Analysis and Forecast of the Zeiraphera griseana Dynamics Using the Delayed Moran-Ricker Model: the Impact of the Training Sample on Forecast Quality
- Авторлар: Neverova G.P.1, Frisman E.Y.2
-
Мекемелер:
- Institute for Automation and Control Processes FEB RAS
- Complex Analysis of Regional Problems Institute FEB RAS
- Шығарылым: № 2 (2023)
- Беттер: 190-200
- Бөлім: RESEARCH
- URL: https://ogarev-online.ru/0024-1148/article/view/137860
- DOI: https://doi.org/10.31857/S0024114823020055
- EDN: https://elibrary.ru/AKRJWI
- ID: 137860
Дәйексөз келтіру
Толық мәтін
Аннотация
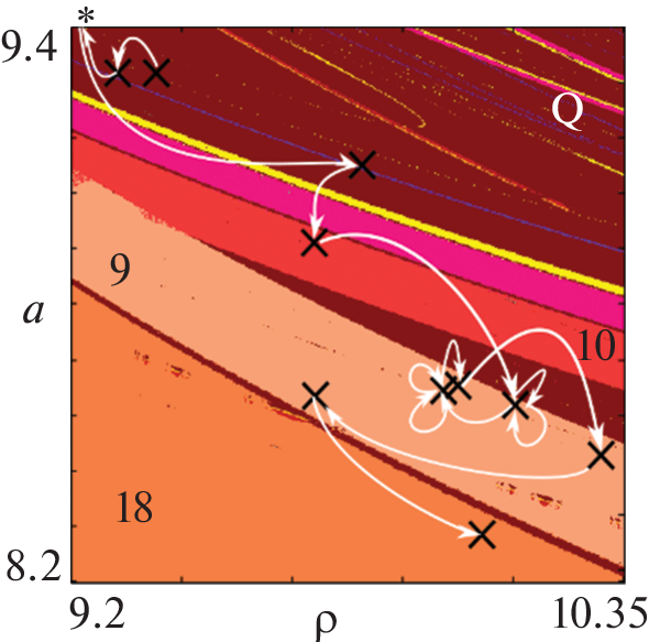
We have applied the Moran–Ricker model with a time lag to describe the dynamics of two populations of larch bud moth. The model takes into account intrapopulation self-regulatory mechanisms. Data on populations inhabiting Switzerland in Graubunden (Baltensweiler, Fischlin, 1988; the Global Population Dynamics Database: Data set 1525) and Oberengadin (Baltensweiler, 1991) locations were used. We have found estimates of model parameter values by minimizing the sum of squared deviations of empirical and model trajectories. The point estimates of the population parameters were shown to satisfy the statistical criteria. The point estimates are located in the region of quasi-periodic oscillations, where, as a rule, they are adjacent to other dynamics modes. Consequently, the variation of population parameters caused by, for example, evolutionary processes or modifying factors influence can change the observed dynamics mode. To test the predictive properties of these models, we use the first part of the data to estimate the parameter values and the rest to compare the real dynamics with the model forecast. As it turned out, the quality of the forecast significantly depends on the nature of the dynamics at the end of the training sample used to estimate the parameters. The best prediction can be obtained if the training sample ends at the population peak phase. In the case of a low abundance phase, the forecast may have an acceptable error, but the nature of the predicted dynamics may change: for example, a shift in the population peak. For Data set 1525, we compare the point estimates obtained from a training sample of different lengths with the dynamic modes of the Moran–Riker model. This allows us to get an insight into the dynamic mode evolution in the Zeiraphera griseana population and to identify transitions from one dynamics mode to another.
Авторлар туралы
G. Neverova
Institute for Automation and Control Processes FEB RAS
Хат алмасуға жауапты Автор.
Email: galina.nev@gmail.com
Russia, 690041, Vladivostok, st. Radio, 5
E. Frisman
Complex Analysis of Regional Problems Institute FEB RAS
Email: galina.nev@gmail.com
Russia, 679016, Birobidzhan, st. Sholom Aleikhem, 4
Әдебиет тізімі
- Безручко Б.П., Смирнов Д.А. Математическое моделирование и хаотические временные ряды. Саратов: ГосУНЦ “Колледж”, 2005. 320 с.
- Гилл Ф., Мюррей У., Райт М. Практическая оптимизация. М.: Мир, 1985. 509 с.
- Исаев А.С., Пальникова Е.Н., Суховольский В.Г., Тарасова О.В. Динамика численности лесных насекомых-филлофагов: модели и прогнозы. М.: Товарищество научных изданий КМК, 2015. 262 с.
- Исаев А.С., Хлебопрос Р.Г., Недорезов Л.В., Киселев В.В., Кондаков Ю.П., Суховольский В.Г. Популяционная динамика лесных насекомых. М.: Наука, 2001. 347 с.
- Неверова Г.П., Фрисман Е.Я. Математическое моделирование динамики локальных однородных популяций с учетом эффектов запаздывания // Математическая биология и биоинформатика. 2015. Т. 10. № 2. С. 309–324.
- Недорезов Л.В. Динамика численности сосновой пяденицы в Нидерландах: оценка параметров обобщенной дискретной логистической модели // Евразиатский энтомологический журн. 2015а. Т. 14. № 1. С. 93–99.
- Недорезов Л.В. Нетрадиционный подход к оценке параметров экологических моделей (на примерах динамики численности серой лиственничной листовертки и сосновой пяденицы) // Сибирский лесной журн. 2015 б. № 3. С. 70–82.
- Недорезова Б.Н., Недорезов Л.В. Динамика численности сосновой пяденицы: прогноз с помощью дискретных математических моделей // Евразиатский энтомологический журн. 2011. Т. 10. № 3. С. 280–288.
- Суховольский В.Г., Пономарев В.И., Соколов Г.И., Тарасова О.В., Красноперова П.А. Непарный шелкопряд Lymantria dispar L. на Южном Урале: особенности популяционной динамики и моделирование // Журн. общей биологии. 2015. Т. 76. № 3. С. 179–194.
- Тютюнов Ю.В., Титова Л.И. От Лотки–Вольтерра к Ардити–Гинзбургу: 90 лет эволюции трофических функций // Журн. общей биологии. 2018. Т. 79. № 6. С. 428–448.
- Akaike H. A new look at the statistical model identification // IEEE Transactions on Automatic Control. 1974. V. 19. № 6. P. 716–723.
- Baltensweiler W. The folivore guild on larch (Larix decidua) in the Alps. Forest insect guilds: Patterns of interaction with host trees Radnor: US Forest Service General Technical Report NE-153, 1991. P. 145–164.
- Baltensweiler W., Fischlin A. The Larch Budmoth in the Alps. Dynamics of Forest Insect Populations. Population Ecology. Springer, Boston, MA, 1988. https://doi.org/10.1007/978-1-4899-0789-9_17
- Draper N.R., Smith H. Applied Regression Analysis Ed. 3. N.Y.: Wiley and Sons Inc., 2014. 736 p.
- Kendall B.E., Briggs C.J., Murdoch W.W., Turchin P., Ellner S.P., McCauley E., Nisbet R.M., Wood S.N. Why do population cycle? A synthesis of statistical and mechanistic modeling approaches // Ecology. 1999. V. 80. P. 1789–1805.
- Moran P.A.P. Some remarks on animal population dynamics // Biometrics. 1950. V. 6. № 3. P. 250–258.
- Nedorezov L.V., Sadykova D.L. Dynamics of larch bud moth populations: application of Moran–Ricker models with time lag // Ecological Modelling. 2015. V. 297. P. 26–32.
- Neverova G.P., Yarovenko I.P., Frisman E.Y. Dynamics of populations with delayed density dependent birth rate regulation // Ecological Modelling. 2016. V. 340. № 24. P. 64–73.
- Ricker W.E. Stock and recruitment // Fisheries Research Board of Canada. 1954. V. 11. № 5. P. 559–623.
- Turchin P. Complex Population Dynamics: A Theoretical/Empirical Synthesis. Princeton: Princeton University Press, 2003. P. 472.
- Turchin P. Rarity of density dependence or population regulation with lags? // Nature. 1990. V. 344. P. 660–663.
- Turchin P., Wood S.N., Ellner S.P., Kendall B.E., Murdoch W.W., Fischlin A., Casas J., McCauley E., Briggs C.J. Dynamical effects of plant quality and parasitism on population cycles of larch budmoth // Ecology. 2003. V. 84. № 5. P. 1207–1214.
Қосымша файлдар






