Vitality Structure of the Middle-Aged Northern Taiga Pine Forest Stands
- Authors: Stavrova N.I.1, Gorshkov V.V.1,2, Katyutin P.N.1,3
-
Affiliations:
- Komarov Botanical Institute of the RAS
- Saint-Petersburg Forestry University
- Saint Petersburg State University
- Issue: No 5 (2023)
- Pages: 471-485
- Section: RESEARCH
- URL: https://ogarev-online.ru/0024-1148/article/view/140481
- DOI: https://doi.org/10.31857/S0024114823040113
- EDN: https://elibrary.ru/XUNSNQ
- ID: 140481
Cite item
Full Text
Abstract
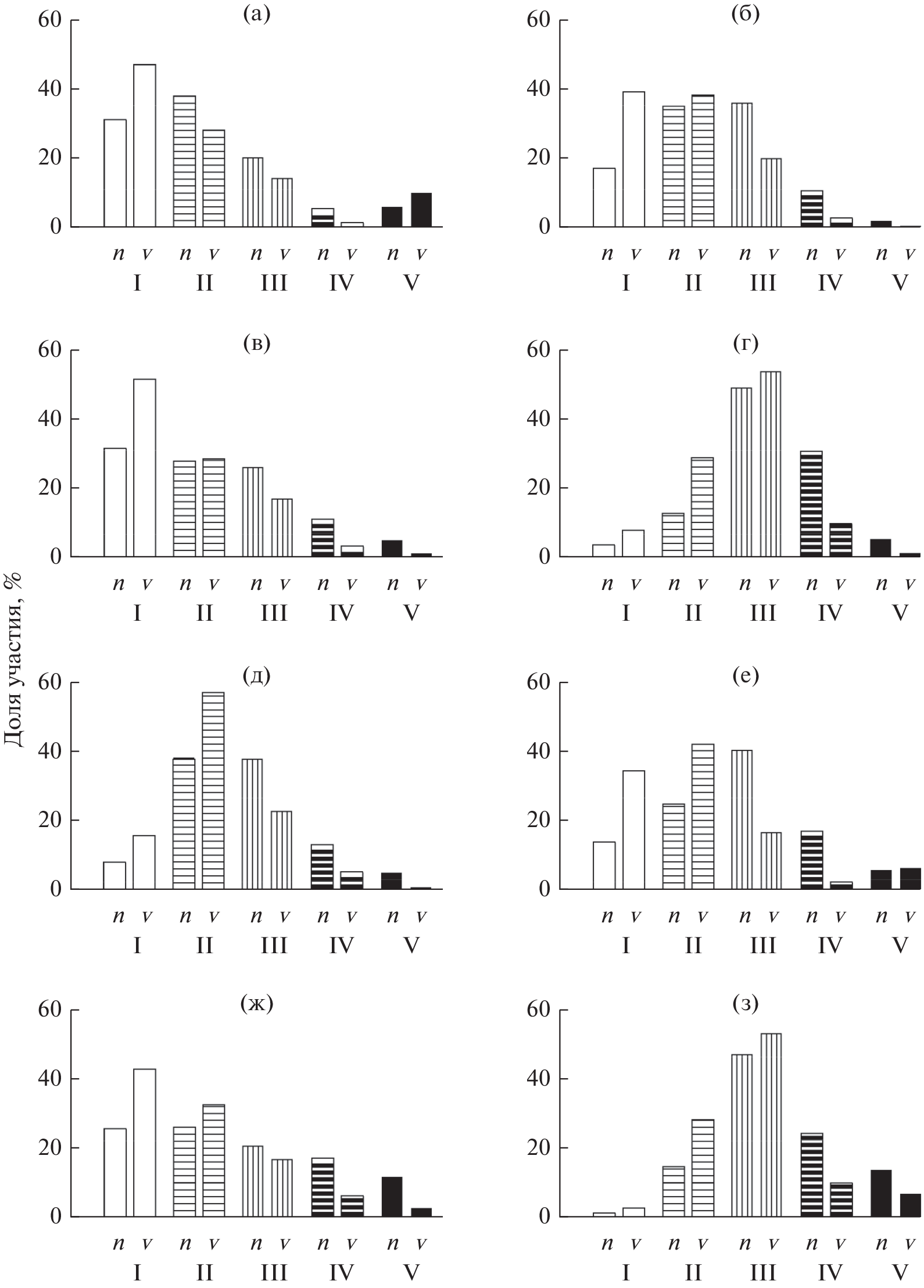
On the example of the northern taiga pine (Pinus sylvestris L.) forests of the western Kola peninsula (67°30′–68°10′ N, 33°57′–34°21′ W) the vitality structure of the middle-aged forest stands was studied in the communities within the lichen, lichen-green moss and green moss groups of forest types (12 permanent sample plots). It has been established that the studied forest stands are characterized by a numerical predominance of moderately and severely weakened trees (total share of 55–70%), and of moderately weakened and healthy trees in terms of trunk volume (total share of 50–75%). The significant factors found to contribute into the formation of the middle-aged pine forest stands’ vitality structure are their density, the sum of the basal areas and the forest type. The density of the forest stand is the main contributor to the nature of the trees’ vitality differentiation. Three main types of pine vitality spectra were identified, differing in the value of the stand vitality index.
About the authors
N. I. Stavrova
Komarov Botanical Institute of the RAS
Author for correspondence.
Email: NStavrova@binran.ru
Russia, 197376, Saint-Petersburg, Professor Popov, st. 2
V. V. Gorshkov
Komarov Botanical Institute of the RAS; Saint-Petersburg Forestry University
Email: NStavrova@binran.ru
Russia, 197376, Saint-Petersburg, Professor Popov, st. 2; Russia, 194021, Saint-Petersburg, Institutskiy ln., 5
P. N. Katyutin
Komarov Botanical Institute of the RAS; Saint Petersburg State University
Email: NStavrova@binran.ru
Russia, 197376, Saint-Petersburg, Professor Popov, st. 2; Russia, 199034, Saint Petersburg, Universitetskaya emb., 7–9
References
- Алексеев В.А. Диагностика жизненного состояния деревьев и древостоев // Лесоведение. 1989. № 4. С. 51–57.
- Алексеев В.А. Некоторые вопросы диагностики и классификации поврежденных загрязнением лесных экосистем // Лесные экосистемы и атмосферное загрязнение. 1990. Л., Наука. С. 38–53.
- Алексеев В.А., Ярмишко В.Т. Влияние атмосферного загрязнения с примесью тяжелых металлов на строение и продуктивность северотаежных древостоев // Лесные экосистемы и атмосферное загрязнение. Л.: Наука, 1990. С. 105–115.
- Алексеев А.С. Анализ экологической структуры популяции Picea abies (Pinaceae) в условиях атмосферного загрязнения // Ботанический журн. 1990. Т. 75. № 9. С. 1277–1284.
- Бебия С.М. Дифференциация деревьев в лесу, их классификация и определение жизненного состояния древостоев // Лесоведение. 2000. № 4. С. 35–43.
- Горшков В.В., Ставрова Н.И., Катютин П.Н., Тумакова Е.А. Типы размерной и виталитетной структуры ценопопуляций Pinus sylvestris (Pinaceae) в условиях северной тайги (Кольский п-ов) // Растительные ресурсы. 2013. Т. 49. № 4. С. 512–531.
- Горшков В.В., Ставрова Н.И., Катютин П.Н., Лянгузов А.Ю. Радиальный прирост сосны обыкновенной Pinus sylvestris L. в северотаежных лишайниковых сосновых лесах и редколесьях // Известия РАН. Серия биологическая. 2021. № 2. С. 200–210.
- Грабарник П.Я., Секретенко О.П. Анализ горизонтальной структуры древостоев методами случайных точечных полей // Сибирский лесной журн. 2015. № 3. С. 32–44.
- Демаков Ю.П., Исаев А.В., Нехаев И.Н. Характер освоения деревьями жизненного пространства в пойменных биогеоценозах // Научные труды государственного природного заповедника “Большая Кокшага”. 2013. Вып. 6. С. 163–184.
- Демидко Д.А. Виталитетная структура ненарушенных древостоев кедра сибирского в субальпийском подпоясе и на верхней границе леса в горном Алтае // Экология. 2006. № 5. С. 394–397.
- Демидко Д.А. Состояние кедровых древостоев Северо-Восточного Алтая и методы его оценки // Лесоведение. 2011. № 1. С. 19–27.
- Касаткин А.С., Бойко А.А., Колтунова А.И., Гаврилин Д.С. Радиальный прирост сосны обыкновенной в условиях конкуренции // Известия Оренбургского гос. аграрного университета. 2012. № 2(34). С. 50–54.
- Катютин П.Н., Горшков В.В. Жизненное состояние, скорость роста и надземная фитомасса Pinus sylvestris (Pinaceae) в средневозрастных северотаежных лесах // Раститительные ресурсы. 2020. Т. 56. № 2. С. 99–111.
- Кривец С.А., Бисирова Э.М., Демидко Д.А. Виталитетная структура древостоев кедра сибирского Pinus sibirica Du Tour на юго-востоке Западной Сибири // Вестник Томского государственного университета. 2008. № 313. С. 225–231.
- Кривец С.А., Бисирова Э.М., Чернова Н.А., Пац Е.Н., Керчев И.А. Комплексная характеристика биологического разнообразия кедровых лесов на южном пределе их распространения в Западной Сибири // Вестник Томского государственного университета. Биология. 2014. № 2(26). С. 130–150.
- Левин Г.Г. Возрастные изменения у растений (анализ некоторых понятий и представлений) // Ботанический журн. 1966. Т. 51. № 12. С. 1774–1795.
- Махатков И.Д. Поливариантность онтогенеза пихты сибирской // Бюллетень МОИП. 1991. Т. 96. № 4. С. 79–88.
- Методы изучения лесных сообществ. СПб.: НИИ Химии СПбГУ, 2002. 240 с.
- Михайлова Т.А., Калугина О.В., Шергина О.В. Динамика состояния сосновых лесов Предбайкалья в условиях воздействия антропогенных факторов // Сибирский лесной журн. 2017. № 1. С. 44–55.
- Никонов В.В. Почвообразование на северном пределе сосновых биогеоценозов. Л.: Наука, 1987. 142 с.
- Переверзев В.Н. Лесные почвы Кольского полуострова. М.: Наука, 2004. 232 с.
- Правила санитарной безопасности в лесах. 2020 // Интернет-портал актуальных нормативно-правовых документов. https://docs.cntd.ru/document/573053313
- Рогозин М.В. Структура древостоев: конкуренция или партнерство? [Электронный ресурс]. Пермь: Пермский национальный исследовательский университет, 2019. 223 с. http://www.psu.ru/files/docs/science/books/ mono/rogozin-struktura-drevostoev.pdf
- Санников С.Н., Санникова Н.С. Лес как подземно-сомкнутая дендроценоэкосистема // Сибирский лесной журнал. 2014. № 1. С. 25–34.
- Санников С.Н., Санникова Н.С., Петрова И.В. Очерки по теории лесной популяционной биологии. Екатеринбург: РИО УрО РАН, 2012. 281 с.
- Санникова Н.С. Микроэкосистемный анализ ценопопуляций древесных растений. Екатеринбург: УрО РАН, 1992. 65 с.
- Санникова Н.С., Локосова Е.И. Микроэкосистемный анализ структурно-функциональных связей в лесных биогеоценозах // Генетические и экологические исследования в лесных экосистемах. Екатеринбург: УрО РАН, 2001. С. 73–94.
- Ставрова Н.И., Горшков В.В., Катютин П.Н. Динамика виталитетной структуры ценопопуляций Picea obovata и Betula pubescens в процессе послепожарных сукцессий северотаежных еловых лесов // Ботанический журн. 2010. Т. 95. № 11. С. 1550–1565.
- Ставрова Н.И., Горшков В.В., Катютин П.Н. Формирование структуры ценопопуляций лесообразующих видов в процессе послепожарного восстановления северотаежных лесов // Труды Карельского НЦ РАН. Серия “Биогеография”. 2016. Т. 3. С. 10–28.
- Торлопова Н.В., Ильчуков С.В. Сосновые леса европейского Северо-Востока: структура, состояние, флористический комплекс. Екатеринбург: УрО РАН, 2007. 191 с.
- Усольцев В.А. Продукционные показатели и конкурентные отношения деревьев. Исследование зависимостей. Екатеринбург: УГЛТУ, 2013. 556 с.
- Цветков В.Ф., Цветков И.В. Промышленное загрязнение окружающей среды и лес. Архангельск: Изд-во Северного (Арктического) федерального университета, 2012. 312 с.
- Черненькова Т.В. Реакция лесной растительности на промышленное загрязнение. М.: Наука, 2002. 191 с.
- Черненькова Т.В. Различные аспекты дендроиндикации техногенного загрязнения// Охрана лесных экосистем и рациональное использование лесных ресурсов. М.: Наука, 1993. С. 211–234.
- Шишов Л.Л., Тонконогов В.Д., Лебедева И.И., Герасимова М.И. Классификация и диагностика почв России. Смоленск: Ойкумена. 2004. 342 с.
- Шорохова Е.А. Взаимосвязь структурных показателей ценопопуляций сосны Pinus sylvestris L. в коренных северотаежных сосняках Карелии// Труды Карельского НЦ РАН. Серия Биогеография. 2013. № 6. С. 159–166.
- Ярмишко В.Т. Состояние сосновых древостоев // Влияние промышленного атмосферного загрязнения на сосновые леса Кольского полуострова. 1990. Л.: БИН РАН. С. 104–109.
- Ярмишко В.Т. Сосна обыкновенная и атмосферное загрязнение на Европейском Севере. СПб.: НИИ ХИМИИ СПбГУ, 1997. 210 с.
- Ярмишко В.Т., Горшков В.В., Ставрова Н.И. Виталитетная структура Pinus sylvestris L. в лесных сообществах с разной степенью и типом антропогенной нарушенности (Кольский полуостров) // Растительные ресурсы. 2003. Т. 39. № 4. С. 1–19.
- Ярмишко В.Т., Горшков В.В., Ставрова Н.И., Катютин П.Н. Многолетняя динамика виталитетной структуры древесного яруса хвойных лесов при разном уровне промышленного загрязнения на Кольском полуострове // Проблемы экологии растительных сообществ. СПб.: ВВМ, 2005. С. 58–70.
- Ярмишко В.Т. Динамика древесного яруса сосновых (Pinus sylvestris L.) лесов // Динамика лесных сообществ Северо-Запада России. СПб.: ВВМ, 2009. С. 58–87.
- Ярмишко В.Т., Игнатьева О.В. Многолетний импактный мониторинг состояния сосновых лесов в центральной части Кольского полуострова // Известия РАН. Серия биологическая. 2019. № 6. С. 658–668.
- Ярмишко В.Т., Цветков В.Ф. Строение, запасы и распределение в почве корневых систем растений в сообществах сосновых молодняков Кольского полуострова // Ботанический журн. 1987. Т. 72. № 4. С. 496–505.
- Ястребов А.Б., Познанская А.А. Анализ влияния древостоя на подрост в сосновых борах Карелии // Ботанический журн. 1993. Т. 78. № 4. С. 123–133.
- Augustaitis A., Šopauskiene D., Baužiene I. Direct and indirect effects of regional air pollution on the crown defoliation // Baltic Forestry. 2010. V. 16. P. 23–34.
- Binkley D.A. hypothesis about the interaction of tree dominance and stand production through stand development // Forest Ecology and Management. 2004. № 190. P. 265–271.
- Choi Y., Chung H.I., Lim Ch-H., Lee J-H., Choi W.I., Jeon S.W. Multi-Model Approaches to the Spatialization of Tree Vitality Surveys: Constructing a National Tree Vitality Map // Forests. 2021. № 12. P. 1009–1025. https://doi.org/10.3390/f12081009
- Coomes D.A., Allen R.B. Effects of size, competition and altitude on tree growth // Journal of Ecology. 2007. V. 95. P. 1084–1097
- Das A. The effect of size and competition on tree growth rate in old-growth coniferous forests // Canadian Journal of Forest Research. 2012. V. 42. № 11. P. 1983–1995.
- Dittmar C., Elling W. Dendroecological investigation of the vitality of Common Beech
- (Fagus sylvatica L.) in mixed mountain forests of the Northern Alps (South Bavaria) // Dendrochronologia. 2007. V. 25. № 1. P. 37–56.
- Dobbertin M. Tree growth as indicator of tree vitality and of tree reaction to environmental stress: a review // European Journal of Forest Research. 2005. V. 124. № 4. P. 319–333. https://doi.org/10.1007/s10342-005-0085-3
- Eichhorn J., Roskams P. Assessment of Tree Condition // Forest Monitoring Methods for terrestrial investigations in Europe with an overview of North America and Asia. Development in Environment Science. 2013. V. 12. P. 139–167. https://doi.org/10.1016/B978-0-08-098222-9.00008-X
- Johnstone D., Tausz M., Moore G., Nicolas M. Chlorophyll fluorescence of the trunk rather than leaves indicates visual vitality in Eucalyptus saligna // Trees – Structure and Function. 2012. V. 26. № 5. P. 1565–1576. https://doi.org/10.1080/03071375.2013.783746
- Kozlov M.V., Zvereva E.L., Zverev V.E. Plant Growth and Vitality // Impacts of Point Polluters on Terrestrial Biota. Environmental Pollution. V. 15. Dordrecht: Springer, 2009. https://doi.org/10.1007/978-90-481-2467-1_4
- Lyanguzova I., Yarmishko V., Gorshkov V., Stavrova N., Bakkal I. Impact of Heavy Metals on Forest Ecosystems of the European North of Russia // Heavy Metals. 2018. https://doi.org/10.5772/intechopen.73323
- Manual on methodologies and criteria for harmonized sampling, assessment, monitoring and analysis of the effects of air pollution on forests // UNECE, ICP Forest Programme Coordinating Centers. Hamburg, 2010. http://www.icp-forest.org/Manual.htm
- Martínez-Trinidad T., Watson W.T., Arnold M.A., Lombardini L., Appel D.N. Comparing various techniques to measure tree vitality of live oaks // Urban Forestry & Urban Greening. 2010. V. 9. № 3. P. 199–203.
- Mëkinen H. Possibilities of competition indices to describe competitive differences between Scots pine families // Silva Fennica. 1997. V. 31. № 1. P. 43–52.
- Nilsson U., Gemmel P. Changes in growth and allocation of growth in young Pinus sylvestris and Picea abies due to competition // Scandinavian Journal of Forest Research. 1993. V. 8. P. 213–222.
- Oliver C.D., Larson B.C. Forest Stand Dynamics. N.Y.: John Wiley & Sons, 1996. 543 p.
- Roloff A. Crown Structure and Tree Vitality // Longhurst J.W.S. (eds) Acid Deposition. Springer, Berlin, Heidelberg., 1991. P. 193–213. https://doi.org/10.1007/978-3-642-76473-8_13
- Rötzer T., Grote R., Pretzsch H. Effects of environmental changes on the vitality of forest stands // Eur. J. Forest Research. 2005. V. 124. P. 349–362. https://doi.org/10.1007/s10342-005-0086-2
- Solberg S. Crown condition and growth relationships within stands of Picea abies // Scandinavian J. Forest Research. 1999. V. 14. № 4. P. 320–327. https://doi.org/10.1080/02827580050160510
- Stavrova N.I., Gorshkov V.V.,Katjutin P.N.,Bakkal I.J. The Structure of Northern Siberian Spruce–Scots Pine Forests at Different Stages of Post-Fire Succession // Forests. 2020. V. 11. № 5. P. 558. https://doi.org/10.3390/f11050558
- Torelli N., Shortle W.C., Cufar K., Ferlin F., Smith K.T. Detecting changes in tree health and productivity of silver fir in Slovenia // Forest Pathology. 1999. V. 29. № 3. P. 189–197.
- Tveite B. Air Pollution and Forest Damage in Norway. In: Hutchinson T.C., Meema K.M. Effects of Atmospheric Pollutants on Forests, Wetlands and Agricultural Ecosystems. NATO ASI Series (Series G: Ecological Sciences). 1987. V. 16. Springer, Berlin, Heidelberg. https://doi.org/10.1007/978-3-642-70874-9_4
Supplementary files


