Chemical Composition of Sediments and Its Changes in the Center of the Modern Hydrothermal System in the Middle Valley of the Oceanic Ridge Juan de Fuca, Hole 858B ODP
- Авторлар: Kurnosov V.B.1, Konovalov Y.I.1, Galin K.R.1
-
Мекемелер:
- Geological Institute, Russian Academy of Sciences
- Шығарылым: № 1 (2023)
- Беттер: 50-68
- Бөлім: Articles
- URL: https://ogarev-online.ru/0024-497X/article/view/137915
- DOI: https://doi.org/10.31857/S0024497X23010032
- EDN: https://elibrary.ru/GWRUDO
- ID: 137915
Дәйексөз келтіру
Толық мәтін
Аннотация
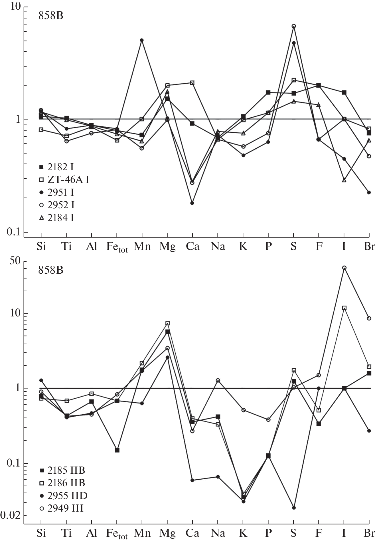
The article presents the results of a study of changes in the chemical composition of Pleistocene sediments from Hole 858B, 38.6 m deep with a temperature gradient of 10‒11°C/m, drilled in the Middle Valley of the Juan de Fuca oceanic ridge (Northeast Pacific) in the “Dead Dog” hydrothermal field, in 20 m from “black smoker” with a temperature of 276°C. The content of petrogenic elements in these sediments was studied by XRD. For the first time, data on a large set of trace elements were obtained for this object using the ICP MS method. The change in the chemical composition of sediments occurred in the process of solution-rock interaction under conditions of a rapid increase in temperature downwards the section. In the Unit I, in its upper part (1.97‒10.41 m), the sediments are slightly altered at a temperature of about 17°C. In the lower part of the Unit I (12.70‒25.31 m) under conditions of average temperature (112‒197°C), the change in the content of petrogenic elements and trace elements is well pronounced. The chemical composition of the sediments of the Unit IIB and the Unit IID (25.31‒38.6 m) is most strongly changed in the temperature range from 112‒197°С to 320‒330°С. Changes in the content for most macroelements and trace elements in the sediments of Unit IIB and Unit IID are similar, with the difference that the decrease in the content of chemical elements is more pronounced in the sediments of the Unit IID. In them, the content of Cu, Zn, Ga, Rb, Sr, Ag, Cd, Sb, Cs, Ba, Tl, Bi, except for U, is significantly lower than in background sediments. The sediments of the the IID, as well as the sediments of the Unit IIB, contain less Ca, Na, K, P and more Mg. A lower content of chemical in these sediments can be considered as their removal from sediments under the process of solution-sediments interaction and enrichment of the solution with them, and their higher content, as its introduction into sediments from solution and, accordingly, depletion of these chemical elements in the solution. The results of studying the chemical composition of metalliferous sediments (Unit III, 0‒1.97 m) and sulfide layer IV (10.41‒12.70 m), as well as the chemical composition of unaltered background sediments from Holes 855A, C, D are presented.
Авторлар туралы
V. Kurnosov
Geological Institute, Russian Academy of Sciences
Хат алмасуға жауапты Автор.
Email: vic-kurnosov@rambler.ru
Russia, 119017, Moscow, Pyzhevsky lane, 7, bld. 1
Yu. Konovalov
Geological Institute, Russian Academy of Sciences
Email: vic-kurnosov@rambler.ru
Russia, 119017, Moscow, Pyzhevsky lane, 7, bld. 1
K. Galin
Geological Institute, Russian Academy of Sciences
Email: vic-kurnosov@rambler.ru
Russia, 119017, Moscow, Pyzhevsky lane, 7, bld. 1
Әдебиет тізімі
- Богданов Ю.А., Лисицын А.П., Сагалевич А.М., Гурвич Е.Г. Гидротермальный рудогенез океанского дна. М.: Научный мир, 2006. 527 с.
- Богданов Ю.А., Сагалевич А.М. Геологические исследования с глубоководных обитаемых аппаратов. М.: Научный мир, 2002. 304 с.
- Сахаров Б.А., Курносов В.Б. Особенности образования глинистых минералов в осадках из центра гидротермальной системы, скважина 858В, хребет Хуан де Фука // Литология и полез. ископаемые. 2022. № 2. С. 1‒22.
- Buatier M.D., Karpoff A.M., Boni M. et al. Mineralogical and petrographic records of sediment–fluid interaction in the sedimentary sequence at Middle Valley, Juan de Fuca Ridge, Leg 139 / Eds M.J. Mottl, E.E. Davis, A.T. Fisher, J.F. Slack // Proc. ODP, Sci. Results, 139: College Station, TX (Ocean Drilling Program). 1994. P. 133‒154.
- Buatier M.D., Gretchen L. Früh-Green, Anne-Marie Karpoff. Mechanisms of Mg-phyllosilicate formation in a hydrothermal system at a sedimented ridge (Middle Valley, Juan de Fuca) // Contrib. Mineral. Petrol. 1995. V. 122. P. 134–151.
- Davis E.E., Mottl M.J., Fisher A.T., et al. Init. Repts., 139: College Station, TX (Ocean Drilling Program). 1992. 1026 p.
- Davis E.E., Villinger H. Tectonic and thermal structure of the Middle Valley sedimented rift, northern Juan de Fuca Ridge. Init. Repts, 139: College Station, TX (Ocean Drilling Program). 1992. P. 9‒41.
- Frü-Green G.L., McKenzie J.A., Boni M., Karpoff A.M., Buatier M. Stable isotope and geochemical record of convective hydrothermal circulation in the sedimentary sequence of Middle Valley, Juan de Fuca Ridge, Leg 139 / Eds M.J. Mottl, E.E. Davis, A.T. Fisher, J.F. Slack // Proc. ODP, Sci. Results, 139: College Station, TX (Ocean Drilling Program). 1994. P. 291‒306.
- Goodfellow W.D., Franklin J.M. Geology. Mineralogy and geochemistry of massive sulfides in shallow cores, Middle Valley, Northern Juan de Fuca Ridge // Econ. Geol. 1993. V. 88. P. 2037‒2068.
- Goodfellow W.D., Peter J.M. Geochemistry of hydrothermally altered sediment, Middle Valley, northern Juan De Fuca Ridge / Eds M.J. Mottl, E.E. Davis, A.T. Fisher, J.F. Slack // Proc. ODP, Sci. Results, 139: College Station, TX (Ocean Drilling Program).1994. P. 207‒289.
- Kurnosov V., Murdmaa I., Rosanova T. et al. Mineralogy of hydrothermally altered sediments and igneous rocks at Site 856‒858, Middle Valley, Juan de Fuca Ridge, Leg 139 / Eds M.J. Mottl, E.E. Davis, A.T. Fisher, J.F. Slack // Proc. ODP, Sci. Results, 139: College Station, TX (Ocean Drilling Program). 1994. P. 113‒131.
- Leybourne M.I., Goodfellow W.D. Mineralogy and mineral chemistry of hydrothermally altered sediment, Middle Valley, Juan de Fuca Ridge / Eds M.J. Mottl, E.E. Davis, A.T. Fisher, J.F. Slack // Proc. ODP, Sci. Results, 139: College Station, TX (Ocean Drilling Program). 1994. P. 155‒ 206.
- Zierenberg R.A., Koski R.A., Morton J.I. et al. Genesis of massive sulfide deposits on a sediment-covered spreading center? Escanaba Trough, 41° N, Gorda Ridge // Econ. Geol. 1993. V. 88. P. 2069‒2098.
Қосымша файлдар








