Continental Genesis of Sands of the Novolutsk Member, Sablinskaya Formation of the Middle Cambrian (Northwestern Flank of the Moscow Syneclise)
- Authors: Platonov M.V.1, Tugarova M.A.2
-
Affiliations:
- St. Petersburg State University
- LLC “Gazpromneft STC”
- Issue: No 5 (2023)
- Pages: 515-524
- Section: Articles
- URL: https://ogarev-online.ru/0024-497X/article/view/140503
- DOI: https://doi.org/10.31857/S0024497X23700131
- EDN: https://elibrary.ru/VSEYJA
- ID: 140503
Cite item
Full Text
Abstract
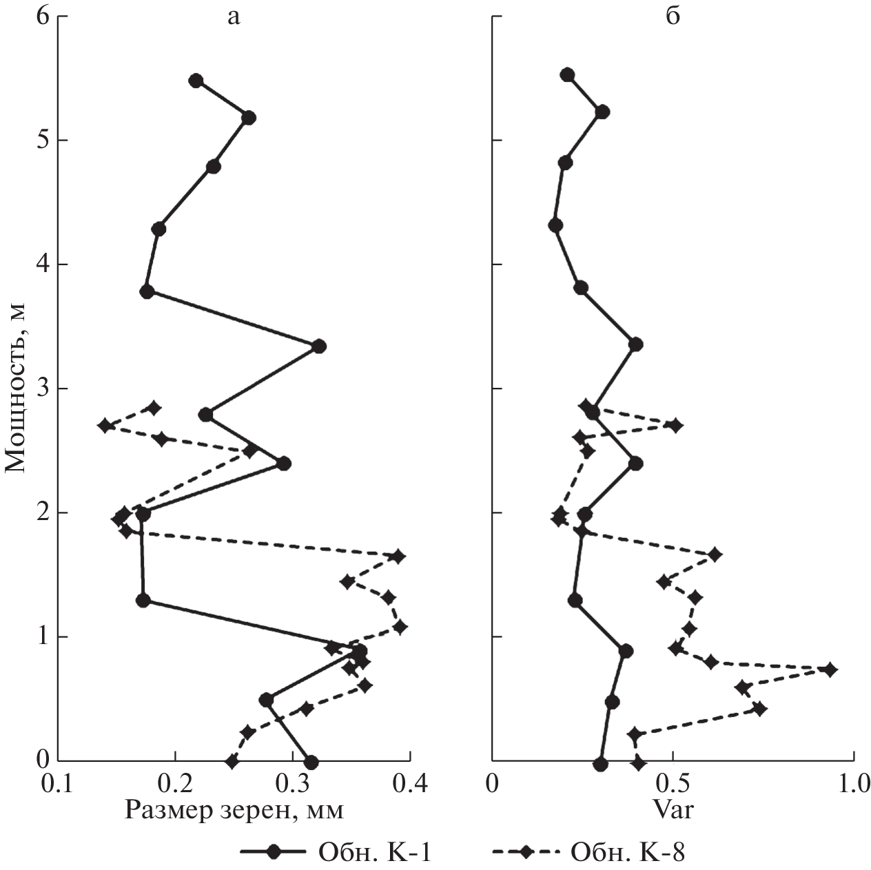
Despite the high degree of knowledge about Cambrian-Ordovician sandy sequence in the northwestern flank of the Moscow syneclise, some of its subdivisions are still poorly studied. For the first time the article provides a comprehensive lithological analysis of the textural and mineral-structural composition of the Novolutsk member sands, common in the west of the Leningrad region. This member conventionally belongs to the Sablinskaya Formation of the Middle Cambrian. Significant differences between the studied sands and the sands of other units of the formation are shown, and their analogues are found in the eastern sections of the Baltic-Ladoga glint. The lenticular occurrence, specific textural complex and coarse-medium-grained composition of the Novolutsk unit sands made it possible to prove their continental alluvial genesis and link them with the sedimentary environments of the earlier identified Putilovskaya member sands of the Sablinskaya Formation.
About the authors
M. V. Platonov
St. Petersburg State University
Author for correspondence.
Email: m.platonov@spbu.ru
Russia, 199034, St. Petersburg, Universitetskaya emb., 7/9
M. A. Tugarova
LLC “Gazpromneft STC”
Author for correspondence.
Email: tugarova.ma@gazpromneft-ntc.ru
Russia, 190000, St. Petersburg, river Moika emb., 75–79, liter D
References
- Берто (Guy Berthault) Г., Лаломов А.В., Тугарова М.А. Реконструкция палеодинамических условий формирования кембро-ордовикских песчаников северо-запада Русской платформы // Литология и полез. ископаемые. 2011. № 1. С. 67‒78.
- Геологическая карта дочетвертичных образований. Масштаб 1 : 2 000 000. Ленинградская область. Северо-западный федеральный округ / [Электронный ресурс]. СПб.: ВСЕГЕИ, ГИС-Атлас “Недра России”, 2022.
- URL: https://vsegei.ru/ru/info/gisatlas/szfo/leningradskaya_ obl/geol.jpg (дата обращения: 07.10.2022).
- Котельников Б.Н. Реконструкция генезиса песков. Л.: Изд-во ЛГУ, 1989. 132 с.
- Кулямин Л.Л., Смирнов Л.С. Приливно-отливные циклы осадконакопления в кембро-ордовикских песках Прибалтики // Докл. АН СССР. Сер. геол. 1973. Т. 212. № 1‒3. С. 696‒699.
- Кутырев Э.И. Условия образования и интерпретация косой слойчатости. Л.: Недра, 1968. 128 с.
- Методические указания по дробному гранулометрическому анализу седиментационным способом (с применением гидравлического седиментатора ГС–I) / Отв. ред. К.К. Гостинцев. Л.: ВНИГРИ, 1989. 181 с.
- Платонов М.В., Тугарова М.А. Континентальные и переходные обстановки осадконакопления среднего кембрия северо-западного крыла Московской синеклизы // Региональные проблемы геологии, географии, техносферной и экологической безопасности // Сборник статей Всероссийской научно-практической конференции, Оренбург, 18‒20 ноября 2019 г. Оренбург: ИП “Востриков К “Полиарт”, 2019. С. 54‒59.
- Платонов М.В., Тугарова М.А., Лаломов А.В. Ритмичное строение и пульсационный динамический режим осадконакопления нижнепалеозойских песчаников Ленинградской области // VII Международная конференция “Новые идеи в науках о Земле” // Материалы докладов. Т. 1. М.: КДУ, 2005. 147 с.
- Платонов М.В., Тугарова М.А. Текстурный анализ песчаников среднего кембрия Ленинградской области и фациально-динамические аспекты их формирования // Литология и геология горючих ископаемых // Межвузовский научный тематический сборник. Т. II (18). Екатеринбург: Уральский государственный университет, 2008. С. 96‒105.
- Попов Л.Е., Хазанович К.К., Боровко Н.Г., Сергеева С.П., Соболевская Р.Ф. Опорные разрезы и стратиграфия кембро-ордовикской фосфоритоносной оболовой толщи на северо-западе Русской платформы. Л.: Наука, 1989. 222 с.
- Романовский С.И. Седиментологические основы литологии. Л.: Недра, 1977. 408 с.
- Рухин Л.Б. Кембро-силурийская песчаная толща Ленинградской области // Ученые записки ЛГУ. Серия геолого-почвенных наук. 1939. Вып. 4(11). Л.: Изд-во ЛГУ, 1939. 171 с.
- Шанцер Е.В. Очерки учения о генетических типах континентальных осадочных образований // Труды АН СССР. Вып. 161. М.: Наука, 1966. 241 с.
- Шванов В.Н. Песчаные породы и методы их изучения. Л.: Недра, 1969. 248 с.
- Passega R., Byramjee R. Grain-size image of clastic deposits // Sedimentology. 1969. V. 13. P. 233‒252.
- Rubin D.M., McCulloch D.S. Single and Superposed Bed Forms: A Synthesis of San Francisco Bay and Flume Observations // J. Sediment. Petrol. 1980. V. 26. P. 207‒231.
- Zavala C. Hyperpycnal flows and deposits // J. of Palaeo-geography. 2020. V. 9. Article number 17. P. 1–21.
- Zavala C., Pan S.X. Hyperpycnal flows and hyperpycnites. Origin and distinctive characteristics // Lithologic Reservoirs. 2018. V. 30. № 1. P. 1‒27.
Supplementary files









