Комплекс лабораторного ростового оборудования для раствор-расплавного синтеза кристаллов бората железа FeBO3, а также кристаллов твердых растворов на его основе
- Авторы: Ягупов С.В.1, Могиленец Ю.А.1, Селезнев К.А.1, Стругацкий М.Б.1, Селезнева К.А.1, Наухацкий И.А.2, Снегирёв Н.И.3, Любутина М.В.4, Любутин И.С.3
-
Учреждения:
- Физико-технический институт ФГАОУ ВО “КФУ им. В.И. Вернадского”
- Физико-технический институт Крымского федерального университета им. В.И. Вернадского
- Институт кристаллографии им. А.В. Шубникова ФНИЦ “Кристаллография и фотоника” РАН
- Институт кристаллографии им А.В. Шубникова ФНИЦ “Кристаллография и фотоника” РАН
- Выпуск: Том 68, № 4 (2023)
- Страницы: 644-650
- Раздел: ПРИБОРЫ, АППАРАТУРА
- URL: https://ogarev-online.ru/0023-4761/article/view/137449
- DOI: https://doi.org/10.31857/S0023476122600203
- EDN: https://elibrary.ru/JNCVDT
- ID: 137449
Цитировать
Полный текст
Аннотация
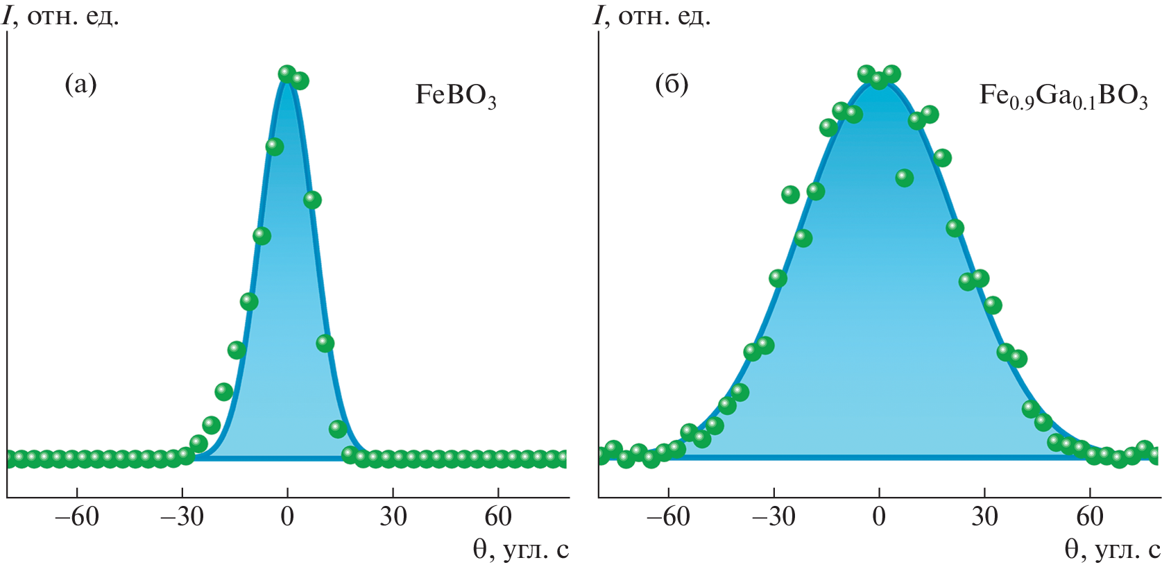
Разработан и сконструирован лабораторный ростовой комплекс, предназначенный для раствор-расплавного синтеза высокосовершенных монокристаллов бората железа и кристаллов на его основе. Оснащение ростовых установок функциональными узлами с программным управлением позволило полностью автоматизировать технологический процесс. В результате тестовых экспериментов получены монокристаллы бората железа FeBO3 и монокристаллы, легированные диамагнитными атомами галлия Fe\(_{{1--x}}\)GaxBO3. Высокая степень структурного совершенства образцов подтверждена рентгеновскими и электронно-микроскопическими методами высокого разрешения.
Об авторах
С. В. Ягупов
Физико-технический институт ФГАОУ ВО “КФУ им. В.И. Вернадского”
Email: niksnegir@yandex.ru
Россия, 295007, Симферополь, просп. Академика Вернадского, 4
Ю. А. Могиленец
Физико-технический институт ФГАОУ ВО “КФУ им. В.И. Вернадского”
Email: niksnegir@yandex.ru
Россия, 295007, Симферополь, просп. Академика Вернадского, 4
К. А. Селезнев
Физико-технический институт ФГАОУ ВО “КФУ им. В.И. Вернадского”
Email: niksnegir@yandex.ru
Россия, 295007, Симферополь, просп. Академика Вернадского, 4
М. Б. Стругацкий
Физико-технический институт ФГАОУ ВО “КФУ им. В.И. Вернадского”
Email: niksnegir@yandex.ru
Россия, 295007, Симферополь, просп. Академика Вернадского, 4
К. А. Селезнева
Физико-технический институт ФГАОУ ВО “КФУ им. В.И. Вернадского”
Email: niksnegir@yandex.ru
Россия, 295007, Симферополь, просп. Академика Вернадского, 4
И. А. Наухацкий
Физико-технический институт Крымского федерального университета им. В.И. Вернадского
Email: niksnegir@yandex.ru
Россия, Симферополь
Н. И. Снегирёв
Институт кристаллографии им. А.В. Шубникова ФНИЦ “Кристаллография и фотоника” РАН
Email: niksnegir@yandex.ru
Россия, 119333, Москва, Ленинский просп., 59
М. В. Любутина
Институт кристаллографии им А.В. Шубникова ФНИЦ “Кристаллография и фотоника” РАН
Email: niksnegir@yandex.ru
Россия, Москва
И. С. Любутин
Институт кристаллографии им. А.В. Шубникова ФНИЦ “Кристаллография и фотоника” РАН
Автор, ответственный за переписку.
Email: niksnegir@yandex.ru
Россия, 119333, Москва, Ленинский просп., 59
Список литературы
- Тимофеева В.А. Рост кристаллов из растворов-расплавов. М.: Наука, 1978. 268 с.
- Вайнштейн Б.К. Современная кристаллография. Т. 3. М.: Наука, 1979. 408 с.
- Тимофеева В.А., Квапил И. // Кристаллография. 1966. Т. 11. С. 289.
- Рябцев Н.Г. Материалы квантовой электроники. М.: Сов. радио, 1972. 384 с.
- Куприянов М.Ф., Кабиров Ю.В., Рудская А.Г. и др. Физико-химические основы создания активных материалов. Ростов-на-Дону: ЮФУ, 2011. 278 с.
- Летюк Л.М., Журавлев Г.И. Химия и технология ферритов. Л.: Химия, 1983. 256 с.
- Elwell D. Man-made gemstones. New York: E. Horwood, 1979. 191 p.
- Bezmaternykh L.N., Kharlamova S.A., Temerov V.L. // Crystallography Reports. 2004. V. 49. P. 855. https://doi.org/10.1134/1.1803319
- Bezmaternykh L.N., Temerov V.L., Gudim I.A. et al. // Crystallography Reports. 2005. V. 50. P. 97. https://doi.org/10.1134/1.2133981
- Diehl R., Jantz W., Nolang B.I. et al. // Current Topics in Materials Science. New-York: Elsevier, 1984. P. 87.
- Леонюк Н.И. // Кристаллография. 2008. Т. 53. С. 546.
- Маслов В., Воронов В., Исхакова Л. и др. // Неорган. материалы. 2019. Т. 15. С. 1219.
- Кузьмин Н., Мальцев В., Волкова Е. и др. // Неорган. материалы. 2020. Т. 56. С. 873.
- Коржнева К., Исаенко Л., Елисеев А. и др. // Фундаментальные проблемы современного материаловедения. 2018. Т. 15. С. 11.
- Мурашкевич А.Н., Жарский И.М. Теория и методы выращивания монокристаллов. Минск: БГТУ, 2010. 213 с.
- Smirnova E.S., Snegirev N.I., Lyubutin I.S. et al. // Acta Cryst. B. 2020. V. 76. P. 1100. https://doi.org/10.1107/S2052520620014171
- Snegirev N., Lyubutin I., Kulikov A. et al. // J. Alloys Compd. 2021. V. 889. P. 161702. https://doi.org/10.1016/j.jallcom.2021.161702
- Kotrbova M., Kadečková S., Novak J. et al. // J. Cryst. Growth. 1985. V. 71. P. 607.
- Овчинников C.Г., Руденко В.В., Казак Н.В. и др. // ЖЭТФ. 2020. Т. 158. С. 184.
- Potapkin V., Chumakov A.I., Smirnov G.V. et al. // J. Synchrotron Radiat. 2012. V. 19. P. 559. https://doi.org/10.1107/S0909049512015579
- Ягупов С.В., Могиленец Ю.А., Снегирёв Н.И. и др. Способ выращивания монокристаллов 57FeBO3 высокого структурного совершенства. Патент РФ № 2740126.
- Ягупов С.В., Могиленец Ю.А., Снегирёв Н.И. и др. Способ многократного использования раствора-расплава при синтезе 57FeBO3. Патент РФ № 2769681.
- Снегирёв Н.И., Богач А.В., Любутин И.С. и др. // Физика металлов и металловедение. 2023. Т. 124. С. 141. , EDN: KVXUCBhttps://doi.org/10.31857/S0015323022601325
Дополнительные файлы









