Influence of Storage Methods on the Vitality and Growth Rate of Macrofungi
- Authors: Komissarov N.S.1, Dyakov M.Y.1, Garibova L.V.1
-
Affiliations:
- Lomonosov Moscow State University
- Issue: Vol 58, No 4 (2024)
- Pages: 314-326
- Section: ФИЗИОЛОГИЯ, БИОХИМИЯ, БИОТЕХНОЛОГИЯ
- URL: https://ogarev-online.ru/0026-3648/article/view/266863
- DOI: https://doi.org/10.31857/S0026364824040051
- EDN: https://elibrary.ru/uwwcnh
- ID: 266863
Cite item
Full Text
Abstract
The work contains a comparative analysis of methods for storing pure cultures of macrofungi. The study used 20 species of macrofungi from various taxonomic and ecological-trophic groups. Storage was carried out using five methods: serial subculturing, storage under a layer of distilled water and three cryopreservation protocols: a protocol using blocks of agar medium, a “perlite protocol” and a “grain protocol”. For the selected cryostorage methods, various cryoprotective compounds (glycerol, trehalose) were used. Radial growth rate was used as a criterion for the state of crops. The values of the radial growth rate obtained immediately after isolation of the pure culture were chosen as the control. It has been shown that the most favorable for preserving the physiological activity of cultures are the storage method under a layer of distilled water, “perlite” and “grain” cryopreservation protocols.
Full Text
ВВЕДЕНИЕ
Многие виды макромицетов представляют значительный интерес для пищевой и биотехнологической промышленности, поскольку обладают чрезвычайно разнообразным биохимическим профилем и высокой пищевой ценностью. Плодовые тела макромицетов являются богатым источником питательных веществ и незаменимых аминокислот (Ahlawat et al., 2016; Vetter, 2019). При этом содержание витаминов и ряда микроэлементов в плодовых телах не уступает свежим овощам, сыру и яйцам (Mattila et al., 2001; Furlani, Godoy, 2008). Макромицеты также являются продуцентами различных активных соединений, обладающих высоким фармацевтическим и терапевтическим потенциалом. Так, ряд соединений Ganoderma lucidum обладает цитотоксическим эффектом по отношению к раковым клеткам, в том числе по отношению к саркоме 180 (Liu et al., 2002; Li et al., 2005; Xia et al., 2020). Герицерон, еринакол и еринацин из Hericium erinaceus обладают противовоспалительным, иммуномодулирующим и антиоксидантным действием (Wang et al., 2005; Liu et al., 2015; Li et al., 2018). Плодовые тела Pleurotus ostreatus содержат спектр соединений, обладающих высокой цитотоксичностью по отношению к раковым клеткам (Patel et al., 2012; Deepalakshmi, Sankaran, 2014).
Для успешного промышленного применения макромицетов необходимо наличие коллекций чистых культур, играющих важную роль в сохранении жизнеспособности, микробиологической чистоты и генетической стабильности штаммов, а также в сохранении генофонда редких и исчезающих видов (Hawksworth, 1985; Mayorova et al., 2023). На сегодняшний день в коллекциях чистых культур с той или иной степенью успешности применяется широкий спектр методов хранения, включающий в себя группу протоколов хранения на агаризованных средах и в замороженном состоянии. Используемые методы изначально были разработаны для видов микромицетов, активно образующих различные анаморфные спороношения, которые обладают высокой устойчивостью к неблагоприятным условиям среды (Castellani, 1963; Hwang, 1960). В связи с тем, что у большинства макромицетов в культуре не формируются структуры бесполого спороношения (Bukhalo, 1988), использование стандартных протоколов часто бывает не оптимальным и в значительной степени ограничивает спектр видов, которые могут успешно переживать хранение (Homolka et al., 2001). Ввиду высокого промышленного потенциала съедобных макромицетов, необходимым представляется изучение влияния хранения различными методами на сохранение жизнеспособности чистых культур для стабильного использования на биотехнологических производствах, а также разработка новых и модернизация известных протоколов хранения (Field et al., 1993; Reid, Paice, 1994; Sánchez, 2009; Albu et al., 2020).
Целью представленной работы является сравнительное изучение влияния различных методов хранения на жизнеспособность, морфолого-культуральные и физиологические характеристики штаммов макромицетов из разных таксономических и эколого-трофических групп.
МАТЕРИАЛЫ И МЕТОДЫ
Штаммы макромицетов. Основная часть коллекции штаммов макромицетов, используемых в работе, была получена из плодовых тел, собранных в природных экосистемах. Экспедиционная работа проводилась в Уссурийском государственном природном заповеднике ДВО РАН и Кавказском государственном природном биосферном заповеднике им. Х.Г. Шапошникова. Также изоляция чистых культур осуществлялась в Москве и на территории Звенигородской биологической станции МГУ им. С.Н. Скадовского. В состав коллекции также были включены производственные штаммы видов Agaricus bisporus (ООО “Сантана”), Cordyceps militaris (ООО “Агробиотехнология”) и Pleurotus nebrodensis (и. п. М. Прохоров).
Полученные культуры были заложены на хранение в коллекцию кафедры микологии и альгологии Биологического факультета МГУ им. М.В. Ломоносова (табл. 1), зарегистрированной в электронной базе данных World Data Centre for Microorganisms. Ваучерные гербарные образцы соответствующих плодовых тел переданы на хранение в гербарий Ботанического института им. В.Л. Комарова РАН.
Таблица 1. Рабочая коллекция штаммов чистых культур макромицетов
Вид | Штамм | Порядок | Трофическая группа | Субстрат | № в Генбанке |
Agaricus bisporus (J.E. Lange) Imbach | PR58 | Agaricales | Hu | коммерческий мицелий | – |
Auricularia auricula-judae (Bull.) Quél. | MR16 | Auriculariales | Le | валеж Populus tremula | – |
A. nigricans (Sw.) Birkebak, Looney et Sánchez-García | FE25 | Auriculariales | Le | валеж лиственной породы | – |
Cordyceps militaris (L.) Fr. | MR67 | Hypocreales | Pin | личинка мухи | – |
Fistulina hepatica (Schaeff.) With. | RA04 | Agaricales | Par | ствол живого Quercus sp. | – |
Flammulina rossica Redhead et R.H. Petersen | MR55* | Agaricales | Le | валеж Betula sp. | PP916615 |
Ganoderma lucidum (Curtis) P. Karst. | MR40* | Polyporales | Le | пень Betula sp. | PP916612 |
Hericium coralloides (Scop.) Pers. | MR57* | Russulales | Le | валеж лиственной породы | PP916611 |
H. erinaceus (Bull.) Pers. | FE53* | Russulales | Le | валеж лиственной породы | PP916613 |
H. flagellum (Scop.) Pers. | RA09 | Russulales | Le | валеж лиственной породы | – |
Lentinula edodes (Berk.) Pegler | FE20 | Agaricales | Le | валеж Quercus mongolica | – |
Lycoperdon pyriforme Schaeff. | RA03 | Agaricales | Le | валеж лиственной породы | – |
Mycetinis alliaceus (Jacq.) Earle ex A.W. Wilson et Desjardin | RA01 | Agaricales | Hu | почва | – |
Mycoleptodonoides vassiljevae Nikol. | FE34* | Polyporales | Le | валеж лиственной породы | PP916616 |
Phallus impudicus L. | RA02 | Phallales | Hu | почва | – |
Pleurotus citrinopileatus Singer | FE27* | Agaricales | Le | валеж Ulmus sp. | PP916614 |
P. nebrodensis (Inzenga) Quél. | PR62 | Agaricales | Le | коммерческий штамм | – |
P. ostreatus (Jacq.) P. Kumm. | MR1* | Agaricales | Le | валеж Populus tremula | PP813756 |
Sarcosoma globosum (Schmidel) Casp. | MR61 | Pezizales | Hu | почва | – |
Sparassis latifolia Y.C. Dai et Zheng Wang | FE30* | Polyporales | Par | ствол живого Pinus koraiensis | PP920511 |
Примечание. MR – Московская обл.; FE – Уссурийский край; PR – промышленный штамм; RA – Республика Адыгея; Hu – гумусовый сапротроф; Le – сапротроф на древесине; Par – паразит на деревьях и кустарниках; Pin – паразит на насекомых. *Видовая принадлежность подтверждена молекулярно-генетическими методами.
Выделение изолятов проводили сразу после сбора плодовых тел в полевых условиях тканевым способом, помещая фрагменты трамы на следующие агаризованные среды: модифицированный сусло-агар (4 градуса по Баллингу) (Pidoplichko, 1953) и среда № 337 по стандарту American Type Culture Collection (ATCC) (картофель 300 г, глюкоза 20 г, дрожжевой автолизат 5 г, агар 15 г, дистиллированная вода 1000 мл) с добавлением антибиотиков цефалоспоринового ряда III поколения (цефтриаксон или цефотаксим) из расчета 0.75 мг/мл питательной среды.
Видовую идентификацию осуществляли по морфологии плодовых тел. Для части штаммов были получены ДНК-штрихкоды по участку ITS, который сегодня признан универсальным генетическим маркером для грибов (Schoch et al., 2012; Lücking et al., 2020). ДНК из фрагментов мицелия выделяли при помощи CTAB-буфера. Для идентификации штаммов амплифицировали участок ITS с праймерами ITS1F и ITS4 (White et al., 1990). ПЦР проводили в амплификаторе Bio-Rad T100 (США), в качестве реакционной смеси использовали смесь для ПЦР ScreenMix (Евроген, Москва). Амплификант визуализировали в 1%-м агарозном геле, для очистки ПЦР продукта использовали набор Cleanup Standard (Евроген, Москва). Секвенирование ДНК проводила компания “Евроген” с использованием праймеров ITS1F и ITS4 на секвенаторе Applied Biosystems 3730xl (Applied Biosystems, США). Для подтверждения видовой принадлежности, был проведен поиск сходных нуклеотидных последовательностей через алгоритм BLAST. Вновь полученные последовательности были депонированы в GenBank (табл. 1).
В работу включены штаммы видов, относящихся к разным таксономическим и эколого-трофическим группам, многие из которых нашли широкое применение как в пищевой, так и фармацевтической промышленности. Также в список вошли и малоизученные виды макромицетов, предположительно обладающие высоким биотехнологическим потенциалом.
Из 20 отобранных штаммов, 18 принадлежат видам из порядков Agaricales, Auriculariales, Phallales, Polyporales и Russulales, включенных в класс Agaricomycetes отдела Basidiomycota. Оставшиеся два штамма – Cordyceps militaris MR67 и Sarcosoma globosum MR61 – относятся соответственно к порядку Hypocreales класса Sordariomycetes и порядку Pezizales класса Pezizomycetes из отдела Ascomycota (табл. 1).
Принадлежность к эколого-трофическим группам устанавливалась по классификации А.Е. Коваленко (Kovalenko, 1980).
Методы хранения чистых культур. Для оценки влияния различных методов хранения чистых культур на жизнеспособность макромицетов, отобранные штаммы рабочей коллекции были помещены на хранение следующими способами:
1) хранение методом серийных пересевов (субкультивирование);
2) хранение под слоем дистиллированной воды;
3) хранение в замороженном состоянии (криохранение):
— на агаровых блоках (Hwang, 1960);
— по “перлитовому протоколу” (Homolka et al., 2001);
— по “зерновому протоколу” (Colauto et al., 2011).
Были выбраны как классические методы, широко применяемые в отечественных и зарубежных коллекциях штаммов (субкультивирование, хранение под слоем дистиллированной воды и криохранение агаровых блоков), так и экспериментальные протоколы – “перлитовый протокол” и “зерновой протокол”. Для всех способов период хранения составил шесть месяцев. Замораживание культур осуществляли с использованием следующих криопротекторов: 10%-й р-р глицерина, 10%-й р-р трегалозы и комбинация 10%-х р-ров глицерина и трегалозы в соотношении 1 : 1. Все опыты проводили в пятикратной повторности. Подробное описание используемых методов хранения чистых культур было рассмотрено ранее (Komissarov et al., 2023).
Хранение методом серийных пересевов. Осуществляли с использованием питательной среды № 337. Пробирки со скошенной агаризованной средой инокулировали культурой исследуемых штаммов и инкубировали в термостате при температуре 25°C. После зарастания поверхности среды мицелием, пробирки переносили в холодильную камеру (5°C). Для культур, хранившихся на агаризованных средах в пробирках со скошенной средой, проводили серийные пересевы каждые два месяца.
Хранение под слоем дистиллированной воды. Блоки агаризованной среды № 337 с развившимся на ней мицелием исследуемого штамма помещали в стерильные полипропиленовые пробирки объемом 2 мл и покрывали стерильной дистиллированной водой. Хранение пробирок проводили в холодильных камерах (5°C). После периода хранения проводили посев блоков с мицелием на среду № 337.
Криохранение. Криохранение штаммов проводили в морозильных камерах при –80°C. Заморозку осуществляли при помощи контейнера для контролируемой заморозки Nalgene Mr. Frosty Cryo (производства Thermo Scientific), обеспечивающего плавное понижение температуры со скоростью –1°C/мин, принятой как оптимальной для сохранения жизнеспособности (Houseknecht et al., 2012; Eichlerová, Homolka, 2014). Криопробирки помещали в указанный контейнер и переносили в морозильную камеру. По окончании периода хранения проводили посев на агаризованные среды и изучение радиальной скорости роста. Для изъятия с хранения, культуры размораживали путем погружения криопробирок в воду комнатной температуры. После размораживания, криопробирки вытирали бумажными полотенцами для удаления лишней влаги, края резьбы обрабатывали ватным тампоном, смоченным спиртом.
Протокол с использованием агаровых блоков. Для помещения на криохранение была выбрана модификация данного протокола, включающая в себя вырезание блоков агаризованной среды с развившимся мицелием изучаемого штамма, помещение их в стерильные криопробирки и внесение раствора криопротектора. После инкубации при комнатной температуре в течение 1 ч, что необходимо для проникновения криопротектора в клеточные покровы, проводили замораживание образцов (Hwang, 1968).
“Перлитовый протокол”. Данный протокол подразумевает применение в качестве субстрата-носителя вспененного перлита, покрытого слоем жидкой питательной среды с добавлением криопротекторных соединений, которые затем инокулируют исследуемым штаммом и инкубируют в течение 14 сут (Homolka et al., 2001). В работе использовали разработанную нами модификацию данного протокола, которая включает в себя проведение рыхления субстрата на седьмые сутки инкубации и внесение дополнительного объема жидкой питательной фракции, содержащей криопротекторные соединения. Заморозку осуществляли на 14-е сутки инкубации.
“Зерновой протокол”. Подразумевает использование органического субстрата-носителя, зерен пшеницы (Triticum aestivum), подвергнутых отвариванию. Непосредственно замораживанию подвергается зерновой мицелий – обработанные зерна пшеницы с развившимся на них мицелием исследуемых штаммов, погруженные под слой раствора криопротектора (Colauto et al., 2011).
Морфолого-культуральные исследования. Изъятые с хранения штаммы сеяли на чашки Петри со средой № 337 с дальнейшей инкубацией при 25°C. Для исследования влияния различных методов хранения на физиологические характеристики культур макромицетов чашки Петри инкубировали в термостатируемой камере (25°C) в течение 14 суток. Для вычисления радиальной скорости роста каждые 24 ч проводили замеры диаметров колоний в двух взаимно перпендикулярных направлениях. Из полученных значений диаметров колоний вычитали значения диаметров за предыдущие сутки, проводили подсчет среднего арифметического значения за весь период наблюдения (Burnett, 1976). Все опыты были поставлены в пятикратной повторности. Дисперсионный анализ данных осуществляли по методу Тьюки (уровень вероятности P = 0.95) (Tukey, 1949).
РЕЗУЛЬТАТЫ И ОБСУЖДЕНИЕ
Хранение на агаризованных средах
В процессе хранения методом серийных пересевов все изученные штаммы сохранили свою жизнеспособность. Тем не менее, наблюдали снижение значений скорости роста культур по сравнению с значениями, полученными для второго пассажа культур до помещения на хранение (табл. 2). Уменьшение значений скорости роста варьировалось в пределах от –0.01 мм/сут до –0.63 мм/сут. Особенно характерно это было для штаммов видов Agaricus bisporus (с 2.82 мм/сут до 2.33 мм/сут), Auricularia auricula-judae (с 5.89 мм/сут до 5.26 мм/сут), Ganoderma lucidum (с 4.73 мм/сут до 4.24 мм/сут), Mycetinis alliaceus (с 3.32 мм/сут до 2.77 мм/сут).
Таблица 2. Средняя радиальная скорость роста колоний исследуемых штаммов до и после периода хранения
Вид | Штамм | К | Δ средней радиальной скорости роста, мм/сут | ||||
СП | ДВ | АБ | ПП | ЗП | |||
Гумусовые сапротрофы | |||||||
Agaricus bisporus | PR58 | 2.82 ± 0.09 | –0.49 | –0.61 | –2.33 | –1.65 | 0.4 |
Marasmius alliaceus | RA01 | 3.32 ± 0.09 | –0.55 | –0.04 | –1.43 | –0.94 | –0.88 |
Phallus impudicus | RA02 | 2.34 ± 0.04 | –0.05 | –0.2 | –* | – | – |
Sarcosoma globosum | MR61 | 4.16 ± 0.09 | –0.41 | –0.25 | –1.71 | –0.81 | –0.49 |
Ксилосапротрофы | |||||||
Auricularia auricula-judae | MR16 | 5.89 ± 0.15 | –0.63 | –0.1 | –4.54 | –3.88 | –2.67 |
A. nigricans | FE25 | 5.56 ± 0.14 | –0.46 | –0.2 | –1.33 | –3.55 | –1.54 |
Flammulina rossica | MR55 | 7.11 ± 0.21 | –0.2 | –0.02 | –1.4 | –0.28 | –3 |
Ganoderma lucidum | MR40 | 4.73 ± 0.11 | –0.49 | –0.08 | –1.38 | 0.51 | –0.18 |
Hericium coralloides | MR57 | 6.12 ± 0.12 | –0.21 | –0.11 | –2.77 | –0.61 | –1.57 |
H. erinaceus | FE53 | 5.41 ± 0.09 | –0.28 | –0.11 | –2.33 | –1.2 | –0.7 |
H. flagellum | RA09 | 2.78 ± 0.05 | –0.37 | –0.33 | – | –1.77 | – |
Lentinula edodes | FE20 | 4.54 ± 0.08 | –0.09 | –0.02 | –1.29 | –2.46 | –1.73 |
Lycoperdon pyriforme | RA03 | 2.99 ± 0.06 | –0.14 | –0.58 | –0.67 | –0.51 | –0.41 |
Mycoleptodonoides vassiljevae | FE34 | 7.02 ± 0.17 | –0.09 | –0.01 | –0.78 | –0.1 | –1.9 |
Pleurotus citrinopileatus | FE27 | 6.92 ± 0.13 | –0.03 | –0.15 | –0.9 | –0.27 | –0.55 |
P. nebrodensis | PR62 | 5.57 ± 0.1 | –0.36 | –0.19 | 1.5 | – | 0.46 |
P. ostreatus | MR1 | 7.07 ± 0.18 | –0.26 | –0.02 | –0.02 | –0.01 | –0.01 |
Паразиты древесных растений | |||||||
Fistulina hepatica | RA04 | 0.19 ± 0.01 | –0.01 | –0.01 | – | – | – |
Sparassis latifolia | FE30 | 0.54 ± 0.01 | –0.01 | –0.01 | – | – | – |
Паразиты насекомых | |||||||
Cordyceps militaris | MR67 | 3.14 ± 0.06 | –0.36 | –0.09 | – | –1.35 | –1.85 |
Примечание. К – контроль (средняя скорость роста до периода хранения, мм/сут); СП – серийные пересевы; ДВ – дистиллированная вода; АБ – протокол с использованием агаровых блоков; ПП – “перлитовый протокол”; ЗП – “зерновой протокол”. *Отсутствие данных по причине гибели культуры в процессе хранения. Для протоколов криохранения приведены значения скорости роста в вариантах опыта с оптимальными криопротекторами.
Вместе с негативным влиянием на морфолого-культуральные характеристики и имеющей место опасности контаминации культур, хранение методом серийных пересевов характеризуется высокими трудозатратами и необходимостью наличия больших объемов свободного пространства для хранения носителей мицелия (пробирки со скошенной средой, чашки Петри и т. д.). В то же время данный метод сравнительно дешев и не высокотехнологичен, позволяет сохранять в жизнеспособном состоянии штаммы, для которых не подходит хранение другими способами (Humber, 1997). На данный момент хранение методом серийных пересевов активно применяется в отечественных и зарубежных коллекциях чистых культур (Ozerskaya et al., 2006; Kovalenko, 2022; Psurtseva, Kiyashko, 2022).
Хранение под слоем дистиллированной воды
Как и в случае с предыдущим методом, все исследованные штаммы сохранили свою жизнеспособность при хранении под слоем дистиллированной воды (табл. 2). В то же время было отмечено уменьшение значений скоростей роста в спектре от –0.01 мм/сут до –0.61 мм/сут. Наибольшее снижение значений радиальной скорости роста было характерно для штаммов видов Agaricus bisporus (с 2.82 мм/сут до 2.21 мм/сут), Lycoperdon pyriforme (с 2.99 мм/сут до 2.42 мм/сут) и Hericium flagellum (с 2.78 мм/сут до 2.45 мм/сут). При этом для Agaricus bisporus негативное влияние хранения под слоем дистиллированной воды было более явным, чем в варианте опыта с серийными пересевами. За исключением штаммов Lycoperdon pyriforme и Pleurotus citrinopileatus, подобное не регистрировалось для изучаемых штаммов ксилосапротрофных видов. Возможно, это связано с чувствительностью отдельных штаммов к недостатку кислорода.
Тем не менее в ряде исследований была показана высокая эффективность хранения чистых культур представителей разных таксономических и эколого-трофических групп под слоем дистиллированной воды (Burdsall, Dorworth, 1994; Croan et al., 1999; Richter et al., 2010; Castro-Rios, Bermeo-Escobar, 2021). На сегодняшний день хранение под слоем дистиллированной воды, наряду с методом серийных пересевов, широко применяется в различных учебных и научных коллекциях. Использование данного метода позволяет увеличить продолжительность хранения и избежать частых пересевов на новые носители, что позволяет в значительной степени снизить трудовые и временные затраты, а также вероятность контаминации культур (Ozerskaya et al., 2006; Psurtseva, Kiyashko, 2022).
Криохранение. Протокол с использованием агаровых блоков
Для штаммов, помещенных на хранение по данному протоколу, было отмечено сильное снижение значений скорости роста в спектре от –0.02 мм/сут (для Pleurotus ostreatus) до –4.54 мм/сут (для Auricularia auricula-judae). Штаммы видов Cordyceps militaris, Fistulina hepatica, Hericium flagellum, Phallus impudicus, Sparassis latifolia утратили жизнеспособность (табл. 2, 3). Необходимо отметить, что большинство исследуемых штаммов продемонстрировало сравнительно более сильное развитие стелющегося по поверхности субстрата мицелия, поисковых гиф, в то время как воздушный мицелий формировался слабо и колонии были менее плотными.
Наиболее эффективными криопротекторами были 10%-й р-р трегалозы и смесь 10%-х р-ров глицерина и трегалозы. Использование 10%-го р-ра глицерина в качестве криопротекторного соединения в данном протоколе позволило сохранить жизнеспособность почти всех штаммов, при этом наблюдали сильное снижение значений скорости роста (от –0.16 мм/сут до –2.82 мм/сут). 10%-й р-р трегалозы был оптимален для штаммов видов, относящихся к эколого-трофической группе гумусовых сапротрофов. Следует отметить, что данный криопротектор также был оптимален и для Auricularia auricula-judae, Hericium coralloides, Lentinula edodes, ксилотрофных макромицетов (табл. 3). Исключением был штамм Pleurotus nebrodensis. После хранения культуры P. nebrodensis демонстрировали слабое развитие воздушного мицелия при значительном увеличении значений радиальной скорости роста (от 0.66 мм/сут до 1.5 мм/сут). Возможно, это связано с тем, что выбранный нами штамм является промышленным и мог претерпеть ряд целенаправленных изменений, в том числе связанных с увеличением его устойчивости к хранению в замороженном состоянии.
Таблица 3. Средняя радиальная скорость роста колоний исследуемых штаммов до и после периода криохранения в зависимости от используемых криопротекторных соединений
Вид | К | Δ средней радиальной скорости роста, мм/сут | |||||||||
Агаровые блоки | “Перлитовый протокол” | “Зерновой протокол” | |||||||||
Г | Т | Г + Т | Г | Е | Г + Т | Г | Т | Г + Т | |||
Гумусовые сапротрофы | |||||||||||
Agaricus bisporus | 2.82 ± 0.09 | –2.53 | –2.33 | –2.5 | –2.21 | –1.65 | –* | –1.61 | 0.4 | –0.09 | |
Marasmius alliaceus | 3.32 ± 0.09 | –1.58 | –1.43 | –1.57 | –1.31 | –0.94 | – | –1.28 | –0.88 | –1 | |
Sarcosoma globosum | 4.16 ± 0.09 | –1.73 | –1.75 | –1.71 | –0.94 | –0.81 | –0.93 | –0.89 | –0.49 | –0.68 | |
Ксилосапротрофы | |||||||||||
Auricularia auricula-judae | 5.89 ± 0.15 | – | –4.54 | – | –4.53 | –3.88 | – | –3.96 | –2.08 | –2.58 | |
A. nigricans | 5.56 ± 0.14 | –1.45 | –1.75 | –1.33 | –2.65 | –0.78 | –1.65 | –2.04 | –1.54 | –1.71 | |
Flammulina rossica | 7.11 ± 0.21 | –2.68 | –2.6 | –1.4 | –0.43 | –0.41 | –0.28 | –3.04 | –3.44 | –3 | |
Ganoderma lucidum | 4.73 ± 0.11 | –0.16 | –1.38 | –1.81 | 0.18 | –1.01 | 0.51 | –0.18 | –0.92 | –1.02 | |
Hericium coralloides | 6.12 ± 0.12 | –2.54 | –2.41 | –3.33 | –0.61 | –0.77 | – | –0.91 | –0.55 | –0.79 | |
H. erinaceus | 5.41 ± 0.09 | –2.33 | –2.58 | –3.32 | –1.2 | –2.47 | –3.1 | –2.48 | –0.7 | –1.1 | |
H. flagellum | 2.78 ± 0.05 | – | – | – | – | –1.77 | – | – | – | – | |
Lentinula edodes | 4.54 ± 0.08 | –2.01 | –1.29 | –1.37 | – | –2.88 | –2.46 | –3.28 | –1.73 | –2.37 | |
Lycoperdon pyriforme | 2.99 ± 0.06 | –1.05 | –0.75 | –0.67 | – | –0.51 | – | –1.1 | –0.76 | –0.41 | |
Mycoleptodonoides vassiljevae | 7.02 ± 0.17 | –1.57 | –1.19 | –0.78 | –0.53 | –0.1 | –0.62 | –1.9 | –2.06 | –2.13 | |
Pleurotus citrinopileatus | 6.92 ± 0.13 | –2.82 | –1.59 | –0.9 | –1.47 | –0.32 | –0.27 | –1.36 | –1.86 | –0.55 | |
P. nebrodensis | 5.57 ± 0.1 | 0.66 | 1.37 | 1.5 | –3.05 | –4.46 | – | –0.05 | –0.62 | 0.46 | |
P. ostreatus | 7.07 ± 0.18 | –1.02 | –2.5 | –0.02 | –0.16 | 0 | –0.01 | –0.02 | –0.01 | 0 | |
Паразиты насекомых | |||||||||||
Cordyceps militaris | 3.14 ± 0.06 | – | – | – | –2.01 | –1.8 | –1.35 | –1.85 | –2.01 | –1.95 | |
Примечание. К – контроль (средняя скорость роста до периода хранения, мм/сут); Г – 10%-й р-р глицерина; Т – 10%-й р-р трегалозы; Г + Т – смесь 10%-х р-ров глицерина и трегалозы. *Отсутствие данных по причине гибели культуры в процессе хранения.
Протокол с использованием агаровых блоков нашел широкое применение во многих отечественных и зарубежных учебных и научных коллекциях благодаря своей относительной простоте и универсальности. Тем не менее многие виды базидиальных макромицетов утрачивают жизнеспособность после хранения по данному протоколу (Ito, Nakagiri, 1996; Danell, Flygh, 2002; Crahay et al., 2013; Sato et al., 2019).
Криохранение. “Перлитовый протокол”
Почти все изучаемые штаммы сохранили жизнеспособность после хранения по “перлитовому протоколу”. Тем не менее для большинства штаммов чистых культур наблюдали значительное снижение значений средней скорости роста колоний (от –0.01 мм/сут до –4.53 мм/сут) (табл. 2, 3). В то же время штамм Ganoderma lucidum показал обратную динамику – повышение значений скорости роста в вариантах хранения с использованием глицерина и смеси криопротекторов на 0.18 мм/сут и 0.51 мм/сут соответственно. Колонии развивались быстрее, демонстрируя более сильное развитие поисковых субстратных гиф при более слабом развитии воздушного мицелия. Более слабое развитие воздушного мицелия было также свойственно штаммам ксилотрофных видов Hericium coralloides, Mycoleptodonoides vassiljevae, Pleurotus citrinopileatus, P. ostreatus. При этом для штамма вида Lycoperdon pyriforme, находившегося на хранении с добавлением 10%-го р-ра трегалозы, отмечали, что колония становилась более плотной, с бо́льшим развитием воздушного мицелия.
Наилучшие результаты показали штаммы видов, включенных в группу ксилосапротрофов, в то время как паразиты древесных пород не смогли сохранить свою жизнеспособность после периода криохранения (табл. 2, 3). Для гумусовых сапротрофов оптимальным криопротекторным соединением был показан 10%-й р-р трегалозы, в то время как для ксилотрофов наиболее подходящими были 10%-й р-р трегалозы и смесь р-ров глицерина и трегалозы (табл. 3).
“Перлитовый протокол” был представлен как замена стандартному протоколу с использованием агаровых блоков, которая позволяет расширить список видов, которые могут сохранять жизнеспособность в процессе криохранения. В ряде исследований была показана его высокая эффективность, что, вкупе со сравнительной простотой, позволяет применять “перлитовый протокол” в учебных и научных коллекциях (Homolka et al., 2001; Sato et al., 2019).
Криохранение. “Зерновой протокол”
В сравнении с “перлитовым протоколом”, замораживание штаммов по “зерновому протоколу” позволило сохранить жизнеспособность почти всех отобранных штаммов. “Зерновой протокол” показал наибольшую эффективность по сравнению с другими протоколами криохранения, позволив сохранить значения исследуемых морфолого-культуральных характеристик наиболее близкими к контрольным (табл. 2, 3). Это может быть связано с тем, что используемые криопротекторные соединения и носитель (подвергнутое тепловой обработке зерно пшеницы) могут служить дополнительными источниками питания для мицелия штаммов.
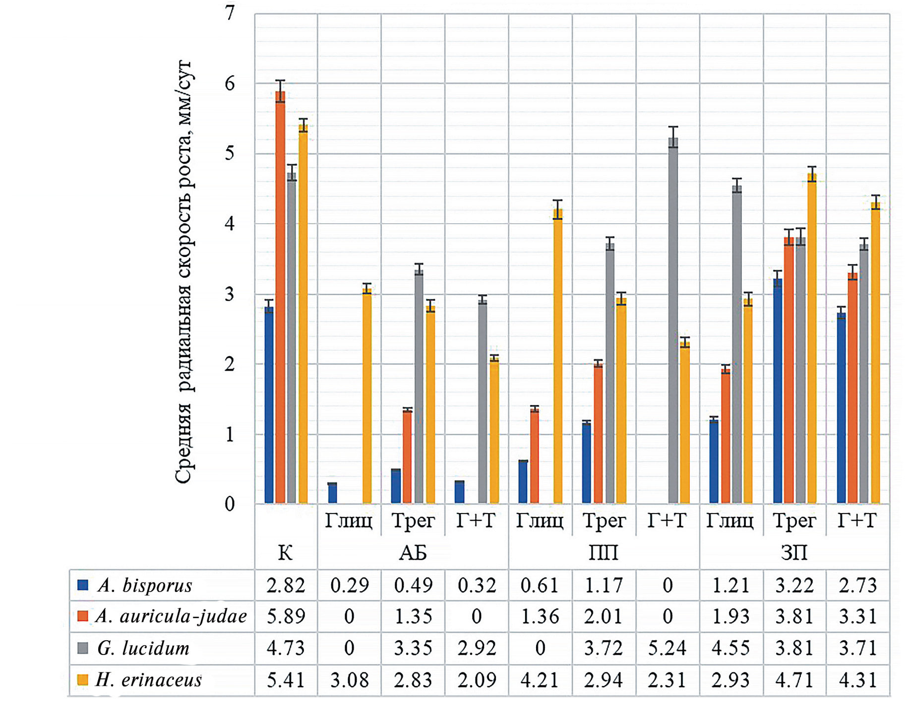
Большинство гумусовых сапротрофов, помещенных на хранение по “зерновому протоколу”, показали наилучшие характеристики для варианта опыта с использованием 10%-го р-ра трегалозы (кроме штамма Marasmius alliaceus, для которого оптимальной была смесь 10%-х р-ров криопротекторов). Для Agaricus bisporus, помещенного на хранение под слоем 10%-й трегалозы, было показано повышение скорости роста на 0.4 мм/сут. Вместе с этим ксилосапротрофные виды показывали наибольшие значения как в вариантах опыта с смесью криопротекторов, так и с 10%-м р-ром трегалозы (табл. 3, рис. 1). На рисунках 1 и 2 приведены данные для штаммов Agaricus bisporus PR58, Auricularia auricula-judae MR16, Ganoderma lucidum MR40, Hericium erinaceus FE53 как наиболее наглядно демонстрирующих зависимость радиальной скорости роста от методов хранения.
Рис. 1. Средняя радиальная скорость роста штаммов макромицетов до и после периода криохранения: К – контроль (средняя скорость роста до периода хранения, мм/сут); Глиц – 10%-й р-р глицерина; Трег – 10%-й р-р трегалозы; Г + Т – смесь 10%-х р-ров глицерина и трегалозы; АБ – протокол с использованием агаровых блоков; ПП – “перлитовый протокол”; ЗП – “зерновой протокол”
Рис. 2. Средняя радиальная скорость роста штаммов до и после периода хранения по всем протоколам: СП – серийные пересевы; ДВ – дистиллированная вода; АБ – протокол с использованием агаровых блоков; ПП – “перлитовый протокол”; ЗП – “зерновой протокол”. Для методов криохранения указаны данные скорости роста в вариантах с оптимальными криопротекторами (для Agaricus bisporus – 10%-й р-р трегалозы, Auricularia auricula-judae – 10%-й р-р трегалозы, Ganoderma lucidum – 10%-й р-р глицерина и смесь криопротекторов, Hericium erinaceus – 10%-й р-р глицерина и смесь криопротекторов)
Высокая эффективность применения “зернового протокола” была показана в ряде работ по криохранению зернового мицелия штаммов базидиомицетов (Mata, Pérez-Merlo, 2003; Colauto et al., 2011; Linde et al., 2018; Bertéli et al., 2022). Вместе с относительной простотой, несмотря на необходимость подготовки зернового мицелия, данный протокол представляет собой достойную замену протокола с использованием агаровых блоков.
После периода хранения вышеперечисленными методами для подавляющего большинства штаммов наблюдалось снижение значений скорости роста (табл. 2). Метод серийных пересевов и хранения под слоем дистиллированной воды позволили сохранить жизнеспособность всех изученных штаммов. При этом снижение значений радиальной скорости роста для штаммов, находившихся на хранении под слоем дистиллированной воды, было более слабым (табл. 2, 3). Группа методов криохранения, в отличие от вышеуказанных методов, не была оптимальной для штаммов Fistulina hepatica и Sparassis latifolia, паразитов древесных растений, и для штамма Phallus impudicus, гумусового сапротрофа, которые утратили жизнеспособность в процессе хранения. Уменьшение скорости роста было наиболее значительным для штаммов, хранившихся на “агаровых блоках” (рис. 1). Использование “перлитового” и “зернового” протоколов позволило сохранить в жизнеспособном состоянии большинство включенных в работу штаммов, в отдельных случаях увеличив скорость их роста (табл. 2, 3).
В ходе исследования было обнаружено, что паразиты древесных растений наиболее чувствительны к негативным факторам замораживания, что выражалось в гибели культуры в процессе хранения. В то же время это было показано и для штамма RA02 вида Ph. impudicus. Это может быть связано как с видовыми особенностями, так и с использованием неоптимальных питательных сред. Отметим, что закономерностей между таксономической принадлежностью и способностью к сохранению жизнеспособности после периодов хранения отмечено не было.
Было показано, что штаммы видов гумусовых сапротрофов лучше сохраняют свою жизнеспособность и скорость роста при использовании 10%-го р-ра трегалозы в качестве криопротектора. Для ксилосапротрофных видов, в свою очередь, оптимальными были как 10%-й р-р трегалозы, так и смесь 10%-х р-ров глицерина и трегалозы (табл. 3; рис. 2).
Исходя из полученных данных, можно утверждать, что для изученных 20 штаммов макромицетов оптимальными были метод хранения под слоем дистиллированной воды, а также “перлитовый” и “зерновой” протоколы криохранения (табл. 2, 3). Стоит добавить, что отобранные штаммы ксилосапротрофных видов были менее чувствительными к выбору криопротекторных соединений, в отличие от гумусовых сапротрофов. Целесообразным представляется проведение индивидуального подбора методов хранения, криопротекторов, их концентраций и комбинаций для разных видов, а возможно, и для отдельных штаммов. Помимо этого, необходимым является расширение спектра изучаемых видов.
Выражаем искреннюю благодарность в. н. с. БИН РАН к. б. н. Н.В. Псурцевой за помощь в ознакомлении с основными методами хранения чистых культур макромицетов, в. н. с. кафедры микологии и альгологии Биологического факультета МГУ им. М.В. Ломоносова А.В. Александровой за ценные комментарии и помощь в оформлении статьи, коллективу ООО “Школы Грибоводства” за предоставление штамма Agaricus bisporus, Б.А. Борисову за штамм Cordyceps militaris, М. Прохорову за уникальную возможность выделить культуру Pleurotus nebrodensis и коллективу НОШ “Космос” космического факультета МГУ за предоставление необходимого оборудования. Работа выполнена с использованием оборудования, приобретенного за счет средств Программы развития Московского университета.
About the authors
N. S. Komissarov
Lomonosov Moscow State University
Author for correspondence.
Email: macoloams@gmail.com
Russian Federation, Moscow
M. Yu. Dyakov
Lomonosov Moscow State University
Email: max_fungi@mail.ru
Russian Federation, Moscow
L. V. Garibova
Lomonosov Moscow State University
Email: gariblv@yandex.ru
Russian Federation, Moscow
References
- Ahlawat O.P., Manikandan K., Singh M. Proximate composition of different mushroom varieties and effect of UV light exposure on vitamin D content in Agaricus bisporus and Volvariella volvacea. Mushroom Research. 2016. V. 25 (1). P. 1–8.
- Albu C.V., Rădoi T.A., Diguță C.F. et al. Screening among micro and macromycetes for laccase production. AgroLife Scientific J. 2020. V. 9 (1). P. 11–16.
- Antropova A.B., Belozerskaya T.A., Belozersky M.A. et al. Workshop on the physiology and biochemistry of fungi. Moscow, 2017 (In Russ.).
- Belova N.V., Psurtseva N.V., Gachkova U.Yu. et al. Conservation of biodiversity of basidiomycetes ex situ in the specialized collection of crops LE (BIN). Mikologiya i fitopatologiya. 2005. V. 39 (2) 2. P. 1–10 (In Russ.).
- Bertéli M.B.D., Pinheiro C.R., Philadelpho B.O. et al. Long-term cryopreservation of Lentinus crinitus strains by wheat grain technique. J. Microbiological Methods. 2022. V. 198. https://doi.org/10.1016/j.mimet.2022.106491
- Borman A.M., Szekely A., Campbell C.K. et al. Evaluation of the viability of pathogenic filamentous fungi after prolonged storage in sterile water and review of recent published studies on storage methods. Mycopathologia. 2006. V. 161 (6). P. 361–368. https://doi.org/10.1007/s11046-006-0023-z.
- Bukhalo A.S. Higher edible basidiomycetes in pure culture. Naukova Dumka, Kiev, 1988 (In Russ.).
- Burdsall H.H. Jr., Dorworth E.B. Preserving cultures of wood-decaying Basidiomycotina using sterile distilled water in cryovials. Mycologia. 1994. V. 86 (2). P. 275–280. https://doi.org/10.1080/00275514.1994.12026408
- Burnett J.H. Fundamentals of mycology. Edward, L., 1976.
- Castellani A. Further researches on the long viability and growth of many pathogenic fungi and some bacteria in sterile distilled water. Mycopathologia. 1963. V. 20. (1). P. 1–6. https://doi.org/10.1007/BF02054872
- Castro-Rios K., Bermeo-Escobar L.P. Methods for the culture conservation of edible and medicinal fungi. J. Microbiol. Biotechnol. Food Sci. 2021. V. 10 (4). P. 620–625. https://doi.org/10.15414/jmbfs.2021.10.4.620-625
- Colauto N.B., da Eira A.F., Linde G.A. Cryopreservation at −80°C of Agaricus blazei on rice grains. World J. Microbiol. Biotechnol. 2011. V. 27 (12). P. 3015–3018. https://doi.org/10.1007/s11274-011-0772-9
- Crahay C., Declerck S., Colpaert J.V. et al. Viability of ectomycorrhizal fungi following cryopreservation. Fungal Biol. 2013. V. 117 (2). P. 103–111. https://doi.org/10.1016/j.funbio.2012.12.003
- Croan S.C., Burdsall H.H. et al. Preservation of tropical wood-inhabiting basidiomycetes. Mycologia. 1999. V. 91 (5). P. 908–916. https://doi.org/10.1080/00275514.1999.12061098
- Danell E., Flygh G. Cryopreservation of the ectomycorrhizal mushroom Cantharellus cibarius. Mycol. Res. 2002. V. 106 (11). P. 1340–1342. https://doi.org/10.1017/S0953756202006706
- Deepalakshmi K., Sankaran M. Pleurotus ostreatus: an oyster mushroom with nutritional and medicinal properties. J. Biochem. Technol. 2014. V. 5 (2). P. 718–726.
- Dowding E.S., Bulmer G.S. Notes on the cytology and sexuality of puffballs. Can. J. Microbiol. 1964. V. 10 (5). P. 783–789.https://doi.org/10.1139/m64-099
- Eichlerová I., Homolka L. Preservation of basidiomycete strains on perlite using different protocols. Mycoscience. 2014. V. 55 (6). P. 439–448. https://doi.org/10.1016/j.myc.2014.01.006
- Field J.A., Jong E.D., Feijoo-Costa G. et al. Screening for ligninolytic fungi applicable to the biodegradation of xenobiotics. Trends in Biotechnology. 1993. V. 11 (2). P. 44–49.
- https://doi.org/10.1016/0167-7799(93)90121-O
- Furlani R.P.Z., Godoy H.T. Vitamins B1 and B2 contents in cultivated mushrooms. Food Chemistry. 2008. V. 106 (2). P. 816–819. https://doi.org/10.1016/j.foodchem.2007.06.007
- Hawksworth D.L. Fungus culture collections as a biotechnological resource. Biotechnology and Genetic Engineering Reviews. 1985. V. 3 (1). P. 417–453. https://doi.org/10.1080/02648725.1985.10647820
- Homolka L., Lisá L., Eichlerová I., Nerud F. Cryopreservation of basidiomycete strains using perlite. J. Microbiological Methods. 2001. V. 47 (3). P. 307–313. https://doi.org/10.1016/S0167-7012(01)00338-4
- Houseknecht J.L., Suh S.O., Zhou J.J. Viability of fastidious Phytophthora following different cryopreservation treatments. Fungal Biol. 2012. V. 116 (10). P. 1081–1089. https://doi.org/10.1016/j.funbio.2012.08.001
- Humber R.A. Fungi: preservation of cultures. In: L.A. Lacey (ed.). Manual of techniques in insect Pathology. Acad. Press, L., 1997. P. 269–279. https://doi.org/10.1016/B978-012432555-5/50015-4
- Huss M.J. Isozyme analysis of population structure and diversity in the puffball species Lycoperdon pyriforme. Mycologia. 1996. V. 88 (6). P. 977–985. https://doi.org/10.2307/3761061
- Hwang S.W. Effects of ultra-low temperatures on the viability of selected fungus strains. Mycologia. 1960. V. 52 (3). P. 527–529. https://doi.org/10.2307/3755974
- Hwang S.W. Investigation of ultra-low temperature for fungal cultures. I. An evaluation of liquid-nitrogen storage for preservation of selected fungal cultures. Mycologia. 1968. V. 60 (3). P. 613–621. https://doi.org/10.1080/00275514.1968.12018610
- Ito T., Nakagiri A. Viability of frozen cultures of basidiomycetes after fifteen-year storage. Microbiology and Culture Collections. 1996. V. 12 (2). P. 67–78.
- Kamzolkina O.V., Bogdanov A.G. Methodological manual on microscopy in the study of fungi and algae. KMK, Moscow, 2017 (In Russ.).
- Komissarov N.S., Dyakov M.Yu., Garibova L.V. Methods for long-term storage of pure cultures of macrofungi. Mikologiya i fitopatologiya. 2023. V. 57 (3) P. 155–171 (In Russ.). https://doi.org/10.31857/S0026364823030054
- Kovalenko A.E. Ecological review of fungi from the orders Polyporales s. str., Boletales, Agaricales s. str., Russulales in the mountain forests of the central part of the North-West Caucasus. Mikologiya i fitopatologiya. 1980. V. 14 (4). P. 300–314. (In Russ.).
- Kovalenko S.A. Collection fund of basidiomycete strains of the Forest Institute of the National Academy of Sciences of Belarus. In: Problems of forest phytopathology and mycology: materials of the XI international conference, Petrozavodsk, October 10–14, 2022. Research Center RAS, Petrozavodsk, 2022, pp. 26–28 (In Russ.).
- Li C.H., Chen P.Y., Chang U.M. et al. Ganoderic acid X, a lanostanoid triterpene, inhibits topoisomerases and induces apoptosis of cancer cells. Life Sciences. 2005. V. 77 (3). P. 252–265. https://doi.org/10.1016/j.lfs.2004.09.045
- Li I.C., Lee L.Y., Tzeng T.T. et al. Neurohealth properties of Hericium erinaceus mycelia enriched with erinacines. Behavioural Neurology. 2018. https://doi.org/10.1155/2018/5802634
- Linde G.A., Luciani A., Lopes A.D. et al. Long-term cryopreservation of basidiomycetes. Brazilian J. Microbiol. 2018. V. 49 (2). P. 220–231. https://doi.org/10.1016/j.bjm.2017.08.004
- Liu J., Du C., Wang Y. et al. Anti-fatigue activities of polysaccharides extracted from Hericium erinaceus. Experimental and Therapeutic Medicine. 2015. V. 9 (2). P. 483–487. https://doi.org/10.3892/etm.2014.2139
- Liu X., Yuan J.P., Chung C.K. et al. Antitumor activity of the sporoderm-broken germinating spores of Ganoderma lucidum. Cancer Letters. 2002. V. 182 (2). P. 155–161. https://doi.org/10.1016/S0304-3835(02)00080-0
- Lodge D.J., Ammirati J.F., O’Dell T.E. et al. Terrestrial and lignicolous macrofungi. In: G.M. Mueller, G.F. Bills, M.S. Foster (eds). Biodiversity of Fungi: inventory and monitoring methods. 1st edn. Elsevier Academic Press, Amsterdam, 2004, pp. 127–172.
- Lücking R., Aime M.C., Robbertse B. et al. Unambiguous identification of fungi: where do we stand and how accurate and precise is fungal DNA barcoding? IMA Fungus. 2020. V. 11 (14). P. 1–32. https://doi.org/10.1186/s43008-020-00033-z
- Ma G., Yang W., Mariga A.M. et al. Purification, characterization and antitumor activity of polysaccharides from Pleurotus eryngii residue. Carbohydr. Polym. 2014. V. 114. P. 297–305. https://doi.org/10.1016/j.carbpol.2014.07.069
- Mata G., Pérez-Merlo R. Spawn viability in edible mushrooms after freezing in liquid nitrogen without a cryoprotectant. Cryobiology. 2003. V. 47 (1). P. 14–20. https://doi.org/10.1016/S0011-2240(03)00064-6
- Mattila P., Könkö K., Eurola M. et al. Contents of vitamins, mineral elements, and some phenolic compounds in cultivated mushrooms. J. Agric. Food Chemistry. 2001. V. 49 (5). P. 2343–2348. https://doi.org/10.1021/jf001525d
- Mayorova I.V., Sainchuk A.D., Psurtseva N.V. The influence of methods of long-term storage of basidiomycete strains on their morphological and physiological-biochemical characteristics. Advances in medical mycology. 2023. V. 25. P. 67–73.
- Mueller G.M., Schmit J.P., Leacock P.R. et al. Global diversity and distribution of macrofungi. Biodiversity and Conservation. 2007. V. 16. P. 37–48. https://doi.org/10.1007/s10531-006-9108-8
- Ozerskaya S.M., Kochkina G.A., Ivanushkina N.E. et al. The state of collections of microorganisms in Russia. Bulletin of biotechnology and physical and chemical biology named after Yu.A. Ovchinnikov. 2006. V. 2. P. 51–61 (In Russ.).
- Patel Y., Naraian R., Singh V.K. Medicinal properties of Pleurotus species (Oyster Mushroom): A review. World J. Fungal Plant Biol. 2012. V. 3 (1). P. 1–12.
- Pidoplichko N.M. Fungal flora of roughage. Publishing House of the Academy of Sciences of the Ukrainian SSR, Kyev, 1953.
- Psurtseva N.V., Kiyashko A.A. Scientific and practical potential of the fungal gene pool in the collection of basidiomycete cultures of the BIN RAS. In: Collections as the basis for the study of genetic resources of plants and fungi: Abstracts of the All-Russian Conference. SPb., 2022, p. 42 (In Russ.).
- Reid I.D., Paice M.G. Biological bleaching of kraft pulps by white-rot fungi and their enzymes. FEMS Microbiology Reviews. 1994. V. 13 (2–3). P. 369–375. https://doi.org/10.1111/j.1574-6976.1994.tb00056.x
- Richter D.L., Dixon T.G., Smith J.K. Revival of saprotrophic and mycorrhizal basidiomycete cultures after 30 years in cold storage in sterile water. Can. J. Microbiol. 2016. V. 62. P. 932–937. https://doi.org/10.1139/cjm-2016-0272
- Sakurai K., Yuasa M., Ohji S. et al. Gene mutations in Ganoderma lucidum during long-term preservation by repeated subculturing. Biopreservation and Biobanking. 2019. V. 17 (5). P. 395–400. https://doi.org/10.1089/bio.2018.0149
- Samšiňáková A., Kálalová S. The influence of a single-spore isolate and repeated subculturing on the pathogenicity of conidia of the entomophagous fungus Beauveria bassiana. J. Invertebrate Pathol. 1983. V. 42 (2). P. 156–161. https://doi.org/10.1016/0022-2011(83)90057-5
- Sánchez C. Lignocellulosic residues: Biodegradation and bioconversion by fungi. Biotechnol. Advances. 2009. V. 27 (2). P. 185–194. https://doi.org/10.1016/j.biotechadv.2008.11.001
- Sato M., Inaba S., Sukenobe J. et al. A modified perlite protocol with a mixed dimethyl sulfoxide and trehalose cryoprotectant improves the viability of frozen cultures of ectomycorrhizal basidiomycetes. Mycologia. 2019. V. 111 (1). P. 161–176. https://doi.org/10.1080/00275514.2018.1520035
- Schoch C.L., Seifert K.A., Huhndorf S. et al. Nuclear ribosomal internal transcribed spacer (ITS) region as a universal DNA barcode marker for Fungi. PNAS. 2012. V. 109 (16). P. 6241–6246. https://doi.org/10.1073/pnas.1117018109
- Sinitsyn A.P., Gusakov A.V., Chernoglazov V.M. Bioconversion of lignocellulosic materials: Textbook. Moscow State University Publishing House, Moscow, 1995 (In Russ.).
- Stalpers J.A. Identification of wood-inhabiting Aphyllophorales in pure culture. Centraalbureau voor Schimmelcultures, Baarn, 1978.
- Stolyarskaya M.V., Kovalenko A.E. Fungi of the Nizhnesvirsky Reserve. V. 1. Macrofungi (mainly agaricoid basidiomycetes): Annotated lists of species. SPb., 1996 (In Russ.).
- Tan M., Mei J., Xie J. The formation and control of ice crystal and its impact on the quality of frozen aquatic products: A review. Crystals. 2021. V. 11 (1). https://doi.org/10.3390/cryst11010068
- Tukey J.W. Comparing individual means in the analysis of variance. Biometrics. 1949. V. 5 (2). P. 99–114.
- Vetter J. Biological values of cultivated mushrooms – a review. Acta Alimentaria. 2019. V. 48 (2). P. 229–240. https://doi.org/10.1556/066.2019.48.2.11
- Wang J.C., Hu S.H., Wang J.T. et al. Hypoglycemic effect of extract of Hericium erinaceus. J. Sci. Food Agric. 2005. V. 85 (4). P. 641–646. https://doi.org/10.1002/jsfa.1928
- White T.J., Bruns T., Lee S. et al. Amplification and direct sequencing of fungal ribosomal RNA genes for phylogenetics. In: M.A. Innis etc. (eds). PCR Protocols: A guide to methods and applications. N.Y., Academic Press, 1990, pp. 315–322.
- Xia J., Dai L., Wang L. et al. Ganoderic acid DM induces autophagic apoptosis in non-small cell lung cancer cells by inhibiting the PI3K/Akt/mTOR activity. ChemicoBiological Interactions. 2020. V. 316. https://doi.org/10.1016/j.cbi.2019.108932
- Zmitrovich I.V., Stolyarskaya M.V., Kalinovskaya N.I. et al. Macrofuni of the Nizhne-Svirsky Nature Reserve (annotated list of species). SPb., 2015 (In Russ.).
- Антропова А.Б., Белозерская Т.А., Белозерский М.А. и др. (Antropova et al.) Практикум по физиологии и биохимии грибов. Учебное пособие. М.: Изд. Биол. ф-та МГУ, 2017. 215 с.
- Белова Н.В., Псурцева Н.В., Гачкова У.Ю. и др. (Belova et al.) Сохранение биоразнообразия базидиомицетов ex situ в специализированной коллекции культур LE (БИН) // Микология и фитопатология. 2005. Т. 39. № 2. С. 1–10.
- Бухало А.С. (Bukhalo) Высшие съедобные базидиомицеты в чистой культуре. Киев: Наук. думка, 1988. 143 с.
- Змитрович И.В., Столярская М.В., Калиновская Н.И. и др. (Zmitrovich et al.) Макромицеты Нижне-Свирского заповедника (аннотированный список видов). СПб.: ООО “Свое издательство”, 2015. 185 с.
- Камзолкина О.В., Богданов А.Г. (Kamzolkina, Bogdanov) Методическое пособие по микроскопии в исследованиях грибов и водорослей. М.: Товарищество научных изданий КМК. 2017. 115 с.
- Коваленко А.Е. (Kovalenko) Экологический обзор грибов из порядков Polyporales s. str., Boletales, Agaricales s. str., Russulales в горных лесах центральной части Северо-Западного Кавказа // Микология и фитопатология. 1980. Т. 14. № 4. С. 300–314.
- Коваленко С.А. (Kovalenko) Коллекционный фонд штаммов базидиомицетов Института леса НАН Беларуси // Проблемы лесной фитопатологии и микологии: материалы XI международной конференции, Петрозаводск, 10–14 октября 2022 года. Петрозаводск: КарНЦ РАН, 2022. С. 26–28.
- Комиссаров Н.С., Дьяков М.Ю., Гарибова Л.В. (Komissarov et al.) Методы длительного хранения чистых культур макромицетов // Микология и фитопатология. 2023. Т. 57. № 3. С. 155–171.
- Майорова И.В., Сайнчук А.Д., Псурцева Н.В. (Mayorova et al.) Влияние методов длительного хранения штаммов базидиомицетов на их морфологические и физиолого-биохимические характеристики // Успехи медицинской микологии. 2023. Т. 25. С. 67–73.
- Озерская С.М., Кочкина Г.А., Иванущкина Н.Е. и др. (Ozerskaya et al.) Состояние коллекций микроорганизмов в России // Вестник биотехнологии и физико-химической биологии имени Ю.А. Овчинникова. 2006. Т. 2. №. 3. С. 51–61.
- Пидопличко Н.М. (Pidoplichko) Грибная флора грубых кормов. Киев: Изд-во АН УССР, 1953. 488 с.
- Псурцева Н.В., Кияшко А.А. (Psurtseva, Kiyashko) Научно-практический потенциал генофонда грибов в коллекции культур базидиомицетов БИН РАН // Коллекции как основа изучения генетических ресурсов растений и грибов: Тезисы докладов Всероссийской конференции. Санкт-Петербург, 22–23 июня 2022 г. (в рамках Первого научного форума “Генетические ресурсы России”, 21–24 июня 2022 г.). СПб.: Ботанический институт им. В.Л. Комарова РАН, 2022. C. 42.
- Синицын А.П., Гусаков А.В., Черноглазов В.М. (Sinitsin et al.) Биоконверсия лигноцеллюлозных материалов: Учебное пособие. М.: Издательство МГУ, 1995. 224 с.
- Столярская М.В., Коваленко А.Е. (Stolyarskaya, Kovalenko) Грибы Нижнесвирского заповедника. Вып. 1. Макромицеты (преимущественно агарикоидные базидиомицеты): Аннотированные списки видов. СПб: Ботанический институт им. В.Л. Комарова РАН, 1996. 59 с.
Supplementary files



