688.
- Maldonado E., Amador S., Juárez-Jaimes V. Secondary metabolites from Asclepias otarioides // J. Mex. Chem. Soc. 2015. V. 59. P. 50–52.https://doi.org/10.29356/jmcs.v59i1.14
- Martinez A., Rivas F., Perojil A., Parra A., Garcia–Granados A., Fernandez-Vivas A. Biotransformation of oleanolic and maslinic acids by Rhizomucor miehei // Phytochemistry. 2013. V. 94. P. 229–237. https://doi.org/10.1016/j.phytochem.2013.05.011
- Nawawi N.M., Ahmad S.A., Maniyam M.N., Ibrahim A.L. Biotransformation of phenol by the resting cells of Rhodococcus sp. NAM 81 // Indian J. Fundam. Appl. Life Sci. 2016. V. 6. P. 101–107.
- Neumann G., Veeranagouda Y., Karegoudar T.B., Sahin Ö., Mäusezahl I., Kabelitz N., Kappelmeyer U., Heipieper H.J. Cells of Pseudomonas putida and Enterobacter sp. adapt to toxic organic compounds by increasing their size // Extremophiles. 2005. V. 9. P. 163–168.https://doi.org/10.1007/s00792-005-0431-x
- Pátek M., Grulich M., Nešvera J. Stress response in Rhodococcus strains // Biotechnol. Adv. 2021. Art. 107698.https://doi.org/10.1016/j.biotechadv.2021.107698
- Singh S., Florez H. Bioinformatic study to discover natural molecules with activity against COVID-19 // F1000Research. 2020. V. 9. Art. 1203 https://doi.org/10.12688/f1000research.26731.1
- Tarasova E.V., Grishko V.V., Ivshina I.B. Cell adaptations of Rhodococcus rhodochrous IEGM 66 to betulin biotransformation // Process Biochem. 2017. V. 52. P. 1–9.https://doi.org/10.1016/j.procbio.2016.10.003
- Uzoechi S.C., Abu-Lail N.I. The effects of β-lactam antibiotics on surface modifications of multidrug-resistant Escherichia coli: a multiscale approach // Micros. Microanal. 2019. V. 25. P. 135–150.https://doi.org/10.1017/S1431927618015696
- Wu S.Y., Cui S.C., Wang L., Zhang Y.T., Yan X.X., Lu H.L., Xing G.Z., Ren J., Gong L.K. 18β-Glycyrrhetinic acid protects against alpha-naphthylisothiocyanate-induced cholestasis through activation of the Sirt1/FXR signaling pathway // Acta Pharmacol. Sin. 2018. V. 39. P. 1865–1873. https://doi.org/10.1038/s41401-018-0110-y
- Xu S.H., Chen H.L., Fan Y., Xu W., Zhang J. Application of tandem biotransformation for biosynthesis of new pentacyclic triterpenoid derivatives with neuroprotective effect // Bioorg. Med. Chem. Lett. 2020. V. 30. Art. 126947.https://doi.org/10.1016/j.bmcl.2019.126947
- Xu S.H., Wang W.W., Zhang C., Liu X.F., Yu B.Y., Zhang J. Site-selective oxidation of unactivated C–H sp3 bonds of oleanane triterpenes by Streptomyces griseus ATCC 13273 // Tetrahedron. 2017. V. 73. P. 3086–3092.https://doi.org/10.1016/j.tet.2017.04.036
- Yan S., Lin H., Huang H., Yang M., Xu B., Chen G. Microbial hydroxylation and glycosidation of oleanolic acid by Circinella muscae and their anti-inflammatory activities // Nat. Prod. Res. 2018. V. 33. P. 1849–1855.https://doi.org/10.1080/14786419.2018.1477150
- Yu F., Wang Q., Zhang Z., Peng Y., Qiu Y., Shi Y., Zheng Y., Xiao S., Wang H., Huang X., Zhu L., Chen K., Zhao C., Zhang C., Yu M., Sun D., Zhang L., Zhou D. Development of oleanane-type triterpenes as a new class of HCV entry inhibitors // J. Med. Chem. 2013. V. 56. P. 4300–4319.https://doi.org/10.1021/jm301910a
Дополнительные файлы








