Cesium hydrosulfate phosphate crystals: conductivity and real structure at increasing temperature
- Authors: Gainutdinov R.V.1, Tolstikhina A.L.1, Makarova I.P.1, Leesment S.2, Komornikov V.A.1
-
Affiliations:
- Shubnikov Institute of Crystallography of Kurchatov Complex of Crystallography and Photonics of NRC “Kurchatov institute”
- LLC “Xillect”
- Issue: Vol 70, No 1 (2025)
- Pages: 84-89
- Section: ПОВЕРХНОСТЬ, ТОНКИЕ ПЛЕНКИ
- URL: https://ogarev-online.ru/0023-4761/article/view/286285
- DOI: https://doi.org/10.7868/S3034551025010119
- EDN: https://elibrary.ru/ISMTJY
- ID: 286285
Cite item
Abstract
Superprotonic crystals Cs3(HSO4)2(H2PO4) and Cs4(HSO4)3(H2PO4) have been investigated by conducting atomic force microscopy at increasing temperature. Local volt-ampere characteristics have been measured and an increase in conductivity at 413–453 K for Cs3(HSO4)2(H2PO4) and Cs4(HSO4)3(H2PO4) by two and three orders of magnitude, respectively, has been recorded. Differences in the conductive characteristics of crystals of different compositions in the vicinity of the phase transition are shown. Information on topographic and electrical features of crystalline phases before and after exposure to temperature and electric fields has been obtained. The influence of external factors on the stability of the surface microstructure is evaluated. Possible mechanisms of structural-phase transformations of isostructural compounds with different ratio of sulfate and phosphate groups are discussed.
Full Text
Введение
Кристаллы гидросульфата цезия CsHSO4 (CHS) и дигидрофосфата цезия CsH2PO4 (CDP) активно исследуются в связи с перспективами их использования в электрохимических устройствах, в том числе топливных элементах, обеспечивающих прямое преобразование химической энергии в электрическую в области температур 300–500 K [1–9]. Несмотря на накопленный экспериментальный материал для большого числа кристаллов-суперпротоников, до сих пор имеются существенные разногласия в интерпретации связи структуры и свойств суперпротонных фаз, в том числе для сложных соединений гидросульфатфосфатов цезия.
Эффект аномально высокой проводимости у смешанных соединений системы CsHSO4–CsH2PO4 был объяснен, например, удалением кристаллизационной воды [10, 11]. Согласно [10, 11] у соединения β-Cs3(HSO4)2[H 2–x(P1–x, Sx)O4)] (x ~ 0.5) отсутствует суперпротонная проводящая фаза как таковая, а наблюдаемый при 398 K эндотермический эффект обусловлен исключительно процессами дегидратации, которые происходят на поверхности кристалла и способствуют высокой протонной проводимости выше этой температуры. Следует упомянуть, что в [12] аномалии поверхностной проводимости в CHS при некоторой характерной температуре 395 К связывали с фазовыми переходами в поверхностных слоях, но не с адсорбцией (Т > 373 К) и десорбцией (Т ≈ 373 К) воды на поверхности кристалла.
По данным рентгеновской порошковой дифрактометрии переход из низкотемпературной в высокотемпературную проводящую фазу в Cs3(HSO4)2(H2PO4) при 411 К и Cs4(HSO4)3(H2PO4) при 409 К происходит через разделение на составляющие фазы, по своим параметрам сходные с CHS и CDP, а при охлаждении стабилизируется прежняя моноклинная кристаллическая структура [13].
Очевидно, что для описания строения суперпротонных фаз и механизмов фазовых превращений требуются дополнительные данные о поведении системы вблизи фазового перехода c привлечением техник с нанометровым пространственным разрешением. Для изучения суперпротонных соединений может быть эффективно использована атомно-силовая микроскопия (АСМ) с возможностью визуального неразрушающего контроля поверхности и наличием точных методик локального определения разных физических параметров [3, 14–17].
В настоящей работе проведено микроскопическое исследование поверхности и проводящих свойств кристаллических образцов Cs3(HSO4)2(H2PO4) и Cs4(HSO4)3(H2PO4) при температурах вблизи фазового перехода и при комнатной температуре после охлаждения, нацеленное на выявление тонких деталей структурных перестроек в объеме и поверхностных слоях. Оценка реальной роли процессов дегидратации, тесно связанных с состоянием поверхности, формирование высокопроводящих фаз, анализ и сравнение локальных электрических характеристик изоструктурных кристаллических соединений оказались в центре внимания. Было важно проанализировать влияние внешних воздействий на поверхностные характеристики материалов в микромасштабах.
Получение и характеризация кристаллических образцов
Монокристаллы Cs3(HSO4)2(H2PO4) и Cs4(HSO4)3(H2PO4) выращены из водных растворов методом управляемого снижения температуры насыщенного раствора [18]. При комнатной температуре кристаллы имеют моноклинную структуру с пр. гр. C2/c [13]. Образцы для АСМ получены свежим сколом перпендикулярно оси а из монокристаллических образцов, отобранных с использованием стереомикроскопа Nikon SMZ1270 с увеличением до 80×. Обычную форму кристаллов можно охарактеризовать как пластины с однотипной горизонтальной слоистостью структуры или близкой к ней (с ориентацией перпендикулярно оси a), что четко обнаруживается на микро- и макроуровне [19].
Экспериментальные установки и методики измерений
Температурные измерения локальных физических свойств кристаллов проводили на атомно-силовом микроскопе NTEGRA Prima (NT-MDT Spectrum Instruments, Зеленоград) в условиях чистой зоны контрольно-измерительного комплекса “TRACKPORE ROOM-05” (класс чистоты 5 ИСО (100), точность поддержания температуры (Т) воздушной среды в чистой зоне в диапазоне 298 ± 5 K составляла ±0.05 K, при относительной влажности воздуха 35–70% точность составляла ±1%). Кремниевый кантилевер (HA_FM, балка A, ООО “Капелла”, Зеленоград), покрытый Pt, имел следующие характеристики: резонансная частота f = 114 кГц, жесткость k = 6 Н/м, радиус закругления острия R < 35 нм. Локальные вольт-амперные характеристики (ВАХ) измеряли в диапазоне напряжений от −10 до +10 В. Рельеф поверхности образцов изучали в прерывисто-контактном режиме с использованием кантилеверов той же марки.
Методом сканирующей микроскопии Кельвина (СМК) в бесконтактном режиме регистрировали распределение поверхностного потенциала на основе компенсационного принципа (постоянная компонента поданного напряжения UDC подбиралась таким образом, чтобы колебания кантилевера на частоте ω, вызванные переменной компонентой напряжения, отсутствовали). Измерения потенциала проводили в режиме амплитудной модуляции. К образцу прикладывали напряжение смещения переменного тока UAC = 2 В частоты 114 кГц.
Экспериментальные результаты и их обсуждение
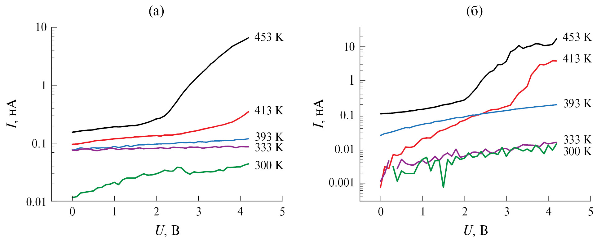
Температурная зависимость локальной проводимости кристаллов. Для изучения температурной зависимости электропроводности от состава соединений были измерены локальные ВАХ вдоль оси а при ступенчатом нагреве образцов до 453 К (рис. 1). Представленные графики зависимостей I(U) контакта зонд–образец для составов Cs3(HSO4)2(H2PO4) (рис. 1а) и Cs4(HSO4)3(H2PO4) (рис. 1б) получены при статичном положении зонда при подаче положительного напряжения смещения от 0 до +5 В. Видно, что ВАХ обоих соединений проявляют общие черты. В области температур 300–393 К наиболее характерной является ВАХ, имеющая близкую к линейной зависимость силы тока от напряжения, что свидетельствует о преимущественно омическом механизме проводимости. При 453 К существенно изменяется вид ВАХ – на участке U > +2 В резко возрастает ток, что указывает на переходы в высокотемпературную фазу с высокой ионной проводимостью. При 293 К проводимость σDC = 9.43 × 10–2 Ом–1·см–1 для Cs3(HSO4)2(H2PO4), σDC = 3.34 × 10–2 Ом–1·см–1 для Cs4(HSO4)3(H2PO4). При 453 К (U = +4 В) σDC = 1.34 × 101 Ом–1·см–1 для состава Cs3(HSO4)2(H2PO4), σDC = 2.77 × 101 Ом–1·см–1 для состава Cs4(HSO4)3(H2PO4), что выше на 2 и 3 порядка соответственно, чем в низкотемпературном состоянии. В области температур 413–453 К зависимости I(U) показывают рост проводимости для обоих образцов. Эта область соответствует первой ступени термической диссоциации смешанных соединений, когда кристалл переходит в смесь высокотемпературных тетрагональных и кубических суперпротонных фаз [13].
Рис. 1. Локальные ВАХ образцов Cs3(HSO4)2(H2PO4) (а) и Cs4(HSO4)3(H2PO4) (б), зарегистрированные вдоль оси а в атмосферных условиях при 300, 333, 393, 413, 453 К.
Рассмотрим подробно при некоторой средней температуре 393 К характеристики образцов, которые указывают на различный характер проводимости вблизи фазового перехода (рис. 2). Локальная ВАХ кристаллов Cs3(HSO4)2(H2PO4) имеет диодный характер – большой однонаправленный ток формируется при напряжении на образце начиная с U = +5 В (рис. 2). Такой же диодный характер ВАХ при положительном напряжении на образце наблюдался у протонпроводящих мембран на основе Nafion, когда к зонду АСМ притягиваются положительные носители заряда из образца и протекание тока между зондом и поверхностью приводит к истощению локальной проводимости [20]. Локальная ВАХ кристаллов Cs4(HSO4)3(H2PO4) имеет линейный характер при положительном и отрицательном напряжении на образце, если преобладающей является электронная проводимость (рис. 2). То есть при нагреве соединений в окрестности фазовых переходов наблюдается одновременное наличие ионной и электронной проводимости, однако доля электронной у Cs4(HSO4)3(H2PO4) немного выше, чем у Cs3(HSO4)2(H2PO4).
Рис. 2. Локальные ВАХ образцов, зарегистрированные вдоль оси а при 393 K: а – Cs3(HSO4)2(H2PO4), б – Cs4(HSO4)3(H2PO4).
На данном этапе работы в результате измерения локальных ВАХ получено подтверждение роста проводимости на 2–3 порядка при структурных фазовых переходах в кристаллах гидросульфатфосфатов цезия, связанное с движением протонов. Аналогичные выводы были сделаны при АСМ-измерениях локальных ВАХ кристаллов CHS при 413 К [14]. Для получения фундаментальных характеристик электропроводности как функции температуры требуются дополнительные исследования сложных соединений. Как известно, зондовые измерения в контактном режиме при температурах фазового перехода сопряжены со сложностями из-за сверхпластичности суперпротонной фазы кристаллов [14]. При приближении к температуре фазового перехода возникают значительные искажения и нарушения в кристаллах, увеличивается степень дефектности образцов. Дефекты структуры, перемещения протонов на водородных связях, переориентация сульфатных и фосфатных групп, а также миграция более тяжелых ионов действуют как носители заряда и вносят свой вклад в электрическую проводимость.
Морфология кристаллических поверхностей и поверхностный потенциал. Для уточнения микроскопических механизмов структурных изменений были изучены кристаллы после одноразового цикла – нагрев до 393 К и охлаждение до комнатной температуры. При термообработке произошла перестройка кристаллической структуры без изменения первоначальной внешней формы образцов. На изображениях поверхности, ориентированной перпендикулярно оси а, можно видеть, как кристаллы разбиваются на отдельные субмикроскопические блоки и кристаллические агрегаты (рис. 3). Например, в образце Cs3(HSO4)2(H2PO4) формируются участки новой фазы размером в несколько микрон с мозаичной структурой (рис. 3а, 3б). Длина блоков составляет 350–2100 нм (среднее значение 840 нм), ширина – 300–1500 нм (среднее значение 540 нм), перепад высот – 5500 нм (рис. 3б). Поверхностный потенциал распределен однородно в пределах отдельных блоков, исключая границы между ними (рис. 3в). Для Cs4(HSO4)3(H2PO4) характерны микроблоки пластинчатой формы с различной пространственной ориентацией и более мелкие кристаллиты (рис. 3г, 3д), а также прослеживаются отдельные двойниковые прослойки (рис. 3г). Между блоками и кристаллитами поверхности имеются каналы и пустоты глубиной до нескольких микрон (рис. 3а, 3б, 3г, 3д). Иными словами, тепловое воздействие приводит к развитию блоковой структуры и нарушению сплошности поверхностных слоев кристалла. Особенностью пространственной структурной организации моноклинных фаз является морфологически устойчивая пластинчатая форма блоков-кристаллитов после перекристаллизации.
Рис. 3. АСМ-изображения поверхности образцов при 296 К, предварительно нагретых до 393 К: а, б, в – Cs3(HSO4)2(H2PO4), г, д, е – Cs4(HSO4)3(H2PO4). Топография (а, б, г, д), поверхностный потенциал (в, е). Плоскость изображения перпендикулярна оси а.
Поверхность образованных после нагрева (после перекристаллизации) моноклинных фаз положительно заряжена: поверхностный электростатический потенциал UCPD составляет 65–200 мВ для образцов Cs3(HSO4)2(H2PO4), 20–60 мВ для образцов Cs4(HSO4)3(H2PO4). Для монокристаллов величина потенциала была несколько выше – 95–300 мВ. Можно сделать вывод, что при структурной перестройке в объеме поверхностный потенциал не меняет знак, т.е. электрические характеристики и, по-видимому, кислотно-основные свойства поверхности сложных соединений мало изменяются.
Одним из необходимых условий для понимания структурных изменений является измерение структурного отклика на внешнее воздействие, например на электрическое поле. Эксперименты показали, что в полях АСМ-зонда, покрытого платиной, катализирующей реакции дегидратации, не образуются каналы выхода воды из объема и нанопузырьки, как, например, в суперпротонных кристаллах кислых солей сульфата калия-аммония [21]. Поверхность слабо подвержена воздействию атмосферной влаги и электрических полей. Кристалл Cs3(HSO4)2(H2PO4) не реагирует на подачу напряжения до 40 В в течение 10 с (выше – переключается под зондом). Образец Cs4(HSO4)3(H2PO4) менее устойчив и переключается уже при 15 В и разрушается при 25 В. Для сравнения заметим, что водородсодержащий кристалл триглицинсульфат разрушается под зондом уже при 10 В.
Следует отметить, что наиболее подверженной изменениям и перестройкам оказалась поверхность моноклинных кристаллов, перпендикулярная оси а, поскольку ее формирование уже связано с разрывом разупорядоченных водородных связей, соединяющих группы SO4, которые из-за участия только двух атомов кислорода в этих водородных связях могут совершать реориентационные колебания [22]. Кристаллы Cs3(HSO4)2(H2PO4) и Cs4(HSO4)3(H2PO4) обладают физическими свойствами, коррелирующими с соотношением групп SO4 и PO4 в элементарной ячейке и с некоторой ориентационной свободой групп SO4. Вместе с тем результаты исследования реальной структуры говорят о том, что нарушения однородности строения кристаллов и типы дефектов не остаются постоянными при нагреве и охлаждении образцов и могут изменяться в зависимости от условий кристаллизации. Электрофизические, поляризационные и другие физико-химические свойства суперпротоников нельзя рассматривать вне зависимости от их реальной структуры, в том числе поверхности.
Заключение
Микроскопическое исследование поверхности и температурной зависимости проводящих свойств сложных кристаллических соединений способствует более глубокому пониманию структурных аспектов изменения их функциональных свойств. Наличие точных данных об атомной структуре моноклинных кристаллов Cs3(HSO4)2(H2PO4) и Cs4(HSO4)3(H2PO4) послужило основой для выбора наиболее информативной кристаллографической плоскости, а именно перпендикулярной оси а, и изучения локальных свойств и морфологии соответствующей поверхности методами АСМ in situ и ex situ с наномасштабным пространственным разрешением. Сравнительное исследование двух изоструктурных соединений гидросульфатфосфатов цезия выявило наличие корреляционных связей между их свойствами и структурой на уровне атомных и нанометровых масштабов. Методами АСМ установлено формирование неоднородного дефектного строения поверхностных слоев уже при подходе к фазовому переходу, а также такие характеристики материалов, как положительный электрический потенциал поверхности моноклинных фаз разной степени кристалличности, относительная устойчивость к воздействию внешних электрических полей и атмосферной влажности.
Важным результатом данного этапа работы стало подтверждение образования высокотемпературных проводящих фаз в исследуемых соединениях методом АСМ. Впервые для кристаллов Cs3(HSO4)2(H2PO4) и Cs4(HSO4)3(H2PO4) измерены локальные вольт-амперные характеристики вдоль оси а и зарегистрирован рост проводимости на 2 и 3 порядка соответственно при 413–453 К. Показаны общие черты и различия характера локальной проводимости при 393 К образцов различного состава, связанные с перестройками как атомной, так и реальной структуры кристаллов при фазовых переходах.
Работа выполнена в рамках Государственного задания НИЦ “Курчатовский институт”.
About the authors
R. V. Gainutdinov
Shubnikov Institute of Crystallography of Kurchatov Complex of Crystallography and Photonics of NRC “Kurchatov institute”
Email: alla@crys.ras.ru
Russian Federation, Moscow
A. L. Tolstikhina
Shubnikov Institute of Crystallography of Kurchatov Complex of Crystallography and Photonics of NRC “Kurchatov institute”
Author for correspondence.
Email: alla@crys.ras.ru
Russian Federation, Moscow
I. P. Makarova
Shubnikov Institute of Crystallography of Kurchatov Complex of Crystallography and Photonics of NRC “Kurchatov institute”
Email: alla@crys.ras.ru
Russian Federation, Moscow
S. Leesment
LLC “Xillect”
Email: alla@crys.ras.ru
Russian Federation, Moscow
V. A. Komornikov
Shubnikov Institute of Crystallography of Kurchatov Complex of Crystallography and Photonics of NRC “Kurchatov institute”
Email: alla@crys.ras.ru
Russian Federation, Moscow
References
- Haile S.M., Boysen D.A., Chisholm C.R.I., Merle R.B. // Nature. 2001. V. 410. P. 910. https://doi.org/10.1038/35073536
- Pawlaczyk Cz., Pawłowski A., Połomska M. et al. // Phase Transitions. 2010. V. 83. P. 854. http://dx.doi.org/10.1080/01411594.2010.509159
- Louie M.W., Hightower A., Haile S.M. // ACS Nano. 2010. V. 4. № 5. P. 2811.
- Paschos O., Kunze J., Stimming U., Maglia F. // J. Phys.: Condens. Matter. 2011. V. 23. P. 234110. http://dx.doi.org/10.1088/0953-8984/23/23/234110
- Ponomareva V., Lavrova G. // Solid State Electrochem. 2011. V. 15. P. 213. https://doi.org/10.1007/s10008-010-1227-1
- Dupuis A.-C. // Progress in Materials Science. 2011. V. 56. P. 289. http://dx.doi.org/10.1016/j.pmatsci.2010.11.001
- Mohammad N., Mohamad A.B., Kadhum A.A.H., Loh K.S. // J. Power Sources. 2016. V. 322. P. 77. https://doi.org/10.1016/j.jpowsour.2016.05.021
- Aili D., Gao Y., Han J., Li Q. // Solid State Ionics. 2017. V. 306. P. 13. http://dx.doi.org/10.1016/j.ssi.2017.03.012
- Colomban P. // Solid State Ionics. 2019. V. 334. P. 125. https://www.researchgate.net/publication/331249475
- Ortiz E., Vargas R.A., Tróchez J.C. et al. // J. Phys. Status Solidi. C. 2007. V. 4. № 11. P. 4070. https://doi.org/10.1002/pssc.200675933
- Ortiz E., Piñeres I., León C. // J. Therm. Anal. Calorim. 2016. V. 126. P. 407. https://doi.org/10.1007/s10973-016-5474-y
- Баранов А.И., Синицин В.В., Понятовский Е.Г. и др. // Письма в ЖЭТФ. 1986. Т. 44. Вып. 44. С. 186.
- Mikheykin A.S., Chernyshov D.Yu., Makarova I.P. et al. // Solid State Ionics. 2017. V. 305. P. 30. https://doi.org/10.1016/j.ssi.2017.04.017
- Papandrew B., Li Q., Okatan M.B. et al. // Nanoscale. 2015. V. 7. P. 20089. https://doi.org/10.1039/c5nr04809e
- Kalinin S., Dyck O., Balke N. et al. // ACS Nano. 2019. V. 13. № 9. P. 9735. https://doi.org/10.1021/acsnano.9b02687
- Kempaiah R., Vasudevamurthy G., Subramanian A. // Nano Energy. 2019. P. 103925. https://doi.org/10.1016/j.nanoen.2019.103925
- Гайнутдинов Р.В., Толстихина А.Л., Селезнева Е.В., Макарова И.П. // ЖТФ. 2020. № 11. С. 1843. https://doi.org/10.21883/JTF.2020.11.49972.116-20
- Коморников В.А., Гребенев В.В., Макарова И.П. и др. // Кристаллография. 2016. Т. 61. № 4. С. 645. https://doi.org/10.1134/S1063774516040106
- Гайнутдинов Р.В., Толстихина А.Л., Селезнева Е.В. и др. // Кристаллография. 2024. Т. 69. № 3. С. 470. https://doi.org/10.31857/S0023476124030129
- Анкудинов А.В., Гущина Е.В., С.А. Гуревич С.А. и др. // Международный научный журнал “Альтернативная энергетика и экология”. 2008. № 10 (66). С. 30.
- Гайнутдинов Р.В., Толстихина А.Л., Селезнева Е.В. и др. // Кристаллография. 2023. Т. 68. № 2. С. 290. https://doi.org/10.31857/S0023476123020066
- Makarova I.P., Isakova N.N., Kalyukanov A.I. et al. // Acta Cryst. B. 2024. V. 80. P. 201. https://doi.org/10.1107/s2052520624003470 Q2
Supplementary files
Note
In the print version, the article was published under the DOI: 10.31857/S0023476125010119





