Двумерные сегнетоэлектрические кристаллы
- Авторы: Фридкин В.М.1
-
Учреждения:
- Институт кристаллографии им. А.В. Шубникова Курчатовского комплекса кристаллографии и фотоники НИЦ “Курчатовский институт”
- Выпуск: Том 69, № 3 (2024)
- Страницы: 438-444
- Раздел: ФИЗИЧЕСКИЕ СВОЙСТВА КРИСТАЛЛОВ
- URL: https://ogarev-online.ru/0023-4761/article/view/263045
- DOI: https://doi.org/10.31857/S0023476124030083
- EDN: https://elibrary.ru/XOONSU
- ID: 263045
Цитировать
Полный текст
Аннотация
В рамках теории Ландау–Гинзбурга рассмотрены кинетика переключения поляризации сегнетоэлектрических кристаллов и переход от доменного переключения к однородному в наноразмерных монокристаллических пленках. Показано, что в рамках выбранной теории однородное (бездоменное) переключение может быть описано только для двумерных сегнетоэлектриков. Приведены экспериментальные результаты для двумерных пленок сегнетоэлектрического полимера и титаната бария. Для сверхтонких полимерных пленок эти результаты подтверждаются также расчетами из первых принципов.
Полный текст
ВВЕДЕНИЕ
Сегнетоэлектричеством в русскоязычной научной литературе назвали явление возникновения спонтанной поляризации кристалла (и иного материала), первоначально обнаруженное в сегнетовой соли в 1920 г. Валашеком [1, 2]. В 1945 г. были открыты сегнетоэлектрические свойства в титанате бария BaTiO3 [3, 4]. Стало ясно, что такие сегнетоэлектрические свойства могут существовать у всех кристаллов, принадлежащих к десяти точечным пироэлектрическим группам симметрии. В том же году Гинзбург, а позднее и Девоншир развили на основе теории фазовых переходов второго рода Ландау феноменологическую теорию сегнетоэлектричества (теорию среднего поля) [5–7]. Теория Ландау–Гинзбурга–Девоншира (ЛГД) объяснила все основные свойства сегнетоэлектриков, в том числе переключение поляризации во внешнем электрическом поле и петли гистерезиса. Но оказалось, что эта теория не описывает переключение сегнетоэлектрика, так как предсказывает величину коэрцитивного поля на 2–3 порядка больше экспериментальной. Это противоречие оставалось невыясненным в течение нескольких лет.
Большие коэрцитивные поля, предсказываемые теорией ЛГД, называются собственными, а их экспериментальные значения – несобственными.
Собственное значение коэрцитивного поля получается в рамках теории среднего поля из разложения термодинамического потенциала по поляризации:
(1)
где Ф – термодинамический потенциал, Р – спонтанная поляризация, Е – внешнее поле. Отсюда следует выражение для собственного коэрцитивного поля Ec:
, (2)
(3)
где t – приведенная температура:
(4)
Здесь χ0 – восприимчивость, α, β, γ – известные из теории ЛГД коэффициенты разложения термодинамического потенциала по четным степеням поляризации. Для оценок можно принять, что Ес ~ Р/χ0 ~ ~ Р/εε0, где ε – относительная диэлектрическая проницаемость, ε0 – диэлектрическая постоянная вакуума.
Для сегнетовой соли, титаната бария и других сегнетоэлектрических кристаллов собственное коэрцитивное поле Ес, определяемое по формуле (2), оказалось на несколько порядков выше его экспериментальных (несобственных) значений. При этом существенно, что в теории ЛГД сегнетоэлектрический кристалл рассматривается как однородная бесконечная среда.
Это противоречие было снято открытием доменов сначала в сегнетовой соли [8], а позднее в титанате бария [9] и других сегнетоэлектриках. Было показано, что переключение сегнетоэлектрика во внешнем поле связано с движением доменов, а кинетика переключения в теории Колмогорова–Аврами–Исибаси (КАИ) [10–12] определяется размерностью и формой доменов, их распределением по размеру и вероятностью зародышеобразования. Зависимость времени переключения поляризации от приложенного напряжения τ = τ(V) в теории КАИ близка к экспоненциальной.
В отсутствие внешнего (адсорбция ионов) и внутреннего экранирования разбиение сегнетоэлектрика на домены вызвано минимизацией свободной энергии и термодинамического потенциала кристалла. Теория и эксперимент, связанные с зародышеобразованием и доменным переключением объемных сегнетоэлектриков и пленок, подробно изложены в монографии Кросса, Таганцева и Фоусека [13] и здесь детально не рассматриваются.
ДВУМЕРНЫЕ СЕГНЕТОЭЛЕКТРИКИ
До начала 1990-х гг. для исследований были доступны кристаллы и сегнетоэлектрические пленки толщиной ~1 мкм. Они рассматривались как объемные среды, толщина которых на много порядков превосходит размер критического зародыша домена, по теоретическим оценкам не превышающий 10 нм [13–15]. Между тем еще в 1940-х гг. Онзагер [16] и позднее Вдовиченко и Рязанов теоретически предсказали существование двумерного сегнетоэлектрика, рассмотрев взаимодействие диполей, расположенных в узлах плоской (двумерной) квадратной решетки. Взаимодействие диполей приводит к спонтанной поляризации Р и сегнетоэлектрическому фазовому переходу второго рода в точке Кюри Тс [17]:
(5)
Первое экспериментальное наблюдение двумерных сегнетоэлектриков было осуществлено более чем через 50 лет для пленок сегнетоэлектрического полимера поливинилиденфторида-трифторэтилена (P(VDF-TrFE)) толщиной один–два монослоя (МС) (0.5–1.0 нм) [18–22]. Данные исследования выполнялись автором настоящей работы совместно с сотрудниками лабораторий фазовых переходов и жидких кристаллов Института кристаллографии им. А.В. Шубникова РАН и с лабораторией Дюшарма в Университете Линкольна (США) [23–25].
Для выращивания сегнетоэлектрических пленок полимера P(VDF-TrFE) был применен метод Ленгмюра–Блоджетт (ЛБ) [18–25], основанный на переносе цепей полимера с поверхности воды на подложку, несущую электрод. На рис. 1а, 1б показаны цепи полимера в полярной (сегнетоэлектрической) и неполярной (параэлектрической) фазах, на рис. 1в–1д – схема переноса и цепи, наблюдаемые в туннельном микроскопе. Полученные этим методом в 1995 г. ленгмюровские сегнетоэлектрические пленки оказались рекордно тонкими. Толщина одного МС составила 0.5 нм, т. е. значительно меньше известной из литературы теоретической оценки размера критического зародыша домена [13–15]. Толщина ленгмюровских полимерных пленок (двумерных сегнетоэлектриков) контролировалась методами эллипсометрии и атомно-силовой спектроскопии. В [18, 19] впервые были получены двумерные сегнетоэлектрики толщиной 0.5–1.0 нм, состоящие из одного МС.
Рис. 1. Сегнетоэлектрический полимер поливинилиденфторид (PVDF): а – полярная трансформация с суммарной поляризацией Р > 0; б – неполярная гош-конформация с суммарной поляризацией Р = 0; в – формирование PVDF-пленки Ленгмюра–Блоджетт на поверхности воды; г – перенос нескольких слоев ЛБ-пленки PVDF на подложку электродом; д – изображение ЛБ-пленки P(VDF-TrFE) методом сканирующей туннельной микроскопии [21, 23] (из [21]).
В сегнетоэлектрической фазе пленки P(VDF-TrFE) являлись орторомбическими (точечная группа 2mm), что подтверждалось рентгеновскими и электронографическими методами, а также сканирующей туннельной микроскопией. Двумерные сегнетоэлектрики обнаруживали петли гистерезиса и собственное коэрцитивное поле (2), на несколько порядков превышающее несобственное коэрцитивное поле, известное до этого в кристаллах и пленках. Кинетика их переключения также принципиально отличалась от известной кинетики доменного переключения, описываемой, например, теорией КАИ.
На рис. 2 показаны петли гистерезиса для ленгмюровских пленок P(VDF-TrFE) с разным числом МС, вплоть до двух МС толщиной в 1 нм, демонстрирующие существование сегнетоэлектричества [21, 23].
Рис. 2. Петли гистерезиса при температуре 25°С, измеренные пироэлектрическим методом в ЛБ-пленках P(VDF-TrFE) 70:30 с разным числом МС [21, 23]; Ip – пироэлектрический ток.
Начиная с 1970-х гг. тонкие монокристаллические сегнетоэлектрические пленки (типа пленок титаната бария) готовились методом лазерной эпитаксии [23]. В 1990-е гг. толщина пленок составляла не менее нескольких десятков нанометров. Синтез ленгмюровских пленок в 1995 г. привел к получению рекордно тонких сегнетоэлектрических пленок [18, 21], толщиной меньше возможного размера доменного зародыша [13–15]. Тем самым разработка ленгмюровских сегнетоэлектриков привела к первому экспериментальному наблюдению двумерных сегнетоэлектриков [18–25].
КИНЕТИКА ПЕРЕКЛЮЧЕНИЯ ДВУМЕРНОГО СЕГНЕТОЭЛЕКТРИКА (КИНЕТИКА ЛАНДАУ–ХАЛАТНИКОВА)
В [26, 27] описана кинетика переключения поляризации двумерных сегнетоэлектриков. Теория КАИ не могла быть привлечена к объяснению этого явления, так как толщина пленки была сравнима с размером доменного зародыша или меньше него. Разумеется, переключение может осуществляться в плоскости двумерного сегнетоэлектрика, т. е. благодаря двумерному варианту КАИ [28]. Отметим также, что при рассмотрении кинетики переключения в двумерных сегнетоэлектриках применялся феноменологический подход, который (как, впрочем, и вся теория среднего поля ЛГД) не отвечает на вопрос о механизме переключения.
В [26, 27] уравнение Ландау–Халатникова [29] было решено для фазовых переходов первого рода:
(6)
где ξ – коэффициент демпфирования. В общем случае может быть учтен градиентный член. Исследование решения уравнения (6) показало, что в окрестности коэрцитивного поля Ес время переключения неограниченно возрастает, и его обратная величина может быть записана выражением [26]:
(7)
где τ0 ≈ 6.3γξ/β2. При этом Ес (2) является собственным коэрцитивным полем сегнетоэлектрика, определяемым коэффициентами Ландау–Гинзбурга.
Экспериментальные результаты оказались в хорошем согласии с кинетикой Ландау–Халатникова. В [30, 31] непосредственно показано критическое поведение τ–2 при приближении Е → Ес для ЛБ-пленок P(VDF-TrFE). На рис. 3 приведены данные для пленки в 10 МС (5 нм), штриховая кривая представляет теоретический результат, треугольниками показаны данные эксперимента. Для более толстой пленки в 30 МС (15 нм) кружками показаны экспериментальные значения τ–2, штриховая кривая представляет экспоненциальную зависимость.
Рис. 3. Зависимость τ–2 от напряжения V для ЛБ-пленок P(VDF-TrFE), измеренная импульсно-зондовым методом. Для образца с 30 МС кружки соответствуют экспериментальным данным, штриховая кривая показывает соответствие данных образца экспоненциальной зависимости. Треугольники представляют экспериментальные данные для образцов с 10 МС, штриховые кривые показывают соответствие уравнению (7) данных образца [30, 31].
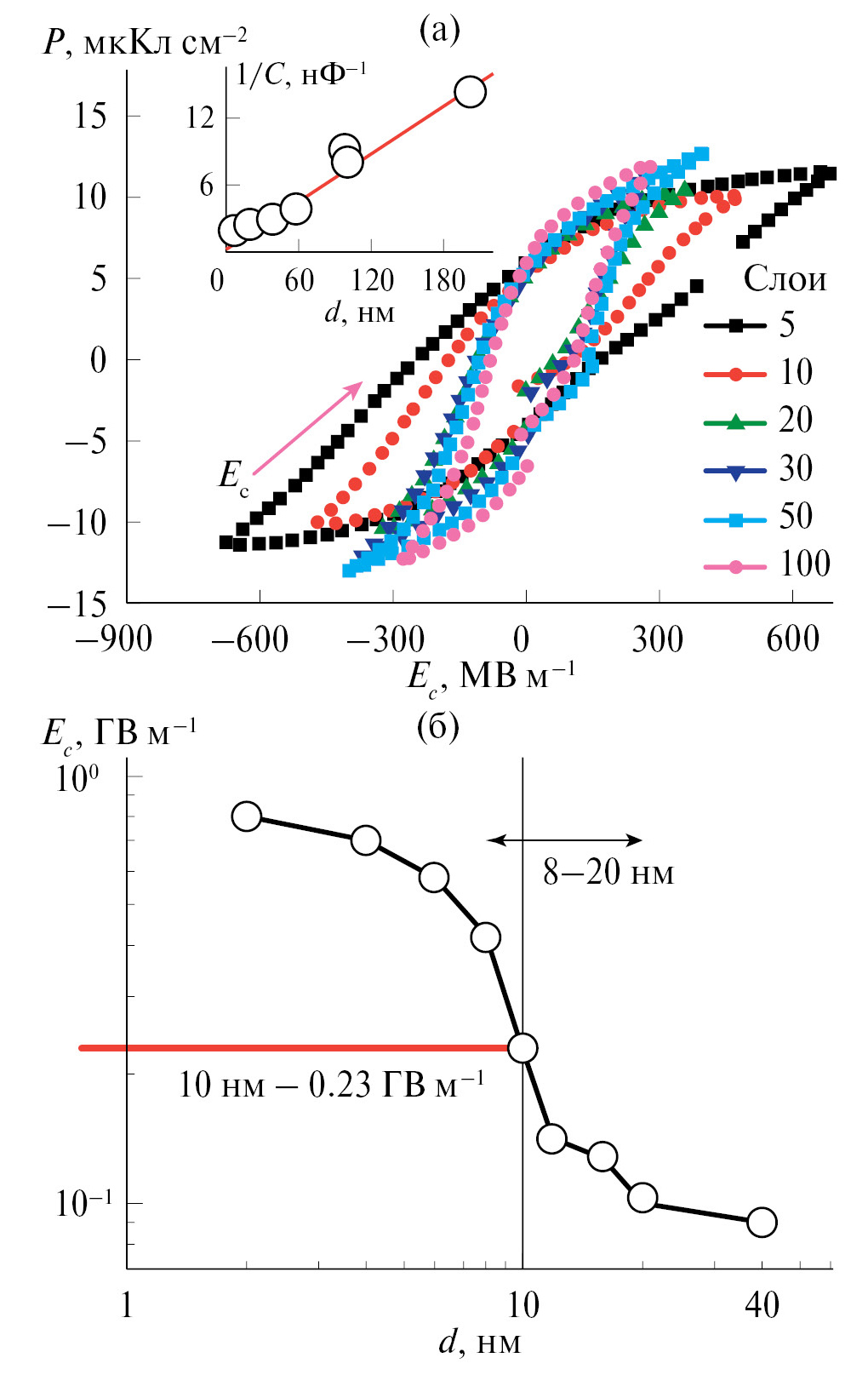
Подобное исследование ЛБ-пленок P(VDF-TrFE) разной толщины проведено в [32] (рис. 4). Показано, что при малых толщинах (2–6 нм) коэрцитивное поле Ес является собственным и практически не изменяется, в области толщин более 8 нм наблюдается переходная зона, а при толщинах более 10–12 нм собственное коэрцитивное поле Ес становится несобственным и определяется доменным механизмом (рис. 4).
Рис. 4. Петли гистерезиса ЛБ-пленки PVDF [32] с разным числом монослоев: 5, 10, 20, 30, 50 и 100 МС (а); вставка показывает линейную зависимость обратного значения емкости С от толщины пленки d. Ес как функция толщины ЛБ-пленки PVDF (при d = 8–20 нм – переходная область) (б).
Таким образом, показано, что кинетика Ландау–Халатникова удовлетворительно описывает кинетику переключения двумерного сегнетоэлектрика, если только исследуемый нанокристалл можно считать однородным.
В связи с этим под двумерным сегнетоэлектриком подразумевается наноразмерный кристалл, который в направлении его переключения можно считать однородным. В принципе он может состоять из нескольких элементарных ячеек (или монослоев). Феноменология теории ЛГД и следующее из нее уравнение Ландау–Халатникова не содержат в себе микроскопического механизма.
ОДНОРОДНОЕ ПЕРЕКЛЮЧЕНИЕ В ДВУМЕРНОМ ТИТАНАТЕ БАРИЯ
С момента открытия однородного переключения в сегнетоэлектрических полимерах стало очевидным, что однородный характер переключения может существовать у всех наноразмерных сегнетоэлектрических пленок, толщина которых меньше размера доменного зародыша или сравнима с ним. Это было доказано на примере сегнетоэлектрических пленок титаната бария [23, 24, 33].
Кинетика переключения в сверхтонких монокристаллических лазерно-эпитаксиальных пленках BaTiO3 толщиной 2–8 и 40 нм, синтезированных на подложке SrRuO3/SrTiO3, исследована в конденсаторе SrRuO3–ITO (indium tin oxide) с помощью атомно-силового микроскопа. Подробное описание методики можно найти в [34]. Различие между собственным и несобственным поведением показано на рис. 5, где приведена зависимость времени переключения τ от приложенного напряжения V для пленки толщиной 8 нм в конденсаторе (рис. 5а) и под зондом в атомно-силовом микроскопе (рис. 5б). Для сравнения представлена такая же зависимость для объемного монокристалла BaTiO3 толщиной 1 мм (рис. 5в). Экспериментальные зависимости τ–2(V) на рис. 5а, 5б для пленки титаната бария не только хорошо согласуются с формулой (7), но и указывают на то, что коэрцитивное поле Ес (2) является собственным. Напротив, кинетика переключения объемного кристалла (рис. 5в) близка к экспоненте, переключение носит доменный характер, соответственно, собственное коэрцитивное поле (2) на 2 порядка больше несобственного.
Рис. 5. Зависимость времени переключения τ от напряжения для пленки BaTiO3 толщиной 8 нм [23, 24, 33]: а – в конденсаторе, б – при зондовом режиме в атомно-силовом микроскопе (кривые τ–2(V) соответствуют расчетам по формуле (7)); в – объемный кристалл BaTiO3, кривая соответствует экспоненте в виде lnτ(V–1) (получено с помощью пьезоотклика на атомно-силовом микроскопе); г – зависимость коэрцитивного поля Ec от толщины пленки.
На рис. 5г представлена зависимость коэрцитивного поля от толщины пленки титаната бария. Видно, что в диапазоне толщин от 3 до 10 нм коэрцитивное поле является собственным (Ес ∼ 0.12 ГВ м–1) и слабо зависит от толщины, что согласуется с теорией ЛГД. При толщинах 40 нм и более коэрцитивное поле резко уменьшается, что соответствует переходу к доменному переключению. Соответственно, пленки толщиной 3 и 8 нм обнаруживают собственное ЛГД-переключение (7), а более толстые пленки – доменную экспоненциальную зависимость. Эти данные хорошо согласуются с результатами для ЛБ-пленок полимеров [32] (рис. 4).
ЗАКЛЮЧЕНИЕ
В 1945–1946 гг. были открыты сегнетоэлектрические свойства BaTiO3. Это стимулировало развитие Гинзбургом теории сегнетоэлектричества (так называемой теории среднего поля Ландау–Гинзбурга–Девоншира). Теория объяснила все свойства сегнетоэлектрических кристаллов и пленок с фазовыми переходами первого и второго рода (в окрестности критической точки). Но эта теория не описывает переключение сегнетоэлектриков, которое было объяснено движением доменов во внешнем электрическом поле, а коэрцитивное поле в соответствии с экспериментальными данными оказалось низким.
В 1970–1980-е гг. были доступны только сегнетоэлектрические монокристаллы, и лишь в начале 1990-х гг. начали получать методом лазерной эпитаксии пленки перовскитов толщиной несколько десятков нанометров. Выращивание пленок ленгмюровских сегнетоэлектриков привело к открытию двумерных сегнетоэлектриков, а исследование наноразмерных пленок титаната бария показало, что и они могут быть двумерными. В этом случае феноменологическая теория ЛГД хорошо описывает кинетику переключения. Поэтому следует различать собственное коэрцитивное поле для наноразмерных однородных сегнетоэлектрических пленок Ес и известное несобственное коэрцитивное поле Ес в толстых пленках и кристаллах, связанное с доменным механизмом, причем собственное поле на несколько порядков больше экспериментального (несобственного).
Для объемных сегнетоэлектриков (l > l*, где l* – размер домена) имеют место зарождение и движение доменов. В двумерных или наноразмерных сегнетоэлектриках (l ≤ l*), видимо, происходит поворот зародышей. На самом деле в наноразмерных сегнетоэлектрических пленках имеет место конкуренция этих двух механизмов. При увеличении толщины пленки доменный механизм должен превалировать.
Работа выполнена в рамках государственного задания НИЦ “Курчатовский институт”.
Об авторах
В. М. Фридкин
Институт кристаллографии им. А.В. Шубникова Курчатовского комплекса кристаллографии и фотоники НИЦ “Курчатовский институт”
Автор, ответственный за переписку.
Email: fridkinv@gmail.com
Россия, Москва
Список литературы
- Valasek J. // Phys. Rev. 1920. V. 15. P. 537.
- Valasek J. // Phys. Rev. 1921. V. 17. P. 475. https://doi.org/10.1103/PhysRev.17.475
- Вул Б.M., Гольдман И.M. // Докл. АН СССР. 1945. Т. 46. С. 154.
- Acosta M., Novak N., Rojas V. et al. // Appl. Phys. Rev. 2017. V. 4. P. 041305. https://doi.org/10.1063/1.4990046
- Ландау Л.Д. // ЖЭТФ. 1937. Т. 7. С. 627.
- Гинзбург В.Л. // ЖЭТФ. 1945. Т. 15. С. 739.
- Гинзбург В.Л. // ЖЭТФ. 1949. T. 19. C. 36.
- Классен-Неклюдова М.В., Чернышова М.А., Штенберг А.А. // Докл. АН СССР. 1948. Т. 18. С. 527.
- Merz W.J. // Phys. Rev. 1953. V. 91. P. 513. https://doi.org/10.1103/physrev.91.513
- Ishibashi Y. // Jpn. J. Appl. Phys. 1992. V. 31. P. 2822. https://doi.org/10.1143/jjap.31.2822
- Колмогоров A.H. // Изв. АН СССР. Серия матем. 1937. Т. 1. С. 355.
- Avrami M. // J. Chem. Phys. 1940. V. 8. P. 212.
- Tagantsev A.K., Cross L.E., Fousek J. Domains in Ferroic Crystals and Thin Films. New York: Springer, 2010. 822 p.
- Shin Y-H., Grinberg I., Chen I.-W. et al. // Nature. 2007. V. 449. P. 881. https://doi.org/10.1038/nature06165
- Miller R.C., Weinreich G. // Phys. Rev. 1960. V. 117. P. 1460. https://doi.org/10.1103/PhysRev.117.1460
- Onsager L. // Phys. Rev. 1944. V. 65. P. 117. https://doi.org/10.1103/PhysRev.65.117
- Ландау Л.Д., Лифшиц E.M. Статистическая физика: M.: Наука, 1964. 568 c.
- Palto S.P., Blinov L.M., Bune A.V. et al. // Ferroelectrics Lett. 1995. V. 19. P. 65. https://doi.org/10.1080/07315179508204276
- Bune A., Fridkin V., Ducharme S. et al. // Appl. Phys. Let. 1995. V. 67. P. 3975. https://doi.org/10.1063/1.114423
- Palto S., Blinov L., Bune A. et al. // Ferroelectrics. 1996. V. 184. P. 127.
- Bune A.V., Fridkin V.M., Ducharme S. et al. // Nature. 1998. V. 391. P. 874. https://dx.doi.org/10.1038/36069
- Bune A.V., Zhu C., Ducharme S. et al. // J. Appl. Phys. 1999. V. 85. P. 7869. https://digitalcommons.unl.edu/physicsducharme/15
- Fridkin V.M., Ducharme S. Ferroelectricity at the Nanoscale. Basic and Applications. New York: Springer, 2014. 120 p. https://doi.org/10.1007/978-3-642-41007-9
- Фридкин В.M., Дюшарме С. // Успехи физ. наук. 2014. Т. 184. С. 645. https://doi.org/10.3367/UFNe.0184.201406d.0645
- Блинов Л.М., Фридкин В.М., Палто С.П. и др. // Успехи физ. наук. 2000. Т. 170. С. 247. https://doi.org/10.3367/UFNr.0170.200003b.0247
- Vizdrik G., Ducharme S., Fridkin V.M., Yudin S.G. // Phys. Rev. В. 2003. V. 68. P. 094113. https://doi.org/10.1103/PhysRevB.68.094113
- Ievlev A., Verkhovskaya K., Fridkin V. // Ferroelectrics Lett. 2006. V. 33. P. 147. https://doi.org/10.1080/07315170601015031
- Ricinschi D., Harnagia C., Papusoi C. et al. // J. Phys. Condens. Matter. 1998. V. 10. P. 477. https://doi.org/10.1088/0953-8984/10/2/026
- Ландау Л.Д., Халатников И.T. // Докл. АН СССР. 1954. Т. 96. С. 469.
- Gaynutdinov R.V., Mitko S., Yudin S.G. et al. // Appl. Phys. Let. 2011. V. 99. P. 142904. https://doi.org/10.1063/1.3646906
- Gaynutdinov R.V., Yudin S., Ducharme S., Fridkin V. // J. Phys. Condens. Matter. 2012. V. 24. P. 015902. https://doi.org/10.1088/0953-8984/24/1/015902
- Wang J.L., Liu B.L., Tian B.B. et al. // Appl. Phys. Lett. 2014. V. 104. P. 182907. https://doi.org/10.1063/1.4875907
- Ducharme S., Fridkin V.M. // Condensed Matter. 2003. https://doi.org/10.48550/arXiv.cond-mat/0307293
- Gu Z., Imbrenda D., Bennett-Jackson A.L. et al. // Phys. Rev. Lett. 2017. V. 118. P. 096601. https://doi.org/10.1103/PhysRevLett.118.096601
- Stolichnov I., Cavalieri M., Colla E. et al. // ACS Appl. Mater. Interfaces. 2018. V. 10. P. 30514. https://doi.org/10.1021/acsami.8b07988
- Buragohain P., Richter C., Schenk T. et al. //Appl. Phys. Lett. 2018. V. 112. P. 222901. https://doi.org/10.1063/1.5030562
- Hoffmann M., Fengler F.P.G., Herzig M. et al. // Nature. 2019. V. 565. P. 464. https://doi.org/10.1038/s41586-018-0854-z
- Bystrov V.S. // Phys. В: Condens. Matter. 2014. V. 432. P. 21. https://doi.org/10.1016/j.physb.2013.09.016
- Paramonova E.V., Filippov S.V., Gevorkyan V.E. et al. // Ferroelectrics. 2017. V. 509. P. 143. https://doi.org/10.1080/00150193.2017.1296317
- Bystrov V.S., Paramonova E.V., Bystrova A.V. et al. // Math. Biol. Bioinform. 2015. V. 10. P. 372. https://doi.org/10.17537/2015.10.372
- Gevorkyan V.E., Paramonova E.V., Avakyan L.A., Bystrov V.S. // Math. Biol. Bioinform. 2015. V. 10. Р. 131. https://doi.org/10.17537/2015.10.131
- Murrell J.N., Harget A.J. Semi-Empirical Self-Consistent-Field Molecular Orbital Theory of Molecules. London: John Wiley & Sons, 1972. 180 p.
- Stewart J.J.P. // J. Comput. Chem. 1989. V. 10. P. 209. https://dx.doi.org/10.1002/jcc.540100208
- Stewart J.J.P. // J. Comput. Aided Mol. Des. 1990. V. 4. P. 1. https://doi.org/10.1007/BF00128336
- HyperChem (TM) 7.51, Tools for Molecular Modeling, HyperChem 8.0, Professional Edition, Gainesville, Hypercube. Inc., 2002 and 2010, Accessed 27.02.2020. http://www.hyper.com/7tabidD360
- Bystrov V.S., Bystrova N.K., Paramonova E.V. et al. // J. Phys. Condens. Matter. 2007. V. 19. P. 456210. https://doi.org/10.1088/0953-8984/19/45/456210
- Bystrov V.S., Paramonova E.V., Dekhtyar Y. et al. // J. Appl. Phys. 2012. V. 111. P. 104113. https://doi.org/10.1063/1.4721373
- Bystrov V.S., Paramonova E.V., Bdikin I.K. et al. // J. Mol. Model. 2013. V. 19. P. 3591. https://doi.org/10.1007/s00894-013-1891-z
- Nakhmanson S.M., Korlacki R., Johnston J.T. et al. // Phys. Rev. В. 2010. V. 81. P. 174120. https://doi.org/10.1103/PhysRevB.81.174120
- Duan C., Mei W.N., Hardy J.R. et al. // Europhys. Lett. 2003. V. 61. P. 81. https://doi.org/10.1209/epl/i2003-00248-2
- Yamada К., Saiki A., Sakaue H. et al. // Jpn. J. Appl. Phys. 2001. V. 40. P. 4829. https://doi.org/10.1143/JJAP.40.4829
Дополнительные файлы







