Влияние доменной структуры полярных кристаллов LaBGeO₅ на их гиротропные свойства
- Авторы: Константинова А.Ф.1, Головина Т.Г.1, Мареев Е.И.1, Буташин А.В.1, Волчков И.С.1, Гайнутдинов Р.В.1, Ашарчук Н.М.1, Касимова В.М.2, Забелина Е.В.2, Козлова Н.С.2
-
Учреждения:
- Институт кристаллографии им. А.В. Шубникова Курчатовского комплекса кристаллографии и фотоники НИЦ “Курчатовский институт”
- Национальный исследовательский технологический университет “МИСИС”
- Выпуск: Том 69, № 3 (2024)
- Страницы: 429-437
- Раздел: ФИЗИЧЕСКИЕ СВОЙСТВА КРИСТАЛЛОВ
- URL: https://ogarev-online.ru/0023-4761/article/view/263042
- DOI: https://doi.org/10.31857/S0023476124030079
- EDN: https://elibrary.ru/XOOWZP
- ID: 263042
Цитировать
Полный текст
Аннотация
Проведено измерение спектров коэффициентов пропускания и показателей поглощения монодоменного и полидоменного образцов LaBGeO₅. Показано, что для более точного измерения вращения плоскости поляризации света ρ необходимо использовать спектры коэффициентов пропускания не только при параллельных и скрещенных поляризаторах, но и при других углах между ними. Полученные значения ρ для обоих образцов достаточно хорошо описываются одной дисперсией с помощью формулы Друде. Это согласуется с тем, что величина ρ не должна меняться при монодоменизации кристалла при данной симметрии (P31 в сегнетоэлектрической фазе и P3121 в параэлектрической). Показано, что генерация второй гармоники черенковского типа наблюдается только в полидоменном образце, при этом излучение второй гармоники не поляризовано. Доменная структура образцов наблюдалась методами растровой электронной микроскопии и силовой микроскопии пьезоотклика. Для полидоменного образца показано наличие лабиринтной доменной структуры, для монодоменного образца изменения контраста в пределах области сканирования не наблюдалось.
Полный текст
ВВЕДЕНИЕ
Кристалл LaBGeO5 впервые выращен в 1990 г. и на основании структурных исследований отнесен к семейству стиллвеллита CeBSiO5 (пр. гр. P31, а = 0.7020(5), с = 0.6879(4) нм) [1]. Сегнетоэлектрические свойства данного кристалла обнаружены и описаны в [2, 3]: при охлаждении до температуры ТC = 530°С в нем наблюдается фазовый переход в полярную фазу с изменением точечной симметрии 32 → 3 (P3121 → P31). Диэлектрические, тепловые и пироэлектрические свойства LaBGeO5 исследованы в [4–6], доменная структура и особенности переключения спонтанной поляризации – в [7, 8].
Изучены спектры комбинационного рассеяния, оптические и нелинейно-оптические свойства кристаллов LaBGeO5, включая показатели преломления, спектры показателей поглощения и люминесценции [9]. При этом оптическая активность кристаллов LaBGeO5 измерена только при одной длине волны [10]. При пико- и фемтосекундной накачке объемного кристалла LaBGeO5 возбуждена конусно-кольцевая генерация второй гармоники (ГВГ) с фазовым согласованием черенковского типа; впервые наблюдалась так называемая “черенковская радуга” [11]. Кристалл LaBGeO5 допускает частичное замещение ионов лантана на люминесцирующие редкоземельные ионы с близким радиусом (Nd3+, Pr3+) с сохранением структуры стиллвеллита, что делает возможным его использование в качестве активной среды для лазеров с самоудвоением частоты [9]. Монокристаллы LaBGeO5 являются перспективными кандидатами для создания эффективных лазерных источников в УФ-диапазоне [12].
Цель настоящей работы – провести сравнение некоторых свойств монодоменных и полидоменных кристаллов LaBGeO5, включая доменную структуру, оптическую активность и ГВГ.
ОПТИЧЕСКИЕ СВОЙСТВА КРИСТАЛЛОВ LaBGeO5
Рост кристаллов. Кристаллы LaBGeO5 выращивали методом Чохральского из расплава при температуре ~1200°C. Затравку вырезали вдоль тройной оси, скорость подъема затравки ~1–2 мм/ч. Основными препятствиями в получении прозрачных совершенных кристаллов были: интенсивное испарение борного ангидрида из расплава, его высокая вязкость и склонность к переохлаждению [9]. В таких условиях кристалл LaBGeO5 получался полидоменным [2]. Для монодоменизации использовали стандартную процедуру с нанесением электродов на шлифованные Z-грани вырезанной из кристалла шайбы с дальнейшим нагреванием до ~600°C и медленным охлаждением в постоянном электрическом поле до комнатной температуры.
Исследованы два образца LaBGeO5, вырезанные перпендикулярно оптической оси: монодоменный образец (1) толщиной d1 = 9.33 мм и полидоменный образец (2) толщиной d2 = 5.7 мм.
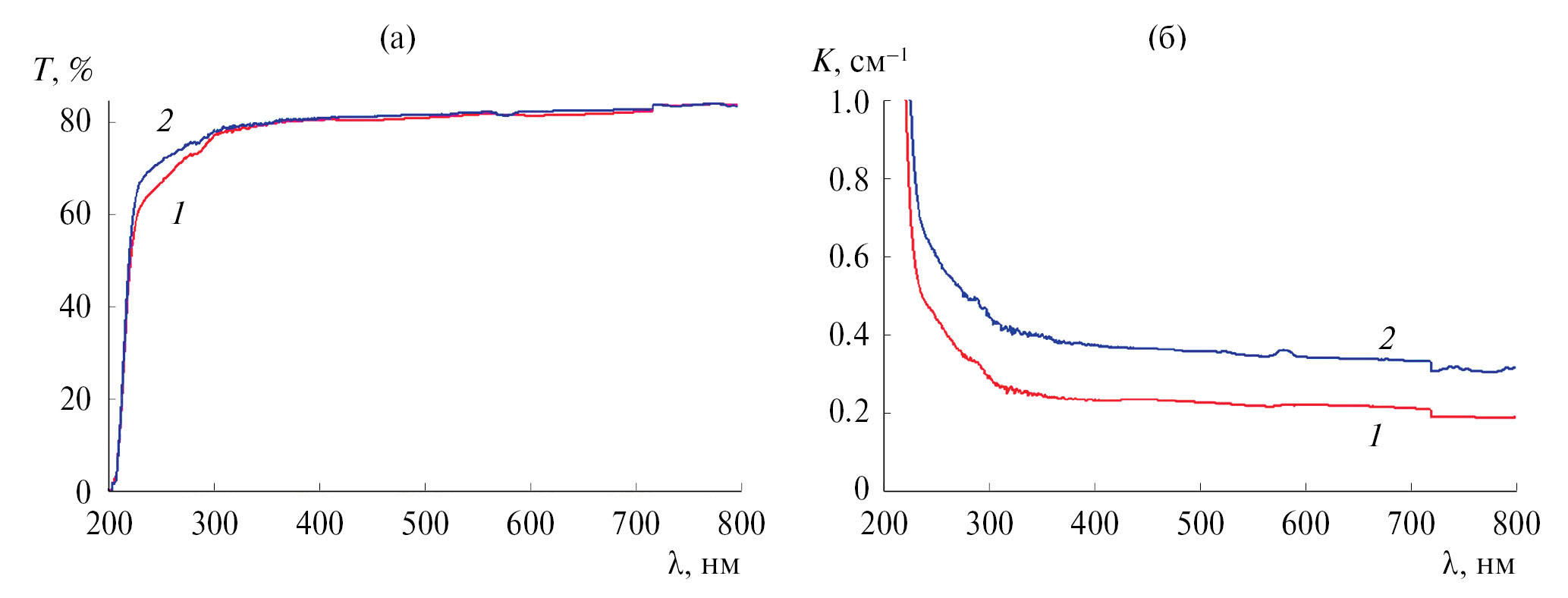
Спектры коэффициентов пропускания и показателей поглощения. Спектры коэффициентов пропускания кристаллов LaBGeO5 в неполяризованном свете измеряли в диапазоне 200–1000 нм с шагом 1 нм на спектрофотометре Cary-5000 с универсальной измерительной приставкой UMA [13]. Полученные спектры показаны на рис. 1а.
Рис. 1. Спектры коэффициентов пропускания (а) и показателей поглощения (б) образцов LaBGeO5 в неполяризованном свете: кривые 1 и 2 соответствуют образцам 1 и 2.
Показатель поглощения K можно оценить по приближенной формуле [14]:
(1)
где T = I/I0 – измеренный коэффициент пропускания, I0, I – соответственно интенсивности падающего и прошедшего света, d = d1,2 – толщина образца. Полученные зависимости K от длины волны показаны на рис. 1б. Видно, что величины K для образца 2 больше, чем для образца 1. Например, при 589 нм K1 = 0.2185 см–1 (образец 1), K2 = 0.3486 см–1 (образец 2).
Оптическая активность одноосных кристаллов в первую очередь характеризуется вращением плоскости поляризации света (ρ) при его распространении в направлении оптической оси [15]. Для определения величины ρ необходимы измерения спектров коэффициентов пропускания в поляризованном свете для пластинок, вырезанных перпендикулярно оптической оси. Такие измерения проведены в диапазоне 200–1000 нм с шагом 1 нм на спектрофотометре Cary-5000 с универсальной измерительной приставкой UMA [13] с использованием двух поляризаторов Глана–Тейлора.
Пусть α и β – углы между направлениями наибольшего пропускания поляризатора и анализатора и осью x в выбранной системе координат (ось x перпендикулярна оптической оси кристалла). Тогда интенсивность прошедшего света при произвольном угле τ = α – β между поляризатором и анализатором рассчитывается по формуле [16]:
(2)
где ζ = Kd, ρ – вращение плоскости поляризации света.
Наиболее часто при расчетах используют интенсивности света при параллельных (I||) и скрещенных (I⊥) поляризаторах, но иногда целесообразно использовать другие углы τ [17]. При разных углах τ между поляризатором и анализатором получим формулы:
(3)
максимумы и минимумы I⊥ и I|| соответствуют ρd = π/2 + πn, n – целое число;
(4)
максимумы и минимумы I45 и I–45: ρd = π/4 + πn;
(5)
максимумы и минимумы I30 и I–60: ρd = π/6 + πn; для I60 и I–30: ρd = π/3 + πn.
Отметим, что при расчете по формуле (3) первый максимум I⊥ и минимум I|| имеют место при ρd = π/2, что может быть неудобно при малых величинах оптической активности ρ. Тогда целесообразно использовать формулы (4) и (5).
Измеренные дисперсии интенсивностей прошедшего света приведены на рис. 2. На всех спектрах образца 1 имеется не больше одного максимума и одного минимума, на спектрах образца 2 – или один максимум, или один минимум, что свидетельствует о небольшой величине вращения плоскости поляризации света для обоих образцов.
Рис. 2. Экспериментальные спектры коэффициентов пропускания в поляризованном свете при углах τ = 0°, ±30°, ±45°, ±60°, 90° между поляризатором и анализатором: а, б – образец 1, в, г – образец 2.
Для оценки величины ρ использовали максимумы и минимумы, а также точки пересечения для всех измеренных зависимостей для обоих образцов. Дисперсию ρ рассчитывали по формуле Друде [18]:
(6)
где λ0 принималось равным соответствующему значению для показателя преломления обыкновенной волны (λ0 = 0.1173 мкм) [9]. Величину KD определяли, аппроксимируя прямой линией зависимость 1/ρ = (λ2 – λ02)/KD (рис. 3а). Из рис. 3а следует, что значения 1/ρ для обоих образцов достаточно хорошо аппроксимируются одной прямой, получено значение KD = 1.15. Экспериментальные и рассчитанные по формуле (6) значения ρ для обоих образцов приведены на рис. 3б. Видно, что экспериментальные точки достаточно хорошо согласуются с рассчитанной дисперсией. Полученные результаты соответствуют тому факту, что оптическая активность должна быть одинакова в монодоменном и полидоменном кристаллах при данной симметрии [18, 19]. В кристалле LaBGeO5 имеет место фазовый переход из параэлектрической фазы с симметрией 32 в сегнетоэлектрическую фазу с симметрией 3, обе фазы являются гиротропными. При этом домены имеют вращение одного знака (в данном случае кристаллы правые), и гиротропия кристалла не должна меняться ни при монодоменизации, ни при переполяризации.
Рис. 3. Зависимость величины 1/ρ от (λ2 – λ02) и ее аппроксимация прямой линией (а); дисперсия ρ (б). Кружки – образец 1, квадратики – образец 2.
Сравнение спектров коэффициентов пропускания, рассчитанных по формуле (2) с использованием дисперсии ρ (6), с экспериментальными показано на рис. 4 для некоторых значений τ. Видно, что положения максимумов, минимумов и точек пересечения экспериментальных (сплошные линии) и рассчитанных (пунктир) кривых совпадают достаточно хорошо. Численные значения коэффициентов пропускания различаются, что связано, вероятно, с несовершенством образца [20].
Рис. 4. Экспериментальные (сплошные линии) и рассчитанные (пунктир) спектры коэффициентов пропускания света при разных значениях τ: а, б – образец 1, в, г – образец 2.
При исследовании кристаллов LaBGeO5 выявлено, что их оптическая активность не слишком велика. В таком случае для получения большего числа максимумов и минимумов функции (2) целесообразно использовать спектры коэффициентов пропускания не только при параллельных и скрещенных поляризаторах, но и при других углах между ними (например, ±30°, ±45°, ±60°). Получены значения вращения плоскости поляризации света ρ, которые удовлетворительно описываются формулой Друде (рис. 3). В пределах погрешности величины ρ одинаковы для обоих образцов, что согласуется с теорией [18, 19].
ГЕНЕРАЦИЯ ВТОРОЙ ГАРМОНИКИ ЧЕРЕНКОВСКОГО ТИПА В КРИСТАЛЛЕ LaBGeO5
Синхронная генерация второй гармоники (ВГ) в нелинейных кристаллах происходит строго под определенными углами фазового синхронизма, когда групповые скорости обыкновенной и необыкновенной волн совпадают. При этом ГВГ черенковского типа возможна при любых углах падения лазерного импульса на кристалл. Впервые ГВГ черенковского типа зарегистрирована в полидоменном кристалле LaBGeO5 и описана в [11], где ВГ возбуждалась пикосекундным излучением титан-сапфировой лазерной системы при мягкой фокусировке в образец, при этом было проведено упрощенное описание ГВГ черенковского типа без учета влияния полидоменности на процесс генерации. Позднее экспериментально и теоретически было показано, что ГВГ черенковского типа происходит только при условии, что лазерный импульс распространяется в области с локализованной пространственной модуляцией квадратичной нелинейной восприимчивости χ(2) [21–23].
В приближении дальнего поля интенсивность ВГ, генерируемой в нелинейных кристаллах, пропорциональна квадрату коэффициентов Фурье, полученных в результате фурье-преобразования пространственного распределения нелинейности χ(2). Для пространственного распределения χ(2), модулированного в плоскости xy (перпендикулярной оси распространения лазерного импульса z), интенсивность ВГ в дальнем поле можно записать как [21, 22]:
(7)
где deff – эффективный коэффициент нелинейности второго порядка; IFW – интенсивность лазерного импульса на фундаментальной длине волны, распространяющегося вдоль оси z; Lz – длина нелинейной среды; S(Δkx, Δky) – фурье-спектр доменной структуры с поперечными векторами фазовой расстройки Δkx, Δky. Для угла излучения ВГ θ в xz-плоскости компоненты вектора фазовой расстройки могут быть записаны как Δkx = k2ωsinθ – 2kωsinα, Δky = 0, Δkz = k2ωcosθ – – 2kωcosα, где α – угол падения световой волны фундаментальной частоты ω на нелинейный кристалл, kω, k2ω – волновые векторы волны на фундаментальной частоте и частоте ВГ соответственно. При θ = θc (угол Черенкова) Δkz = 0, т. е. процесс ГВГ фазово согласован на протяжении всего домена. В монодоменном кристалле S практически равно нулю, и ГВГ черенковского типа не происходит. Так как распределение доменов в полидоменном образце случайно, величина |S(Δkx, Δky)| должна быть заменена на среднее значение <|S(Δkx, Δky)|>, рассчитанное для всех доменов.
Это доказывает, что резкая модуляция χ(2) является достаточным условием для излучения ВГ по Черенкову в ацентричных кристаллах [23]. Такая модуляция может быть обусловлена наличием в кристалле LaBGeO5 сегнетоэлектрических доменов [2].
Эксперименты по оптической регистрации ВГ черенковского типа проводили с использованием фемтосекундного лазерного излучения на длине волны 1030 нм (ТЕТА-20, Авеста-проект). Длительность лазерного импульса составляла 200 фс, энергия – 1 мДж, частота повторения – 1 кГц. Лазерное излучение с диаметром пучка 5 мм проходило сквозь образец – полидоменный кристалл LaBGeO5, интенсивность составляла ~2.5 × × 108 Вт/см2. После образца устанавливали экран для наблюдения ВГ, сгенерированной в кристалле. Вторая гармоника представляет собой кольцо [21, 22] с конусным углом 36.9° ± 0.1° (рис. 5а). В монодоменном кристалле кольцевой ГВГ не наблюдалось.
Рис. 5. Фотография излучения ВГ черенковского типа (а) и зависимость энергии ВГ от угла поворота полуволновой пластины (б) для полидоменного образца 2.
Также провели измерение поляризации ВГ и эффективности ее генерации. Для этого с помощью диэлектрических зеркал излучение на основной длине волны направляли вбок, а энергию ВГ измеряли с помощью измерителя мощности Coherent. Предварительно ВГ была сфокусирована на измеритель мощности с помощью линзы с фокусным расстоянием 75 мм. Эффективность преобразования составила ~0.7%. Для измерения поляризации в схему после линзы помещали полуволновую пластину, а также призму Глана, измеритель мощности был заменен на кремниевый фотодетектор. Сигнал с фотодетектора регистрировался осциллографом Tektronix. Для вращения поляризации использовалась полуволновая пластина (Авеста-проект, Троицк, Россия), поворачивающая плоскость поляризации ВГ, шаг поворота пластины составлял 5°. Зависимость интенсивности ВГ от угла поворота полуволновой пластины представлена на рис. 5б, из которого можно сделать вывод, что излучение ВГ не поляризовано. Вероятно, это вызвано случайной ориентацией доменов внутри образца [21]. В отличие от [11] фокусировку в объем кристалла не проводили, что позволяет считать фронт квазиплоским, при этом высокие интенсивности достигаются за счет гораздо меньшей длительности лазерного импульса. Кроме того, в такой геометрии измерена поляризация ВГ черенковского типа, а также эффективность ее генерации.
ДОМЕНЫ В КРИСТАЛЛАХ LaBGeO5
Для получения изображений доменной структуры образцов LaBGeO5 использовали методы растровой электронной микроскопии (РЭМ) [24] и силовой микроскопии пьезоотклика (СМП) [25].
Изображения получены на растровом электронном микроскопе JCM-6000 PLUS (Jeol, Япония) в режиме вторичных электронов при ускоряющем напряжении 15 кВ.
Эксперименты по исследованию поверхности образцов методом СМП проводили в контролируемых условиях измерительного комплекса “TRACKPORE ROOM-05”, класс чистоты 5 ИСО (100) с поддержанием влажности (40 ± 1 отн. %) и температуры (22 ± 0.05°C). Поверхность образцов изучали с помощью сканирующего зондового микроскопа NTEGRA Prima (НТ-МДТ, Россия) с использованием кремниевых кантилеверов (HA_FM/Pt, балка B, ООО Капелла, Россия), покрытых Pt, со следующими характеристиками: резонансная частота f = 140 кГц, жесткость ktip = = 3.5 Н/м, радиус закругления острия R < 30 нм.
Метод СМП основан на регистрации механического отклика образца на внесение в переменное электрическое поле, которое создается посредством подачи переменного напряжения на проводящее острие зондового датчика. Таким образом, работа метода основана на обратном пьезоэлектрическом эффекте. Построение карты сигнала фазы пьезоотклика дает информацию о распределении направления поляризации кристалла: в зависимости от ее направления пьезоэлектрический отклик может быть синфазным или противофазным возбуждающему отклику электрическому напряжению. Сегодня метод СМП широко применяется для исследования доменной структуры сегнетоэлектриков [25, 26].
Результаты исследования доменов методами РЭМ и СМП показаны на рис. 6. На РЭМ-изображении монодоменного образца 1 (рис. 6а) на поверхности заметны домены, имеющие ярко выраженную треугольную форму. Четкая группировка стенок правильных треугольников соответствует ориентации доменов вдоль кристаллографического направления Y, что наблюдается при воздействии слабых импульсов с амплитудой до 3.75 кВ/мм [8]. Это соответствует амплитуде используемого в данной работе электронного пучка, так как, учитывая толщину образца, амплитуда не превышала 1.7 кВ/мм. В то же время на СМП-изображении образца 1 (рис. 6в) вариации контраста не наблюдалось (в пределах области сканирования), что указывает на его монодоменность. Доменная структура полидоменного образца 2, показанная на РЭМ-изображении (рис. 6б), повторяется на СМП-изображении (рис. 6г) с поправкой на мощность электронного пучка при РЭМ-исследованиях (при больших мощностях импульсов или пучка наблюдается общее переключение массива доменов [8]). Изменение контраста СМП для образца 2 (рис. 6г) указывает на наличие лабиринтной доменной структуры с размерами доменов от нескольких сотен нанометров до нескольких микрометров в пределах области 80 × 80 мкм2 (максимально достижимая область сканирования).
Рис. 6. Результаты исследования доменов в кристаллах LaBGeO₅ методами РЭМ (а, б) и СМП (в, г): а, в – образец 1, б, г – образец 2.
ЗАКЛЮЧЕНИЕ
Проведено исследование оптических свойств кристаллов LaBGeO5, выращенных методом Чохральского, для монодоменного и полидоменного образцов, вырезанных перпендикулярно оптической оси. Измерены спектры коэффициентов пропускания и показателей поглощения образцов LaBGeO5 в неполяризованном и поляризованном свете. Показано, что для полидоменного образца показатель поглощения больше приблизительно в 1.5 раза.
Из спектров пропускания в поляризованном свете получены дисперсии вращения плоскости поляризации света ρ для обоих образцов. Выявлено, что для более точного измерения ρ необходимо использовать спектры коэффициентов пропускания не только при параллельных и скрещенных поляризаторах, но и при других углах между ними. Полученные значения ρ в зависимости от длины волны удовлетворительно описываются формулой Друде, рассчитанные дисперсии совпадают в пределах погрешности для монодоменного и полидоменного образцов.
Проведены эксперименты по оптической регистрации второй гармоники черенковского типа. Показано, что ГВГ наблюдается только в полидоменном образце, причем излучение второй гармоники не поляризовано, что обусловлено именно полидоменной структурой образца.
Проведено исследование доменной структуры образцов методами РЭМ и СМП. Для полидоменного образца показано наличие лабиринтной доменной структуры с размерами доменов от нескольких сотен нанометров до нескольких микрометров. Для монодоменного образца изменения контраста в пределах области сканирования не наблюдалось.
Работа проведена в рамках выполнения государственного задания НИЦ “Курчатовский институт”. Использовали оборудование ЦКП “Структурная диагностика материалов” КККиФ НИЦ “Курчатовский институт”, а также оборудование испытательной лаборатории полупроводниковых материалов и диэлектриков “Монокристаллы и заготовки на их основе” НИТУ МИСИС при финансовой поддержке Министерства науки и высшего образования РФ (контракт FSME-2023-0003).
Об авторах
А. Ф. Константинова
Институт кристаллографии им. А.В. Шубникова Курчатовского комплекса кристаллографии и фотоники НИЦ “Курчатовский институт”
Email: tatgolovina@mail.ru
Россия, Москва
Т. Г. Головина
Институт кристаллографии им. А.В. Шубникова Курчатовского комплекса кристаллографии и фотоники НИЦ “Курчатовский институт”
Автор, ответственный за переписку.
Email: tatgolovina@mail.ru
Россия, Москва
Е. И. Мареев
Институт кристаллографии им. А.В. Шубникова Курчатовского комплекса кристаллографии и фотоники НИЦ “Курчатовский институт”
Email: tatgolovina@mail.ru
Россия, Москва
А. В. Буташин
Институт кристаллографии им. А.В. Шубникова Курчатовского комплекса кристаллографии и фотоники НИЦ “Курчатовский институт”
Email: tatgolovina@mail.ru
Россия, Москва
И. С. Волчков
Институт кристаллографии им. А.В. Шубникова Курчатовского комплекса кристаллографии и фотоники НИЦ “Курчатовский институт”
Email: tatgolovina@mail.ru
Россия, Москва
Р. В. Гайнутдинов
Институт кристаллографии им. А.В. Шубникова Курчатовского комплекса кристаллографии и фотоники НИЦ “Курчатовский институт”
Email: tatgolovina@mail.ru
Россия, Москва
Н. М. Ашарчук
Институт кристаллографии им. А.В. Шубникова Курчатовского комплекса кристаллографии и фотоники НИЦ “Курчатовский институт”
Email: tatgolovina@mail.ru
Россия, Москва
В. М. Касимова
Национальный исследовательский технологический университет “МИСИС”
Email: tatgolovina@mail.ru
Россия, Москва
Е. В. Забелина
Национальный исследовательский технологический университет “МИСИС”
Email: tatgolovina@mail.ru
Россия, Москва
Н. С. Козлова
Национальный исследовательский технологический университет “МИСИС”
Email: tatgolovina@mail.ru
Россия, Москва
Список литературы
- Каминский А.А., Буташин А.В., Милль Б.В., Белоконева Е.Л. // Изв. АН СССР. Неорган. матер. 1990. Т. 26. № 5. C. 1105.
- Стефанович С.Ю., Милль Б.В., Буташин А.В. // Кристаллография. 1992. Т. 37. Вып. 4. С. 965.
- Belokoneva E.L., David W.I.F., Forsyth J.B., Knight K.S. // J. Phys.: Condens. Matter. 1997. V. 9. P. 3503. https://doi.org/10.1088/0953-8984/9/17/002
- Uesu У., Horiuchi N., Osakabe Е. et al. // J. Phys. Soc. Jpn. 1993. V. 62. Р. 2522. https://doi.org/10.1143/JPSJ.62.2522
- Onodera А., Strukov В.А., Belov А.А. et al. // J. Phys. Soc. Jpn. 1993. V. 62. Р. 4311. https://doi.org/10.1143/JPSJ.62.4311
- Милов Е.В., Струков Б.А. // ФТТ. 2001. Т. 43. С. 495.
- Strukov В.А., Milov Е.Н., Milov V.N. et al. // Ferroelectrics. 2005. V. 314. Р. 105. https://doi.org/10.1080/00150190590926247
- Akhmatkhanov A., Plashinnov C., Nebogatikov M. et al. // Crystals. 2020. V. 10. № 7. P. 583. https://doi.org/10.3390/cryst10070583
- Kaminskii A.A., Butashin A.V., Maslyanitsin I.A. et al. // Phys. Status Solidi. A. 1991. V. 125. № 2. P. 671.
- Kaminsky W. // Rep. Prog. Phys. 2000. V. 63. P. 1575. https://doi.org/10.1088/0034-4885/63/10/201
- Каминский А.А., Нишиока Х., Уеда К. и др. // Квантовая электроника. 1996. Т. 23. № 5. С. 391.
- Hirohashi J., Imai K., Watanabe S. et al. // Proc. SPIE10902, Nonlinear Frequency Generation and Conversion: Materials and Devices XVIII. 2019. P. 1090206. https://doi.org/10.1117/12.2514795
- Универсальная измерительная приставка Agilent Cary Universal Measurement Accessory (UMA) // Agilent Technologies. http://www.agilent.com/cs/library/technicaloverviews/public/5991-2529RU.pdf
- Шубников А.В., Флинт Е.Е., Бокий Г.Б. Основы кристаллографии. М.: Изд-во АН СССР, 1940. 488 с.
- Шубников А.В. Основы оптической кристаллографии. М.: Изд-во АН СССР, 1958. 207 с.
- Константинова А.Ф., Гречушников Б.Н., Бокуть Б.В., Валяшко Е.Г. Оптические свойства кристаллов. Минск: Наука и техника, 1995. 302 с.
- Golovina T.G., Konstantinova A.F., Dudka A.P. et al. // Crystallography Reports. 2023. V. 68. № 5. P. 732. https://doi.org/10.1134/S106377452360045X
- Кизель В.А., Бурков В.И. Гиротропия кристаллов. М.: Наука, 1980. 304 с.
- Шувалов Л.А., Иванов Н.Р. // Кристаллография. 1964. Т. 9. Вып. 2. С. 363.
- Головина Т.Г., Константинова А.Ф., Набатов Б.В., Евдищенко Е.А. // Кристаллография. 2018. Т. 63. № 6. С. 921. https://doi.org/10.1134/S0023476118060139
- Ayoub M., Roedig P., Koynov K. et al. // Opt. Express. 2013. V. 21. № 7. P. 20117. https://doi.org/10.1364/OE.21.008220
- Sheng Y., Saltiel S.M., Krolikowski W. et al. // Opt. Lett. 2010. V. 35. № 9. P. 1317. https://doi.org/10.1364/OL.35.001317
- Sheng Y., Roppo V., Kalinowski Ks., Krolikowski W. // Opt. Lett. 2012. V. 37. № 18. P. 3864. https://doi.org/10.1364/OL.37.003864
- Roede E.D., Mosberg A.B., Evans D.M. et al. // APL Mater. 2021. V. 9. № 2. P. 021105. https://doi.org/10.1063/5.0038909
- Kholkin A.L., Kalinin S.V., Roelofs A., Gruverman A. // Scanning Probe Microscopy. Electricaland Electromechanical Phenomena at the Nanoscale / Eds. Kalinin S.V., Gruverman A. New York: Springer, 2007. P. 173.
- Калинин А.С. Методы атомно-силовой микроскопии для неразрушающего анализа электромеханических свойств наноструктур. Дис. … канд. физ.-мат. наук. М.: НИЦ КИ, 2017. 104 с.
Дополнительные файлы








