Сравнительное исследование эффективности индукторов устойчивости хлопчатника к вертициллезному вилту
- Авторы: Ахмеджанов И.Г.1, Хотамов М.М.2, Meрзляк П.Г.1
-
Учреждения:
- Институт биофизики и биохимии при Национальном Университете Узбекистана
- Институт генетики и экспериментальной биологии растений АН РУз
- Выпуск: Том 58, № 1 (2024)
- Страницы: 44-53
- Раздел: ГРИБЫ – ВОЗБУДИТЕЛИ БОЛЕЗНЕЙ РАСТЕНИЙ
- URL: https://ogarev-online.ru/0026-3648/article/view/258208
- DOI: https://doi.org/10.31857/S0026364824010054
- EDN: https://elibrary.ru/mapzuw
- ID: 258208
Цитировать
Полный текст
Аннотация
Исследовано влияние предпосевной обработки семян иммуностимулятором Бисол-2, красным светом и электромагнитным полем низкой частоты на содержание фунгитоксичных веществ фенольной природы — фитоалексинов (изогемигоссипола и госсипол-эквивалента) в инфицированных возбудителем вертициллезного вилта этиолированных проростках хлопчатника сорта С-4727. Установлено, что фотостимуляция семян красным светом индуцирует фитоалексинообразование в инфицированных патогеном тканях хлопчатника в 1.5–2 раза эффективнее по сравнению с препаратом Бисол-2 или индуктором электромагнитной природы. Выявлена корреляция между содержанием фитоалексинов в тканях проростков, параметрами индукционных кривых флуоресценции хлорофилла и количеством растений с признаками вилтового поражения, выращенных из обработанных и необработанных индукторами семян. Это указывает на возможность использования красного света и слабых низкочастотных электромагнитных полей в качестве факторов, способствующих интенсификации процесса фитоалексинообразования в ответ на заражение хлопчатника вертициллезным вилтом.
Полный текст
INTRODUCTION
An important link in the technology of cultivation of agricultural crops is plant protection from pests, which is carried out using various methods: breeding and seed production, agrotechnical, physical and mechanical, chemical, biological, etc. (Daguzhieva, 2015). Among them, a certain place is occupied by protective measures, which are based on the induction of plant disease resistance by immunomodulators of physical and chemical nature (Stossel, Magnolato, 1983; Akhmedzhanov et al., 1992; Shakirova, 2001; Ben-Izhak et al., 2003; Tonkikh, 2010; Pershakova et al., 2016).
It is known that the increase of cotton resistance to damage by causative agent of Verticillium wilt — fungus Verticillium dahliae Kleb in many cases consists in inducing biosynthesis in plant tissues of phytoalexins, such as isohemigossypol and gossypol equivalent, toxic to the pathogen (Avazkhodzhaev, Zeltser, 1980, 1995; Stossel, Magnolato, 1983; Akhmedzhanov et al., 1993; Kuc, 1995; Dyakov et al., 2001; Konan et al., 2014; Khotamov, Redzhapova, 2019; Khotamov, Akhmedzhanov, 2021).
To intensify immune reactions of cotton to increase wilt resistance is applied by stimulating phytoalexin formation in plant tissues with the help of various chemicals of biogenic and abiogenic nature by soaking seeds, spraying plants in different phases of development, etc. (Stossel, Magnolato, 1983; Dyakov et al., 2001; Belan, 2001; Kodirov, 2009; Akhiyarov et al., 2017). However, the widespread use of chemical pesticides has a number of negative consequences: environmental pollution, possible adaptation of the fungus V. dahliae, the emergence of new virulent races of the pathogen and toxic effects on beneficial microflora.
The phytoalexin-forming ability of plants in response to pathogen infection is significantly influenced by environmental factors and the physiological state of the plant organism itself. Light is also an inducer of phytoalexin formation in plant tissue. For example, ultraviolet irradiation (wavelengths less than 0.4 μm) of seeds and plants excites plant defence reactions (Haard, 1983; Kodama et al., 1988; Nelyubina, Kasatkina, 2021). At the same time, stress creation by means of ultraviolet irradiation has a number of disadvantages associated with the possibility of its destructive action not only on pathogen macromolecules but also on host plant elements. In addition, the process of ultraviolet irradiation is labour-intensive and harmful to the human body (Nenakhova, Nikolaeva, 2020; Sayapina et al., 2022).
An alternative to ultraviolet irradiation is red light, which, by inducing the cis-trans isomerisation reaction of the phytochrome chromophore, the bilitriene-loosened tetrapyrrole cycle, activates the phytochrome system of plants and thus regulates many metabolic processes of the cell (Kuznetsov et al., 1986; Volotovsky, 1992; Dechaine et al., 2009; Vayda et al., 2018; Voytsekhovskaya, 2019; Legris et al., 2019; Akhmedzhanov et al., 2023), including phytoalexin formation (Akhmedzhanov et al., 1992; Mavlanova, 2012). In addition, the possibility of increasing plant resistance to various harmful factors, including pathogens, by means of short-term stressing by inducers of different nature, i. e. plant hardening, has been shown (Shakirova, 2001). Studies by a number of authors (Ben-Izhak et al., 2003; Aksenov et al., 2007; Tonkikh, 2010; Bilalis et al., 2013; Pershakova et al., 2016) have shown that low-frequency electromagnetic fields can also be attributed to such inducers. Taking into account the efficiency and simplicity of using weak low-frequency electromagnetic fields for plant treatment, as well as their neutrality in terms of environmental impact, it was interesting to compare the effect of red light and low-frequency electromagnetic fields as inducers of phytoalexin formation in cotton tissues infected with the Verticillium wilt pathogen with the known immunostimulant — chemical preparation Bisol-2 (Shakirova, 2001; Akhiyarov, 2017; Belan, 2001). At the same time, the efficiency of inducers of cotton defence reactions studied in the experiments was also controlled by induction of chlorophyll fluorescence, the parameters of which adequately reflect the physiological state of plants (Veselovskiy, Veselova, 1990; Lichtenthaler, 1992; Korneev, 2002; Belasque et al., 2008; Posudin et al., 2010; Belov et al., 2015; Matorin et al., 2018; Wu et al., 2019), including their resistance to phytopathogens (Kshirsagar et al., 2001; Mandal et al., 2009; Pascual et al., 2010; Babar et al., 2018; Aleynikov, Mineev, 2019; Khotamov et al., 2020).
The aim of this work was a comparative study of the effect of the Bisol-2 immunostimulant, low-frequency electromagnetic fields, and biologically active red light on the resistance of cotton variety S-4727 to the causative agent of Verticillium wilt by assessing the intensity of the hypersensitivity reaction of pathogen-infected tissues and the characteristics of fluorescence induction of plant leaves.
MATERIALS AND METHODS
In the experiments, of the susceptible cotton cultivar S-4727 (Gossypium hirsutum) was used, which was grown in vegetation vessels on sterilized vermiculite enriched with Belousov’s nutritious mixture (Zhurbitsky, 1968). In a phase of 6–7 true leaves, cotton plants were infected with a dosed inoculum of race-2 of the fungus V. dahliae from the collection of plant pathogens of the Institute of Genetics and Experimental Plant Biology of the Academy of Sciences of Uzbekistan at a rate of 2.5 million spores/ml. Plants were used as control, into the stems of which distilled water was introduced using a capillary (Avazkhodzhaev et al, 1995).
A monospore culture of V. dahliae fungus was grown for 8 days in test tubes on a solid Chapek medium of the following composition: NaNO3–3 g; KH2PO4 –1 g; MgSO4 –0.5 g; KCl — 0.5 g; FeSO4 –0.01 g, sucrose — 30 g, agar-agar — 20 g per 1 liter of distilled water. Sowing was carried out by the “injection” method on the surface of an agar medium. As seed material, conidia or microsclerotia of micromycetes were used separately, as well as a mixture of these fungal structures. Then, using a microbiological loop under sterile conditions, part of the conidia was transferred to Petri dishes with Chapek’s medium, where they were germinated in an incubator at a temperature of 27 °C in complete darkness. A fungal spore suspension was prepared by shaking 2 ml of sterile distilled water in a test tube with a fungal culture of 10–15 days of age (Avazkhodzhaev, Zeltser, 1980). The density of fungal spores in suspension was calculated according to the method described in (Israel et al., 1968). The suspension of conidia of the fungus obtained in vitro, after calculating its density, was diluted in the required concentration.
Plants were infected by injection of inoculum using a triple injection with a syringe into the stem. The inoculum was released from the syringe as a drop of suspension at the end of the needle. The needle was inserted into the stem at an angle of 45°. A drop was absorbed into the stem, and this gave visible confirmation of inoculation. The appearance of chlorosis on the lower leaves of cotton, yellowing of tissues, and necrotization of leaf blade sections indicated damage to infected plants by the wilt (Avazkhodzhaev, Zeltzer, 1980).
When studying the parameters of the hypersensitivity reaction, etiolated hypocotyls of cotton were used. Seedlings were grown in a thermostat at 24оC. 18–20 day old etiolated seedlings were placed in tubs and treated by spraying with a wilt inducer at the rate of 0.05 mg/100 ml of water. The qualitative composition of phytoalexins (FA) was determined by thin layer chromatography on Silufol-UV-254 plates from Kavalier (Czech Republic). For the quantitative determination of isohemigossypol (IHG) and phytoalexin-equivalent (GE), cotton seedlings were finely chopped with scissors, filled with chloroform at 1:3 ratio, and placed in a refrigerator for 24 hours. Then obtained chloroform extract containing FA was filtered from solid residues and dried with a water jet pump. The dried residue was dissolved in 1 ml of chloroform. The resulting chloroform eluate was used for coating Silufol UV-254 plates. The plates were placed in chromatographic chambers and a single separation was performed in a benzol — methanol (9:1) solvent system. Benzol and methanol must be anhydrous because with an admixture of water, the system turns out to be cloudy and unsuitable for analysis. The heat-dried chromatograms were viewed under UV light and developed with fluoroglicin (2% in 96% ethanol). For this, the plate was covered with a developing reagent using a spray gun, then left for several minutes in air to evaporate the solvent, after which the chromatograms were heated for 1 min in a thermostat at 100 °C. Phytoalexins IHG and GE are stained in a stable dark crimson color. The quantitative determination of FA was carried out by elution of spots from chromatograms with a benzol-methanol mixture (9: 1) and measurement of the color intensity on a photoelectrocolorimeter with a blue light filter. The eluate from the clean zone of the chromatogram was used as a standard. The quantitative content of IHG was calculated using a pre-drawn calibration graph using pure IHG preparation as a standard. The results obtained were expressed in μg per g of wet tissue of etiolated seedlings (Avazkhodzhaev, Zeltzer, 1980).
Seeds before germination in the dark to obtain etiolated seedlings and before sowing into growing vessels were treated with immunostimulant Bisol-2 by soaking in the drug solution (the rate of drug consumption is 1 litre/t), electromagnetic field of electromagnetic pulse generator with a frequency of 4 Hz and magnetic induction of 200–500 nTl for 30 minutes (Tonkikh, 2010). Seed irradiation was carried out for 5 minutes with red light of LEDs (maximum radiation 660 nm) according to the method described in the patent (Akhmedzhanov et al., 2017).
Induced fluorescence of chlorophyll of the control (uninfected) leaves and infected with the pathogen of Verticillium wilt plants was measured on the 7th day after infection. The functional activity of the photosynthetic apparatus (PSA) of assimilating cotton tissues was evaluated by indicators of chlorophyll fluorescence induction (CFI) using a portable fluorimeter (Akhmedzhanov et al., 2013): light source — LED, 450–470 nm; receiver — P-I-N photodiode; fluorescence kinetics recording time up to 10 min with a resolution of 0.01 s. In this case the following ratio of parameters of the leaf fluorescence induction curve was used: (FM–FT)/FM — degree of decrease in chlorophyll fluorescence intensity characterizing the integral activity of the photosynthetic apparatus, where FM — maximum value of fluorescence induction, FT — stationary value of fluorescence after light adaptation of a leaf (Posudin et al., 2010; Romanov et al., 2010; Akhmedzhanov et al., 2013; Khotamov et al., 2020).
The experiments were carried out 3–4 times. The results were processed by methods of mathematical statistics according to Dospehov (1985).
RESULTS
The physiological and biochemical study of various aspects of plant activity provides an opportunity to exploit the immune properties of the organism itself, by which it defends itself against attack by pathogens in nature. The results of studies have shown that both red light (RL) and low frequency electromagnetic fields (LF EMF) act on cotton seedlings similarly to physiologically active drugs (inducers), which activate the immune properties of plants manifested in the production of phytoalexin-like substances upon contact with the pathogen.
Analysis of chromatograms (Fig. 1) revealed that treatment of seeds with RL and LF EMF induces a hypersensitivity reaction in pathogen-infected tissues of hypocotyls of etiolated cotton seedlings. The areas of the chromatograms in which the phytoalexins (FA), isohemigossypol (IHG) and gossypol equivalent (GE) are detected are stained with fluoroglucin significantly more intensely when seedlings grown from inducer-irradiated seeds were used compared to when seedlings were obtained from non-irradiated seeds. Thus, the chromatographic characterisation of chloroform extracts of experimental and control cotton seedlings qualitatively indicates the FA-inducing activity of RL and LF EMF.
Fig. 1. Chromatograms of quantitative content of isohemigossypol and gossypol equivalent in hypocotyls of etiolated seedlings of cotton cultivar S-4727 48 h after infection with Verticillium dahliae fungus (infection load 2.5 million spores/ml): 1 – control (seeds before sowing were not treated, seedlings were not infected with the inducer of wilt lesion); 2 – seeds before sowing were not treated, seedlings were infected; 3 – seeds before sowing were treated with Bisol-2, seedlings were infected; 4 – seeds before sowing were treated in electromagnetic field, seedlings were infected; 5 – seeds before sowing were treated with red light, seedlings were infected.
The data presented in the Table 1 reflect the effect of irradiation of cotton seeds with RL and EMF LF on the quantitative content of FA formed in the tissues of seedlings 48 hours after infection with the Verticillium wilt pathogen. Spraying of etiolated seedlings with the fungus preparation causes induction of FA-formation, but treatment of seeds with immunostimulant Bisol-2, as well as photostimulation and stressing of seeds by exposure to EMF LF lead to a noticeable increase in FA-inducing ability of infected tissues of etiolated seedlings. At the same time, it should be noted that under the influence of RL the increase in IGH content was 1.5–2 times greater compared to that induced by EMF LF or Bisol-2 preparation. There is also a small difference in the content of GE in variants with pretreatment of seeds with RL, EMF HF or immunostimulant.
Table 1. Effect of seed treatment with immunostimulant Bisol-2, low frequency electromagnetic field or red light on the quantitative content of phytoalexins in etiolated seedlings of cotton S-4727 cultivar 48 hours after infection with Verticillium dahliae fungus (infection load 2.5 million spores/ml) and the number of plants (in % of the total number) with Verticillium wilt symptoms
Seed treatment option | IGH | GE | Percentage of affected plants |
µg/g crude tissue | |||
Control | – | – | – |
V.d. | 19.4 ± 2.28 | 24.9 ± 2.66 | 23.1 |
Bisol-2 + V.d. | 24.3 ± 2.29 | 27.7 ± 3.17 | 12.0 |
EMF LF + V.d. | 23.9 ± 2.55 | 28.6 ± 3.04 | 12.5 |
RL + V.d. | 30.0 ± 3.11 | 32.8 ± 4.05 | 4.9 |
Примечание. V.d. — infection with Verticillium dahliae fungus. The confidence interval of the mean values was at least 95% (P ≤ 0.05).
The effectiveness of the effect of Bisol-2, RL and EMF LF on cotton resistance to infection by phytopathogenic fungus was also controlled by the method of induction of chlorophyll fluorescence (CFI) of plant leaves.
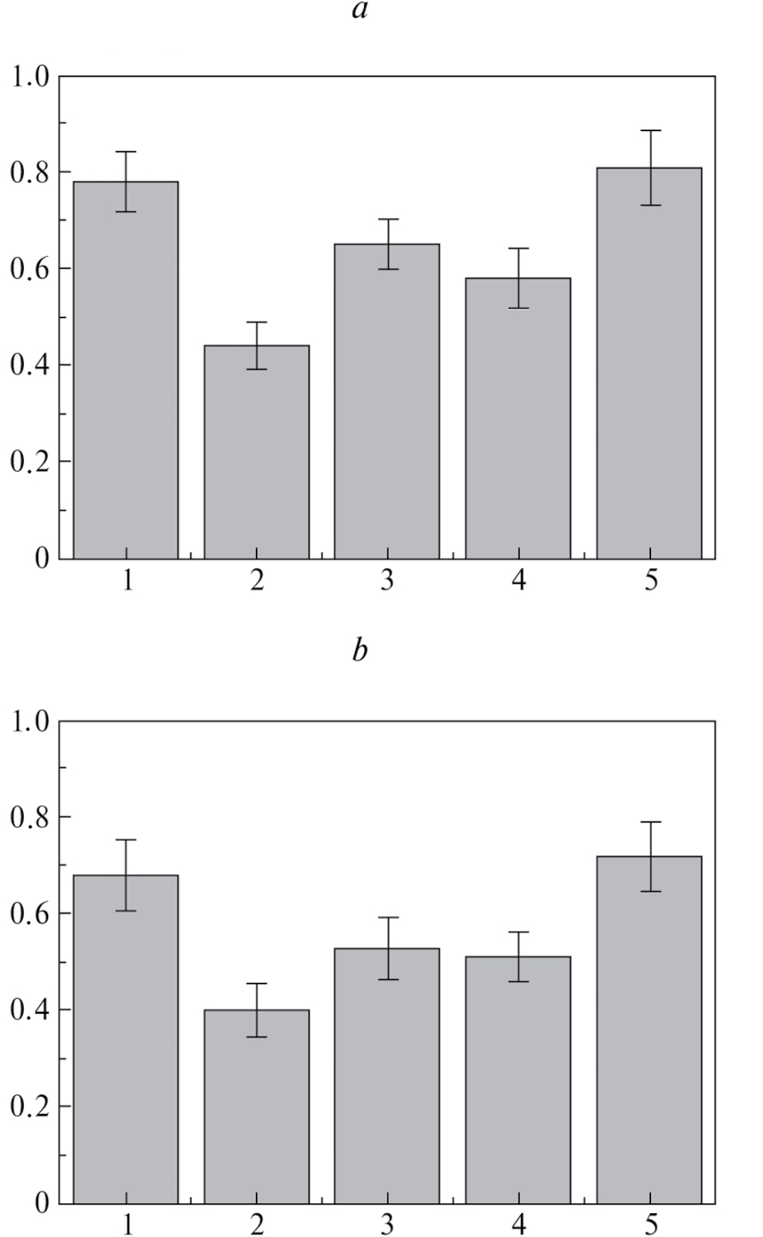
The data presented in Fig. 2 showed that infection of cotton with the Verticillium wilt pathogen resulted in an almost 2-fold decrease in the parameter (FM – FT)/FM of the CFI measured at both 690 nm and 730 nm wavelengths. Pre-sowing treatment of seeds with immunostimulant Bisol-2 and inducer of electromagnetic nature have a significant protective effect against the negative effect of phytopathogen: the values of CFI parameter measured at 690 nm were fixed at a higher level compared to the variant of plant infection without pre-treatment with inducers. At the same time, the difference in the value of the parameter compared to the control (healthy plants) was 17 and 26% in the case of inducer of chemical and physical nature, respectively. The greatest effect was observed for the variant of seed pre-sowing phototreatment: the values of the measured parameter CFI did not differ from the control. At the same time, the CFI measurement at 730 nm wavelength showed the following results: while the seed pretreatment with red light also completely prevents the reduction of the (FM – FT)/FM parameter value, in the case of the Bisol-2 preparation application variant the protective effect was only 77.9%, and in the EMF variant — 76.4%.
Fig. 2. Effect of seed treatment with Bisol-2 immunostimulant, low frequency electromagnetic field or red light on the value of the parameter (FM – FT)/FM of induction curves of chlorophyll fluorescence of leaves of Verticillium wilt-infected cotton cultivar S-4727. Measured at wavelengths of 690 nm (A) and 730 nm (B): 1 – control (seeds before sowing were not treated, seedlings were not infected with wilt inducer); 2 – seeds before sowing were not treated, seedlings were infected; 3 – seeds before sowing were treated with Bisol-2 preparation, seedlings were infected; 4 – seeds before sowing were treated in electromagnetic field, seedlings were infected; 5 – seeds before sowing were treated with red light, seedlings were infected. The confidence interval of the mean values was at least 95% (P ≤ 0.05).
DISCUSSION
A large number of works have been devoted to the study of the role of the phytochrome system in the regulation of physiological processes, from seed germination to the end of ontogenesis. The results of these studies have shown that the phytochrome system controls the germination of seeds, the restructuring of growth processes associated with the release of the seedling from the soil into the light, provides the plant with optimal adaptation to lighting conditions necessary for its photosynthetic activity, participates in the regulation of flowering and many other processes in plant life (Kulaeva, 2001; Dechaine, 2009), including plant resistance to phytopathogens (Mavlanova, 2012; Akhmedzhanov et al., 1992, 2023). Improving the sowing qualities of seeds under the influence of incoherent red light activates the initial growth processes in seeds, which further affects the acceleration of plant growth and development and, ultimately, leads to an increase in yield (Savina et al., 2015).
Phytochrome is the main photoreceptor of plants, which is located in the cells of the seed embryo. When soaking seeds, enzymatic reactions are activated in them, which cause hydrolysis of organic substances necessary for the nutrition of the embryo and the start of initial growth processes, which are stimulated by irradiation of seeds with red light (Savina, Ilyichev, 2021). At the same time, the main link in the mechanism of triggering the initial growth processes in seeds is an increase in the amount of gibberellin, which initiates the activation of hydrolytic enzymes (amylases, proteases, lipases) that cleave endosperm spare substances that contribute to the germination process (Bitarashvili et al., 2019). Another representative of the hormonal regulation of physiological processes of plants is auxin indolyl-3-acetic acid (IAA), which stimulates cell division and stretching, promotes the formation of conductive bundles and roots, and activation of the proton pump in the plasmalemma under the action of IAA leads to acidification and loosening of the cell wall and thereby promotes cell growth by stretching. The IAA complex with the receptor is transported to the nucleus and activates RNA synthesis, which in turn leads to increased protein synthesis (Quail, 2002). As the results of our studies have shown (Nazhimova, 2007), phytochrome plays an active role in this process, which can bind to various auxin receptors, both membrane and cytoplasmic, at the very first stages of RL signal transduction, and this binding leads to an increase in the affinity of auxin to its receptors, which, as a result, enhances some rapid reactions in plants mediated by auxin under the action of RL.
The differences revealed in this study in the efficiency of the regulatory effect of inducers on the intensity of cotton defence reactions against Verticillium wilt pathogen are apparently related to the specificity of the action of RL mediated by the phytochrome system on this process. According to current ideas (Kuznetsov et al., 1986; Volotovsky, 1992; Kulaeva, 2001; Dechaine et al., 2009; Vayda et al., 2018; Legris et al., 2019; Akhmedzhanov et al., 2023), a distinctive feature of phytochrome participation in the regulation of physiological processes of a plant organism is antagonism in the action of red and far red light (FRL) on the initiation and intensity of their course. In this regard, the opposite effect of RL and far-red light (FRL) on FA synthesis is evidence of the specificity of RL effects: in contrast to pretreatment of seeds with RL, which activates the phytochrome system and thus stimulates FA formation, treatment of seeds with FRL, which leads to the reverse photoconversion of phytochrome from the active Pdk to the inactive Pk form, does not affect the efficiency of defence reactions of infected cotton plants compared to the control (Akhmedzhanov et al., 1993). This fact may indicate in favour of the fact that RL seed irradiation through a cascade of phytochrome-dependent reactions contributes to the removal of the mechanism of suppression of genes responsible for the hypersensitivity reaction when plants are infected with the Verticillium wilt pathogen. There is an opinion (Avazkhodzhaev et al., 1995) that the suppression mechanism functions more effectively in cotton genotypes susceptible to wilt; therefore, under normal conditions they are characterised by low FA content in tissues. However, after the removal of this mechanism under the action of the active form of phytochrome, these genotypes acquire the ability to significantly increase the level of FA-formation, as noted for the cotton variety S-4727 studied in our experiments.
Under the action of non-specific stressing factors, which includes electromagnetic stressing of seeds, the mechanism of FA formation is different. In response to a nonspecific stressor, a large and complex chain of nonspecific plant responses develops, including expression of protective genes followed by synthesis of protective enzymes, etc. (Ben-Izhak et al., 2003; Malinovsky, 2004; Tonkikh, 2010; Bilalis et al., 2013). It is quite probable that the differences in the mechanisms of influence of RL and EMF LF on the system of defence reactions of cotton against wilt lesions cause, in the end, the difference in the efficiency of FA-inducing ability of infected tissues of seedlings grown from photostimulated and stressed seeds in the electromagnetic field. Differences in FA content, especially IHG, in experimental and control (without application of inducers of defence reactions) variants correlate well with the number of plants with signs of wilt lesions. This fact is another strong evidence of the possibility of using RL and EMF LF as inducers to increase the efficiency of the FA-formation mechanism in response to infection of cotton with Verticillium wilt.
Comparative analysis of the effect of the studied inducers on the intensity of the hypersensitivity reaction and the parameters of CFI of cotton tissues infected with the pathogen showed almost equal effectiveness of the protective effect of Bisol-2 and EMF LF. At the same time, the level of plant defence reactions was significantly higher in the case of pre-sowing treatment of RL seeds. The calculation of Pearson correlation coefficient (rp) between the content of IGH in etiolated tissues and the values of the parameter (FM – FT)/FM of CFI measured at wavelengths of 690 nm and 730 nm in the experimental and control variants allowed us to establish the value of rp = 0.93 with the average error of the correlation coefficient mr = 0.052 and rp = 0.89 and mr = 0.056, respectively. Thus, a high positive correlation was revealed between the compared indicators of resistance of cotton cultivar S-4727 to the Verticillium wilt pathogen: the greater values of the parameter (FM – FT)/FM of tissue fluorescence, the more effective is the system of plant defence reactions determined by the level of FA content in infected tissues. Conversely, a low level of IHG synthesis favours unimpeded spread of the pathogen through tissues of susceptible cultivars, which is reflected in a decrease in the value of the CFI parameter.
At present, chemical substances — inducers of hypersensitivity reaction of infected tissues — are widely used to increase cotton wilt resistance (Kodirov, 2009). The results of our research showed the effectiveness of alternative inducers of cotton resistance to the causative agent of Verticillium wilt — low frequency electromagnetic fields and biologically active red light. The significant advantage of inducers of physical nature, compared to chemical immunostimulants, is high efficiency, environmental safety, the absence of the emergence of new virulent races of the pathogen and negative impact on the useful microflora, as well as low cost and simplicity of the procedure of pre-sowing treatment of seeds with red light (Akhmedzhanov et al., 2017) and electromagnetic fields of low frequency (Aksenov et al., 2007; Tonkikh, 2010; Bilalis et al., 2013).
Об авторах
И. Г. Ахмеджанов
Институт биофизики и биохимии при Национальном Университете Узбекистана
Автор, ответственный за переписку.
Email: iskakhm@mail.ru
Узбекистан, Ташкент
М. М. Хотамов
Институт генетики и экспериментальной биологии растений АН РУз
Email: mansurhatamov@mail.ru
Узбекистан, 111208, Верхний Юз
П. Г. Meрзляк
Институт биофизики и биохимии при Национальном Университете Узбекистана
Email: galores@list.ru
Узбекистан, Ташкент
Список литературы
- Akhiyarov B., Rakhimov R., Kutluev A. The use of Bisol 2 on cucumbers. Ovoshchevodstvo i teplichnoe khozyaystvo. 2017. N2 (150). P. 40–45 (in Russ.).
- Akhmedzhanov I.G., Gussakovsky E.E., Tashmukhamedov B.A. et al. A method for increasing the resistance of cotton to damage by the causative agent of Verticillium wilt. Authors’ certificate N1782387 of the State Committee for inventions of the USSR, 1992 (in Russ.).
- Akhmedzhanov I.G., Gussakovsky E.E., Avazkhodzhaev M.H. et al. Regulation of phytoalexin formation in cotton tissues when seeds are irradiated with red light. Uzbekskiy biologicheskiy zhurnal. 1993. N 1. P. 3–5 (in Russ.).
- Akhmedzhanov I.G., Agishev V.S., Dzholdasova K.B. et al. The use of a portable fluorimeter to study the effect of water deficit on the characteristics of delayed fluorescence of cotton leaves. Doklady Akademii nauk Uzbekistana. 2013. N3. P. 58–60 (in Russ.).
- Akhmedzhanov I.G., Tonkikh A.K., Khotamov M.M. et al. Method of pre-sowing treatment of cotton seeds. Patent for invention N IAP 05970 of the Agency for intellectual property of the Republic of Uzbekistan (priority of 24.05.2017, N IAP 2017 0197).
- Akhmedzhanov I.G., Khotamov M.M. Investigation of cotton wilt resistance by fluorescence spectroscopy. Mikologiya i fitopatologiya. 2022. V. 56 (2). Р. 105–113.
- Akhmedzhanov I.G., Khotamov M.M., Ganiev F.K. et al. Phytochrome-dependent regulation of melon resistance to Fusarium wilt. Mikologiya i fitopatologiya. 2023. V. 57 (2). P. 113–122.
- Aksenov S.I., Grunina T. Yu., Goryachev S.N. On the mechanisms of stimulation and inhibition during germination of wheat seeds in an ultra-low frequency electromagnetic field. Biophysics. 2007. V. 52 (2). Р. 332–338.
- Aleynikov A.F., Mineev V.V. Effect of the fungus of Ramularia tulasnei Sacc. on chlorophyll fluorescence in garden strawberry. Sibirskiy vestnik selskokhozyaystvennoy nauki. 2019. V. 49 (2). P. 94–102 (in Russ.).
- Avazkhodzhaev M. Kh., Zeltzer S.S. Physiological factors of cotton wilt resistance. Fan, Tashkent, 1980 (in Russ.).
- Avazkhodzhaev M. Kh., Zeltzer S.S., Nuritdinova H. et al. Phytoalexins as a factor in wilt resistance of cotton. In: Handbook of phytoalexin metabolism and action. Marcel Dekker Inc., N.Y. etc., 1995, pp. 129–160.
- Babar M.A., Saleem M., Hina A. et al. Chlorophyll as biomarker for early disease diagnosis. Laser Physics. 2018. V. 28 (6). P. 58–63.
- Belan S.R. New pesticides: Handbook. Grail Publishing House, Moscow, 2001 (in Russ.).
- Belasque J., Gasparoto M.C.G., Marcassa L.G. Detection of mecanical and disease stresses in citrus plants by fluorescence spectroscopy. Appl. Opt. 2008. V. 47 (11). P. 1922–1926.
- Belov M.L., Bullo O.A., Fedotov Yu.V. et al. Laser method for vegetation monitoring. Vestnik MGTU. Ser. Priborostroeniye. 2015. N 2. P. 71–82 (in Russ.).
- Ben-Izhak M.E., Parola A.H., Kost D. Low-frequency electromagnetic fields induce a stress effect upon higher plants, as evident by the universal stress signal, alanine. Bioch. Biophys. Res. Commun. 2003. V. 302 (2). P. 427–434.
- Bilalis D.J., Katsenios N., Efthimiadou A. et al. Magnetic field pre-sowing treatment as an organic friendly techniqueto promote plant growth and chemical elements accumulation in early stages of cotton. Australian J. Crop Sci. 2013. V. 7 (1). P. 46–50.
- Bitarishvili S.V., Bondarenko V.S., Geraskin S.A. Expression of gibberellin biosynthesis and catabolosm genes in the embryos of ɤ-irradiated Barley seeds. Radiation biology. Radioecology. 2019. N 3. Р. 286–292 (in Russ.).
- Dechaine J.M., Gardner G., Weinig C. Phytochromes differentially regulate seed germination responses to light quality and temperature cues during seed maturation. Plant Cell Environ. 2009. V. 32 (10). P. 1297–1309.
- Dospekhov B.A. Field experiment technique (with the basics of statistical processing of research results). Agropromizdat, Moscow, 1985 (in Russ.).
- Dyakov Yu.T., Ozeretskovskaya O.L., Javakhia V.G. et al. General and molecular phytopathology. Moscow, 2001 (in Russ.).
- Haard N.F. Stress metabolites. Post. Harvest Phisiol. and Crop Preserv. Proc. NATO Adv. Study. Inst. Sounion. 1983. P. 299–314.
- Khotamov M.M., Redzhapova M.M. Resistance of the variety diversity Gossypium hirsutum L. species to Verticillium wilt. Int. J. Innovative Research in Multidisciplinary Field. 2019. V. 5 (5). P. 78–80.
- Khotamov M.M., Agishev V.S., Akhmedzhanov I.G. Influence of Verticillium wilt infection on the functional activity of the cotton photosynthetic apparatus. Mikologiya i fitopatologiya. 2020. V. 54 (5). P. 340–346.
- Khotamov M.M., Akhmedzhanov I.G. Study of Verticillium wilt pathogenesis in different cotton genotypes. Mikologiya i fitopatologiya. 2021. V.55 (2). P. 148–154.
- Kodama O., Suzuki T., Miyokawa J. et al. Ultraviolet induced accumulation of phytoalexines in rice leaves. Agr. Biol. Chem. 1988. V. 52. P. 2469–2473.
- Kodirov A.K. Study and development of technology for the use of the immuno- and growth stimulator Rostbisol on cotton in the conditions of the Bukhara region. Cand. Biol. Thesis. Tashkent, 2009 (in Russ.).
- Konan Y.K.F., Kouassi K.M., Kouakou K.L. et al. Effect of methyl jasmonate on phytoalexins biosynthesis and induced disease Resistance to Fusarium oxysporum f. sp. vasinfectum in cotton (Gossypium hirsutum L.). Int. J. Agron. 2014. https://doi.org/10.1155/2014/806439
- Korneev D. Yu. Information possibilities of the method of inducing fluorescence of chlorophyll. Alterpress, Kiev, 2002 (in Russ.).
- Kshirsagar A., Reid A.J., McColl S.M. et al. The effect of fungal metabolites on leaves as detected by chlorophyll fluorescence. New Phytol. 2001. V. 151 (2). P. 451–457.
- Kuc J. Phytoalexins, stress metabolism and disease resistance in plants. Ann. Rev. Phytopathol. 1995. N 33. P. 275–297.
- Kulaeva O.N. How light regulates life of plants. Sorosovskiy obrazovatelniy zhurnal. 2001. V. 7 (4). P. 6–12 (in Russ.).
- Kuznetsov E.D., Sechnyak L.K., Kindruk N.A. et al. The role of phytochrome in plants. Agropromizdat, Moscow, 1986 (in Russ.).
- Legris M., Caka Yu., Fankhauser C. Molecular mechanisms underlying phytochrome-controlled morphogenesis in plants. Nature Communications. 2019. V. 10. https://doi.org/10.1038/s41467–019–13045–0
- Lichtenthaler H.K. The Kautsky effect: 60 years of chlorophyll fluorescence induction kinetics. Photosynthetica. 1992. V. 27 (1–2). P. 45–55.
- Malinovsky V.I. Plant physiology. Textbook, university manual. Vladivostok, 2004 (in Russ.).
- Mandal K., Saravanan R., Maiti S. et al. Effect of downy mildew disease on photosynthesis and chlorophyll fluorescence in Plantago ovata Forsk. J. Plant Diseas. Protect. 2009. V. 116 (4). P. 164–168.
- Matorin D.N., Timofeev N.P., Glinushkin A.P. et al. Application of the fluorescence method for investigating the influence of root rot pathogen Bipolaris sorokniana on photosynthetic light reactions in wheat plants. Vestnik Moskovskogo universiteta. Ser. 16. Biologiya. 2018. V. 73 (4). P. 247–253 (in Russ.).
- Mavlanova S.A. Physiological and biochemical peculiarities of the induced resistance of cotton to sucking pests-insects and Verticillium wilt exitant. Cand. Biol. Thesis. Tashkent, 2012 (in Russ.).
- Nadzhimova H.K. The influence of red light on auxin-dependent processes in plants. Cand. Biol. Thesis. Tashkent, 2007 (in Russ.).
- Nelyubina Z.S., Kasatkina N.I. Influence of ultraviolet irradiation of perennial grasses seeds on their sowing quality. Agrarnaya nauka. 2021. N9. P. 97–100 (in Russ.). https://doi.org/10.32634/0869-8155-2021-352-9-97-100
- Nenakhova E.V., Nikolaeva L.A. Ultraviolet radiation. The effect of ultraviolet radiation on the human body. IGMU, Irkutsk, 2020 (in Russ.).
- Pascual I., Azcona I., Morales F. et al. Photosynthetic response of pepper plants to wilt induced by Verticillium dahliae and soil water deficit. J. Plant Physiol. 2010. V. 167 (9). P. 701–708.
- Pershakova T.V., Kupin G.A., Mikhaylyuta L.V. et al. Investigation of the influence of the electromagnetic field on the change of microbial contamination of plant raw materials during storage. Uspekhi sovremennogo estestvoznaniya. 2016. N 5. Р. 74–78 (in Russ.).
- Posudin Yu.I., Godlevska O.O., Zaloilo I.A. et al. Application of portable fluorometer for estimation of plant tolerance to abiotic factors. Int. Agrophysics. 2010. V. 24 (4). P. 363–368.
- Quail P.H. Phytochrome photosensory signaling networks. Nature. 2002. V. 3. P. 85–93.
- Romanov V.A., Galeluka I.B., Sakharan E.V. Portable fluorimeter and features of its application. Sensornaya elektronika i mikroskopicheskiye tekhnologii. 2010. V. 1 (7). P. 146–152 (in Russ.).
- Savina O.V., Ilyichev L.F. The use of red light to activate the germination of tomato seeds with expired shelf life. Vestnik Ryazanskogo agrotekhnicheskogo universiteta. 2021. V. 13 (4). Р. 104–111 (in Russ.).
- Savina O.V., Rudelev S.A., Rodionova A.E. Stimulation of germination of grain seeds by incoherent red light: theory and practice. Vestnik FGBOU VPO RGATU. 2015. N 1 (25). Р. 60–65 (in Russ.).
- Sayapina D.G., Sivokon V.E., Limarenko N.V. Investigation of the effect of ultraviolet radiation on the condition of human skin. Molodoy issledovatel Dona. 2022. N 3 (36). P. 144–148 (in Russ.).
- Shakirova F.M. Non-specific resistance of plants to stress factors and its regulation. Gilem, Ufa, 2001 (in Russ.).
- Stossel P., Magnolato D. Phytoalexins in Phaseolus vulgaris and glycine max induced by chemical treatment, microbial contomination and fungal infection. Experimentia. 1983. V. 39 (2). P. 153–154.
- Tonkikh A.K. Mechanisms of action of weak low-frequency electromagnetic fields on living organisms. Uzbekskiy biologicheskiy zhurnal. 2010. Special Issue. P. 93–99 (in Russ.).
- Vayda K., Donohue K., Auge G.A. Within- and trans-generational plasticity: seed germinationresponses to light quantity and quality. AoB Plants. 2018. V. 10 (3). P. ply023. https://doi.org/10.1093/aobpla/ply023
- Veselovsky V.A., Veselova T.V. Luminescence of plants. Theoretical and practical aspects. Nauka, Moscow, 1990 (in Russ.).
- Voytsekhovskaya O.V. Phytochromes and other (photo) receptors of information in plants. Fiziologiya rasteniy. 2019. V. 66 (3). P. 163–177 (in Russ.).
- Volotovsky I.D. Phytochrome is a regulatory photoreceptor of plants. Nauka, Moscow, 1992 (in Russ.).
- Wu G., Zhao I., Sen R. et al. Characterization of maize phytochrome-interacting factors in light signaling and photomorphogenesis. Plant Physiol. 2019. V. 181. P. 789–803. https://doi.org/10.1104/pp.19.00239
- Zhurbitsky Z.I. Theory and practice of the vegetative method. Nauka, Moscow, 1968 (in Russ.).
- Авазходжаев М.Х., Зельцер С.Ш. (Avazkhodzhaev, Zeltser) Физиологические факторы вилтоустойчивости хлопчатника. Ташкент: Фан, 1980. 22 с.
- Аксенов С.И., Грунина Т.Ю., Горячев С.Н. (Aksenov et al.) О механизмах стимуляции и торможения при прорастании семян пшеницы в электромагнитном поле сверхнизкой частоты // Биофизика. 2007. Т. 52. № 2. С. 332–338.
- Алейников A.Ф., Минеев В.В. (Aleynikov, Mineev) Влияние гриба Ramularia tulasnei Sacc. на флуоресценцию хлорофилла садовой клубники // Сибирский вестник сельскохозяйственной науки. 2019. T. 49. № 2. Р. 94–102.
- Ахияров Б., Рахимов Р., Кутлуев А. (Akhiyarov et al.) Применение препарата Бисол 2 на огурцах // Овощеводство и тепличное хозяйство. 2017. № 2 (150). С. 40–45.
- Ахмеджанов И.Г., Гуссаковский Е.Е., Авазходжаев М.Х. и др. (Akhmedzhanov et al.) Способ повышения устойчивости хлопчатника к поражению возбудителем вертициллезного вилта. Авт. свид. СССР. № 1782387, 1992.
- Ахмеджанов И.Г., Гуссаковский Е.Е., Авазходжаев М.Х. и др. (Akhmedzhanov et al.) Регуляция фитоалексинообразования в тканях хлопчатника при облучении семян красным светом // Узб. биол. журн. 1993. № 1. С. 3–5.
- Ахмеджанов И.Г., Агишев В.С., Джолдасова К.Б. и др. (Akhmedzhanov et al.) Применение портативного флуориметра для исследования влияния водного дефицита на характеристики замедленной флуоресценции листьев хлопчатника // Докл. АН РУз. 2013 № 3. С. 58–60.
- Ахмеджанов И.Г., Тонких А.К., Хотамов М.М. и др. (Akhmedzhanov et al.) Способ предпосевной обработки семян хлопчатника. Патент на изобретение № IAP 05970 Агентство по интеллектуальной собственности РУз (приоритет от 24.05.2017 г., рег. № IAP 2017 0197).
- Белан С.Р. (Belan) Новые пестициды: Справочник. Москва: ИД Грааль, 2001. 196 с.
- Белов М.Л., Булло О.А., Федотов Ю.В. и др. (Belov et al.) Лазерный метод контроля состояния растений // Вестник МГТУ им. Н.Э. Баумана. Сер. Приборостроение. 2015. № 2. С. 71–82.
- Битарашвили С.В., Бондаренко В.С, Гераськин С.А. (Bitarashvili et al.) Экспрессия генов биосинтеза и катаболизма гиббереллинов в зародышах семян ячменя, подвергшихся воздействию ɤ-излучения // Радиационная биология. Радиоэкология. 2019. № 3. С. 286–292.
- Веселовский В.А., Веселова Т.В. (Veselovskiy, Veselova) Люминесценция растений. Теоретические и практические аспекты. М.: Наука, 1990. 176 с.
- Войцеховская О.В. (Voytsekhovskaya) Фитохромы и другие (фото)рецепторы информации у растений // Физиология растений. 2019. T. 66. № 3. C. 163–177.
- Волотовский И.Д. (Volotovskiy) Фитохром — регуляторный фоторецептор растений. Москва: Наука, 1992. 168 с.
- Дагужиева З.Ш. (Daguzhieva) Лекции по фитопатологии. Учебное пособие для аспирантов сельскохозяйственного направления. Майкоп: изд-во МГТУ, 2015. 76 с.
- Доспехов Б.А. (Dospekhov) Методика полевого опыта (с основами статистической обработки результатов исследований). М.: Агропромиздат, 1985. 351 с.
- Дьяков Ю.Т., Озерецковская О.Л., Джавахия В.Г. и др. (Dyakov et al.) Общая и молекулярная фитопатология. М.: Общество фитопатологов, 2001. 302 с.
- Журбицкий З.И. (Zhurbitskiy) Теория и практика вегетационного метода. М.: Наука, 1968. 268 с.
- Кодиров А.К. (Kodirov) Изучение и разработка технологии применения иммуно- и ростстимулятора Ростбисол на хлопчатнике в условиях Бухарской области. Дисс. … канд. биол. наук. Ташкент, 2009. 133 с.
- Корнеев Д.Ю. (Korneev) Информационные возможности метода индукции флуоресценции хлорофилла. Киев: Альтерпрес, 2002. 188 с.
- Кузнецов Е.Д., Сечняк Л.К., Киндрук Н.А. и др. (Kuznetsov et al.) Роль фитохрома в растениях. Москва: Агропромиздат, 1986. 285 с.
- Кулаева О.Н. (Kulaeva) Как свет регулирует жизнь растений // Соросовский образовательный журнал. 2001. Т. 7. № 4. С. 6–12.
- Мавланова С.А. (Mavlanova) Физиолого-биохимические особенности индуцированной устойчивости хлопчатника к сосущим насекомым-вредителям и возбудителю вертициллезного вилта. Дисс. … канд. биол. наук. Ташкент, 2012. 132 с.
- Малиновский В.И. (Malinovskiy) Физиология растений. Учеб. пособие. Владивосток: Изд-во ДВГУ, 2004. 94 с.
- Маторин Д.Н., Тимофеев Н.П., Глинушкин А.П. и др. (Matorin et al.) Исследование влияния грибковой инфекции Bipolaris sorokoniana на световые реакции фотосинтеза пшеницы с использованием флуоресцентного метода // Вестник Московского университета. Сер. 16. Биология. 2018. Т. 73 (4). С. 247–253.
- Наджимова Х.К. (Nadzhimova) Влияние красного света на ауксинзависимые процессы в растениях. Дисс. … канд. биол. наук. Ташкент, 2007. 119 с.
- Нелюбина Ж.С., Касаткина Н.И. (Nelyubina, Kasatkina) Влияние ультрафиолетового облучения семян многолетних трав на их посевные качества // Аграрная наука. 2021. № 9. С. 97–100.
- Ненахова Е.В., Николаева Л.А. (Nenakhova, Nikolaeva) Ультрафиолетовое излучение. Влияние ультрафиолетового излучения на организм человека. Иркутск: ИГМУ, 2020. 58 с.
- Першакова Т.В., Купин Г.А., Михайлюта Л.В. и др. (Pershakova et al.) Исследование влияния электромагнитного поля на изменение микробиальной обсемененности растительного сырья в процессе хранения // Успехи современного естествознания. 2016. № 5. С. 74–78.
- Романов В.А., Галелюка И.Б., Сахаран Е.В. (Romanov et al.) Портативный флуориметр и особенности его применения // Сенсорная электроника и микроскопические технологии. 2010. Т. 1 (7). С. 146–152.
- Савина О.В., Ильичев Л.Ф. (Savina, Ilyichev) Использование красного света для активации прорастания семян томата с истекшим сроком годности // Вестник Рязанского государственного агротехнического университета. 2021. Т. 13. № 4. С. 104–111.
- Савина О.В., Руделев С.А., Родионова А.Е. (Savina et al.) Стимулирование прорастания семян зерновых некогерентным красным светом: теория и практика // Вестник ФГБОУ ВПО РГАТУ. 2015. № 1 (25). С. 60–65.
- Саяпина Д.Г., Сивоконь В.Е., Лимаренко Н.В. (Sayapina et al.) Исследование влияния ультрафиолетового диапазона излучения на состояние кожных покровов человека // Молодой исследователь Дона. 2022. № 3 (36). С. 144–148.
- Тонких А.К. (Tonkikh) Механизмы действия слабых низкочастотных электромагнитных полей на живые организмы // Узб. биол. журнал. Ташкент, 2010. Спецвыпуск. С. 93–99.
- Шакирова Ф.М. (Shakirova) Неспецифическая устойчивость растений к стрессовым факторам и еe регуляция. Уфа: Гилем, 2001. 160 с.
Дополнительные файлы




