Features of the genesis of manganese ores of the Kvirila deposit, Georgia (according to the data carbon and oxygen isotope composition and rare earth elements geochemistry)
- Autores: Kuleshov V.N.1, Bychkov A.Y.2, Nikolaeva I.Y.2, Tarnopolskaya M.E.2
-
Afiliações:
- Geological Institute of the RAS
- Lomonosov Moscow State University
- Edição: Nº 2 (2024)
- Páginas: 180-200
- Seção: Articles
- URL: https://ogarev-online.ru/0024-497X/article/view/259017
- DOI: https://doi.org/10.31857/S0024497X24020037
- EDN: https://elibrary.ru/zbxosu
- ID: 259017
Citar
Texto integral
Resumo
Original data on the isotopic composition (δ13С, δ18О) and geochemistry of major and rare earth elements (REE) in manganese ores of the Rodinauly section of the Kvirila deposit (Georgia) presents in this article. δ13С (V-PDB) values in the carbonate ores vary from –19.6 to –6.6‰, and δ18О (V-SMOW) – from 21.1 to 29.1‰; in the carbonate substance of cement of oxide ores – from –14.9 to –5.5‰ and from 21.8 to 28.4‰, respectively. A feature of the studied ores is the presence in the predominant number of samples (both carbonate and oxide ores) of a negative cerium anomaly (Ce/Ce*PAAS – up to 0.51); there is no pronounced anomaly in europium in them. A conclusion has been made about the formation of ores both under conditions of early diagenesis of sediments and later during catagenesis, which took place with the participation of metal-bearing elision solutions.
Palavras-chave
Texto integral
Квирильское месторождение, также, как и уникальное по запасам высококачественных марганцевых руд Чиатурское, и ряд более мелких месторождений и рудопроявлений Грузии группируются возле Дзирульского кристаллического массива (рис. 1). Оно расположено к юго-западу от Чиатурского и приурочено к одноименной впадине, где занимает большую часть ее площади. Прогнозные ресурсы месторождения оцениваются в 170 млн т [Долидзе и др., 1980].
Рис. 1. Схема распространения марганценосносных олигоцен-нижнемиоценовых отложений в районе Чиатурского и Квирильского марганцеворудных бассейнов Западной Грузии и положение изученного (“Ж”, обведено жирным кружком) рудопроявления (по [Долидзе и др., 1980] с изменениями).
1 – выходы марганценосных отложений; 2 – граница их подземного распространения в пределах Квирильской депрессии; 3 – глубинные разломы; 4 – линия надвига Аджаро-Триалетской системы на Грузинскую глыбу; 5 – дизъюктивные нарушения второго порядка; 6 – выходы домезозойских кристаллических образований; 7 – марганцеворудные бассейны: I – Чиатурский, II – Квирильский (буквы в кружках – рудные поля: А – Чхарское, Б – Дзеврское, В – Симонетское, Г – Бролискедское, Д – Аджеметское, Е – Рокитское, Ж – Родинаульское, З – Чолабурское, И – Терджольское); 8 – рудопроявления: 1 – Перевское, 2 – Кверетское, 3 – Табанинское, 4 – Дзлоурское, 5 – Свирское, 6 – Димское, 7 – Персатское, 8 – Ванское, 9 – Агаринское
В пределах Квирильского месторождения выделяется несколько участков (рудопроявлений): Родинаульское, Чолабури, Чхарское, Аджеметское, Дзеврское, Симонетское, Бролискедское, Рокитское и Терджольское (см. рис. 1), но наибольшей концентрации марганцевые руды достигают на участках Родинаули и Чолабури, которые приурочены к центральной части депрессии.
Несмотря на довольно хорошую геологическую изученность месторождения (пройдены сотни разведочных скважин), публикации по геохимии, минералогии и особенностям геологического строения месторождения в последние десятилетия практически отсутствуют. Генезис месторождения до сих пор остается не до конца выясненным.
В настоящей статье приводятся новые данные по изотопному составу (δ13С, δ18О) и геохимии главных и редкоземельных (РЗЭ) элементов в марганцевых рудах Родинаульского участка Квирильского месторождения. Интерпретация полученных данных позволяет осветить более детально некоторые стороны геохимии марганцево-рудного процесса в пределах рассматриваемого месторождения; результаты хорошо согласуются с ранее сделанным заключением о формировании руд, как в условиях раннего диагенеза осадков [Кулешов, 2001а, 2001б], так и позже – на постседиментационной стадии литогенеза, которое проходило с участием металлоносных элизионных растворов.
ГЕОЛОГИЧЕСКОЕ ПОЛОЖЕНИЕ
Квирильская депрессия в тектоническом отношении представляет собой широкую грабен-синклиналь, в днище которой осадки залегают горизонтально, а на крыльях осложнены мелкими складками и разрывными нарушениями [Хамхадзе, Туманишвили, 1984]. Со всех сторон впадина ограничена разрывными нарушениями: на севере от Окрибской суши она отделена Сачхерским разломом, на юге от Аджаро-Триалетской складчатой области ее отделяет Сурамско-Гокешурский разлом, с Дзирульским массивом она сочленяется через Чхарский разлом, а на западе граничит с Рионской депрессией по Чишурскому разлому [Хамхадзе, Туманишвили, 1984; Туманишвили, 1989]. Северный и южный субширотные разломы, по В. Я. Эдилашвили с соавторами [1980], являются надвигами, приуроченными к долгоживущим разломам, по которым отложения юры и мела надвинуты на палеогеновые отложения.
На Квирильском месторождении марганцевые руды залегают в нижней части разреза майкопской серии, мощность которой меняется от 45–80 м в восточной и центральной частях впадины до 250–300 м – в западной и южной. Выделяют подрудный, рудный и надрудный горизонты. Подрудный горизонт сложен рыхлыми песками мощностью до 3 м. Надрудные отложения представлены кремнистыми (спонголиты), а выше – глинистыми породами, мощность которых увеличивается с 4–5 м на востоке до 21–30 м на западе.
Рудное тело образует пластообразную залежь мощностью от 0.2 до 5.8 м. По площади мощность ее не выдержана и отдельные рудопроявления (участки) разделены безрудными или слабо минерализованными участками. Наибольшая мощность рудного горизонта наблюдается в западной части депрессии, в центральной она сокращается до 2–3 м, а на восточном и южном флангах он выклинивается.
Рудный пласт характеризуется сложным строением, обусловленным чередованием линзовидных слоев разных типов руд (карбонатных, оксидных) и слоев с разным количественным содержанием рудных и нерудных (вулканогенно-осадочных, терригенных и аутигенных) компонентов. Мощность отдельных рудных прослоев меняется от 0.05 до 0.65 м [Долидзе и др., 1980].
Марганцевые руды по условиям образования делятся на первичные и окисленные. В данной работе рассматриваются лишь не измененные гипергенезом первичные, руды. Марганцевое вещество в них представлено окисной и/или карбонатной формами; в зависимости от этого в настоящей работе условно выделены оксидный (с подчиненным и переменным количеством карбонатов марганца в цементе) и карбонатный (с незначительной примесью терригенного материала: кварц, реже – полевые шпаты) типы руд. Следует отметить, что в научной литературе в зависимости от содержания в рудах карбонатных и оксидных минералов выделяется также и промежуточный, оксидно-карбонатный тип [Долидзе и др., 1980].
Минеральный состав марганцевых руд, развитых в центральной части депрессии, довольно прост. Руды представлены манганитом, манганокальцитом и родохрозитом; реже – олигонитом и пиролюзитом, во многих случаях присутствуют минералы оксидов железа (гетит, гематит) [Долидзе и др., 1980; Хамхадзе, Туманишвили, 1984].
Карбонатные руды мелкозернистые, плотные массивные, однородные по составу марганцевых минералов (родохрозит, манганокальцит). Также наблюдаются участки с оксидами марганца (пиролюзит), образованными в результате окисления карбонатов марганца (рис. 2а, 2б). В некоторых случаях отмечаются текстуры, свидетельствующие о неоднородности исходного осадка, заключавшего в своем составе, по-видимому, и органогенные остатки, которые были подвергнуты аутигенной карбонатизации (см. рис. 2д, 2е). Присутствуют также редкие обломки кварца и зерен глауконита (см. рис. 2 ж, 2з). В некоторых случаях отмечается ожелезнение (рис. 3а, 3б).
Рис. 2. Фотографии шлифов карбонатных марганцевых руд Квирильского месторождения без анализатора (а, в, д, ж) и с анализатором (б, г, е, з). а, б – обр. 46/83, в, г – обр. 47/83, д, е – обр. 56/83. Объяснения см. в тексте
Рис. 3. Фотографии шлифов песчано-карбонатных (а, б) и оксидных (с карбонатным цементом) (в–з) марганцевых руд Квирильского месторождения без анализатора (а, в, д, ж) и с анализатором (б, г, е, з).
а, б – обр. 49/83, в, г – обр. 37/83, д–з – обр. 40/83, разные участки. Q – кварц, Rd – родохрозит. Объяснения см. в тексте
Первичные оксидные руды имеют, как правило, оолитовую текстуру (см. рис. 3в–3з) и представлены в основном манганитом и пиролюзитом [Долидзе и др., 1980]; присутствуют также и горизонты, обогащенные минералами оксидов железа – гетитом и гематитом [Хамхадзе, Туманишвили, 1984]. Во многих случаях рудные оолиты погружены в карбонатный мелкозернистый цемент, представленный кальциевым родохрозитом и родохрозитом, и имеют обычно концентрически-зональное строение (см. рис. 3д–3з). Также присутствуют мелкие редкие зерна глауконита (см. рис. 3ж, 3з, зерно зеленого цвета).
Вмещающими рудную залежь, как уже отмечалось, являются песчано-алевритовые породы майкопской серии, сложенные преимущественно кварцем и полевым шпатом (микроклин, ортоклаз, плагиоклазы). Остальные минералы (слюды, амфиболы, акцессорные), органические остатки (древесина, рыбьи скелеты и чешуя), а также обломки пород и вулканические стекла присутствуют в незначительных количествах.
Марганцевое оруденение внутри терригенных отложений майкопской серии четко приурочено к участкам интенсивного развития аутигенной кремнисто-цеолитовой минерализации [Махарадзе, 1972, 1979; Долидзе и др., 1980; Хамхадзе, 1981; Мачабели, 1986]. Марганцевые минералы, которые также являются аутигенными, находятся с ней в тесной парагенетической ассоциации. Наиболее интенсивно вторичная минерализация проявлена вдоль линий разрывных нарушений, где мощности таких пород достигают 90 м. По мере удаления от разломов интенсивность минерализации снижается и наблюдается постепенный переход в типичные терригенные отложения майкопа.
Аутигенная минерализация рудовмещающих толщ чрезвычайно разнообразна. Наиболее широко распространены опал и клиноптилолит, часто встречаются монтмориллонит, глауконит, барит, гипс, самородная сера, пирит, марказит. На участках проявления вторичной минерализации широко развиты также твердые битумы.
Важно отметить, что зоны аутигенной минерализации существенно обогащены желваками фосфоритов. Их нахождение в тесной парагенетической ассоциации с опалом, халцедоном и другими новообразованиями, в том числе и с минералами марганца, также может указывать на постседиментационное происхождение этих выделений [Долидзе и др., 1980].
Кремнистое вещество в породах с аутигенной минерализацией находится чаще всего в виде опала, реже – халцедона, образуя участки опок, опалолитов и спонголитовых песчаников. Обычно опоки и опалолиты развиты в нижней части разреза рудоносной толщи, а спонголитовые песчаники – в верхней, однако отдельные спикулы губок наблюдаются по всему разрезу. Первично хемогенная природа кремнистого биогенного материала обоснована А. И. Махарадзе [1979], Н. И. Хамхадзе [1981] и др. Опоки являются очень пористыми и легкими породами. Опалолиты обычно содержат примесь глинистого материала; в их составе отмечаются округлые выделения, сложенные опалом или глинистым веществом, либо тем и другим совместно. Замещению карбонатами марганца подвергнуты преимущественно опоки и опалолиты, как наиболее пористые (проницаемые) породы. Спонголитовые песчаники обычно образуют кровлю рудного горизонта.
Аутигенная минерализация охватывает не только рудную и надрудную толщу, но и подстилающие верхнеэоценовые мергели и резко преобладает над терригенной составляющей породы [Махарадзе, 1972; Мерабишвили и др., 1979; Хамхадзе, 1981; Мачабели, 1986]. Верхнеэоценовые мергели, по Н. И. Хамхадзе [1981], доломитизированы, окремнены, а также содержат смектит и цеолиты.
Кроме терригенной и аутигенной составляющих в породах нижнего олигоцена, а также в подстилающих их мергелях верхнего эоцена Квирильской впадины описаны продукты вулканизма, представленные вулканическим стеклом, обломками плагиоклаза, пеплом, туфами и туффитами [Долидзе и др., 1980]. Эти авторы отмечают, что туфогенный материал во многих случаях замещен монтмориллонитом, клиноптилолитом и опалом.
Для Квирильского месторождения на Чхарском и Аджаметском участках отмечается фациальная зональность в распределении типов руд [Авалиани, 1982]. В южном направлении оксидные (псиломелан-пиролюзитовые с примесью манганита) руды сменяются оксидно-карбонатными, а затем карбонатными. Самостоятельные манганитовые слои в этой части марганцеворудного бассейна отсутствуют.
В южной, Вани-Зестафонской полосе рудопроявлений установлены только карбонатные руды. В наиболее полных разрезах наблюдаются три рудные пачки: нижняя карбонатная, средняя оксидная и верхняя карбонатная. Средняя оксидная пачка часто представлена оксидно-карбонатными рудами. При их отсутствии в разрезе наблюдается единый пласт карбонатных руд.
Таким образом, оксидные руды снизу, сверху и со стороны областей выклинивания окружены карбонатными. Такое взаимоотношение типов руд крайне сложно объяснить их фациальной приуроченностью [Авалиани, 1982; Хамхадзе, Туманишвили, 1984].
МАТЕРИАЛ И МЕТОДЫ
Материал. Пробы для изотопных и химических исследований на Квирильском месторождении были отобраны из керна разведочных скважин (опробованы разные уровни рудного горизонта), пробуренных на участках Родинаули и Чолабури.
Методы. Разложение проб карбонатов и стандартов KH-2, С-О-1 и NBS-19 для масс-спектрометрических измерений углерода и кислорода проводилось в ортофосфорной кислоте (Н3РО4) при 50°C. Определения изотопного состава углерода и кислорода проводились с помощью комплекса аппаратуры корпорации Thermoelectron, включающего масс-спектрометр Delta V Advаntage и установку Gas-Bench-II (ГИН РАН). Значения ä13С приводятся в промилле (‰) относительно стандарта V-PDB, значения ä18О – в промилле относительно стандарта V-SMOW. Воспроизводимость определений ä18О и ä13C находится в пределах ±0.2‰ и ±0.1‰ соответственно.
Образцы для анализа РЗЭ на ICP-MS готовили спеканием с карбонатом натрия. Для этого 0.1 г образца смешивали с 0.3 г безводного карбоната натрия (Merck, Suprapur торговый знак) в агатовой ступке и переносили в корундовый тигель. Спекание проводили при 800°C в течение часа в муфельной печи. Полученные таблетки обрабатывали 5 мл смеси HNO3 : HCl : HF 10 : 2 : 1 и после растворения объем раствора был доведен до 50 мл добавлением деионизированной воды (EasyPure®). Для измерения раствор разбавляли 3%-ной азотной кислотой. Метод спекания протестирован и сопоставлен с многокислотным микроволновым разложением нескольких стандартных образцов, включая донные отложения и марганцевые конкреции [Бычкова и др., 2020]. Оба метода показали хорошую сходимость результатов, но спекание предпочтительнее для пород с магнетитом, гематитом и минералами марганца.
Микроскопическое изучение образцов проводилось в шлифах в проходящем свете (микроскоп Axiolab, Zeiss, ГИН РАН).
РЕЗУЛЬТАТЫ
Все полученные в настоящей работе данные по изотопному (углерод, кислород) и химическому (главные, РЗЭ) составам разных типов руд изученного месторождения приведены в табл. 1 и 2 и показаны на сводных графиках рис. 4–6. Из них следует, что изученные породы неоднородны по этим параметрам.
Таблица 1. Характеристика и изотопный состав углерода (δ13С), кислорода (δ18О) и серы (δ34S)* вещества марганцевых руд участка Родинаули, Квирильское месторождение
№ обр. | Место отбора и характеристика | δ13С, ‰ (VPDB) | δ18О, ‰ (VSMOW) | δ34S, ‰ (VCDT) |
37/83 | Cкв. 519, гл. 587.95 м, оолитовый бурый железняк, розовый цемент | −11.2 | 24.3 | − |
38/83 | Там же, гл. 587.7 м, то же, розовый цемент | −7.7 | 23.0 | − |
39/83 | Там же, гл. 587.35 м, а) карбонатный оолит, б) цемент | −7.8 –8.9 | 24.6 20.6 | − |
40/83 | Там же, гл. 587.05 м, то же, цемент оолитов | −12.5 | 24.1 | − |
41/83 | Там же, гл. 586.75 м, карбонатная руда с сульфидами | −13.1 | 24.9 | − |
43/83 | Скв. 508, гл. 571.15 м, бурый железняк с карбонатным цементом, светло-серый цемент | −7.7 | 23.5 | − |
45/83 | Там же, гл. 570.70 м, бурая оолитовая руда, карбонат цемента | −9.1 | 23.1 | |
46/83 | Там же, гл. 570.45 м, карбонатная марганцевая руда с сульфидами, карбонат | −19.6 | 24.0 | |
Сульфид | 38.3 | |||
47/83 | Там же, гл. 570.35 м, карбонатная марганцевая руда | −18.6 | 24.9 | − |
48/83 | Скв. 549, гл. 484.05 м, карбонатно-оксидная руда, красновато-бурый карбонат цемента | −5.5 | 22.5 | − |
49/83 | Там же, гл. 583.90 м, оолиты оксидов марганца в красно-буром цементе, карбонат цемента | −8.5 | 21.8 | − |
50/83 | Там же, гл. 583.65 м, то же, карбонат цемента | −10.0 | 24.0 | − |
51/83 | Там же, гл. 583.45 м, оксидно-марганцевая руда в розовом цементе, карбонат цемента | −8.8 | 23.4 | − |
52/83 | Там же, гл. 583.10 м, то же, с сульфидами и глауконитом, карбонат цемента | −14.9 | 28.4 | |
Сульфид | −20.3 | |||
55/83 | Скв. 1022, гл. 425.40 м, оолитовая оксидная Fe-Mn руда с сульфидами, бурый карбонат цемента | −8.2 | 23.8 | − |
56/83 | Там же, гл. 425.20 м, оолитовая карбонатная марганцевая руда, оолиты | −8.5 | 25.8 | |
Сульфид | 17.8 | |||
57/83 | Там же, гл. 425.05 м, то же, карбонат цемента Карбонатные оолиты | −6.6 –6.3 | 21.1 29.1 | − − |
Таблица 2. Химический состав главных (мас. %) и редкоземельных элементов (мкг/г) в рудах и породах Квирильского месторождения, участок Родинаули
Компонент | Оксидные руды* | Карбонатные руды** | Фос.*** | |||||||||||||||
37/83 | 38/83 | 39/83 | 40/83 | 43/83 | 44/83 | 45/83 | 48/83 | 49/83 | 50/83 | 52/83 | 53/83 | 54/83 | 55/83 | 41/83 | 47/83 | 56/83 | 51/83 | |
SiO2 | 8.50 | 23.64 | 13.14 | 11.71 | 14.07 | 6.33 | 16.85 | 9.82 | 25.45 | 16.28 | 20.12 | 28.25 | 56.10 | 15.42 | 28.84 | 7.42 | 24.12 | 14.82 |
TiO2 | 0.12 | 0.31 | 0.16 | 0.17 | 0.19 | 0.08 | 0.22 | 0.13 | 0.27 | 0.23 | 0.14 | 0.18 | 0.60 | 0.16 | 0.18 | 0.09 | 0.16 | 0.17 |
Al2O3 | 1.81 | 4.40 | 2.37 | 2.50 | 3.00 | 1.17 | 3.75 | 1.85 | 4.06 | 2.87 | 1.84 | 2.98 | 9.58 | 2.13 | 2.71 | 1.31 | 2.50 | 2.92 |
Fe2O3 | 11.21 | 2.74 | 2.55 | 13.98 | 40.43 | 6.27 | 5.25 | 6.11 | 2.87 | 2.10 | 1.41 | 50.22 | 8.25 | 1.58 | 2.14 | 3.13 | 2.21 | 3.09 |
MnO | 37.93 | 38.39 | 42.99 | 31.30 | 15.34 | 42.54 | 34.52 | 38.50 | 42.50 | 49.31 | 35.31 | 2.38 | 6.63 | 51.75 | 25.84 | 43.79 | 26.66 | 20.70 |
MgO | 2.28 | 1.70 | 2.00 | 2.29 | 1.20 | 1.81 | 2.41 | 1.96 | 1.90 | 2.09 | 1.68 | 1.40 | 2.60 | 1.47 | 1.61 | 2.22 | 2.99 | 1.75 |
CaO | 8.19 | 4.76 | 6.76 | 9.53 | 7.90 | 10.02 | 6.38 | 11.75 | 3.28 | 3.50 | 9.56 | 1.72 | 2.54 | 6.39 | 11.58 | 9.46 | 13.10 | 22.01 |
Na2O | 0.33 | 0.93 | 0.55 | 0.41 | 0.50 | 0.23 | 0.63 | 0.33 | 0.91 | 0.60 | 0.34 | 0.55 | 1.81 | 0.49 | 0.60 | 0.25 | 0.51 | 0.63 |
K2O | 0.44 | 1.09 | 0.61 | 0.53 | 0.50 | 0.31 | 0.83 | 0.44 | 0.99 | 0.80 | 0.47 | 0.79 | 1.95 | 0.64 | 0.56 | 0.32 | 0.63 | 0.52 |
P2O5 | 0.14 | 0.63 | 0.34 | 0.18 | 0.58 | 0.14 | 0.22 | 0.21 | 0.33 | 0.57 | 0.39 | 0.08 | 0.26 | 0.57 | 1.95 | 0.38 | 0.14 | 14.81 |
SO3 | 0.12 | <ПО | 0.02 | 0.16 | 0.15 | 0.02 | <ПО | 0.04 | <ПО | 0.03 | 1.39 | 0.12 | 0.07 | <ПО | 0.72 | 2.31 | 1.65 | 0.43 |
П.П.П. | 28.87 | 21.28 | 28.41 | 27.16 | 16.03 | 30.99 | 28.88 | 28.75 | 17.28 | 20.64 | 27.21 | 11.18 | 9.38 | 19.24 | 22.97 | 29.16 | 25.25 | 17.97 |
Ni | 0.025 | 0.046 | 0.026 | 0.029 | 0.023 | 0.014 | 0.032 | 0.026 | 0.063 | 0.084 | 0.136 | 0.092 | 0.042 | 0.065 | 0.264 | 0.173 | 0.018 | 0.026 |
Cu | 0.005 | 0.008 | 0.007 | 0.004 | 0.004 | 0.007 | 0.006 | 0.005 | 0.011 | 0.010 | 0.008 | 0.004 | 0.005 | 0.009 | 0.008 | 0.005 | 0.004 | 0.007 |
Sr | 0.024 | 0.041 | 0.032 | 0.028 | 0.048 | 0.026 | 0.027 | 0.060 | 0.042 | 0.031 | 0.023 | 0.023 | 0.074 | 0.033 | 0.053 | 0.019 | 0.041 | 0.106 |
Ba | 0.023 | 0.062 | 0.051 | 0.019 | 0.049 | 0.071 | 0.019 | 0.048 | 0.072 | 0.041 | 0.014 | 0.045 | 0.116 | 0.082 | 0.047 | 0.026 | 0.046 | 0.058 |
Y | 18 | 33 | 35 | 18 | 43 | 14 | 26 | 16 | 26 | 29 | 25 | 17 | 39 | 31 | 67 | 20 | 13 | 329 |
Th | 0.7 | 1.8 | 0.8 | 0.7 | 1.0 | 0.1 | 1.4 | 0.3 | 1.5 | 1.2 | 0.7 | 0.5 | 3.4 | 0.2 | 1.0 | 0.2 | 0.6 | 0.8 |
U | 0.5 | 1.0 | 0.5 | 0.4 | 0.9 | 0.3 | 0.4 | 0.4 | 1.3 | 1.5 | 2.4 | 0.8 | 1.0 | 0.9 | 20.2 | 0.5 | 0.4 | 6.1 |
La | 17 | 36 | 26 | 15 | 39 | 15 | 24 | 18 | 24 | 32 | 23 | 15 | 141 | 23 | 59 | 20 | 13 | 245 |
Ce | 26 | 50 | 37 | 17 | 66 | 27 | 29 | 35 | 36 | 37 | 41 | 31 | 248 | 24 | 98 | 19 | 21 | 332 |
Pr | 3.5 | 6.7 | 5.0 | 2.8 | 6.4 | 2.6 | 5.2 | 3.7 | 5.3 | 6.0 | 4.2 | 3.0 | 26 | 4.0 | 8.5 | 3.7 | 2.6 | 34 |
Nd | 14 | 27 | 20 | 11 | 25 | 10 | 22 | 14 | 22 | 24 | 17 | 12 | 100 | 17 | 33 | 15 | 10 | 137 |
Sm | 2.9 | 5.7 | 4.3 | 2.4 | 5.3 | 2.1 | 4.6 | 3.0 | 4.7 | 5.3 | 3.5 | 2.6 | 17.9 | 3.3 | 6.6 | 3.3 | 2.2 | 27.3 |
Eu | 0.73 | 1.45 | 1.10 | 0.60 | 1.29 | 0.50 | 1.15 | 0.75 | 1.13 | 1.28 | 0.87 | 0.63 | 3.96 | 0.87 | 1.70 | 0.80 | 0.52 | 7.46 |
Gd | 3.3 | 6.5 | 5.0 | 2.7 | 6.1 | 2.4 | 5.0 | 3.3 | 5.0 | 5.7 | 4.1 | 2.9 | 18.0 | 4.1 | 8.4 | 3.6 | 2.4 | 39.0 |
Tb | 0.5 | 1.0 | 0.8 | 0.4 | 0.9 | 0.4 | 0.8 | 0.5 | 0.8 | 0.9 | 0.6 | 0.5 | 2.2 | 0.6 | 1.3 | 0.6 | 0.4 | 6.6 |
Dy | 3.1 | 5.5 | 4.8 | 2.4 | 5.4 | 2.2 | 4.1 | 2.7 | 4.1 | 4.9 | 3.4 | 2.7 | 9.2 | 3.7 | 7.6 | 3.3 | 2.0 | 39.2 |
Ho | 0.7 | 1.1 | 1.1 | 0.5 | 1.2 | 0.5 | 0.9 | 0.5 | 0.8 | 1.0 | 0.7 | 0.6 | 1.6 | 0.8 | 1.7 | 0.7 | 0.4 | 9.0 |
Er | 1.9 | 3.0 | 3.1 | 1.5 | 3.3 | 1.4 | 2.3 | 1.5 | 2.2 | 2.8 | 2.0 | 1.9 | 4.2 | 2.3 | 5.0 | 1.9 | 1.2 | 25.0 |
Tm | 0.3 | 0.4 | 0.5 | 0.2 | 0.5 | 0.2 | 0.3 | 0.2 | 0.3 | 0.4 | 0.3 | 0.3 | 0.5 | 0.3 | 0.7 | 0.3 | 0.2 | 3.3 |
Yb | 1.8 | 2.4 | 3.2 | 1.4 | 3.0 | 1.5 | 2.0 | 1.4 | 1.9 | 2.6 | 1.9 | 2.3 | 3.2 | 1.9 | 4.4 | 1.7 | 1.1 | 19.9 |
Lu | 0.3 | 0.3 | 0.5 | 0.2 | 0.4 | 0.2 | 0.3 | 0.2 | 0.3 | 0.4 | 0.3 | 0.3 | 0.4 | 0.3 | 0.6 | 0.2 | 0.1 | 2.7 |
ΣREE | 76.03 | 147.05 | 112.40 | 58.10 | 163.79 | 66.00 | 101.65 | 84.75 | 108.53 | 124.28 | 102.87 | 75.73 | 576.16 | 86.17 | 236.50 | 74.10 | 57.12 | 927.26 |
Ce/Ce* | 0.78 | 0.74 | 0.75 | 0.61 | 0.96 | 1.00 | 0.60 | 0.99 | 0.74 | 0.62 | 0.96 | 1.07 | 0.95 | 0.58 | 1.01 | 0.51 | 0.83 | 0.84 |
Eu/Eu* | 1.11 | 1.12 | 1.12 | 1.11 | 1.07 | 1.05 | 1.13 | 1.11 | 1.10 | 1.10 | 1.08 | 1.08 | 1.04 | 1.11 | 1.08 | 1.09 | 1.07 | 1.08 |
Y/Ho | 25.7 | 30.0 | 31.8 | 36.0 | 35.8 | 28 | 28.9 | 32.0 | 32.5 | 29.0 | 35.7 | 28.3 | 24.4 | 38.7 | 39.4 | 28.6 | 32.5 | 36.6 |
Примечание.* – оксидные руды с разным количеством карбонатов в цементе,** – карбонатные руды с разным количеством терригенной составляющей, Фос.*** – фосфатсодержащая марганцевая руда. Аномалии церия (Ce/Ce*) и европия (Eu/Eu*) были рассчитаны по формулам: Ce/Ce* = (Ce/CePAAS) / [(La/LaPAAS) x (Pr/PrPAAS)]0.5; Eu / Eu * = (Eu/Eu PAAS) / [(Sm/SmPAAS) x (Gd/GdPAAS)]0.5 [Josso et al., 2017].
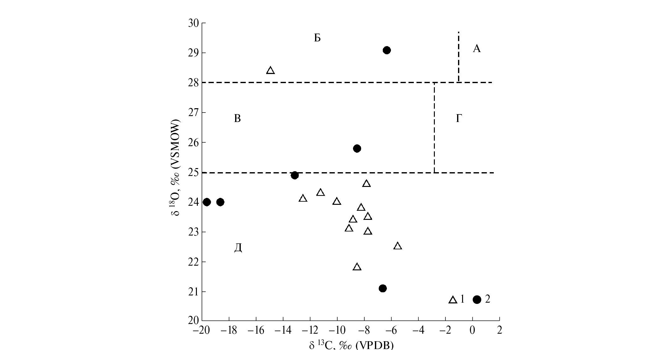
Рис. 4. Изотопный состав углерода (δ13С) и кислорода (δ18О) в породах и рудах Квирильского месторождения.
1 – карбонатное вещество оксидных руд; 2 – карбонатная марганцевая руда.
Области А–Д – по [Кулешов, 2001а, 2001б] с изменениями: А – область современных осадочных морских карбонатов, Б – область современных диагенетических морских карбонатов, В – предполагаемая область диагенетических морских карбонатов олигоценового палеобассейна Закавказья, Г – предполагаемая область осадочных морских карбонатов олигоценового палеобассейна Закавказья, Д – область вторичных (эпигенетических) карбонатов
Рис. 5. Соотношение концентраций P2O5 (мас. %) и суммы содержания редкоземельных элементов.
Условные обозначения см. рис. 4
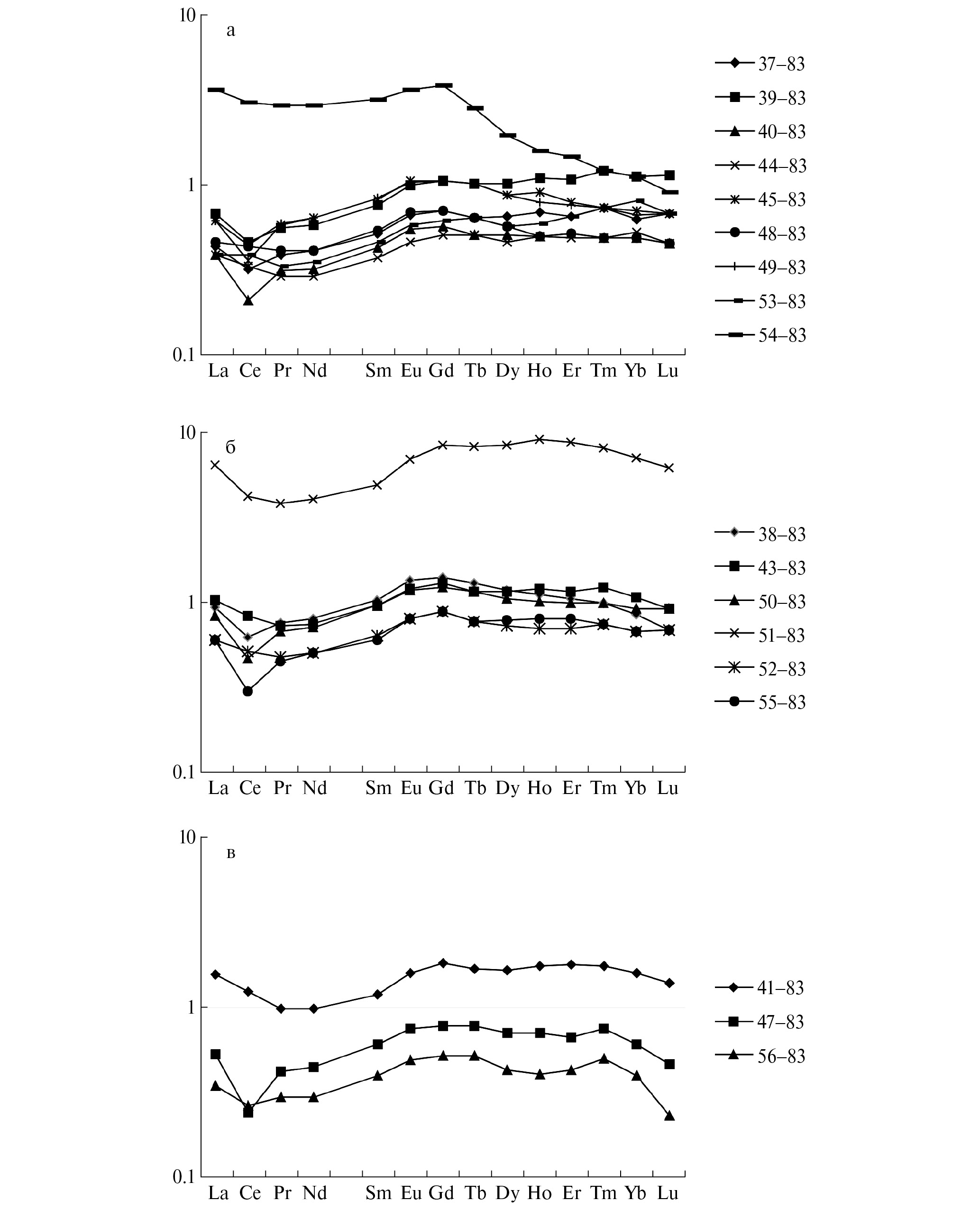
Рис. 6. Распределение концентраций РЗЭ, нормализованных к PAAS [McLennan, 1989], в рудах Квирильского месторождения.
а, б – оксидные (с карбонатным цементом и без): а – с содержанием P2O5 меньше 0.5%, б – с содержанием P2O5 больше 0.5% (включая фосфорит); в – карбонатные
Изотопный состав углерода и кислорода. В изученных карбонатных рудах величины δ13С варьируют от –19.6 до –6.6‰, а δ18О – от 21.1 до 29.1‰, а в карбонатном веществе цемента оксидно-карбонатных руд – от –14.9 до –5.5‰ и от 21.8 до 28.4‰ соответственно. Эти данные хорошо согласуются с предыдущими исследованиями изотопного состава карбонатного вещества руд марганца участка Родинаули этого месторождения [Кулешов, Домбровская, 1997б].
На графике рис. 4, построенном в координатах δ13С–δ18О, можно видеть, что изученное вещество имеет аутигенное происхождение, образовано как в зоне раннего диагенеза олигоценового палеобассейна (области “Б” и “В”), так и позже, на постраннедиагенетической стадии литогенеза (область “Д”; поздний диагенез, катагенез).
Необходимо отметить, что формирование изотопного состава аутигенных карбонатов марганца практически всех известных месторождений мира, что было детально рассмотрено ранее [Кулешов, 2013], происходит в восстановительных условиях в рыхлом осадке или в уже литифицированной осадочной породе при обязательном участии (в том или ином количестве) окисленного углерода органического вещества.
Важным моментом является также и то обстоятельство, что среди изученных в данной работе образцов полностью отсутствуют карбонаты, образованные осадочным путем (в области “А” и “Г” не попадает ни одна из изученных проб).
Редкоземельные элементы. Важной особенностью изученных руд является тот факт, что основным концентратором РЗЭ являются фосфаты. Это проявлено в прямой зависимости содержаний РЗЭ и P2O5 (см. рис. 5). Поэтому для наглядности и удобства интерпретации, породы, в которых определены концентрации РЗЭ, по минеральному и химическому составу разделены на три группы: марганцевые оксидные (с незначительным содержанием карбонатного вещества), в которых условно выделены две подгруппы по содержаниям P2O5 – с содержанием менее 0.5 мас. % (см. рис. 6а) и более 0.5 мас. %, включая фосфорит (обр. 51/83) (см. рис. 6б), и карбонатные руды (см. рис. 6в). Все полученные данные нормированы к международному стандарту PAAS (Post Archean Australian Shale [McLennan, 1989]).
Из приведенного графика рис. 6 следует, что концентрации РЗЭ в целом близки к используемому стандарту (в пробе фосфорита отмечаются более высокие концентрации, почти на порядок – до 927.26 ppm; см. табл. 2).
Одной из характерных особенностей изученных руд является присутствие в преобладающем количестве проб (как в карбонатных, так и в оксидно-карбонатных рудах) отрицательной цериевой аномалии (Ce/Ce*PAAS – до 0.51; см. табл. 2, рис. 7). Однако в образце фосфорита (обр. 51/83) и обогащенной железом руде (обр. 53/83) этой аномалии не отмечается.
Рис. 7. Распределение изотопного состава кислорода (δ18О, ‰) и величин Се-аномалии в породах и рудах Квирильского месторождения.
По оси δ18О выделены интервалы, характерные для: I – современных осадочных и раннедиагенетических карбонатов, II – осадочных и раннедиагенетических карбонатов майкопского (опресненного?) марганценосного палеобассейна, III – постраннедиагенетических (катагенетических) аутигенных карбонатов. Серая вертикальная линия соответствует PAAS
На рис. 7 показано распределение изотопного состава кислорода (δ18О, ‰) и величин Се- аномалии. Здесь по оси δ18О авторами выделены интервалы, характерные: I – для современных осадочных и раннедиагенетических карбонатов, II – для осадочных и раннедиагенетических карбонатов майкопского (опресненного?) марганцеворудного палеобассейна, характеризовавшегося также, что не исключено, и повышенными температурами седиментации, и III – для постраннедиагенетических (катагенетических) аутигенных карбонатов, которые формировались при отсутствии обмена придонных и поровых вод осадка.
Характер распределения фигуративных точек на графике рис. 7 позволяет сделать важный вывод, который заключается в том, что аутигенное карбонатное вещество зоны катагенеза (область III) в большинстве изученных случаев характеризуется отрицательной цериевой аномалией. Это может свидетельствовать о дефиците церия в растворах, в среде которых сформированы изученные (рудные) карбонаты и оксиды.
В то же время в некоторых пробах, как с высокими, так и с низкими величинами δ18О, отсутствуют аномалии по церию (Ce/Ce*PAAS близки к 1). Это может быть следствием восстановления окисленных форм Ce4+ осадка до подвижной (Ce3+), что и зафиксировано в аутигенных карбонатах марганца.
Примером раннедиагенетических карбонатов марганца с отсутствием аномалий по церию могут служить карбонатные руды Никопольского месторождения Украины [Sasmaz et al., 2020], которые по нашим данным, также были образованы в условиях раннего диагенеза [Кулешов, Домбровская, 1988].
Следует также отметить, что установленные нами отрицательные цериевые аномалии в квирильских рудах не показывают каких-либо отчетливых зависимостей от содержания как железа, так и марганца. Это может свидетельствовать о незначительной роли оксидов (и гидроксидов) Fe и Mn в процессах концентрации церия (в общем случае – и РЗЭ).
В изученных образцах также отсутствуют выраженные отрицательные и положительные аномалии по европию (хотя, как будет показано ниже, в некоторых пробах отмечается незначительное обогащение европием, обусловившего крайне слабую аномалию этого элемента – до 1.12; см. табл. 2).
Отношения Y/Ho в изученных рудах невысокие (24.4–38.0) и не зависят от состава породы.
ОБСУЖДЕНИЕ РЕЗУЛЬТАТОВ
Обсуждение генезиса руд Квирильского месторождения в литературе обычно проводится в совокупности и сравнительно с ранее эксплуатируемым (вплоть до начала нынешнего столетия) и хорошо изученным Чиатурским месторождением [Долидзе, 1980; Хамхадзе, Туманишвили, 1984], и в целом для месторождений марганца Дзирульского рудного района [Авалиани, 1982; Гогишвили и др., 1982].
Анализ существующих концепций относительно происхождения этих марганцевых мес- торождений и источников их вещества (собственно осадочная и осадочно-диагенетическая [Страхов и др., 1968; Мачабели, Хамхадзе, 1979; Долидзе и др., 1980; Авалиани, 1982; Бурджанадзе и др., 1982 и др.], и альтернативная – вулканогенно(гидротермально)-осадочная [Дзоценидзе, 1965; Табагари, 1980; Мстиславский, 1981, 1984; Гогишвили и др., 1982; Хамхадзе, Туманишвили, 1984 и др.]) дает обнадеживающие перспективы найти изотопные и геохимические подтверждения той или иной из этих гипотез.
Изотопный состав углерода и кислорода. Для изученных проб карбонатов марганца Квирильского месторождения можно было бы ожидать достаточно широкий спектр вариаций изотопного состава углерода и кислорода, которые были бы свойственны карбонатам, образованным в разных условиях и имеющих разный источник углекислотно-водного вещества.
Так, для карбонатных марганцевых руд исходно-осадочного генезиса мы должны были бы получить, как уже отмечалось выше, высокие значения δ13С и δ18О (–1…2‰ и 28…31‰ соответственно), т. е. изотопно-равновесные с бикарбонатом морской воды [Keith, Weber, 1964; Галимов, 1968]. Однако, таких карбонатов, изотопные данные которых соответствуют областям “А” и “Г” на рис. 4, мы не отмечаем.
В то же время наличие низких δ13С (–20… –6‰) и высоких δ18О (28…29‰) могут свидетельствовать о раннедиагенетической природе некоторой части изученных карбонатов Mn [Кулешов, 1986, 2013; Okita et al., 1988; Кулешов, Домбровская, 1993].
При интерпретации полученных изотопных данных по кислороду следует обратить внимание на одно важное обстоятельство. Оно заключается в том, что в целом наблюдается более легкий изотопный состав кислорода (δ18О = 24…26‰) для руд предполагаемого нами диагенетического происхождения (область “В”, см. рис. 4) по сравнению с аналогичными карбонатами современных морских водоемов (область “Б”, см. рис. 4). Это могло быть обусловлено, можно полагать, более легким изотопным составом воды (опреснение) и повышенными температурами седиментации в марганцеворудном бассейне майкопского времени. (Например, в прослоях песчаников рудной толщи Чиатурского месторождения присутствуют обугленные остатки растительности [Kuleshov et al., 2023], что может свидетельствовать о мелководности и существенном влиянии метеорных осадков (опреснении) на состав морской воды бассейна седиментации).
Карбонаты, характеризующиеся наиболее легким изотопным составом кислорода, т. е. наиболее низкими значениями δ18О (21–24‰), были образованы, можно полагать, на последующих стадиях литогенеза [Кулешов, 2001б].
Таким образом, полученные данные по изотопному составу углерода и кислорода свидетельствует о том, что карбонатное вещество изученных руд Квирильского месторождения имеет аутигенное происхождение и было образовано в разных условиях и на разных этапах литогенеза – как в зоне раннего диагенеза, когда еще происходил обмен вод илового садка с придонными водами, так и позже – в позднем диагенезе (или катагенезе) [Кулешов, 2001а, 2001б].
Полученный вывод хорошо согласуется с имеющимися данными по изотопному составу серы [Кулешов, Домбровская, 1997б]: значения δ34S варьируют в очень широком интервале – от –20.3 до 38.3‰, VCDT (см. табл. 1). Наиболее низкие значения свойственны сульфидам, заключенным в оксидной марганцевой руде с карбонатным цементом (δ34S = –20.3‰; обр. 52/83, см. табл. 1). Такой изотопный состав серы соответствуют сульфатам (и сульфидам) зоны раннего диагенеза [Виноградов, 1980]. Карбонат цемента этого же образца характеризуется высокими значениями δ18О (28.4‰, VSMOW), что также характерно для аутигенных карбонатов зоны раннего диагенеза [Кулешов, 2001а].
В то же время, высокие значения δ34S (вплоть до 38.3‰, обр. 46/83, см. табл. 1) свойственны сульфатам и сульфидам зоны катагенеза, где в условиях прекращения обмена растворенным сульфатом придонных вод и поровых вод осадка (закрытая изотопно-обменная система по сульфату) процессы сульфат-редукции приводят к утяжелению изотопного состава серы как остаточного сульфата, так и, как следствие, аутигенного пирита [Виноградов, 1980].
Редкоземельные элементы. Дополнительную информацию о происхождении и источнике рудного и нерудного вещества заключают в себе данные по составу РЗЭ, и в первую очередь, по европию и церию. Эти элементы относятся к редокс-чувствительным и способны отражать окислительно-восстановительные условия среды, которые устанавливаются по характерным изменениям относительной доли этих элементов [Piper, 1974; Liu et al., 1988; German, Elderfield, 1990а, 1990б; Koeppenkastrop, De Carlo, 1992; MacLeod, Irving, 1996; Frimmel, 2009].
Установлено, что гидротермальные растворы, разгружающиеся в акватории Мирового океана, например, в районах срединно-океанических хребтов, обогащены легкими РЗЭ и Eu. Концентрации РЗЭ в таких растворах на 1–2 порядка (иногда больше) более высокие, чем в водах современных океанов [German et al., 1990б; Mills, Elderfield, 1995; James et al., 1995; Bau, Dulski, 1999; Douville et al., 1999, 2002; Дубинин, 2006 и др.].
Европий в гидротермальных растворах при высоких температурах (300–400оС) и низких рН (~3) находится в подвижном двухвалентном состоянии (Eu2+). В результате разгрузки этих растворов на дне морей и океанов и их смешения с окисленными морскими водами, европий окисляется (до Eu3+) и удаляется из раствора, обогащая взвешенное вещество (путем сорбции преимущественно на частицах оксигидроксидов железа и марганца) и формируя в них положительную европиевую аномалию [Klinkhammer et al., 1994; German et al., 2002]. При попадании таких частиц в рудный осадок, последний может также приобретать высокие (выше 1) значения Eu/Eu*PAAS.
Положительную европиевую аномалию мы могли бы ожидать и в изученных рудах, поскольку геологические данные свидетельствуют о тесной пространственной и генетической связи железо-марганцевого оруденения с аутигенной кремнисто-цеолитовой минерализацией, которая приурочена к разрывным нарушениям [Махарадзе, 1972, 1979; Долидзе и др., 1980; Хамхадзе, 1981; Мачабели, 1986]. Последние могли быть путями разгрузки глубинных (гидротермальных, связанных с магматическими очагами или с проработкой магматических пород) растворов. Рудоносные глубинные растворы могли просачиваться (разгружаться) как на дно палеобассейна, так и внутри пластов рудного осадка.
Однако, в изученных рудах сколь-либо значимых положительных (также, как и отрицательных) аномалий европия мы не фиксируем; величина Eu/Eu*PAAS не превышает 1.12 (см. табл. 2), что позволяет судить о незначительном вкладе европия глубинного (связанного с магматическими породами) генезиса в процессе образования руд марганца.
В современных кислородсодержащих водах Мирового океана растворенный Ce3+ окисляется до Ce4+ и практически необратимо удаляется из растворов, что приводит к возникновению в морской воде отрицательной цериевой аномалии. Как следствие, например, скелетное вещество планктона (карбонаты, силикаты) [Дубинин, 2006] и арагонит кораллов морских водоемов [Sholkovitz, Shen, 1995; Northdurft et al., 2000; Webb, Kamber, 2000; Bi et al., 2019] также характеризуются дефицитом церия.
В тоже время, практически нерастворимые соединения четырехвалентного церия (CeO2) накапливаются (сорбируются) на взвешенном веществе, где формируют положительную цериевую аномалию [Masuzawa, Koyama, 1989; Sholkovitz et al., 1994]. При попадании окисленных соединений церия в осадок, а также за счет сорбции, например, на оксигидроксидах железа и марганца, во многих случаях в железомарганцевых конкрециях и гидрогенных корках осадков отмечается положительная цериевая аномалия [Bau et al., 1996; Дубинин, 2006].
Таким образом, можно полагать, что наличие или отсутствие цериевой аномалии в изученных пробах может дать дополнительную информацию об условиях образования руд марганца Квирильского месторождения.
Как уже отмечалось, положительной цериевой аномалии в изученных рудах нами не установлено. В преобладающем большинстве проб присутствует только отрицательная (вплоть до 0.51) аномалия Ce/Ce*PAAS; в некоторых образцах аномалии этого элемента отсутствуют.
Следовательно, наличие отрицательной цериевой аномалии свидетельствует о формировании изученных карбонатных и оксидно-карбонатных руд в среде растворов, обедненных церием. Можно полагать, что ими могли быть, в первую очередь, окисленные воды майкопского палеобассейна (захороненные морские воды). При этом руды, в которых не фиксируются отрицательные аномалии этого элемента (Ce/Ce*PAAS близки к 1), были образованы или претерпели преобразования в восстановительных условиях на последующих стадиях литогенеза, когда происходило восстановление как железа и марганца, так и церия, без выноса его из системы.
Наличие отрицательной цериевой аномалии в оксидах марганца (также, как и железа) Квирильского месторождения понятно и не вызывает затруднений при интерпретации. По нашему мнению, они наследуют состав придонных вод и поровых верхних частей илового осадка. Имеющиеся данные о современных осадках и конкрециях, например, Балтийского и Белого морей, которые могут служить модельными примерами образования карбонатных и железомарганцевых оксидных стяжений для олигоценового бассейна Грузии, во многих случаях также подтверждают это предположение. Например, в работе [Батурин, 2009, с. 461] для двух станций (№№ 738 и 760) в Финском заливе Балтийского моря отрицательные цериевые аномалии установлены как в железомарганцевых конкрециях, так и во вмещающих их осадках. При этом автором цитируемой работы отмечено усиление отрицательной аномалии в конкрециях относительно осадка, что объясняется перераспределением “…подвижных форм РЗЭ, перешедших из осадка в конкреции…”. Отмечаются также пробы (ст. № 741), где отсутствуют выраженные аномалии по церию.
В Кандалакшском заливе Белого моря [Стрекопытов и др., 2005], также, как и в Баренцевом [Стрекопытов, Дубинин, 2001] и Карском [Vereshchagin et al., 2019] морях, железомарганцевые корки и стяжения во многих случаях также обнаруживают отрицательную цериевую аномалию.
Таким образом, наличие разных по величине цериевых аномалий в железомарганцевых конкрециях на приведенных примерах (Балтийское и др. моря) свидетельствует о различных путях (условиях) образования этих конкреций в насыщенных кислородом придонных водах.
При интерпретации выявленных аномалий церия в рудах Квирильского месторождения следует учитывать физико-химические условия образования оксидов (железа и марганца) и аутигенных карбонатов (марганца), и, в первую очередь, такие параметры, как pH и Eh, влияющие на устойчивость оксидных и карбонатных минералов [Glasby, Schulz, 1999; Atlas …, 2005; Maynard, 2014]. Например, в верхних (придонных) частях осадков Балтики (0–20 см от поверхности осадков) эти параметры могут существенно меняться. По данным [Carman, Rahm, 1997], в иловой воде на 6 станциях отбора проб на глубине 0.5–9.5 см ниже поверхности морского дна pH варьировало в пределах 6.98–8.26, а Eh (мВ) изменялось от –188 до +412. Отметим, что величины Eh и pH на разных станциях имеют разное распределение в зависимости от глубины отбора пробы (внутри осадка); восстановительные условия (отрицательные Eh) в отложениях отмечаются уже с глубины 7 см от поверхности осадка.
Аналогичные данные приведены в работах [Емельянов и др., 1986; Baturin et al., 1995; Hlawatsch et al., 2002].
Следует также отметить, что во многих случаях характер распределения РЗЭ в осадках и в марганцевых конкрециях Балтийского моря различен. Например, в железомарганцевых оксидных конкрециях, собранных с морского дна в Приморских районах Польши, обнаружены отрицательные цериевые аномалии [Szamałek et al., 2018]. Железомарганцевые конкреции из Слупской депрессии (Балтийское море, экономическая зона Польши) также показывают отрицательные Ce-аномалии. Но для вмещающих их отложений характерны слабо положительные Ce-аномалии [Szefer et al., 1998]. В тоже время, поверхностные отложения (до глубины 1–1.5 см) из польского сектора Вислинского залива [Szefer et al., 1999] и илы (до глубины 3–5 см) из Готландской и Борнхольмской глубоководных котловин Балтийского моря [Батурин, Емельянов, 2012] имеют незначительную отрицательную Ce-аномалию (0.87–0.97).
Заслуживают внимания также данные, полученные для пелагических отложений севера центральной части Тихого океана [De Carlo, 1993], где в осадках и поровых водах с глубины 145– 150 см ниже поверхности морского дна проявляются, как и в квирильских рудах, отрицательные Ce-аномалии и обогащение средними РЗЭ по сравнению с легкими и тяжелыми РЗЭ. Аналогичное распределение РЗЭ на таких глубинах в зонах метаногенеза и сульфат-редукции с генерацией аутигенных карбонатов мы можем видеть на идеализированных схемах, где показаны отрицательные Ce-аномалии и постепенное обогащение средними и тяжелыми РЗЭ [Canfield, Thamdrup, 2009; Haley, 2004; Kim et al., 2012]. Это обусловлено, по-видимому, как полагают [Smrzka et al., 2019], “строгим контролем диагенетической ремобилизации” твердых фаз, содержащих РЗЭ, таких как фосфаты, оксиды железа и марганца и органическое вещество.
Особенности генезиса руд Квирильского месторождения. Полученные изотопные данные по углероду и кислороду (δ13С, δ18О), а также имеющиеся данные по изотопному составу серы (δ34S), и характер распределения РЗЭ позволяют заключить, что изученные оксидные и карбонатные руды были образованы как в деплетированных по церию окисленных придонных и иловых (верхние части осадков) водах майкопского бассейна, так и в более глубоких горизонтах осадков, также с низкими содержаниями церия, где господствуют восстановительные условия.
Важным вопросом при изучении Квирильского месторождения является выяснение источника марганца. Как уже отмечалось выше, что, по аналогии с Чиатурским месторождением, высказывались разные точки зрения поступления марганца в бассейн седиментации (и в осадки); а именно – как с материковым сносом, так и с подводной разгрузкой марганецсодержащих гидротерм [Страхов и др., 1968; Мачабели, Хамхадзе, 1979; Долидзе, 1980; Авалиани, 1982; Гогишвили и др., 1982; Хамхадзе, Туманишвили, 1984 и др.]. Закономерности распределения РЗЭ вносят существенную информацию в решение этого вопроса.
Так, отсутствие ярко выраженной положительной аномалии (1.5–2 и выше) в содержаниях европия в изученных рудах и породах может свидетельствовать о том, что гидротермальный источник марганца, связанный с магматическими породами, при формировании рудных толщ не имел существенного влияния.
Важно также отметить, что не отмечается положительной корреляции содержания MnO и суммы Al2O3 + TiO2 (рис. 8а). Скорее наоборот – пробы с максимальными концентрациями марганца характеризуются наименьшими содержаниями суммы оксидов алюминия и титана. Это может свидетельствовать о незначительном вкладе материкового сноса в общий баланс марганца в майкопских отложениях рассматриваемого месторождения.
Рис. 8. Соотношения распределений MnO (мас. %) и Al2O3 + TiO2 (мас. %) (а), Eu-аномалии и содержания Al2O3 + TiO2 (мас. %) (б) и MnO (мас. %) и Eu-аномалии (в) в породах и рудах Квирильского месторождения.
Условные обозначения см. рис. 4
В тоже время отмечается очень слабая корреляционная зависимость Eu-аномалии и содержания Al2O3 + TiO2 в изученных пробах (R = 0.19, см. рис. 8б). Это может указывать все же на поступление незначительного количества европия с окружающей суши.
Более высокая корреляционная зависимость (R = 0.31) отмечается в распределении MnO и Eu-аномалии (см. рис. 8в). Такая зависимость могла быть обусловлена тем, что марганценосные растворы, участвующие в формировании аутигенных руд марганца, могли быть обогащены европием при взаимодействии с туфогенным материалом [Долидзе и др., 1980] вмещающего разреза. Это не противоречит имеющимся фактам, поскольку, как уже отмечалось выше, в породах нижнего олигоцена, а также в подстилающих их мергелях верхнего эоцена Квирильской впадины описаны продукты вулканизма, представленные вулканическим стеклом, обломками плагиоклаза, пеплом, туфами и туффитами [Махарадзе, Чхеидзе, 1971; Долидзе и др., 1980].
Следовательно, можно полагать, что источник(и) марганца не был(и) связан(ы) ни с материковым сносом, ни с гидротермами, обогащенными марганцем в результате их взаимодействия с магматическими породами. Основной привнос марганца в придонные воды и в осадок, как это нами предполагалось ранее для Чиатурского месторождения [Кулешов, Домбровская, 1997а, 1997б] осуществлялся элизионными водами, которые разгружались как на дне палеобассейна, так и в самих осадках. Это не противоречит имеющимся геологическим данным.
Таким образом, образование и преобразование руд марганца на Квирильском месторождении происходило на всех этапах литогенеза. Можно полагать, как показано З. М. Штанчаевой [1984], в марганцеворудном палеобассейне майкопского времени марганец отлагался первоначально в форме гидроксидов в условиях окислительной обстановки, существовавшей на дне моря. На стадии раннего диагенеза происходило перераспределение вещества; гидроксиды марганца растворялись и отлагались в виде манганита, образуя оолитовые и пизолитовые стяжения (зародышами служили терригенные зерна или спикулы губок). На последующих этапах литогенеза происходило замещение карбонатами марганца всех элементов оксидных руд и вмещающих их пород (оолито-пизолитовых форм, рудного цемента, опалового цемента, опаловых стяжений и др.). При замещении карбонатами марганца манганитовых оолитов, как предполагалось З. М. Штанчаевой [1984], последние “съедаются” и при полном замещении исчезают текстурные особенности манганитовой руды (см. рис. 3в–3з).
Важным моментом при обсуждении источника рудного вещества и условий образования руд является отсутствие аномалий по европию. Учитывая тот факт, что марганцевое оруденение внутри терригенных отложений майкопской серии четко приурочено к участкам развития аутигенной кремнисто-цеолитовой минерализации, которая наиболее интенсивно проявлена вдоль линий разрывных нарушений, т. е. к зонам наиболее интенсивного гидротермального преобразования вмещающих пород. Если преобразующие гидротермальные флюиды генетически были связаны с магматическими очагами, то мы должны были ожидать наличие положительных Eu-аномалий. Однако этого не наблюдается.
Причина отсутствия положительных аномалий европия в составе преобразующих флюидов может быть связана с их происхождением. Этими флюидами, как нами ранее предполагалось [Кулешов, Домбровская, 1997б], могли быть элизионные, т. е. катагенные воды, которые не связаны в своем происхождении с магматическими (глубинными) породами. Генерация этих вод происходила, по-видимому, в зонах нефтегазообразования в терригенных породах осадочной толщи окружающих нефтегазоносных районов. Например, юго-западнее Квирильской депрессии расположена Рионская впадина с Колхидским и Гурийским нефте-газоносными районами (НГР) [Лалиев, 1964], а соединяющий эти впадины узкий “пролив” между Окрибской и Аджаро-Триалетской сушами в олигоцене, по-видимому, создавал благоприятные гидродинамические условия для поступления элизионных вод из очагов нефтегазообразования в зону разгрузки, которой служили значительно выше (гипсометрически) расположенные отложения майкопской серии Квирильского бассейна.
Состав редкоземельных элементов (РЗЭ) в элизионных водах Рионской впадины, также, как и в других элизионных бассейнах, до сих пор остается не изученным. По всей видимости, содержание РЗЭ в таких водах будет определяться геологическим строением и составом того или иного бассейна. Этот вопрос требует дальнейшего изучения.
ЗАКЛЮЧЕНИЕ
Изучение изотопного состава углерода и кислорода (δ13С, δ18О) и РЗЭ, а также имеющиеся данные по изотопному составу серы (δ34S) в породах и рудах Квирильского месторождения (Грузия), позволило выявить ряд особенностей, которые заключают в себе дополнительную информацию об условиях образования руд.
Низкие значения величин δ13С и δ18О в карбонатном веществе марганцевых руд позволяют считать, что изученные руды имеют аутигенное происхождение. Они были образованы как в зоне раннего диагенеза осадков олигоценового палеобассейна, так и позже, в позднем диагенезе (катагенезе).
Отсутствуют положительные аномалии по европию (величина Eu/Eu*PAAS не превышает 1.12). Это может свидетельствовать о незначительном вкладе европия глубинного (связанного с магматическими породами) генезиса в процессе образования руд марганца.
В преобладающем количестве проб (как в карбонатных, так и в оксидно-карбонатных рудах) установлена отрицательная цериевая аномалия (Ce/Ce*PAAS – до 0.51). Это свидетельствует о дефиците церия в как в придонных и иловых водах зоны раннего диагенеза, так и в растворах осадков, утративших связь с придонными водами (поздний диагенез, катагенез), в среде которых были сформированы изученные рудные оксиды и карбонаты.
Источником марганца служили, по-видимому, деплетированные по церию элизионные воды, которые могли разгружаться как на дно палеобассейна, так и в терригенных осадках майкопской толщи.
ИСТОЧНИК ФИНАНСИРОВАНИЯ
Работа выполнена в соответствии с планом НИР Геологического института РАН.
Sobre autores
V. Kuleshov
Geological Institute of the RAS
Autor responsável pela correspondência
Email: vnkuleshov@mail.ru
Rússia, Moscow
A. Bychkov
Lomonosov Moscow State University
Email: andrewbychkov@rambler.ru
Rússia, Moscow
I. Nikolaeva
Lomonosov Moscow State University
Email: vnkuleshov@mail.ru
Rússia, Moscow
M. Tarnopolskaya
Lomonosov Moscow State University
Email: vnkuleshov@mail.ru
Rússia, Moscow
Bibliografia
- Авалиани Г. А. Марганцевые месторождения Грузии (геология, минералогия, генезис). М.: Наука, 1982. 170 с.
- Батурин Г. Н. Геохимия железомарганцевых конкреций Финского залива, Балтийское море // Литология и полез. ископаемые. 2009. № 5. С. 451–467.
- Батурин Г. Н., Емельянов Е. М. Микроэлементы в углеродистых осадках Балтийского моря // Океанология. 2012. Т. 52. № 4. С. 539–546.
- Бурджанадзе Д. С., Леквинадзе Р. Д., Эдилашвили Э. Я. Марганценосность олигоцен-нижнемиоценовых отложений центральной части Грузинской Глыбы // Геология и геохимия марганца. М.: Наука, 1982. С. 147–150.
- Бычкова Я. В., Стародымова Д. П., Шайхутдинова К. В. и др. Особенности химической подготовки проб донных отложений для мультиэлементного анализа методом ИСП-МС // Вестник МГУ. 2020. Сер. 4 (Геология). № 3. С. 45–54.
- Виноградов В. И. Роль осадочного цикла в геохимии изотопов серы. М.: Наука, 1980. 192 с.
- Галимов Э. М. Геохимия стабильных изотопов углерода. М.: Недра, 1968. 226 с.
- Гогишвили В. Г., Хамхадзе Н. И., Гуниава В. Д. Генетические типы кремнисто-марганцевой минерализации Закавказья // Геология и геохимия марганца. М.: Наука, 1982. С. 140–147.
- Дзоценидзе Г. С. Геологические условия формирования марганцевых месторождений Чиатуры и Квирильской депрессии // Новые данные по марганцевым месторождениям СССР. М.: Наука, 1980. С. 62–69.
- Дзоценидзе Г. С. О генезисе Чиатурского месторождения марганца // Литология и полез. ископаемые. 1965. № 1. С. 3–17.
- Долидзе Д. П., Мачабели Г. А., Табагари В. И. и др. Литогенез олигоценовых марганценосных отложений Квирильской депрессии и направление дальнейших поисково-разведочных работ // Новые данные по марганцевым месторождениям СССР. 1980. С. 75–86.
- Дубинин А. В. Геохимия редкоземельных элементов в океане. М.: Наука, 2006. 360 с.
- Емельянов Е. М., Волков И. И., Розанов А. Г. и др. Процессы восстановительного диагенеза в осадках впадин // Геохимия осадочного процесса в Балтийском море. М.: Наука, 1986. С. 131–155.
- Кулешов В. Н. Марганцевые породы и руды: геохимия изотопов, генезис, эволюция рудогенеза. М.: Научный мир, 2013. 540 с.
- Кулешов В. Н. Изотопный состав и происхождение глубинных карбонатов. М.: Наука, 1986. 126 с.
- Кулешов В. Н. Эволюция изотопных углекислотно-водных систем в литогенезе. Сообщение 1. Седиментогенез и диагенез // Литология и полез. ископаемые. 2001а. № 5. С. 491–508.
- Кулешов В. Н. Эволюция изотопных углекислотно-водных систем в литогенезе. Сообщение 2. Катагенез // Литология и полез. ископаемые. 2001б. № 6. С. 610–630.
- Кулешов В. Н., Домбровская Ж. В. Изотопный состав и условия образования Никопольских карбонатных марганцевых руд // Изотопная геохимия процесса рудообразования. М.: Наука, 1988. С. 233–258.
- Кулешов В. Н., Домбровская Ж. В. К вопросу о генезисе карбонатных марганцевых руд Мангышлакского месторождения (по данным изотопного состава углерода и кислорода) // Литология и полез. ископаемые. 1993. № 2. С. 34–43.
- Кулешов В. Н., Домбровская Ж. В. Марганцевые месторождения Грузии. Сообщение 1. Геологические особенности и изотопный состав карбонатных марганцевых руд Чиатурского и Квирильского месторождений // Литология и полез. ископаемые. 1997а. № 3. С. 286–306.
- Кулешов В. Н., Домбровская Ж. В. Марганцевые месторождения Грузии. Сообщение 2. Происхождение марганцевых руд (на примере Чиатурского и Квирильского месторождений) // Литология и полез. ископаемые. 1997б. № 4. С. 339–355.
- Лалиев А. Г. Майкопская серия Грузии. М.: Недра, 1964. 308 с.
- Махарадзе А. И. Об источниках и путях привноса Mn, Si, Fe и Р в нижнеолигоценовых отложениях Западной Грузии // Докл. АН СССР.1972. Т. 202. № 4. С. 929–931.
- Махарадзе А. И. Кремнисто-цеолитовые породы майкопской серии Грузии и условия их формирования // Материалы по полезным ископаемым Кавказа. Тбилиси: Изд-во Ганатлеба, 1979. С. 207–218.
- Махарадзе А. И., Чхеидзе Р. Г. Литология олигоценовых отложений Квирильской депрессии и о генезисе связанных с ними полезных ископаемых // Труды КИМС. 1971. Т. 9. № 2. С. 177–188.
- Мачабели Г. А. Специфика седименто- и диагенеза олигоценовых марганценосных отложений Грузии // Условия образования рудных месторождений. М.: Наука, 1986. Т. 2. С. 839–849.
- Мачабели Г. А., Хамхадзе Н. И. О литологических особенностях олигоценовых марганценосных отложений Кавказа и источнике марганца // Вопросы геологии и технологии полезных ископаемых Кавказа. Тбилиси: Сабчота Сакартвело, 1979. С. 33–39.
- Мерабишвили М. С., Чхеидзе Р. Г., Доленджишвили Ц. Г. и др. Высококремнистые цеолиты Закавказья и возможные пути их миграции // Вопросы геологии и технологии полезных ископаемых Кавказа. Тбилиси: Сабчота Сакартвело, 1979. С. 221–230.
- Мстиславский М. М. Палеотектонические особенности локализации олигоценовых марганцеворудных месторождений юга СССР // Докл. АН СССР. 1981. Т. 260. № 5. С. 1207–1212.
- Мстиславский М. М. О рудоподводящем канале Чиатурского месторождения марганца // Геология рудных месторождений. 1984. Т. 26. С. 68–76.
- Страхов Н. М., Штеренберг Л. Е., Калиненко В. В. и др. Геохимия осадочного марганцеворудного процесса. М.: Наука, 1968. 495 с. (Тр. ГИН АН СССР. Т. 185)
- Стрекопытов С. В., Успенская Т. Ю., Виноградова Е. Л., Дубинин А. В. Геохимия раннего диагенеза осадков Кандалашского залива Белого моря // Геохимия. 2005. № 2. С. 144–157.
- Стрекопытов С. В., Дубинин А. В. К геохимии железистых стяжений Баренцева моря // Океанология. 2001. Т. 41. № 3. С. 386–393.
- Табагари Д. В. Распределение и вещественный состав генетических типов марганцевых руд на Чиатурском месторождении // Новые данные по марганцевым месторождениям СССР. М.: Наука, 1980. С. 86–94.
- Туманишвили Г. П. Литология и условия формирования олигоценовых марганценосных отложений Квирильской депрессии (Западная Грузия) / Автореф. … канд. геол.-мин. наук. Ростов-на-Дону,1989. 25 с.
- Хамхадзе Н. И. О связи кремне- и рудообразования в марганцевых месторождениях Грузии // Вулканизм и литогенез. Тбилиси: Мецниереба, 1981. С. 141–146.
- Хамхадзе Н. И., Туманишвили Г. П. Палеотектонические особенности локализации марганцевых руд Квирильской депрессии // Марганцевые месторождения в осадочных и вулканогенно-осадочных отложениях (Тезисы докладов III Всесоюзного совещания по марганцевым рудам СССР, 25–27 мая 1982 г., г. Каражал). М.: Изд-во АН СССР, Министерство геологии СССР, Министерство геологии Казахской ССР, 1982. С. 40–41.
- Хамхадзе Н. И., Туманишвили Г. П. Палеотектонические особенности локализации марганцевых руд Квирильской депрессии // Марганцевое рудообразование на территории СССР. М.: Наука, 1984. С. 227–235.
- Штанчаева З. М. Геохимия некоторых тяжелых металлов в рассолах газонефтяных месторождений Северного Дагестана. Махачкала, 1984. С. 12–25. (Тр. Института геологии Дагестанского филиала АН СССР. Т. 31)
- Эдилашвили В. Я., Леквинадзе Р. Д., Гогиберидзе В. В., Бурджанадзе Д. С. Геологическое строение района олигоценовых марганцевых месторождений Грузии и вопросы их перспективности // Новые данные по марганцевым месторождениям СССР. М.: Наука, 1980. С. 69–74.
- Эдилашвили В. Я., Леквинадзе Р. Д., Гогиберидзе В. В. О влиянии тектоники на марганценакопление в Грузии // Советская геология. 1973а. № 4. С. 106–114.
- Эдилашвили В. Я., Леквинадзе Р. Д., Гогиберидзе В. В., Бурджанадзе Д. С. О геологических условиях марганценакопления в Грузии // Материалы Кавказ. Института минер. сырья. 1973б. Сер. геол. Т. 10. № 12. С. 135–142.
- Atlas of Eh-pH diagrams Intercomparison of thermodynamic databases Geological Survey of Japan Open File Report № 419 // National Institute of Advanced Indust-rial Science and Technology Research Center for Deep Geological Environments Naoto TAKENO. 2005. 285 p.
- Baturin G. N., Emelyanov E. M., Kunzendorf H. Authigenous deposits in the Bornholm basin // Authigenous deposits in sediments // Aarhus Geoscience. 1995. № 5. P. 189–194.
- Bau M., Koschinsky A., Dulsky P., Heinz J. R. Comparison of the partitioning behaviours of yttrium, rare earth elements, and titanium between hydrogenetic marine ferromanganese crusts and seawater // Geochim. Cosmochim. Acta. 1996. V. 60. № 10. P. 1709–1725.
- Bau M., Dulski P. Comparing yttrium and rare earth in hyd- rothermal fluids from the Mid-Atlantic Ridge: Implication for Y and REE behaveur during near-vent mixing and for the Y/Ho ratio of Proterozoic seawater // Chem. Geol. 1999. № 155. P. 77–90.
- Bi D., Zhai S., Zhang D. et al. Geochemical Characteristics South China Sea: Geochemical Characteristics of the Trace and Rare Earth Elements in Reef Carbonates from the Xisha Islands (South China Sea): Implications for Sediment Provenance and Paleoenvironment // J. Ocean Univ. China. 2019. V. 18. № 6. P. 1291–1301.
- Canfield D., Thamdrup B. Towards a consistent classification scheme for geochemical environments, or, why we wish the term ‘suboxic’ would go away // Geobiology. 2009. № 7. P. 385–392.
- Carman R., Rahm L. Early diagenesis sediments in and chemical characteristics of interstitial water and the deep deposition bottoms of the Baltic proper // J. Sea Res. 1997. № 37. P. 25–47.
- De Carlo E. H. Geochemistry of pore water and sedi- ments recovered from Leg 136, Hawaiian Arch / Eds R. H. Wilkens, J. Firth, J. Bender et al. // Proceedings of the Ocean Drilling Program, Scientific Results. 1993. V. 136. P. 77–83.
- Douville E., Bienvenu P., Charlou J. L. et al. Yttrium and rare earth elements in fluids from various deep-sea hydrothermal systems // Geochim. Cosmochim. Acta. 1999. V. 63. № 4. P. 627–643.
- Douville E., Charlou J. L., Oelkers E. H. et al. The Rainbow vent fluids (36°14’N MAR): the influence of ultramafic rocks and phase separation on trace metal content in Mid-Atlantic Ridge hydrothermal fluids // Chem. Geol. 2002.V. 184. № 1–2. P. 37–48.
- Frimmel H. E. Trace element distribution in Neoproterozoic carbonates as palaeoenvironmental indicator // Chem. Geol. 2009. № 258. P. 338–353.
- German Ch.R., Elderfield H. Application of the Ce anomaly as a paleoredox indicator: The ground rules // Paleoceanography. 1990a. V. 5. № 5. P. 823–833.
- German C. R., Klinkhammer G. P., Edmond J. M. et al. Hydrothermal scavenging of rare-earth elements in the ocean // Nature. 1990b. V. 345. № 6275. P. 516–518.
- German C. R., Colley S., Palmer M.R et al. Hydrothermal plum-particle fluxes at 13°N on the East Pacific Rise // Deep-Sea Res. 2002. № 49. P. 1921–1940.
- Glasby G. P., Schulz H. D. Eh, pH diagrams for Mn, Fe, Co, Ni, Cu and As under seawater conditions: Applications of two new types of Eh, pH diagrams to the study of specific problems in marine geochemistry // Aquatic Geochemistry. 1999. № 5. P. 227–248.
- James R. H., Elderfield H., Palmer M. R. The geochemistry of hydrothermal fluids from the Broken Spur site, 29oN Mid-Atlanti Ridge // Geochim. Cocmochim. Acta. 1995. V. 59. № 4. P. 651–659.
- Haley B. A., Klinkhammer G. P., McManus J. Rare earth ele- ments in pore waters of marine sediments // Geochim. Cosmochim. Acta. 2004. V. 68. № 6. P. 1265–1279.
- Hlawatsch S., Neumann T., Van den Berg C. M.G. et al. Fast-growing, shallow-water ferro-manganese nodules from the western Baltic Sea: origin and modes of trace element incorporation // Marine Geology. 2002. V. 182. P. 373–387.
- Keith M. J., Weber J. N. Carbon and oxygen isotopic composition of selected limestones and fossils // Geochim. Cosmochim. Acta. 1964. V. 28. № 11. P. 1787–1816.
- Kim J-H., Torres M. E., Haley B. A. et al. The effect of diagenesis and fluid migration on rare earth element distribution in pore fluids of the northern Cascadia accretionary margin // Chem. Geol. 2012. V. 291. № 6. P. 152–165.
- Klinkhammer G., German C. R., Elderfield H. et al. Rare earth elements in hydrothermal fluids and plum particulates by inductively coupled plasma mass spectromet-ry // Mar. Chem. 1994. № 45. P. 179–186.
- Koeppenkastrop D., De Carlo E. H. Sorption of rare-earth elements from seawater onto synthetic mineral particles: An experimental approach // Chem. Geol. 1992. № 95. P. 251–263.
- Liu Y.-G., Mian M. R., Schmitt R. A. Cerium: A chemical tracer for paleo-oceanic redox conditions // Geochim. Cosmochim. Acta. 1988. № 52. P. 1361–1371.
- Maynard J. B. Manganiferous Sediments, Rocks, and Ores // Treatise on Geochemistry / Second Edition. 2014. № 9. P. 327–349.
- Masuzawa T., Koyama M. Settling particles with positive Ce anomalies from the Japan sea // Geophys. Res. 1989. V. 16. № 6. P. 503–506.
- McLennan S. M. Rare earth elements in sedimentary rocks: influence of provenance and sedimentary processes // Geochemistry and mineralogy of rare earth elements // Rev. in Mineralogy 21 / Eds B. R. Lipin, G. A. McKay. 1989. P. 169–200.
- MacLeod K.G., Irving A. J. Correlation of cerium anomalies with indicators of paleoenvironment // J. Sediment. Res. 1996. V. 66. № 5. P. 948–955.
- Mills R. A., Elderfield H. Rare earth element geochemistry of hydrothermal deposits from the active TAG Mound, 26oN Mid-Atlantic Ridge // Geochim. Cosmochim. Acta. 1995. V. 59. № 17. P. 3511–3524.
- Northdurft L. D., Webb G. E., Kamber B. S. Rare earth element geochemistry of Late Devonian reefal carbonates, Canning Basin, Western Australia: Confirmation of a seawater REE proxy in ancient limestones // Geochim. Cosmochim. Acta. 2000. V. 68. № 2. P. 263–283.
- Okita P. M., Maynard J. B., Spikers E. C. et al. Isotopic evidence for organic matter oxidation by manganese reduction in the formation of stratiform manganese carbonate ore // Geochim. Cosmochim. Acta. 1988. № 52. P. 2679–2685.
- Sasmaz A., Zagnitko V. M., Sasmaz B. Major, trace and rare earth element (REE) geochemistry of the Oligocene stratiform manganese oxide-hydroxide deposits in the Nikopol, Ukraine // Ore Geology Rev. 2020. V. 126. 103772.
- Sholkovitz E. R., Shen G. T. The incorporation of rare earth elements in modern corals // Geochim. Cosmochim. Acta. 1995. V. 59. № 13. P. 2749–2756.
- Sholkovitz E. R., Landing W. M., Lewis B. L. Ocean particle chemistry: The fractionation of rare earth elements between suspensed particles and seawater // Geochim. Cosmochim. Acta. 1994. V. 58. № 6. P. 1567–1579.
- Smrzka D., Zwicker J., Bach W. et al. The behavior of trace elements in seawater, sedimentary pore water, and their incorporation into carbonate minerals: a review // Facies. 2019. V. 65. 41.
- Szamałek K., Uścinowicz S., Zglinicki K. Rare earth elements in Fe-Mn nodules from the southern Baltic Sea – a preliminary study // Biuletyn panństwowego instytutu geologicznego. 2018. № 472. P. 199–212.
- Szefer P., Glasby G. P., Kunzendorf H. et al. The distribution of rare earth and other elements and the mineralogy of the iron oxyhydroxide phase in marine ferromanganese concretions from within Slupsk Furrow in the southern Baltic // Applied Geochemistry. 1998. № 13. P. 305–312.
- Szefer P., Glasby G. P., Stűben D. et al. Distribution of selected heavy metals and rare earth elements in surficial sediments from the Polish sector of the Vistula Lagoon // Chemosphere. 1999. V. 39. № 15. P. 2785–2798.
- Piper D. Rare earth elements in the sedimentary cycle: A summary // Chem. Geol. 1974. № 14. P. 285–304.
- Vereshchagin O. S., Perova E. N., Brusnitsyn A. I. et al. Ferro-manganese nodules from the Kara Sea: Mineralogy, geochemistry and genesis // Ore Geology Rev. 2019. № 106. P. 192–204.
- Webb G. E., Kamber B. S. Rare earth elements in Holocene reefal microbialites: A new shallow seawater proxy // Geochim. Cosmochim. Acta. 2000. V. 64. № 9. P. 1557–1565.
Arquivos suplementares









