Dielectric Relaxation in a Nanosize Ferroelectric with an Incommensurate Phase Rb2ZnCl4
- Authors: Korotkov L.N.1, Stekleneva L.S.2, Pankova M.A.3, Bocharov A.I.1, Rysiakiewicz-Pasek E.4
-
Affiliations:
- Voronezh State Technical University, 394006, Voronezh, Russia
- Military Educational and Scientific Centre of the Air Force, Zhukovsky–Gagarin Air Force Academy, 394064, Voronezh, Russia
- Voronezh Institute of the Russian Federation Ministry of Internal Affairs, 394065, Voronezh, Russia
- University of Science and Technology, 54-129, Wroclaw, Poland
- Issue: Vol 68, No 5 (2023)
- Pages: 826-831
- Section: НАНОМАТЕРИАЛЫ, КЕРАМИКА
- URL: https://ogarev-online.ru/0023-4761/article/view/137441
- DOI: https://doi.org/10.31857/S0023476123600593
- EDN: https://elibrary.ru/EKDRQQ
- ID: 137441
Cite item
Full Text
Abstract
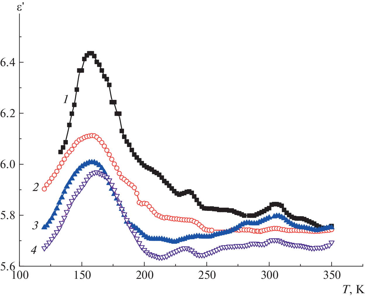
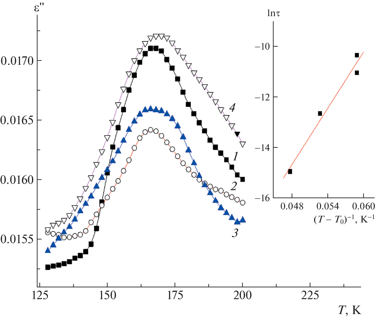
The dielectric properties of a composite obtained by embedding a ferroelectric salt Rb2ZnCl4 into a porous glass matrix with an average size of through pores of about 46 nm have been studied within the temperature range of 100–350 K at frequencies of 5–500 kHz. An increase in the dielectric permittivity dispersion depth Δε upon sample cooling, due to an increase in the concentration of “relaxers” and an increase in their dipole moment, was found. An analysis of the dielectric response features showed that a domain structure is formed in the ferroelectric phase of Rb2ZnCl4 particles, the mobility of which in the vicinity of the freezing temperature Tf obeys the empirical Vogel–Fulcher relation
About the authors
L. N. Korotkov
Voronezh State Technical University, 394006, Voronezh, Russia
Email: l_korotkov@mail.ru
Россия, Воронеж
L. S. Stekleneva
Military Educational and Scientific Centre of the Air Force, Zhukovsky–Gagarin Air Force Academy, 394064, Voronezh, Russia
Email: l_korotkov@mail.ru
Россия, Воронеж
M. A. Pankova
Voronezh Institute of the Russian Federation Ministry of Internal Affairs, 394065, Voronezh, Russia
Email: l_korotkov@mail.ru
Россия, Воронеж
A. I. Bocharov
Voronezh State Technical University, 394006, Voronezh, Russia
Email: l_korotkov@mail.ru
Россия, Воронеж
E. Rysiakiewicz-Pasek
University of Science and Technology, 54-129, Wroclaw, Poland
Author for correspondence.
Email: l_korotkov@mail.ru
Польша, Вроцлав
References
- Шувалов Л.А., Гриднев С.А., Прасолов Б.Н., Санников В.Г. // ФТТ. 1984. Т. 26. Вып. 1. С. 272.
- Шувалов Л.А., Гриднев С.А., Прасолов Б.Н., Горбатенко В.В. // Изв. АН СССР. Сер. физ. 1990. Т. 54. № 4. С. 726.
- Шувалов Л.А., Гриднев С.А., Прасолов Б.Н., Санников В.Г. // Изв. АН СССР. Сер. физ. 1987. Т. 15. № 12. С. 2229.
- Шувалов Л.А., Гриднев С.А., Прасолов Б.Н., Санников В.Г. // ФТТ. 1988. Т. 30. Вып. 2. С. 620.
- Gridnev S.A., Shuvalov L.A., Gorbatenko V.V., Prasolov B.N. // Ferroelectrics. 1993. V. 140. P. 145. https://doi.org/10.1080/00150199308008277
- Cummins H.Z. // Phys. Rep. (Rev. Phys. Lett.). 1990. 185. № 5–6. P. 211. https://doi.org/10.1016/0370-1573(90)90058-a
- Janovec V., Godfroy G., Godfroy L.R. // Ferroelectrics. 1984. V. 53. P. 333. https://doi.org/10.1080/00150198408245081
- Hirotsu S.H., Toyta K., Hamano K. // J. Phys. Soc. Jpn. 1979. V. 46. P. 1389. https://doi.org/10.1143/JPSJ.46.1389
- Струков Б.А., Белов А.А., Горшков С.Н., Кожевников М.Ю. // Изв. АН СССР. Сер. физ. 1991. Т. 55. № 3. С. 470.
- Гриднев С.А., Горбатенко В.В., Прасолов Б.Н. // Кристаллография. 1997. Т. 42. № 4. С. 730.
- Коротков Л.Н., Стекленева Л.С., Флеров И.Н. и др. // Изв. РАН. Сер. физ. 2019. Т. 83. № 9. С. 1182. https://doi.org/10.1134/s0367676519090138
- Стекленева Л.С., Брянская А.А., Панкова М.А. и др. // Конденсированные среды и межфазные границы. 2022. Т. 24. № 3. С. 362. https://doi.org/10.17308/kcmf.2022.24/9859
- Поплавко Ю.М. Физика диэлектриков: учеб. пособие для вузов. Киев: Вища школа. Головное изд-во, 1980. 400 с.
- Сидоркин А.С. Доменная структура в сегнетоэлектриках и родственных материалах. М.: ФИЗМАТЛИТ, 2000. 239 с.
- Schmidt V.H., Bohannan G., Arbogast D., Tuthill G. // J. Phys. Chem. Solids. 2000. № 61. P. 283. https://doi.org/10.1016/S0022-3697(99)00294-2
- Фельц А. Аморфные и стеклообразные неорганические твердые тела. М.: Мир, 1986. 556 с.
- Горбатенко В.В. “Динамика доменных границ и солитонов в сегнегоэлектрическом кристалле Rb2ZnCl4” Дисс. … канд. физ.-мат. наук. Воронеж: ВГТУ, 1994.
Supplementary files







