К вопросу о механизме роста кристаллов лактозы из пересыщенных растворов
- Авторы: Фиалкова Е.А.1, Шевчук В.Б.1, Гнездилова А.И.1, Виноградова Ю.В.1, Баронов В.И.1
-
Учреждения:
- Вологодская государственная молочнохозяйственная академия им. Н.В. Верещагина
- Выпуск: Том 69, № 4 (2024)
- Страницы: 720-729
- Раздел: РОСТ КРИСТАЛЛОВ
- URL: https://ogarev-online.ru/0023-4761/article/view/264438
- DOI: https://doi.org/10.31857/S0023476124040191
- EDN: https://elibrary.ru/XBLCGF
- ID: 264438
Цитировать
Полный текст
Аннотация
Представлено обоснование существования зон кавитации на гранях растущего кристалла лактозы и ее движущей роли в процессе роста кристалла. Показано, что наиболее благоприятные условия для преобразования растворенной лактозы в кристаллическую форму создаются вокруг ребер кристалла в зонах фазового перехода. Рассчитан размер зоны фазового перехода кристаллизующегося вещества и сопоставлен с имеющимися данными о размере кристаллических зародышей. Получены значения радиуса зон кавитации, которые составили r2 ~ 7 нм (для кристалла размером 60.5 мкм, при температуре 30°C и пересыщении 0.55) и r2 ~ 30 нм (для кристалла размером 84 мкм, при температуре 50°C и пересыщении 1.88). Предложена математическая модель скорости роста кристалла лактозы в пересыщенном растворе. Обоснована возможность изучения механизмов кристаллизации и определения скорости роста кристаллов лактозы на основе теории динамического взаимодействия тел и жидкости А.Я. Миловича.
Полный текст
Введение
Изучением процессов кристаллизации современная наука занимается более 100 лет. Первые теоретические представления о них были заложены на рубеже XVIII и XIX столетий. Уже тогда высказывались различные предположения о том, по какому механизму происходят возникновение и рост кристаллов [1].
Наиболее широкое распространение получила теория кристаллизации из растворов Гиббса, основанная на положении о термодинамическом равновесии [2]. Но некоторые выводы из положений этой теории не соответствуют результатам экспериментальных данных. Например, форма образующегося кристалла должна стремиться к минимуму свободной поверхностной энергии, т. е. к шару, однако габитус кристаллов характеризуется ярко выраженными гранями и ребрами. Кроме того, образование нового слоя на кристалле происходит при значительно меньшем пересыщении раствора, чем это необходимо согласно теории. Скорость роста кристаллов при малых пересыщениях растворов отличается от теоретически рассчитанной примерно в 101400 раз [3]. В связи с этим представляет интерес теоретическое обоснование образования ребер на поверхности кристалла, а также влияния пересыщения раствора его температуры и некоторых других физических параметров веществ, образующихся в процессе кристаллизации, на скорость роста кристалла.
Развитие альтернативных теорий кристаллизации, в частности теорий ориентированного сращивания кристаллов, связано прежде всего с эмпирическими наблюдениями за процессом роста кристаллов [1, 4, 5]. Эти теории получили признание с появлением многочисленных подтверждающих их экспериментальных исследований. Но, к сожалению, и они не отвечают на ряд вопросов о механизме роста кристаллов. Например, они не дают количественной зависимости скорости роста кристалла от степени пересыщения раствора и его температуры [6–8]. В настоящее время нет единой теории, полностью описывающей многообразие процесса кристаллизации, которая объясняла бы механизм регулярного присоединения моноразмерных частиц как условие постройки совершенных кристаллов [5, 9].
Поскольку рост кристалла происходит за счет присоединения к нему растворенного вещества, то логично предположить, что характер движения раствора вокруг кристалла оказывает существенное влияние на процесс кристаллизации. Кроме того, температура раствора и размер растущего кристалла влияют как на гидродинамические потоки, так и на скорость роста кристалла. Согласно различным теориям зародышеобразования, а также эмпирическим исследованиям по изучению размеров кристаллических зародышей различных соединений их размер составляет от 0.22–0.36 нм до 0.1–1 мм [10–12]. В результате исследований кристаллизации лактозы получены данные о размере кристаллических зародышей, которые составляют от 0.89 до 3.4 нм [13, 14].
Я.Б. Зельдович, развивая идеи Гиббса, допускал появление в растворе в процессе кристаллизации областей разрыва жидкости, образующихся при отрицательных давлениях, – областей кавитации, в которых и происходит рост кристалла [15]. В этой связи возникает необходимость определения гидродинамических характеристик потока, обтекающего кристалл, обоснования существования зон кавитации, их размеров вблизи кристалла, сопоставления размера этих зон с эмпирическими данными о размере кристаллических зародышей лактозы, присоединяющихся к кристаллу [13, 14].
Цель работы – теоретическое обоснование механизма и скорости роста кристаллов лактозы в пересыщенном растворе на основе теории динамического взаимодействия тел и жидкости.
Математическая модель эксперимента
Если рассматривать гидродинамические потоки вблизи кристалла с точки зрения теории динамического взаимодействия тел и жидкости, то поле линий хода жидкостного потока, обтекающего твердое тело, аналогично полю магнитных линий, возникающих под действием электромагнита [16, 17]. На боковой поверхности обтекаемого тела возникают вихри, которые визуально наблюдаются при многочисленных экспериментах, при этом они не учитываются теорией пограничного слоя. Отметим, что Прандтль, основатель теории пограничного слоя жидкости, обтекающей тело, развивая свою теорию, пришел к выводу, что при обтекании жидкостью тел малой протяженности возникают завихрения потока [18].
В качестве объекта исследования рассмотрим рост кристаллов лактозы в пересыщенном водном растворе.
Впервые морфология кристаллической лактозы была описана в конце XIX в. Шабусом, впоследствии Вульфом, Траубе и Гротом. Кристалл лактозы описан как моноклинный клиновидный. Полностью сформированный кристалл лактозы имеет одну двойную ось, проходящую через основание и вершину. Поскольку кристалл имеет очень низкий порядок симметрии, у него отсутствуют центр и плоскости симметрии. Он имеет трапециевидные боковые грани, ромбические вершину и нижнюю часть, а также скошенные грани у основания и вершины, придающие кристаллу отчетливый вид “томагавка” [19, 20].
Размер элементарной ячейки кристаллической структуры лактозы в направлениях трех перпендикулярных осей составляет ~0.7982 × 2.1562 × 0.4824 нм. Эти данные получены методом дифракции рентгеновских лучей [21].
На ранних стадиях своего развития кристаллы лактозы выглядят как очень тонкие пластины трапецеидальной формы. Эти усеченные треугольники увеличиваются в площади и утолщаются, демонстрируя ромбовидное основание, параллельное едва заметной ромбовидной поверхности на вершине. По мере роста кристаллов их основание начинает скашиваться, а позже вершина также приобретает скошенную форму. На полной стадии развития кристалл имеет 10 граней. Шесть сторон имеют трапецеидальную форму, а основание и вершина – ромбическую. Во многих кристаллах угол скосов таков, что, по-видимому, отсутствуют грани основания и вершины [19].
Особенностью кристаллизации лактозы является то, что в зависимости от условий протекания этого процесса, а именно, пересыщения, температуры, наличия примесей в растворе, меняются темпы роста различных граней кристалла. Таким образом кристалл лактозы приобретает различные формы: это может быть традиционный “томагавк” либо ромбовидная пластина, игольчатая форма, пирамида или призма [19, 22–30].
Одной из наиболее распространенных форм развитого кристалла лактозы является “томагавк” (рис. 1). При этом соотношение сторон в нем соответствует параметрам: а:b:c = 1:0.62:0.2. Наиболее толстая сторона кристалла, являющаяся основанием треугольника в сечении, составляет 1/5 часть от его определяющего размера [19, 31]. Тогда в основании b = 0.62а, а c = 0.2а.
Рис. 1. Типичный кристалл лактозы в форме томагавка с индексами Миллера для его граней (а) и фотография кристалла с увеличением в 62 раза [20] (б); упрощенная геометрическая модель кристалла лактозы (в), (г).
Для упрощения математического анализа гидродинамического взаимодействия кристалла с окружающим его раствором перейдем от реальной формы кристалла к его упрощенной геометрической модели в форме прямоугольного параллелепипеда с соотношением размеров: а:b:h = 1:0.62:0.1. Будем считать что в процессе роста кристалла при постоянном пересыщении раствора увеличение грани а соответствует приросту грани (010) реального кристалла (рис. 1а).
Если рассматривать кристалл лактозы в пересыщенном растворе, то скорость движения раствора относительно кристалла v0 обусловлена скоростью ловиц–вульфовского концентрационного потока, v0, движущей силой которого является градиент плотности раствора, обтекающего кристалл вследствие обеднения маточного раствора у поверхности кристалла в процессе кристаллизации. Кроме того, кристалл перемещается относительно жидкости за счет действия массовых сил:
(1)
где k – коэффициент, учитывающий особенности формирования концентрационного потока; ρнас – плотность насыщенного раствора, кг/м3; jп – коэффициент формы (для пластинчатой формы jп = 0.43); dэкв – эквивалентный диаметр кристалла, м; ρк – плотность кристалла, кг/м3; ρж – плотность раствора, кг/м3; g – ускорение свободного падения, м/с2; µж – динамическая вязкость раствора, Па·с; h – толщина кристалла, м.
Если рассматривать кристалл как пластину, имеющую малую толщину, обтекаемую потоком жидкости со скоростью v0 в направлении оси Y (рис. 2), то согласно теории динамического взаимодействия тел и жидкости [18] на ее краях будут образовываться вихревые шнуры О1 и О2 конечных размеров. Окружная скорость потока в вихревых шнурах обратно пропорциональна расстоянию до оси этих вихревых шнуров, проходящих через точки А и В. Поэтому теоретически при приближении к оси вихревого шнура скорость потока неограниченно возрастает, при этом статическое давление теоретически может падать до отрицательных значений и образования зон кавитации, что создает условия, согласно [15], для возникновения кристаллических зародышей.
Рис. 2. Поток пересыщенного раствора, обтекающий свободно падающий кристалл [18]: Х, Y – оси координат, А и В – центры вихревых шнуров, l1 и l2 – радиальные координаты расположения точки m, х и у – декартовы координаты точки m, О1 и О2 – вихревые потоки, v0 – скорость движения жидкой среды.
Поскольку часть потока жидкости шириной a не может протекать сквозь пластину, масса жидкости (v0aρ) вынуждена обтекать ее снаружи, проходя мимо ее краев А и В, вследствие чего должны появиться вихревые шнуры О1 и О2, параллельные между собой и вращающиеся в противоположных направлениях (рис. 2). Таким образом, скорость потока жидкости вокруг пластины складывается из суммы скоростей прямолинейного движения жидкости вдоль оси Y с постоянной скоростью v0 и скоростью ω вихревых потоков О1 и О2. Окружная скорость потока в каждой точке вихревого шнура обратно пропорциональна расстоянию до соответствующего центра вихря А или В. Тогда связь между полярными и декартовыми координатами в точках А и В имеет вид
(2)
Проекции скорости частицы m на оси X и Y:
(3)
где С – постоянная, характеризующая напряжение вихревых шнуров [18].
Если рассматриваемая точка m приближается к одному из центров вихрей (например, l1 << l2), то ее окружная скорость будет определяться соответствующим вихрем (в частности, вихрем с центром в точке А). Тогда (3) примет вид
(4)
Для того чтобы выполнялось условие перемещения краев пластины со скоростью v0, необходимо выполнение условия C = av0. Тогда скорость потока вокруг точки А:
(5)
Путем аналогичных рассуждений получим скорость вихревого потока на радиусе l2. Поскольку вихревые потоки симметричны, заменим l1 и l2 на r. После преобразования будем иметь скорость вихревого потока:
(6)
Как видно из формулы (6), скорость потока увеличивается по мере уменьшения радиуса вихревого потока r. При увеличении скорости потока растет динамическое давление, при этом статическое давление падает. На радиусе r2 оно достигает давления насыщения, а на радиусе r1 – нулевого значения.
Следовательно, часть кольцевого потока, ограниченная радиусом r1 и r2, является областью, в которой происходит фазовый переход водной фазы раствора в парообразное состояние и частично в твердое состояние, сопровождающееся явлением сублимации. Это те зоны разрыва, или кавитации, о существовании которых высказывал предположение Я.Б. Зельдович. Пересыщение кристаллизующегося вещества в этих зонах мгновенно возрастает и происходит его спонтанная кристаллизация в виде отдельных зародышей.
Рассмотрим часть потока на расстоянии r = r2 от его оси, где давление за счет большой скорости окружного потока стремится к давлению насыщения (рис. 3). Для достижения давления насыщения Рнп скорость потока ω2 должна составлять
м/с, (7)
где Рнп – давление насыщенного пара при температуре на 10°C ниже температуры кристаллизата [32].
Рис. 3. Вихревые шнуры, возникающие в результате обтекания пластины (кристалла) жидкостью.
При этом давлении начинается процесс парообразования, вода начинает испаряться, концентрация раствора – повышаться, и возникают благоприятные условия для образования зародышей кристаллов. Далее при приближении к оси вихря скорость потока увеличивается, давление падает (теоретически) до достижения нулевого значения. В этой области возникают более благоприятные условия для образования зародышей кристаллов, так как при давлении 613.2 Па начнется процесс сублимации и оставшаяся влага вместе с кристаллизующимся веществом перейдет в твердое состояние. Для достижения нулевого значения давления скорость потока ω1 на радиусе r1 (рис. 3) должна составлять
(8)
Определим радиус начала области фазового перехода r2 и нулевого давления r1 вокруг оси вихревого шнура. Для этого приравняем (6) и (7), а также (6) и (8), заменяя r в (6) на r2 и r1. После преобразований получим выражения для r1, r2 и Δr:
(9)
Объем парожидкостной и частично сублимирующей среды с включенными в нее зародышами кристаллов, протекающий через слой фазового перехода вокруг условного кристалла в единицу времени Q, можно определить из зависимости
(10)
где ωс – скорость потока в слое фазового перехода, м/с.
Поскольку плотность пара во много раз меньше плотности жидкости и твердых включений, состоящих из пористых сублимирующих частиц замерзшей жидкости и зародышей, расход потока через зону фазового перехода будет определяться только расходом паровой фазы. Допустим, что при прохождении через зону фазового перехода вся вода, содержащаяся в растворе, испарится. Тогда расход пара М, протекающего через пограничный слой, составит
(11)
Будем считать, что лактоза, создающая пересыщение раствора, проходящего через слой фазового перехода, кристаллизуется. Тогда объем лактозы ΔVк, кристаллизующейся в единицу времени, составит
(12)
где Δс – абсолютное пересыщение лактозы в растворе, кг/1кг Н2О.
Таким образом, можно рассчитать прирост в единицу времени каждой грани кристалла в отдельности. Если перейти к реальному кристаллу (рис. 1а), в направлении наибольшей оси (010) он составит
(13)
Как известно, не все зародыши кристаллов оседают на поверхности растущего кристалла. Многочисленные эксперименты, описанные в [33, 39], показывают, что часть зародышей, образованных в приграничной области, смывается с поверхности кристалла и уносится в раствор гидродинамическим или концентрационным потоком, где впоследствии растворяется или становится источником нового роста. Это явление усиливается с увеличением температуры и степени пересыщения раствора [39]. Кроме того, траектория их движения может изменяться под действием центробежных и центростремительных сил, сил межмолекулярного взаимодействия, а также дальнодействующих “силовых” полей [3]. В частности, в [34–36] было обнаружено возникновение шлейфа мелких кристаллических зародышей за движущимся в пересыщенном растворе кристаллом. На основании сказанного выше введем в математическую модель поправочный коэффициент ζ, учитывающий частичные потери кристаллических зародышей, образующихся в зоне кавитации вихревого потока вокруг кристалла.
Последовательно заменяя ΔVк из (12), M из (11), Q из (10), Δr из (9), ω1 из (8), v0 из (1) и преобразуя, получим выражение для скорости роста грани (010) кристалла в общем виде:
(14)
Обсуждение результатов
Рассматривая полученную математическую модель скорости роста отдельных граней и кристалла лактозы в пересыщенном растворе, можно отметить, что она увеличивается с увеличением пересыщения раствора и пропорциональна плотности насыщенных паров, образующихся в слое фазового перехода. В свою очередь, плотность и давление насыщенного пара и плотность раствора зависят от его температуры. Скорость роста кристалла увеличивается с увеличением его размеров и изменением направления роста, что также подтверждается многочисленными эмпирическими исследованиями [39, 40, 45].
В [30, 37, 38] получены экспериментальные данные о скорости роста кристаллов лактозы в процессе массовой кристаллизации при постоянном снижении пересыщения раствора, что в основном соответствует технологическим процессам кристаллизации. В этих исследованиях отсутствуют данные о скорости роста отдельных кристаллов лактозы в условиях постоянного пересыщения и температуры.
Представляют значительный интерес результаты экспериментальных исследований по изучению скорости роста отдельных граней кристаллов лактозы при различных постоянных температурах и пересыщениях, выполненных в [39, 40]. Эксперимент заключался в следующем. Заранее подготовленный кристалл лактозы помещали в установку, представляющую собой кювету, состоящую из двух камер. Вода желаемой температуры перекачивалась через нижную камеру кюветы, чтобы поддерживать температуру постоянной в верхней камере, в которой находились перенасыщенный раствор и исследуемый кристалл. Скорость роста отдельных граней кристаллов лактозы определялась при 30, 40 и 50°C. Каждый опыт проводился при восьми различных пересыщениях от 0.55 до 2.33. Количество кристаллов, фиксированных при каждом пересыщении, было от 16 до 55. Общее количество кристаллов, фиксированных при каждой температуре, составляло не менее 240. Увеличение длины конкретной грани измерялось через определенные промежутки времени, скорость роста вычислялась как увеличение расстояния в направлении перпендикуляра к данной грани в минуту, рассчитанное с учетом углов между гранями.
Полученный в [39, 40] значительный объем эмпирических данных о скорости роста отдельных граней кристалла лактозы при постоянном пересыщении и температуре позволил сопоставить их с полученной математической моделью скорости роста (010) грани (14).
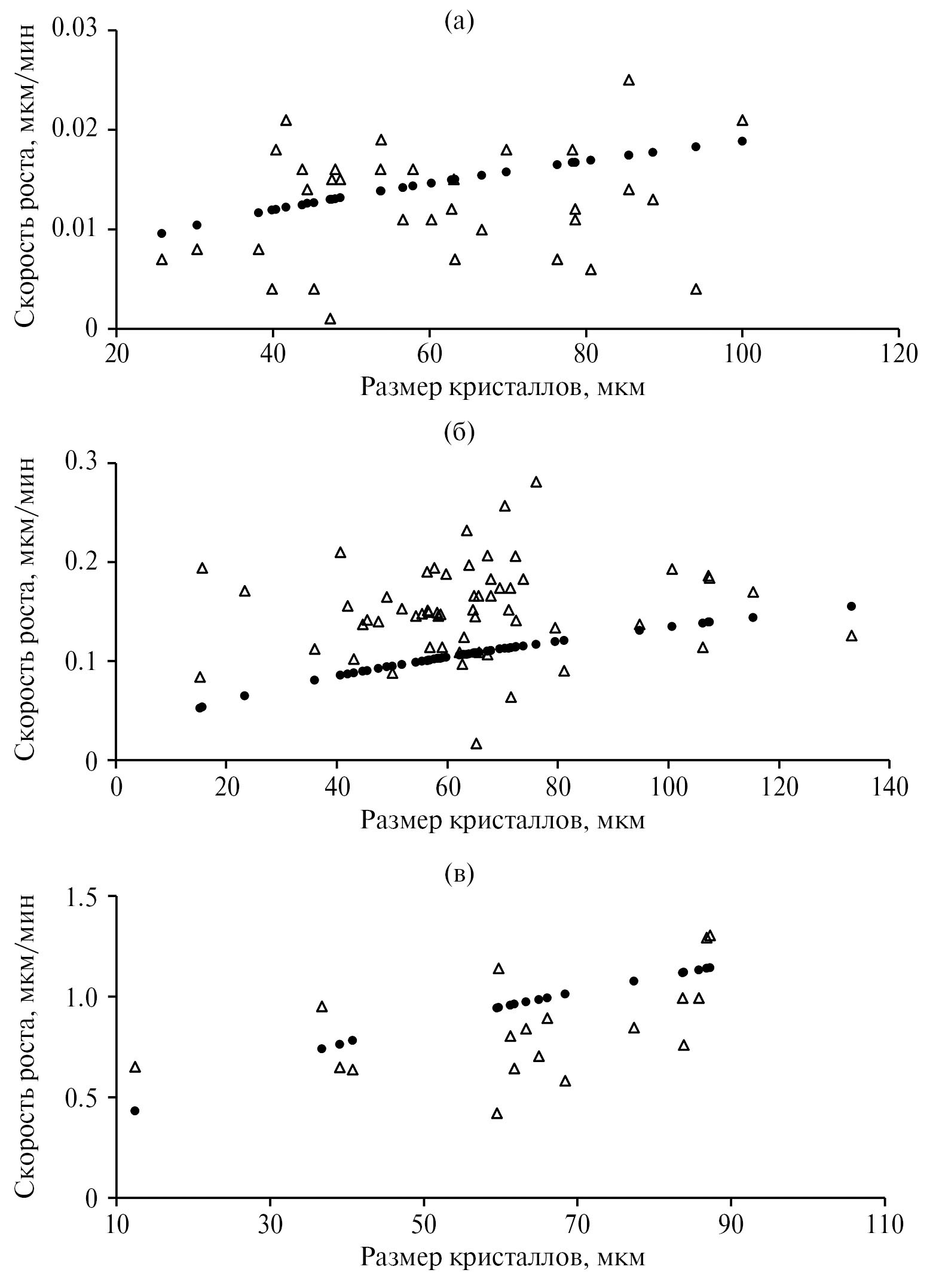
На рис. 4 представлены данные экспериментальных исследований зависимости скорости роста (010) грани кристалла лактозы от начального размера кристалла при различных пересыщениях при температуре 30°C [39]. Также приведены данные, полученные теоретически при учете того, что кристалл располагается на дне емкости, и массовые силы не приводят к его перемещению. Значение коэффициентов k и ζ, учитывающих особенности концентрационных потоков и потерь зародышей из зоны кавитации, зависят от условий проведения процесса кристаллизации. В первом приближении примем условно kζ = 1. Тогда (14) примет вид
(15)
Как видно из рис. 4, скорость роста кристаллов увеличивается с увеличением пересыщения раствора и начального размера кристалла. При этом наблюдается значительная дисперсия скоростей роста экспериментальных данных, что может быть связанно с индивидуальными особенностями отдельных кристаллов, гидродинамическими условиями в которых они находятся, сложностью проведения эмпирического наблюдения и анализа данных, величиной выборки и другими факторами. В свою очередь, предложенная математическая модель скорости роста, результаты которой также представлены на рис. 4, адекватно характеризует процесс роста кристалла лактозы в пересыщенном водном растворе и может быть использована для управления процессами кристаллизации.
Рис. 4. Зависимость скорости роста кристаллов лактозы от его размера при температуре 30°C и пересыщении 0.55 (а), 1.29 (б) и 2.75 (в); Δ – опытные данные [39], • – теоретические данные (формула 15).
На рис. 5 представлены литературные данные экспериментальных исследований зависимости темпов роста кристалла лактозы от пересыщения при температуре 30°C в сравнении с предложенной математической моделью (на рисунке обозначены “+”) и построена линия, описывающая эту модель (сплошная линия).
Рис. 5. Зависимость средней скорости роста кристаллов лактозы от пересыщения раствора при постоянной температуре 30°C [45].
Как видно из графиков (рис. 5), данные в значительной степени отличаются друг от друга. Это может быть связано с различием условий проведения экспериментов. Так, в [41] проводились исследования при спонтанной кристаллизации, в [42] эксперименты проводились с небольшими затравочными кристаллами (менее 100 мкм) в статическом растворе. В [20] и [43] использовались крупные кристаллы (1–2 мм) во вращающейся колбе, получены более высокие средние скорости роста. В [44] были получены схожие результаты, но в статической системе и с использованием безионного раствора лактозы. В настоящей работе для сравнения приведены расчетные данные по скорости роста среднего кристалла. При оценке размера среднего кристалла исходили из экспериментальных данных [45]. Поэтому полученные результаты (сплошная линия на рис. 5) практически совпадают с результатами [45], которые наиболее полно отражают процесс роста кристаллов лактозы. Для построения теоретической кривой рассчитывали средний размер кристалла из [45] при 30°C, а затем рассчитывали скорости роста среднего кристалла при каждом пересыщении.
Сопоставим размер зоны кавитации и разрыва потока с экспериментальными данными по размеру зародыша кристалла лактозы, взяв при этом за исходные данные для расчета результаты экспериментов [39]: средний размер кристалла а1 = 60.5, а2 = 84 мкм при температуре кристаллизации tк1 = 30, tк2 = 50°C и пересыщении Δс1 = 0.55 Δс2 = 1.88 соответственно.
Тогда вся зона кавитации должна соответствовать условию r < r2 (9):
(16)
В результате решения данного уравнения получили значения радиуса зоны кавитации, который составил r2 ~ 7 нм (для условий а1 = 60.5 мкм, tк1 = 30°C и Δс1 = 0.55) и r2 ~ 30 нм (для условий а2 = 84 мкм, tк2 = 50°C и Δс2 = 1.88). Полученные данные не противоречат результатам экспериментальных исследований, которые показывают, что размер кристаллических зародышей лактозы находится в пределе 0.89 < l < 3.4 нм [13, 14]. Поскольку l < r2, это удовлетворяет условию зародышеобразования кристаллов лактозы в зоне кавитации такого размера и зародыши смогут служить источником роста маточного кристалла лактозы.
Заключение
В результате теоретического анализа механизма роста кристалла лактозы с учетом гидродинамических условий его роста показано, что наиболее благоприятные условия для преобразования растворенной лактозы в кристаллическую форму создаются вокруг ребер кристалла в зонах фазового перехода. Именно в этих зонах возникает кавитация и разрыв потока, как это предвидел Я.Б. Зельдович. Образованный около ребер поток кристаллических зародышей перемещается на поверхность кристалла. Механизм распределения зародышей по поверхности кристалла требует дополнительного изучения, так же как и сложная форма кристалла. Однако и при сложной форме кристалла именно его ребра провоцируют формирование зон фазового перехода.
Сравнение многочисленных экспериментальных данных, например [20, 43, 42], показывает, что крупные кристаллы растут значительно быстрее, чем мелкие (рис. 5). Если анализировать формулу (15), можно увидеть, что скорость роста кристалла пропорциональна корню квадратному из его линейного размера. Также рост пересыщения раствора увеличивает скорость роста кристалла, что отмечено в многочисленных исследованиях и представлено на рис. 4, 5. Анализ полученной в данной работе зависимости (15) показывает, что скорость роста пропорциональна пересыщению Δс. Однако пересыщение в неявном виде входит в зависимость скорости концентрационного потока (1), так как плотность раствора зависит от его пересыщения.
Характер движения раствора вокруг кристалла оказывает определяющее влияние на процесс кристаллизации. Кроме того, доказано, что температура раствора и размер растущего кристалла, хотя и в неявном виде, но влияют в первую очередь на гидродинамические и физические параметры потока в зоне фазового перехода и, как следствие, на скорость роста кристалла.
Развивая теоретические представления о механизме роста кристаллов лактозы в пересыщенных растворах на основе гидродинамических характеристик потока, обтекающего кристалл, получено обоснование существования зон кавитации, а сопоставление размера этих зон с эмпирическими данными о размере кристаллических зародышей лактозы, присоединяющихся к кристаллу, соответствует экспериментальным данным. Таким образом, теоретически обосновано высказанное Я.Б. Зельдовичем предположение об определяющей роли зон кавитации в процессе кристаллизации, в частности роста кристаллов лактозы.
Об авторах
Е. А. Фиалкова
Вологодская государственная молочнохозяйственная академия им. Н.В. Верещагина
Email: vshevchuk@list.ru
Россия, Вологда
В. Б. Шевчук
Вологодская государственная молочнохозяйственная академия им. Н.В. Верещагина
Автор, ответственный за переписку.
Email: vshevchuk@list.ru
Россия, Вологда
А. И. Гнездилова
Вологодская государственная молочнохозяйственная академия им. Н.В. Верещагина
Email: vshevchuk@list.ru
Россия, Вологда
Ю. В. Виноградова
Вологодская государственная молочнохозяйственная академия им. Н.В. Верещагина
Email: vshevchuk@list.ru
Россия, Вологда
В. И. Баронов
Вологодская государственная молочнохозяйственная академия им. Н.В. Верещагина
Email: vshevchuk@list.ru
Россия, Вологда
Список литературы
- Ivanov V.K., Fedorov P.P., Baranchikov A.E., Osiko V.V. // Russ. Chem. Rev. 2014. V. 83. № 12. Р. 1204. https://doi.org/10.1070/RCR4453
- Гиббс Дж.В. Термодинамические работы. М.; Л.: Гос. изд-во технико-теоретической литературы, 1950. 492 с.
- Асхабов А.М. // Вестник ИГ Коми НЦ УрО РАН. 2016. № 5. С. 13.
- Федоров Е.С. // Природа. 1915. Т. 12. С. 1471.
- Юшкин Н.П. Теория микроблочного роста кристаллов в природных гетерогенных растворах. Сыктывкар: Изд-во Ин-та геологии КФ АН СССР, 1971. 53 с.
- Фольмер М. Кинетика образования новой фазы. М.: Наука, 1986. 208 с.
- Странский И.Н., Каишев Р. // Успехи химии. 1939. Т. 21. № 4. С. 408.
- Шевчук В.Б. Автореф. Исследование процесса массовой кристаллизации лактозы в сгущенных молочных консервах с сахаром. Дис. … канд. техн. наук. Вологда. 2003.
- Rjabova A.E., Kirsanov V.V., Strizhko M.N. et al. // Foods Raw Mater. 2013. V. 1. P. 66. https://doi.org/10.12737/1559
- Делоне Б.М. // Успехи мат. наук. 1937. № 3. С. 16.
- Галиулин Р.В. Кристаллографическая геометрия. М.: Наука, 1984. 135 с.
- Голубев В.Н. // Вестник МГУ. География. 2013. № 3. С. 19.
- Гнездилова А.И., Перелыгин В.М. Физико-химические основы мелассообразования и кристаллизации лактозы и сахарозы в водных растворах. Воронеж: Изд-во Воронеж. гос. ун-та, 2002. 96 с.
- Pisponen A., Mootse H., Poikalainen V. et al. // Int. Dairy J. 2016. V. 61. P. 205. https://doi.org/10.1016/j.idairyj.2016.06.006
- Зельдович Я.Б. Избранные труды. Химическая физика и гидродинамика. М.: Наука, 1984. 374 с.
- Гнатенко А.Г., Дитман А.О., Невоструев Ю.И. и др. // Ученые записки ЦАГИ. 1974. Т. 5. № 3. С. 134.
- Adrian R.J. // Phys. Fluids. 2007. V. 19. № 4. P. 041301. https://doi.org/10.1063/1.2717527
- Милович А.Я. Теория динамического взаимодействия тел и жидкости. М.: Гос. изд-во лит. по строительству и архитектуре, 1955. 311 с.
- Hunziker O.F., Nissen B.H. // J. Dairy Sci. 1927. V. 10. P. 139. https://doi.org/10.3168/jds.S0022-0302(27)93825-9
- van Kreveld A., Michaels A.S. // J. Dairy Sci. 1965. V. 48. № 3. P. 259. https://doi.org/10.3168/jds.S0022-0302(65)88213-3
- Fries D.C., Rao S.T., Sundaralingam M. // Acta Cryst. B. 1971. V. 27. P. 994. https://doi.org/10.1107/S0567740871003364
- Shin Yee Wong, Hartel R.W. // J. Food Sci. 2014. V. 79. № 3. P. 257. https://doi.org/10.1111/1750-3841.12349
- Herrington B.L. // J. Dairy Sci. 1934. V. 17. № 8. P. 533. https://doi.org/10.3168/jds.S0022-0302(34)93270-7
- Hartel R.W., Shastry A.V. // Crit. Rev. Food Sci. Nutr. 1991. V. 30. № 1. P. 49. https://doi.org/10.1080/10408399109527541
- Zeng X.M., Martin G.P., Marriott C., Pritchard J. // J. Pharm. Pharmacol. 2000. V. 52. № 6. P. 633. https://doi.org/10.1211/0022357001774462
- Garnier S., Petit S., Coquerel G. // J. Cryst. Growth. 2002. V. 234. № 1. P. 207.
- Herrington B.L. // J. Dairy Sci. 1934. V. 17. № 7. P. 501. https://doi.org/10.3168/jds.S0022-0302(34)93265-3
- Parimaladevi P., Srinivasan K. // Int. Dairy J. 2014. V. 9. № 2. P. 301. https://doi.org/10.1016/j.idairyj.2014.08.007
- Raghavan S.L., Ristic R.I., Sheen D.B. et al. // J. Phys. Chem. B. 2000. V. 104. № 51. Р. 12256. https://doi.org/10.1021/jp002051o
- Arellano M.P., Aguilera J.M., Bouchon P. // Carbohydrate Res. 2004. V. 339. № 16. P. 2721. https://doi.org/10.1016/j.carres.2004.09.009
- Храмцов А.Г. Молочный сахар. М.: Агропромиздат, 1987. 224 c.
- Шурчкова Ю.А. Автореф. Исследования охлаждения перегретой жидкости в вакууме. Дис. … канд. техн. наук. Киев, 1971. 20 c.
- Клубович В.В., Толочко Н.К. Вторично зародышеобразование в растворах. Мн.: Навука i тэхнiка, 1992. 161 c.
- Стриклэнд-Констэбл Р.Ф. Кинетика и механизм кристаллизации. Л.: Недра, 1971. 310 c.
- Strickland-Constable R.F., Mason R.E.A. // Nature. 1963. V. 197. P. 897. https://doi.org/10.1038/197897b0
- Mason R.E.A., Strickland-Constable R.F. // Trans. Faraday soc. 1966. V. 62. P. 45. https://doi.org/10.1039/TF9666200455
- Pandalaneni K., Amamcharla J.K. // J. Dairy Sci. 2016. V. 99. № 7. P. 5244. https://doi.org/10.3168/jds.2015-10643
- Mimouni A., Schuck P., Bouhallab S. // Le Lait. 2005. V. 85. № 4–5. P. 253. https://doi.org/10.1051/lait: 2005015
- Dincer T.D. Mechanisms of Lactose Crystallisation. 2000. PhD Thesis. School of Applied Chemistry, Curtin University of Technology. http://hdl.handle.net/20.500.11937/1958
- Dincer T.D., Ogden M.I., Parkinson G.M. // J. Cryst. Growth. 2009. V. 311. P. 2427. https://doi.org/10.1016/j.jcrysgro.2009.02.030
- Arellano M.P., Miguel J., Bouchon P. // Carbohydr. Res. 2004. V. 339. P. 2721. https://doi.org/10.1016/j.carres.2004.09.009
- Shi Y., Hartel W., Liang B. // J. Dairy Sci. 1989. V. 72. P. 2906. http://dx.doi.org/10.3168/jds.S0022-0302(89)79441-8
- Jelen P., Coulter S. // J. Food Sci. 1973. V. 38. P. 1182. https://doi.org/10.1111/j.1365–2621.1973.tb07234.x
- Visser R.A. // Neth. Milk Dairy J. 1982. V. 36. № 3. P. 167.
- Dincer T.D., Ogden M.I., Parkinson G.M. // J. Cryst. Growth. 2009. V. 311. P. 1352. https://doi.org/10.1016/j.jcrysgro.2009.01.016
Дополнительные файлы







