Relations of Phenolic Compounds, Tannins, Lignin, Nitrogen and Carbon in Plants of the Empetro-Piceetum Forests of the Kola Peninsula
- Autores: Artemkina N.A.1
-
Afiliações:
- Institute of Industrial Ecology Problems of the North, Kola Science Centre of the RAS
- Edição: Nº 1 (2023)
- Páginas: 35-43
- Seção: RESEARCH
- URL: https://ogarev-online.ru/0024-1148/article/view/137845
- DOI: https://doi.org/10.31857/S0024114823010047
- EDN: https://elibrary.ru/NGJMDA
- ID: 137845
Citar
Texto integral
Resumo
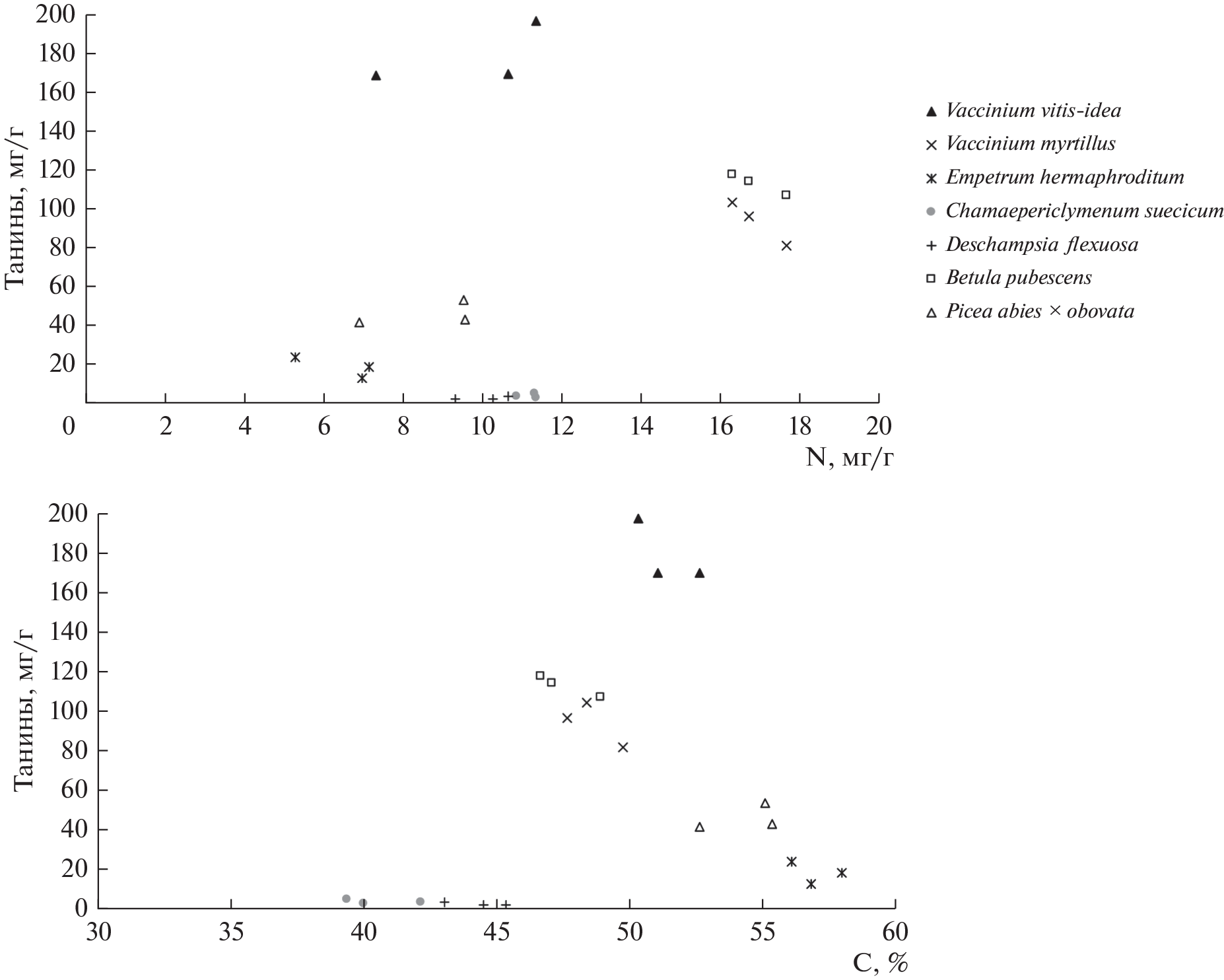
The study presents an analysis of aging (falling) organs (leaves/needles) of the following plants: Siberian spruce (Picea abies ssp. obovata (Ledeb.) Domin), downy birch (Betula pubescens Ehrh), common cowberry (Vaccinium vitis-idaea L.), crowberry hermaphroditic (Empetrum hermaphroditum Hager.), blueberry (Vaccinium myrtillus L.), Schreber’s pleurium (Pleurozium schreberi (Brid.) Mitt.), polytrichum (Polytrichum spp.), dwarf cornel (Chamaepericlymenum suecicum (L.) Aschers. & Graebn. (Cornus suecica L.)), wavy hair-grass (Deschampsia flexuosa (L.) Trin.). A significant variation in the chemical composition (the content of lignin, phenolic compounds, tannins, nitrogen and carbon, as well as the stoichiometric ratios “C/N”, “lignin/N”, “lignin/cellulose”) was found among plants of the northern taiga forests at the interspecific level. The influx of secondary metabolites with litter depends on the plant communities’ species composition and the contribution of various plant species to the vegetation cover’s composition. At the intraspecific level (for Siberian spruce growing in different landscape positions within empetro-piceetum forests (in automorphic, transit and accumulative landscapes)) an increase in the content of soluble tannins (p < 0.05) in spruce needles from the automorphic positions of landscape was determined. Also have been studied some interrelations between secondary metabolites, nitrogen and carbon in the composition of aging photosynthetic organs of dominant plant species in northern taiga empetro-piceetum forests.
Sobre autores
N. Artemkina
Institute of Industrial Ecology Problems of the North, Kola Science Centre of the RAS
Autor responsável pela correspondência
Email: n.artemkina@ksc.ru
Russia, 184200, Murmansk Oblast, Apatity, Academgorodok st., 14a
Bibliografia
- Артемкина Н.А., Орлова М.А., Лукина Н.В. Микромозаика растительности и вариабельность химического состава L-горизонтов подстилки северотаежных ельников кустарничково-зеленомошных // Лесоведение. 2018а. № 2. С. 97–106. https://doi.org/10.7868/S002411481802002X
- Артемкина Н.А., Лукина Н.В., Орлова М.А. Пространственное варьирование содержания вторичных метаболитов, углерода и азота в подстилках северотаежных ельников // Лесоведение. 2018б. № 1. С. 37–47. https://doi.org/10.7868/S0024114818010035
- Колмогорова Е.Ю., Уфимцев В.И. Некоторые особенности химического состава опада сосны обыкновенной, произрастающей в условиях породного отвала // Успехи современного естествознания. 2018. № 11-2. С. 267–272.
- Ларионова А.А., Квиткина А.К., Быховец С.С., Лопес де Гереню В.О., Колягин Ю.Г., Каганов В.В. Влияние азота на минерализацию и гумификацию лесных опадов в модельном эксперименте // Лесоведение. 2017. № 2. С. 128–139.
- Лебедев В.Г., Шестибратов К.А. Генная инженерия биосинтеза лигнина в деревьях: компромисс между свойствами древесины и жизнеспособностью растений // Физиология растений. 2021. Т. 68. № 4. С. 339–355.
- Лебедев В.М., Лебедев Е.В. Вопросы аллелопатии в лесных фитоценозах – состояние и перспективы // Агрохимия. 2015. № 4. С. 85–91.
- Манаков К.Н., Никонов В.В. Биологический круговорот минеральных элементов и почвообразование в ельниках Крайнего Севера. Л.: Наука, 1981. 196 с.
- Шевченко Н.Е., Кузнецова А.И., Тебенькова Д.Н., Смирнов В.Э., Гераськина А.П., Горнов А.В., Грабенко Е.А., Тихонова Е.В., Лукина Н.В. Сукцессионная динамика растительности и запасы почвенного углерода в хвойно-широколиственных лесах Северо-Западного Кавказa // Лесоведение. 2019. № 3. С. 163–176. https://doi.org/10.1134/S0024114819030082
- Aerts R., van Bodegom P.M., Cornelissen J.H.C. Litter stoichiometric traits of plant species of high-latitude ecosystems show high responsiveness to global change without causing strong variation in litter decomposition // New Phytologist. 2012. V. 196. P. 181–188. https://doi.org/10.1111/j.1469-8137.2012.04256.x
- Berg B. Foliar Litter Decomposition: A Conceptual Model with Focus on Pine (Pinus) Litter – A Genus with Global Distribution // ISRN Forestry. 2014. V. 2014. P. 1–22. https://doi.org/10.1155/2014/838169
- Berg B. Litter decomposition and organic matter turnover in northern forest soils // Forest Ecology and Management. 2000. V. 133. P. 13–22.
- Cheynier V., Comte G., Davies K.M., Lattanzio V., Martens S. Plant phenolics: Recent advances on their biosynthesis, genetics, and ecophysiology // Plant Physiology and Biochemistry. 2013. V. 72. P. 1–20.
- Cornwell W.K., Cornelissen J.H.C., Amatangelo K., Dorrepaal E., Eviner V.T., Godoy O., Hobbie S.E., Hoorens B., Kurokawa H., Perez–Harguindeguy N. et al. 2008. Plant species traits are the predominant control on litter decomposition rates within biomes worldwide // Ecology Letters. 2008. V. 11. № 10. P. 1065–1071.
- Fortunel C., Garnier E., Joffre R., Kazakou E., Quested H., Grigulis K., Lavorel S., Ansquer P., Castro H., Cruz P., Doleżal J., Eriksson O., Freitas H., Golodets C., Jouany C., Kigel J., Kleyer M., Lehsten V., Lepš J., Meier T., Pakeman R., Papadimitriou M., Papanastasis V. P., Quetier F., Robson M., Sternberg M., Theau J.-P., Thebault A., Zarovali M. Leaf traits capture the effects of land use changes and climate on litter decomposability of grasslands across Europe // Ecology. 2009. V. 90. № 3. P. 598–611.
- He M., Zhao R., Tian Q., Huang L., Wang X., Liu F. Predominant effects of litter chemistry on lignin degradation in the early stage of leaf litter decomposition // Plant and Soil. 2019. V. 442. P. 453–469. https://doi.org/10.1007/s11104-019-04207-6
- Kanerva S., Kitunen V., Loponen J., Smolander A. Phenolic compounds and terpenes in soil organic horizon layers under silver birch, Norway spruce and Scots pine // Biology and Fertility of Soils. 2008. V. 44. P. 547–556.
- Kivimäenpää M., Riikonen J., Sutinen S., Holopainen T. Cell structural changes in the mesophyll of Norway spruce needles by elevated ozone and elevated temperature in open-field exposure during cold acclimation // Tree Physiology. 2014. V. 34. № 4. P. 389–403.
- Osono T., Takeda H. Accumulation and release of nitrogen and phosphorus in relation to lignin decomposition in leaf litter of 14 tree species // Ecological Research. 2004. V. 19. № 6. P. 593–602.
- Ossipova S., Ossipov V., Haukioja E., Loponen J., Pihlaja K. Proanthocyanidins of mountain birch leaves: quantification and properties // Phytochemical Analysis. 2001. V. 12. № 2. P. 128–133.
- Parton W., Silver W.L., Burke I.C., Grassens L., Harmon M.E., Currie W.S., King J.Y., Adair E.C., Brandt L.A., Hart S.C., et al. Global-scale similarities in nitrogen release patterns during long-term decomposition // Science. 2007. V. 315. P. 361–364. https://www.jstor.org/stable/20035252
- Rosenfield M.V., Keller J.K., Clausen C., Cyphers K., Funk J.L. Leaf traits can be used to predict rates of litter decomposition // Oikos. 2020. V. 129. P. 1589–1596. https://doi.org/10.1111/oik.06470
- Rowland A.P., Roberts J.D. Lignin and cellulose fractionation in decomposition studies using acid-detergent fibre methods // Communications in Soil Science and Plant Analysis. 1994. V. 25. № 3–4. P. 269–277.
- Wardle D.A., Nilsson M.-C., Zackrisson O., Gallet C. Determinants of litter mixing effects in a Swedish boreal forest // Soil Biology and Biochemistry. 2003. V. 35. P. 827–835.
Arquivos suplementares





