Редкоземельные элементы в оксигидроксидах железа из содержащих железоокисляющие бактерии биопленок
- Авторы: Фелицын С.Б.1
-
Учреждения:
- Институт геологии и геохронологии докембрия РАН
- Выпуск: № 4 (2024)
- Страницы: 452-461
- Раздел: Статьи
- URL: https://ogarev-online.ru/0024-497X/article/view/266985
- DOI: https://doi.org/10.31857/S0024497X24040049
- EDN: https://elibrary.ru/ZOFFZO
- ID: 266985
Цитировать
Полный текст
Аннотация
Оксигидроксиды железа, выделенные из современных биопленок (матов) с железоокисляющими бактериями Arthrobacter spp., Gallionella spp. и Leptothrix ochracea в водоемах северо-запада Восточно-Европейской платформы, показывают значительное обогащение редкоземельными элементами – до 1100 мкг/г. Содержание лантаноидов увеличивается на порядок примерно за 1 год в оксигидроксидах железа, продуцированных активными бактериальными сообществами, что указывает на интенсивное накопление РЗЭ минералами железа бактериального происхождения. (La/Yb)N и значения Ce и Y аномалий в оксигидроксидах железа соответствуют распределению РЗЭ в поверхностных водах, где развивались бактериальные сообщества. Изотопный состав неодима изученных бактериальных оксигидроксидов железа наследует изотопный состав Nd омывающих вод, значения 143Nd/144Nd варьируют от 0.511570 до 0.512220, величина eNd(0) изменяется от –21.8 до –9.2. Максимальная доля радиогенного Nd характерна для бактериальных оксигидроксидов железа из тех районов, где в четвертичных озерно-ледниковых отложениях присутствуют нижнепалеозойские карбонатные породы.
Полный текст
Способность оксигидроксидов железа накапливать элементы (включая щелочные, щелочноземельные и редкоземельные) из окружающей водной среды определяет применение их в промышленности в качестве сорбента. Сорбционная емкость оксигидроксидов железа связана со свойствами поверхности минеральных фаз (площадь и заряд) и образованием комплексных соединений [Hiemstra, van Riemsdijk, 2009], вследствие чего происходит накопление элементов на поверхности минеральных фаз [Trivedi et al., 2001; Sajih et al., 2014; Liu et al., 2017].
На особую роль ферригидрита бактериального происхождения в сорбции ряда элементов указывали ранее Ф.В. Чухров с соавторами [1973]. На северо-западе Восточно-Европейской платформы и в прилегающих к ней районах Балтийского щита, в водотоках с активным гидродинамическим режимом, воды которых содержат Fe2+, часто встречаются бактериальные сообщества, включающие представителей неформальной группы железобактерий, которые используют энергию окисления железа для фиксации углерода [Emerson et al., 2010]. Возникающие при этом минеральные фазы с Fe3+ (включая ферригидрит) осаждаются на поверхности бактериальных клеток, образуя чехлы различной морфологии. В лабораторных условиях активный рост железобактерий происходит при концентрациях Fe2+ > 7.5 мг/л [Felitsyn et al., 2023]; но в природных условиях железоокисляющие бактерии могут существовать в водных обстановках, где уровень содержания Fe2+ значительно ниже, включая морские бассейны [Ковальчук и др., 2012].
Изучение состава оксигидроксидов железа из бактериальных матов, находящихся длительное время на одном и том же месте, позволяет выяснить характер изменений концентрации в них различных элементов (включая РЗЭ) в течение нескольких лет.
В задачи настоящей работы входило исследование вариаций содержания РЗЭ и изотопного состава неодима в оксигидроксидах железа, которые образовались на поверхности клеток железобактерий различных видов в биопленках водоемов северо-запада Восточно-Европейской платформы, и выяснение динамики накопления РЗЭ бактериальными оксигидроксидами железа.
МАТЕРИАЛЫ И МЕТОДЫ
Объектом исследования являлись минералы железа, выделенные из содержащих железобактерии биопленок (бактериальных матов). Маты представляют собой прикрепленные к твердому субстрату водонасыщенные органические образования видимой толщиной первые мм и площадью до 100 см2 различных оттенков красного цвета – от желто- до темно-красного. Все изученные бактериальные маты находились в пределах водотоков с расходом воды 0.15‒0.4 л/с. Минералы железа, образованные на поверхности клеток железобактерий, представлены в основном гетитом и гидрогетитом, с подчиненным количеством ферригидрита, лепидокрокита, гидрогематита и гематита [Emerson et al., 2010]; далее в тексте для подобной ассоциации минералов используется обобщенный термин “оксигидроксиды железа”.
Объекты расположены в следующих трех локациях окрестностей г. Санкт-Петербурга.
- Правый берег р. Сестра Заводская в районе ж/д платформы Курорт, в ~30 км северо-западнее г. Санкт-Петербурга, координаты точки пробоотбора 60°11249 с.ш., 29°95988 в.д., образцы Sestra-1 и Sestra-2. Маты покрывают склон дюнных отложений четвертичного возраста, состоящих из кварцевого песка и залегающих на терригенных породах (аргиллитах и песчаниках) верхнего эдиакария, в местах выхода грунтовых вод в 2.5 км выше места впадения реки в Финский залив. Место отбора проб окружено садовыми участками. Отдельные бактериальные маты существуют на одном и том же месте до трех лет. По данным микробиологических исследований, главными железоокисляющими бактериями в матах р. Сестра Заводская являются Gallionella ferruginea, обнаружены и другие представители группы – Arthrobacter spp., Thiobacillus ferrooxidans, Leptothrix spp. В материале матов присутствует незначительное количество гематита (“железная сметана”).
- Район д. Заозерье на берегу озера Орлинское, Гатчинский район Ленинградской обл., координаты точки пробоотбора 59°23699 с.ш., 30°07396 в.д., образцы Orl-A и Orl-S. Маты присутствуют в центральной и краевой частях водотока (дренажная канава) с различным гидродинамическим режимом – скорость воды составляет 0.15 л/с в краевой части и 0.40 л/с в центральной. В матах преобладают Arthrobacter spp. и Gallionella spp., возраст матов оценить невозможно. На дне водотока и в пределах почвенного горизонта рядом с дренажной канавой присутствуют гальки и валуны размером до 15 см, сходные по внешнему виду с карбонатными породами волховского торизонта нижнего ордовика.
- Район населенного пункта Скачки, Красносельский район г. Санкт-Петербурга, координаты точки пробоотбора 59°75918 с.ш., 30°10287 в.д., образцы Sk-1-A, Sk-1-B, Sk-2, Sk-3 и Sk-4. Маты расположены в водотоке с расходом воды 0.2‒0.3 л/с в зоне небольшого перелива, возникшего в месте изменения гипсометрического уровня поверхностного водоема, появились в июне 2020 г. и исчезли в конце 2022 г. В окружающих озерно-ледниковых отложениях присутствуют фрагменты нижнепалеозойских известняков и доломитов различной степени окатанности. Преобладающей формой железобактерий в матах является Leptothrix ochracea, также обнаружена Gallionella ferruginea.
Определение видового состава бактерий проведено Л.А. Краевой (СПб НИИ эпидемиологии и микробиологии им. Пастера), описание и изображения железобактерий из локаций р. Сестра Заводская и оз. Орлинское приведены в работах [Фелицын, Алфимова, 2017; Felitsyn et al., 2019, 2023], изображение чехлов Leptothrix ochracea из локации Скачки показано на рис. 1.
Рис. 1. Оксигидроксиды железа, покрывающие клетки Leptothrix ochracea, локация Скачки, образец Sk-1-А. Изображения получены с помощью растрового электронного микроскопа JSM-6510LA (Japan), оснащенного спектрометром JED-2200 (JEOL)
Выделение минералов железа из обезвоженных матов проводилось гравитационным методом и электромагнитной сепарацией с последующей очисткой под оптическим микроскопом. Полученная фракция минералов железа растворялась в теплой (40°C) 10% HCl в течение 6 часов, полученный раствор высушивался и сухой остаток служил материалом для последующих изотопно-геохимических исследований. Целью подобной предварительной процедуры являлось исключение возможности попадания в пробу устойчивых в зоне гипергенеза минералов – граната, циркона и титанита, элементный и изотопный состав которых мог бы исказить данные по составу бактериальных оксигидроксидов железа. Изотопный состав Nd определен с помощью масс-спектрометра TRITON (Thermo Fisher Scientific, Germany), элементный состав – на оборудовании Agilent 7500c ICP-MS (USA) в Институте геологии и геохронологии докембрия РАН, детальное описание реализованной методики аналитических определений, список реактивов и метрология приведены в работах [Фелицын, Богомолов, 2016; Felitsyn et al., 2019, 2023]. Для представления результатов определения изотопного состава Nd в виде единиц eNd(0) использовано значение 143Nd/144Nd CHUR0 = 0.512638 согласно работе [Bouvier et al., 2008].
РЕЗУЛЬТАТЫ
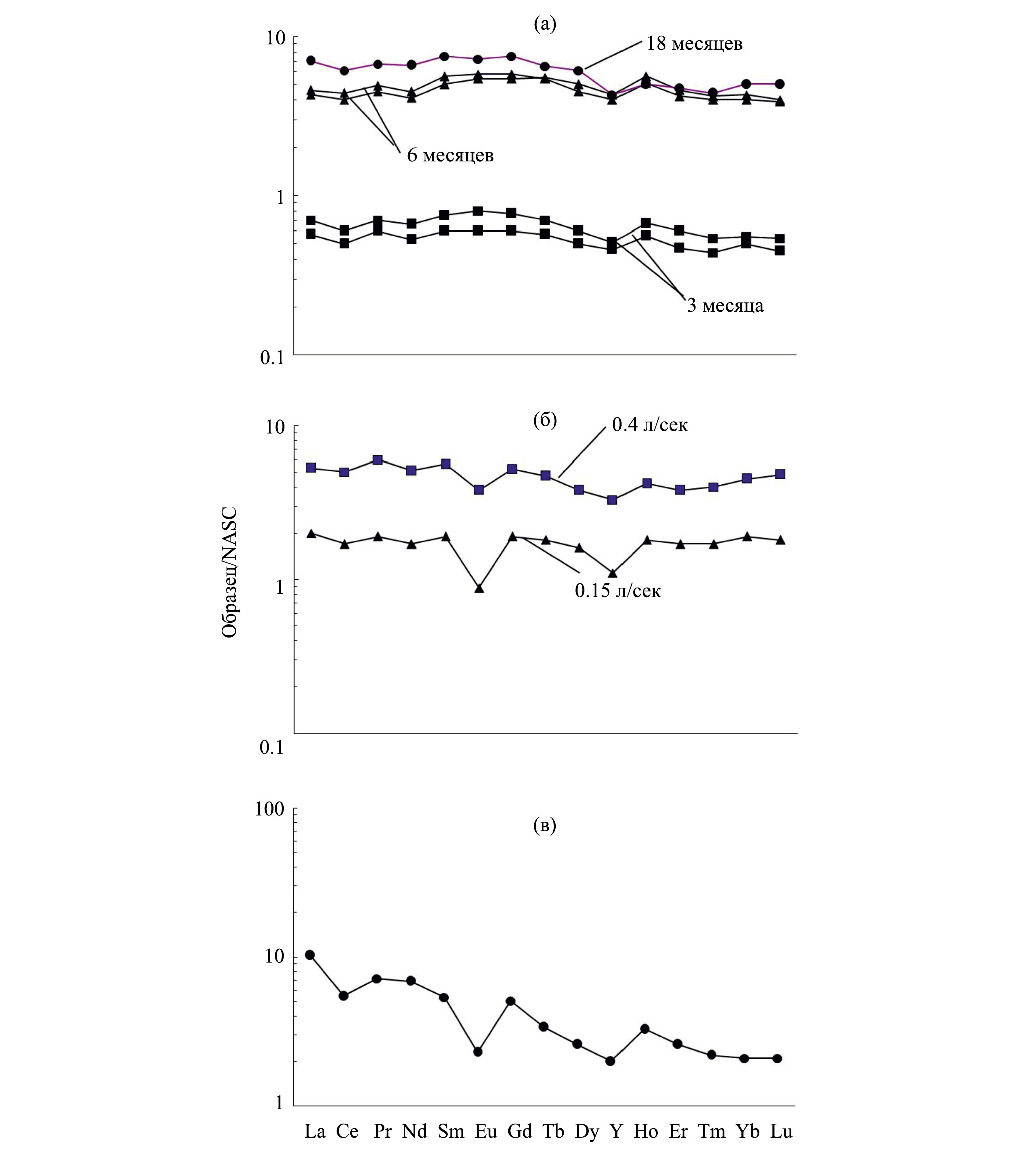
Содержание железа в пробах до обработки HCl составляло от 16.7 (локация Скачки) до 37.9 мас. % (локация р. Сестра Заводская), марганца – от 300 до 1300 мкг/г. Выделенные из бактериальных матов оксигидроксиды железа показывают значительное обогащение РЗЭ – в несколько раз превосходящее концентрации этих элементов в стандартных постархейских глинистых сланцах (NASC, PAAS) по [Gromet et al., 1984; Taylor, McLennan, 1985] (табл. 1). Наблюдается зависимость содержания РЗЭ от возраста бактериального мата или от расхода воды в водотоке. В локации оз. Орлинское в оксигидроксидах железа из бактериального мата в обстановке c расходом воды 0.4 л/с (образец Orl-A) суммарное содержание РЗЭ (950 мкг/г) более чем в три раза выше по сравнению с образцом Orl-S из зоны с расходом воды 0.15 л/с (310 мкг/г), расстояние между этими местами пробоотбора составляет не более 50 см. По мере увеличения возраста мата от 3 до 18 месяцев (локация Скачки) содержание РЗЭ в оксигидроксидах железа увеличивается более чем на порядок: от ~100 до ~1120 мкг/г. В бактериальных оксигидроксидах железа из матов возрастом не менее двух лет (локация Сестра Заводская) суммарное содержание РЗЭ составляет 1121 мкг/г. Концентрация примеси натрия в бактериальных оксигидроксидах Fe уменьшается от 1.1 мас. % в матах возрастом 3 месяца до 0.09 мас. % в мате возрастом 24 месяца, зависимость содержания РЗЭ и Na от возраста матов показана на рис. 2.
Таблица 1. Содержание РЗЭ (мкг/г) и натрия (мас. %) в оксигидроксидах железа из бактериальных матов
№ образца и возраст мата | Sk-1-A 3 месяца | Sk-1-B 3 месяца | Sk-2 6 месяцев | Sk-3 6 месяцев | Sk-4 18 месяцев | Orl-A – | Orl-S – | Sestra-2 24 месяца |
La | 22.5 | 18.2 | 148.0 | 137.0 | 225.0 | 198.0 | 63.0 | 331.0 |
Ce | 46.1 | 38.0 | 324.0 | 302.0 | 449.0 | 365.0 | 127.0 | 405.0 |
Pr | 5.7 | 4.6 | 39.0 | 35.5 | 54.0 | 47.6 | 14.8 | 56.6 |
Nd | 21.8 | 17.5 | 148.0 | 135.0 | 217.0 | 168.0 | 55.0 | 229 |
Sm | 4.3 | 3.5 | 31.8 | 28.8 | 43.1 | 32.3 | 11.1 | 30.6 |
Eu | 0.95 | 0.74 | 7.2 | 6.7 | 8.8 | 4.7 | 1.1 | 2.8 |
Gd | 4.0 | 3.2 | 30.0 | 28.5 | 39.0 | 27.2 | 10.1 | 26.5 |
Tb | 0.59 | 0.49 | 4.6 | 4.7 | 5.6 | 4.0 | 1.5 | 2.9 |
Dy | 3.5 | 32.9 | 26.0 | 29.0 | 35.0 | 22.1 | 9.1 | 14.8 |
Y | 16.2 | 14.8 | 138.0 | 139.0 | 140.0 | 89.0 | 29.8 | 56.0 |
Ho | 0.70 | 0.58 | 5.3 | 5.8 | 5.1 | 4.4 | 1.9 | 3.4 |
Er | 2.1 | 1.6 | 14.4 | 15.8 | 16.1 | 13.1 | 5.8 | 8.8 |
Tm | 0.27 | 0.22 | 2.0 | 2.1 | 2.2 | 2.0 | 0.85 | 1.1 |
Yb | 1.7 | 1.5 | 12.4 | 13.2 | 15.5 | 13.9 | 5.8 | 6.7 |
Lu | 0.26 | 0.22 | 1.9 | 1.9 | 2.4 | 2.3 | 0.84 | 1.1 |
Na | 0.89 | 1.1 | 0.79 | 0.72 | 0.35 | 0.62 | 0.94 | 0.09 |
Рис. 2. Зависимость содержания суммы РЗЭ (а) и натрия (б) в оксигидроксидах железа от возраста бактериального мата
Спектры распределения РЗЭ в изученных образцах бактериальных оксигидроксидах железа (рис. 3) демонстрируют незначительное обогащение легкими РЗЭ относительно тяжелых РЗЭ: величина отношения (La/Yb)N составляет от 1.0 до 1.3 и не изменяется по мере увеличения возраста мата. Также не меняются во времени индикаторные характеристики спектра РЗЭ (Ce- и Eu-аномалии, обеднение Y относительно Dy и Ho, отношение легкие РЗЭ/средние РЗЭ/тяжелые РЗЭ). В оксигидроксидах железа из локации р. Сестра Заводская величина отношения La/YbN составляет около 5.0 и имеет место выраженная отрицательная Eu-аномалия.
Рис. 3. Распределение РЗЭ в оксигидроксидах железа в образцах из локаций Скачки (а), оз. Орлинское (б) и р. Сестра Заводская (в) по данным табл. 1
Содержание РЗЭ в NASC ‒ из работы [Gromet et al., 1984]. Указаны возраст бактериальных матов в локации Скачки (а) и расход воды (л/с) в локации оз. Орлинское (б). Возраст мата из локации р. Сестра Заводская составляет не менее двух лет
Значения eNd(0) в изученных оксигидроксидах железа бактериального происхождения изменяются от –9.2 до –21.3 и показывают связь с местоположением пробоотбора. Образцы из локации Скачки имеют наибольшее содержание радиогенного Nd (eNd(0) от –9.2 до –12.1) по сравнению с образцами из района р. Сестра Заводская (eNd(0) –21.8 и –21.3) и оз. Орлинское (eNd(0) –15.7 и –17.3). Два последних района расположены в пределах осадочного чехла северо-запада Восточно-Европейской платформы, где четвертичные озерно-ледниковые отложения залегают на нижнепалеозойских осадочных породах, аналогичные отложения в локации Сестра Заводская лежат на силикокластических осадках верхнего эдиакария (табл. 2).
Таблица 2. Изотопный состав неодима в оксигидроксидах железа бактериального происхождения
Образец | Дата пробоотбора | Sm, мкг/г | Nd, мкг/г | 147Sm/144Nd | 143Nd/144Nd | eNd(0) |
р. Сестра Заводская | ||||||
Sestra-1 | 01.01.2019 | 30.2 | 179.0 | 0.1005 | 0.511570 ± 5 | –21.3 |
Sestra-2 | 01.01.2020 | 46.4 | 280.4 | 0.1001 | 0.511582 ± 7 | –20.9 |
оз. Орлинское | ||||||
Orl-A | 10.07.2021 | 29.7 | 181.5 | 0.0990 | 0.511608 ± 3 | –17.3 |
Orl-S | 10.07.2021 | 10.9 | 57.6 | 0.1145 | 0.511832 ± 8 | –15.7 |
н.п. Скачки | ||||||
Sk-1-B | 17.10.2020 | 3.5 | 15.1 | 0.1296 | 0.512220 ± 6 | –9.2 |
Sk-2 | 03.01.2021 | 29.8 | 149.8 | 0.1204 | 0.511969 ± 3 | –11.3 |
Sk-4 | 01.01.2022 | 30.7 | 152.6 | 0.1224 | 0.511950 ± 3 | –12.0 |
Sk-4-1 | 01.01.2022 | 28.4 | 140.1 | 0.1223 | 0.511949 ± 2 | –12.1 |
РЕДКОЗЕМЕЛЬНЫЕ ЭЛЕМЕНТЫ В БАКТЕРИАЛЬНЫХ ОКСИГИДРОКСИДАХ ЖЕЛЕЗА
Высокая сорбционная емкость оксигидроксидов Fe (в том числе, бактериального ферригидрита) определяется значительной величиной площади поверхности кристаллов – до 840 м2 на грамм у ферригидрита [Davis, Leckie, 1978]. Накопление содержащихся в водной среде элементов может быть связано с присутствием O– [Hiemstra, van Riemsdijk, 2009] или OH– [Tessier et al., 1996] на поверхности оксигидроксидов Fe, данные по сорбции и соосаждению РЗЭ на оксигидроксидах железа приведены в работе [Дубинин, 2006].
Очевидно, что источником РЗЭ в бактериальных матах является омывающая их вода, и индикаторные характеристики спектров РЗЭ определяются распределением этих элементов в аквафациях, в которых росли железобактерии. Во всех изученных пробах наблюдается отрицательная Ce-аномалия, что типично для окислительных обстановок аквафаций, и отрицательная Y-аномалия, указывающая на пресноводность водоемов (см. обзор [Möller et al., 2021]). При увеличении времени нахождения оксигидроксидов Fe в водной среде и/или возрастании скорости потока воды, происходит увеличение содержания РЗЭ в них (см. рис. 2). При этом скорость накопления РЗЭ изменяется во времени – за первые 3 месяца существования мата (локация Скачки) содержание РЗЭ в оксигидроксидах увеличилось в 7 раз (от 110 до 770 мкг/г), а за последующий год – только на 50% (от 770 до 1120 мкг/г). При расходе воды 0.1 л/с и содержании РЗЭ в поверхностных водах Санкт-Петербургского региона ~5 × 10–6 г/т [Фелицын, Богомолов, 2017], через маты с железобактериями за 1 год проходит около 3500 т воды. Проведенные балансовые расчеты показывают, что содержащихся в таком количестве воды РЗЭ вполне достаточно для получения наблюдаемых в бактериальных оксигидроксидах железа концентраций РЗЭ при толщине омывающего слоя воды в 1 мм.
Характер зависимости суммарного количества РЗЭ от возраста матов из различных локаций позволяет предположить ограничение количества сорбированных РЗЭ при достижении концентраций 1100‒1200 мкг/г. Возможно, существенно различные величины отношения La/YbN в матах локации р. Сестра Заводская, с одной стороны, и районов Скачки и оз. Орлинское с другой, обусловлены разным составом четвертичных озерно-ледниковых отложений. В районе Карельского перешейка, где расположена р. Сестра Заводская, четвертичные отложения главным образом представлены фрагментами пород фундамента и верхнеэдиакарских силикокластических пород (преимущественно, аргиллиты котлинского и гдовского горизонтов), которые образовались в результате эрозии Балтийского щита [Сочава и др., 1992]. Для аргиллитов верхнего эдиакария северо-западной части Московской синеклизы типичны высокие значения отношения La/YbN (2.5 и выше), что связано с распределением РЗЭ в эродируемых комплексах фундамента Восточно-Европейской платформы в эдиакарии [Борхвардт, Фелицын, 1992]. Поскольку локация р. Сестра Заводская расположена в районе промышленной и сельскохозяйственной активности, не исключено образование в поверхностных водах комплексов лантаноидов с техногенными анионами (например, с фосфатами).
Представляет интерес сопоставление скорости накопления РЗЭ оксигидроксидами железа бактериального происхождения и железомарганцевыми конкрециями – хорошо изученного депозитария РЗЭ. В последних содержание РЗЭ достигает 0.4 вес. % [DeCarlo, McMurtry, 1992; Koski, 1992] при скоростях роста конкреций от первых мкм за 1000 лет в морских пелагических железомарганцевых конкрециях [Батурин, 1986; Banakar, Hein, 2000] и до первых мм/1000 лет в пресноводных конкрециях [Hayles et al., 2021]. В бактериальных оксигидроксидах железа, как было показано выше, содержание РЗЭ увеличилось на порядок – до 0.1 мас. % за 1 год. Вероятной причиной различной скорости накопления РЗЭ в морских железомарганцевых конкрециях и оксигидроксидах железа бактериального происхождения является разница в объеме воды (и, соответственно, в количестве РЗЭ), омывающей формирующиеся минеральные фазы в пелагических обстановках и в континентальных водотоках.
ИЗОТОПНЫЙ СОСТАВ НЕОДИМА В БАКТЕРИАЛЬНЫХ ОКСИГИДРОКСИДАХ ЖЕЛЕЗА
Изотопный состав Nd изученных оксигидроксидов железа полностью соответствует выявленной ранее связи величины отношения 143Nd/144Nd в аутигенных минералах железа с вещественным составом четвертичных озерно-ледниковых отложений, залегающих на карбонатных породах нижнего палеозоя или на силикокластических осадках верхнего эдиакария и протерозойских комплексах Балтийского щита. Образцы болотных руд и оксигидроксидов железа из содержащих железоокисляющие бактерии биопленок водотоков Балтийского щита показывают значения eNd(0) от –20.0 до –28.4, тогда как аналогичные пробы из мест, расположенных в пределах платформенного чехла Восточно-Европейской платформы, имеют изотопный состав Nd c eNd(0) от –5.0 до –10.0 [Фелицын, Богомолов, 2016; 2017, Felitsyn et al., 2019, 2023]. Нижнепалеозойские известняки и доломиты, вскрывающиеся рядом с местом пробоотбора в локации оз. Орлинское, характеризуются значениями eNd(0) от –7.0 до –8.2 (Е. Богомолов, неопубликованные данные). Растворение карбонатных пород с таким изотопным составом неодима приводит к увеличению доли радиогенного Nd как в природных водах, так и в присутствующих в них бактериальных матах с железобактериями. Аргиллиты верхнего эдиакария (котлинский горизонт) в районе Ладожского оз. и Карельского перешейка характеризуются значениями eNd(0) = –22.1 [Sturesson et al., 2005], и такие же породы подстилают четвертичные дюнные отложения в районе р. Сестра Заводская. Таким образом, вариации изотопного состава Nd в поверхностных водах (и соответственно в оксигидроксидах железа из бактериальных матов в таких водах), определяются вкладом двух различных источников Nd в водотоки, дренирующие водно-ледниковые отложения на северо-западе Восточно-Европейской платформы. Нижнепалеозойские карбонатные породы являются источником повышенного содержания радиогенного Nd в дренажных водах, а силикокластические осадочные породы верхнего эдиакария, источником материала для которых были протерозойские комплексы Балтийского щита, определяют более низкие значения 143Nd/144Nd в дренажных водах. Показательным в этом отношении является изменение величины eNd(0) в бактериальных оксигидроксидах железа из локации Скачки. Первые пробы, взятые в конце летнего периода, характеризуются наиболее высоким значением eNd(0) (–9.2), в последующих пробах (отобранных в зимнее время) величина eNd(0) составляет от –12.1 до –11.3. Более высокая закисленность (на 0.2–0.3 единиц pH) летних осадков, по сравнению с зимними [Израэль и др., 1989], определяет более интенсивное растворение карбонатных пород в летний период, что и определяет вариации значений eNd(0) в бактериальных оксигидроксидах железа, отобранных в разное время года. В оксигидроксидах железа бактериального происхождения из матов одного возраста (не более 3 месяцев, локация оз. Орлинское), величины отношения 143Nd/144Nd существенно различаются (eNd(0) –15.7 и –17.3). Подобные различия могут быть связаны с динамикой растворения фрагментов палеозойских карбонатных пород, присутствующих в дренируемых озерно-ледниковых отложениях, и с различным вкладом кластических и карбонатных пород в изотопный состав омывающих вод. Напротив, в локации р. Сестра Заводская, где полностью отсутствуют карбонатные осадочные породы палеозоя, изотопный состав Nd остался неизменным за 12 месяцев, значения слабо варьируют в пределах погрешности измерения (см. табл. 2).
ЗАКЛЮЧЕНИЕ
Данные о содержании РЗЭ в оксигидроксидах железа бактериального происхождения из водотоков различных районов Ленинградской обл. свидетельствуют о высокой скорости их накопления: за год суммарное содержание РЗЭ увеличилось на порядок. Содержание примеси Na в тех же матах за год уменьшилось более чем в 10 раз. Полученные результаты показывают, что возможный предел насыщения РЗЭ бактериальных оксигидроксидов железа – около 0.1 мас. % за один год. Спектры РЗЭ (Eu-, Ce- и Y-аномалии, величина отношения La/YbN) в изученных оксигидроксидах железа близко соответствуют распределению РЗЭ в водной среде, в которой происходило их формирование, и не изменяются при прогрессивном накоплении РЗЭ.
Изотопный состав Nd в бактериальных оксигидроксидах железа определяется особенностями геологического строения районов пробоотбора и состава присутствующих здесь четвертичных отложений. Образцы из водотоков тех районов, где озерно-ледниковые отложения залегают на палеозойских известняках и доломитах, характеризуются более высоким содержанием радиогенного Nd по сравнению с оксигидроксидами железа из бактериальных матов на территории Карельского перешейка, где на территории водосбора присутствуют породы протерозойского фундамента и силикокластические отложения верхнего эдиакария. Вероятной причиной возрастания значений 143Nd/144Nd в оксигидроксидах Fe является поступление в поверхностные воды более высокорадиогенного Nd в тех районах, где происходит растворение нижнепалеозойских осадочных карбонатов.
КОНФЛИКТ ИНТЕРЕСОВ
Автор данной работы заявляет, что у него нет конфликта интересов.
ФИНАНСИРОВАНИЕ РАБОТЫ
Работа выполнена в рамках темы НИР ИГГД РАН № FMUW-2022-0004.
Об авторах
С. Б. Фелицын
Институт геологии и геохронологии докембрия РАН
Автор, ответственный за переписку.
Email: felitsynsergey@gmail.com
Россия, Санкт-Петербург
Список литературы
- Батурин Г.Н. Геохимия железомарганцевых конкреций океана. М.: Наука, 1986. 328 с.
- Борхвардт Д.В., Фелицын С.Б. Геохимия вулканических туфов редкинского горизонта верхнего венда Русской платформы // Вулканология и сейсмология. 1992. № 1. С. 33‒45.
- Дубинин А.В. Геохимия редкоземельных элементов в океане. М.: Наука, 2006. 360 с.
- Израэль Ю.А, Назаров И.М., Прессман А.Я., Ровинский Ф.Я., Рябошапко А.Г., Филиппова Л.М. Кислотные дожди. Л.: Гидрометеоиздат, 1989. 269 с.
- Ковальчук Ю.Л., Полтаруха О.П., Жданова Г.В. Железо-марганцевые микроорганизмы в донных отложениях Севастопольской бухты и прилегающих участков юго-западной части Крымского побережья // Вода, химия и экология. 2012. № 11. С. 55‒59.
- Сочава А.В., Коренчук Л.В., Пиррус Э.А., Фелицын С.Б. Геохимия верхневендских отложений Русской платформы // Литология и полез. ископаемые. 1992. № 2. С. 71‒89.
- Фелицын С.Б., Богомолов Е.С. Редкоземельные элементы, Rb-Sr и Sm-Nd систематики в торфяно-болотных железных рудах и мхах северо-запада Восточно-Европейской платформы // Литология и полез. ископаемые. 2016. № 2. С. 118‒128.
- Фелицын С.Б., Богомолов Е.С. Изотопный состав неодима подземных вод Санкт-Петербургского региона // Геоэкология. Инженерная геология. Гидрогеология. Геокриология. 2017. № 4. С. 73‒81.
- Фелицын С.Б., Алфимова Н.А. Изотопные и микроэлементные систематики бактериальных матов с Gallionella sp. на северо-западе Восточно-Европейской платформы // ДАН. 2017. Т. 474. № 6. С. 271‒273.
- Чухров Ф.В., Звягин Б.Б., Горшков А.И., Ермилова Л.П., Балашова В.В. О ферригидрите // Известия АН СССР. Сер. геол. 1973. № 4. С. 22‒33.
- Banakar V.K., Hein J.R. Growth response of a deep-water ferromanganese crust to evolution of the Neogene Indian Ocean // Marine Geology. 2000. V. 162. P. 529‒540.
- Bouvier A., Vervoort J.D., Patchett P.J. The Lu–Hf and Sm–Nd isotopic composition of CHUR: Constraints from unequilibrated chondrites and implications for the bulk composition of terrestrial planets // Earth Planet. Sci. Lett. 2008. V. 273. P. 48–57.
- Davis J.A., Leckie J.O. Surface ionization and complexation at the oxide/water interface II. Surface properties of amorphous iron oxyhydroxide and adsorption of metal ions // J. Colloid Interface Sci. 1978. V. 67(1). P. 90‒107.
- De Carlo E.H., MacMurtry G.M. Rare-earth element geochemistry of ferromanganese crusts from the Hawaiian Archipelago, Central Pacific // Chem. Geol. 1992. V. 95(3‒4). P. 235‒250.
- Emerson D., Fleming E.J., Mcbeth J. Iron-Oxidizing Bacteria: An Environmental and Genomic Perspective // Ann. Rev. Microbiol. 2010. V. 64. P. 561‒583.
- Felitsyn S.B., Alfimova N.A., Bogomolov E.S. Nd and Sr isotopic composition of ancient iron-made artifacts and ores from Northwest Russia // Geoarchaeology. 2019. V. 34. P. 221‒228.
- Felitsyn S.B., Alfimova N.A., Bogomolov E.S. The accumulation of the REE by bacterial Fe oxyhydroxide // Geochemistry International. 2023. V. 61. P. 1‒14. https://doi.org/10.1134/S0016702923090021
- Gromet L.P., Haskin L.A., Korotev R.L., Dymek R.F. The “North American shale composite”: Its compilation, major and trace element characteristics // Geochim. Cosmochim. Acta. 1984. V. 48. P. 2469‒2482.
- Hayles S., Al T., Cornett J., Harrison A., Zhao J. Growth rates for freshwater ferromanganese concretions indicate regional climate change in eastern Canada at the Northgrippian‒Meghalayan boundary // The Holocene. 2021. V. 31. P. 1250‒1263.
- Hiemstra T., Riemsdijk W.H. A surface structural model for ferrihydrite I: Sites related to primary charge, molar mass, and mass density // Geochim. Cosmochim. Acta. 2009. V. 73. P. 4423‒4436.
- Koski R.A. Ferromanganese deposits from the Gulf of Alaska Seamount Province: Mineralogy, chemistry and origin // Can. J. Earth Sci. 1988. V. 25. P. 116‒133.
- Liu H., Pourret O., Guo H., Bonhoure J. Rare earth elements sorption to iron oxyhydroxide: Model development and application to groundwater // Appl. Geochem. 2017. V. 87. P. 158‒166.
- Möller P., Dulski P., De Lucia M. REY Patterns and Their Natural Anomalies in Waters and Brines: The Correlation of Gd and Y anomalies // Hydrology. 2021. V. 8. P. 1‒21.
- Sajih M., Bryan N.D., Livens F.R., Vaughan D.J. Descosts M., Phrommavanh V., Nos J., Morris R. Adsorption of radium and barium on goethite and ferrihydrite: A kinetic and surface complexation modeling study // Geochim. Cosmochim. Acta. 2014. V. 146. P. 150‒163.
- Sturesson U., Popov L., Holmer L., Basset M., Felitsyn S., Belyatsky B. Neodymium isotopic composition of Cambrian-Ordovician biogenic apatite in the Baltoscandian Basin: implications for palaeogeographical evolution and patterns of biodiversity // Geol. Mag. 2005. V. 142. P. 419‒439.
- Taylor S.R., McLennan S.M. The Continental Crust; Its composition and evolution; an examination of the geochemical record preserved in sedimentary rocks. Oxford: Blackwell, 1985. 312 р.
- Tessier A., Fortin D., Belzile N., De Vitre R.R., Leppard G.G. Metal sorption to diagenetic iron and manganese oxyhydroxides and associated organic matter: Narrowing the gap between field and laboratory measurements // Geochim. Cosmochim. Acta. 1996. V. 60. P. 387‒404.
- Trivedi P., Axe L., Dyer J. Adsorption of metal ions onto goethite: Single-adsorbate and competitive systems // Colloids Surf. A: Physicochemical and Engineering Aspects. 2001. V. 191. P. 107‒121.
Дополнительные файлы





