Microbiological Characteristics of Three Stratified Lakes in the Nizhny Novgorod Region
- Authors: Gorlenko V.M.1, Vainshtein M.B.2
-
Affiliations:
- Winogradsky Institute of Microbiology, Research Center of Biotechnology of the Russian Academy of Sciences
- Skryabin Institute of Biochemistry and Physiology of Microorganisms, Pushchino Scientific Center for Biological Research, Russian Academy of Sciences
- Issue: Vol 92, No 2 (2023)
- Pages: 160-170
- Section: EXPERIMENTAL ARTICLES
- URL: https://ogarev-online.ru/0026-3656/article/view/138158
- DOI: https://doi.org/10.31857/S0026365622600699
- EDN: https://elibrary.ru/AUHIAU
- ID: 138158
Cite item
Full Text
Abstract
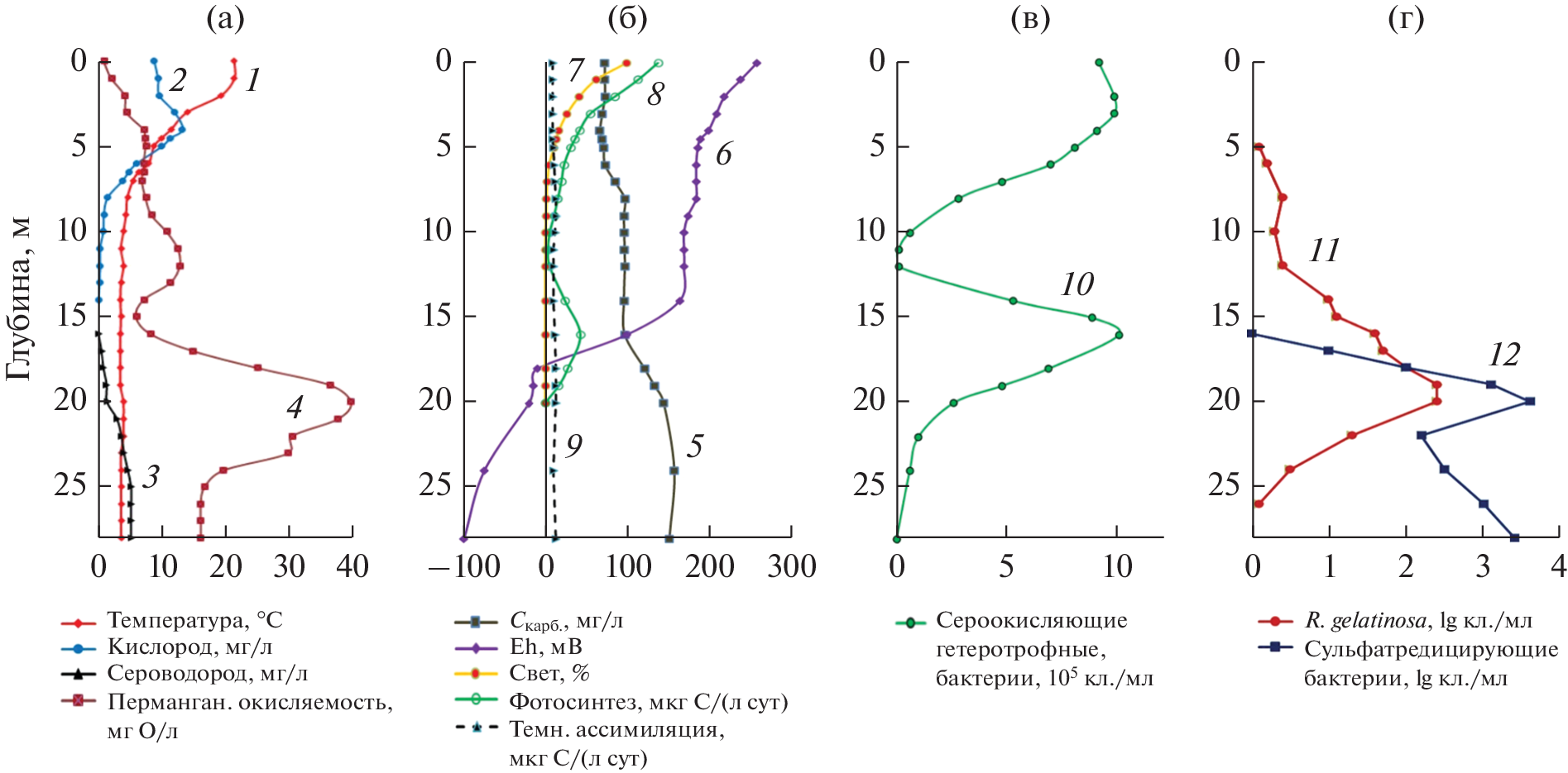
Abstract—Three karst lakes were investigated in the Nizhny Novgorod region: Staropustynskie lakes Svyato and Nekrasov Bay and Lake Svetloyar. The studied lakes belonged to the mesotrophic-eutrophic polyhumous type and were characterized by stable stratification with signs of meromixia. Their water columns were divided into aerobic and anaerobic zones, with the bottom water containing sulfide. Fe(II) compounds were also present in the Staropustynskie lakes. In the Lake Nekrasov Bay, the mixolimnion showed a high rate of oxygenic photosynthesis, up to 1.2 µg С L–1 day–1, as well as a maximum of anoxygenic photosynthesis in the chemocline (0.030–0.706 µg С L–1 day–1) at a depth of 1.5–2.5 m. The peak of dark CO2 assimilation (0.146 µg С L–1 day–1) occurred at a depth of 1.5 m in the oxycline zone. Anoxygenic phototrophic bacteria (APB) were found in the Lakes Zaliv Nekrasova and Svyato at the boundary of light penetration. Green sulfur bacteria with short cell prosthecate outgrowths, “Ancalochloris sp.,” predominated. Consortia “Chlorochromatium aggregatum” and filamentous chlorobacteria “Chloronema giganteum” were also found, their cell sheaths accumulated ferric iron salts. In the Staropustynskie lakes, various morphotypes of iron bacteria formed clusters in the microaerobic zone. In Lake Svetloyar the chemocline was located at a depth of 16 m, outside the photic zone, and the conditions were unfavorable for APB growth. In the studied lakes, heterotrophic aerobic bacteria played the main role in the aerobic oxidation of sulfur compounds in the chemocline zone.
About the authors
V. M. Gorlenko
Winogradsky Institute of Microbiology, Research Center of Biotechnology of the Russian Academy of Sciences
Author for correspondence.
Email: vgorlenko@mail.ru
Russia, 119071, Moscow
M. B. Vainshtein
Skryabin Institute of Biochemistry and Physiology of Microorganisms,Pushchino Scientific Center for Biological Research, Russian Academy of Sciences
Email: vgorlenko@mail.ru
Russia, 142290, Pushchino,
References
- Алекин О.А., Семенов А.Д., Скопинцев Б.А. Руководство по химическому анализу вод суши. Л.: Гидрометеоиздат, 1973. 272 с.
- Alekin O.A., Semenov A.D., Skopintsev B.A. Guide to the Chemical Analysis of Land Waters. Leningrad: Gidrometeoizdat, 1973. 272 p. (in Russian)
- Баянов Н.Г., Никишин В.И. Светлояр. По следам былых экспедиций // Нижний Новгород, Комитет охраны природы и управления природопользованием Нижегородской области. 2005. 152 с.
- Bayanov N.G., Nikishin V.I. Svetloyar. In the footsteps of erstwhile expeditions // Nizhny Novgorod, Committee for Nature Protection and Environmental Management of the Nizhny Novgorod Region. 2005. 152 p. (in Russian)
- Вайнштейн М.Б. Окисление сероводорода тионовыми бактериями // Микробиология. 1977. Т. 46. С. 1114‒1116.
- Vainshtein M.B. Oxidation of hydrogen sulfide by thionic bacteria. // Microbiology (Moscow). 1977. V. 46. P. 988‒999.
- Вайнштейн М.Б. Распространение тионовых бактерий в озерах // Микробиологические и химические процессы деструкции органического вещества в водоемах / Под ред. Романенко В.И., Скопинцева Б.А. Л.: Наука, 1979. С. 115‒128.
- Vainshtein M.B. Distribution of thionic bacteria in lakes // Microbiological and Chemical Processes of Destruction of Organic Matter in Water Bodies / Eds. Romanenko V.I., Skopintsev B.A. L.: Nauka, 1979. P. 115‒128. (in Russian)
- Горленко В.М., Вайнштейн М.Б., Чеботарев Е.Н. Бактерии круговорота серы и железа в низкосульфатном меромиктическом озере Кузнечиха // Микробиология. 1980. Т. 49. С. 804‒812.
- Gorlenko V.M., Vainshtein M.B., Chebotarev E.N. Bacteria of the sulfur and iron cycle in the low sulfate meromictic lake Kuznechikha // Microbiology (Moscow). 1980. V. 49. P. 653‒659.
- Горленко В.М., Локк С.И. Вертикальное распределение и особенности видового состава микроорганизмов некоторых стратифицированных озер Эстонии // Микробиология. 1979. Т. 48. С. 351‒359.
- Gorlenko V.M., Lokk S.I. Vertical distribution and species composition of microorganisms in some stratified lakes in Estonia // Microbiology (Moscow). 1979. V. 48. P. 283‒351.
- Дубинина Г.А., Горленко В.М. Новые нитчатые скользящие зеленые бактерии с газовыми вакуолями // Микробиология. 1975. Т. 44. С. 511‒517.
- Dubinina G.A., Gorlenko V.M. New filamentous gliding green bacteria with gas vacuoles // Microbiology (Moscow). 1975. V. 44. P. 511‒517. (in Russian)
- Дубинина Г.А., Сорокина А.Ю. Нейтрофильные литотрофные железоокисляющие прокариоты и их участие в биогеохимических процессах цикла железа // Микробиология. 2014. Т. 83. С. 127–142.
- Dubinina G.A., Sorokina A.Yu. Neutrophilic lithotrophic iron-oxidizing prokaryotes and their participation in the biogeochemical processes of the iron cycle // Microbiology (Moscow). 2014. V. 83. P. 1–14.
- Кузнецов С.И., Дубинина Г.А. Методы изучения водных микроорганизмов. М.: Наука, 1989. 288 с.
- Kuznetsov S.I., Dubinina G.A. Methods for Studying Aquatic Microorganisms. M.: Nauka, 1989. 288 p. (in Russian)
- Лаптева Н.А., Дубинина Г.А., Кузнецов С.И. Микробиологическая характеристика некоторых карстовых озер Горьковской области // Гидробиол. журн. 1985. Т. 21. № 2. С. 61‒68.
- Lapteva N.A., Dubinina G.A., Kuznetsov S.I. Microbiological characteristics of some karst lakes in the Gorky region // Hydrobiol. J. 1985. V. 21. № 2. P. 61‒68. (in Russian)
- Рогозин Д.Ю. Меромиктические озера Северо-Минусинской котловины: закономерности стратификации и экология фототрофных серных бактерий. Красноярск: КНЦ СО РАН, 2019. 241 с.
- Rogozin D.Yu. Meromictic Lakes of the North Minusinsk Basin: Regularities of Stratification and Ecology of Phototrophic Sulfur Bacteria. Krasnoyarsk: KSC SB RAS, 2019. 241 p. (in Russian)
- Сорокин Д.Ю. Окисление неорганических серных соединений облигатно хемолитотрофными бактериями // Микробиология. 2003. Т. 72. С. 725‒739.
- Sorokin D.Yu. Oxidation of inorganic sulfur compounds is obligatory by chemolithotrophic bacteria // Microbiology (Moscow). 2003. V. 72. P. 641‒653.
- Bura-Nakic E., Viollier E., Jezequel D., Thiam A., Ciglenecki I. Reduced sulfur and iron species in anoxic water column of meromictic crater Lake Pavin (Massif Centre France) // Chem. Geol. 2009. V. 266. P. 320–326.
- Canfield D.E., Poulton S.W., Knoll A.H., Narbonne G.M., Ross G., Goldberg T., Strauss H. Ferruginous conditions dominated later Neoproterozoic deep-water chemistry // Science. New Series. 2008. V. 321. P. 949–952.
- Crowe S.A., Maresca J.A., Jones C., Strum A., Henny C., Fowle D.A., Cox R.P., Delong E.F., Canfield D.E. Deep-water anoxygenic photosythesis in a ferruginous chemocline // Ge-obiology. 2014. V. 12. P. 322–339.
- Gorlenko V.M. Ecological niches of green sulfur and gliding bacteria // Green Photosynthetic Bacteria / Eds. Olson J.M., Ormerod J.G., Amesz J., Stackebrandt E., Truper H.G. N.Y.: Plenum, 1988. P. 257–267.
- Gorlenko V.M., Dubinina G.A., Kuznetsov S.I. The Ecology of Aquatic Microorganisms. Stuttgart: E. Schweizerbartsche Verlagsbuchhandlung, 1983. 252 p.
- Hamilton T.L., Bovee R.J., Thiel V., Sattin R., Mohr W., Schaperdoth I., Vogl K., Gilhooly W.P., Lyons T.W., Tomsho L.P., Schuster S.C., Overmann J., Bryant D.A., Pearson A., Macalady J.L. Coupled reductive and oxidative sulfur cycling in the phototrophic plate of a meromictic lake // Geobiology. 2014. V. 12. P. 451–468.
- Hegler F., Posth N.R., Jiang J., Kappler A. Physiology of phototrophic iron(II)-oxidizing bacteria: implications for modern and ancient environments // FEMS Microbiol. Ecol. 2008. V. 66. P. 250–260.
- Heising S., Richter L., Ludwig W., Schink B. Chlorobium ferrooxidans sp. nov., a phototrophic green sulfur bacterium that oxidizes ferrous iron in coculture with a “Geospirillum” sp. strain // Arch. Microbiol. 1999. V. 172. P. 116‒124.
- Hutt L.P. Taxonomy, physiology and biochemistry of the sulfur Bacteria // Ph.D. Theses. Plymouth: University of Plymouth, 2017. 300 p. https://pearl.plymouth.ac.uk/handle/10026.1/8612
- Lambrecht N., Stevenson Z., Sheik C.S., Pronschinske M.A., Tong H., Swanner E.D. “Candidatus Chlorobium masyuteum”, a novel photoferrotrophic green sulfur bacterium enriched from a ferruginous meromictic lake // Front. Microbiol. 2021. V. 12. Art. 695260.
- Poulton S.W., Canfield D.E. Ferruginous conditions: a dominant feature of the ocean through Earth’s history // Elements. 2011. V. 7. P. 107–112.
- Savvichev A.S., Kokryatskaya N.M., Zabelina S.A., Rusanov I.I., Zakharova E.E., Veslopolova E.F., Lunina O.N., Patutina E.O., Bumazhkin B.K., Gruzdev D.S., Sigalevich P.A., Pimenov N.V., Kuznetsov B.B., Gorlenko V.M. Microbial processes of the carbon and sulfur cycles in an ice-covered, iron-rich meromictic Lake Svetloe (Arkhangelsk region, Russia) // Environ. Microbiol. 2017. V. 19. P. 659‒672.
- Sorokin Y.I., Kadota H. Techniques for the assessment of microbial production and decomposition in fresh waters // IBP Handbook no. 23. Oxford, UK: Blackwell Scientific Publications, 1972. 112 p.
- Straub K.L., Rainey F.A., Widdel F. Rhodovulum indosum sp. nov and Rhodovulum robiginosum sp. nov., two new marine phototrophic ferrous-iron-oxidizing purple bacteria // Int. J. Syst. Bacteriol. 1999. V. 49. P. 729–735.
- Van Gemerden H., Mass J. Ecology of phototrophic sulfur bacteria // Anoxygenic Photosynthetic Bacteria / Eds. Blankenship R.E., Madigan M.T., Bauer C.E. Netherlands, Kluwer Academic Publishers, 1995. P. 49–85.
- Walter X.A., Picazo A., Miracle M.R., Vicente E., Camacho A., Aragno M., Zopfi J. Phototrophic Fe(II)-oxidation in the chemocline of a ferruginous meromictic lake // Front. Microbiol. 2014. V. 5. Art. 713.
- Widdel F., Pfennig N. Studies on dissimilatory sulfate-reducing bacteria that decompose fatty acids // Arch. Microbiol. 1981. V. 129. P. 395–400.
- Widdel F., Schnell S., Heising S., Ehrenreich A., Assmus B., Schink B. Ferrous iron oxidation by anoxygenic phototrophic bacteria // Nature. 1993. V. 362. P. 834–836.
Supplementary files






