Роль химического давления в формировании структуры и барокалорических свойств комплексных фторидов и оксифторидов
- Авторы: Флёров И.Н.1,2, Горев М.В.1,2, Богданов Е.В.1,3, Лапташ Н.М.4
-
Учреждения:
- Институт физики им. Л.В. Киренского СО РАН – обособленное подразделение ФИЦ КНЦ СО РАН
- Институт инженерной физики и радиоэлектроники, Сибирский федеральный университет
- Институт инженерных систем и энергетики, Красноярский государственный аграрный университет
- Институт химии ДВО РАН
- Выпуск: Том 68, № 5 (2023)
- Страницы: 776-789
- Раздел: ФИЗИЧЕСКИЕ СВОЙСТВА КРИСТАЛЛОВ
- URL: https://ogarev-online.ru/0023-4761/article/view/137424
- DOI: https://doi.org/10.31857/S0023476123600477
- EDN: https://elibrary.ru/DJYWHW
- ID: 137424
Цитировать
Полный текст
Аннотация
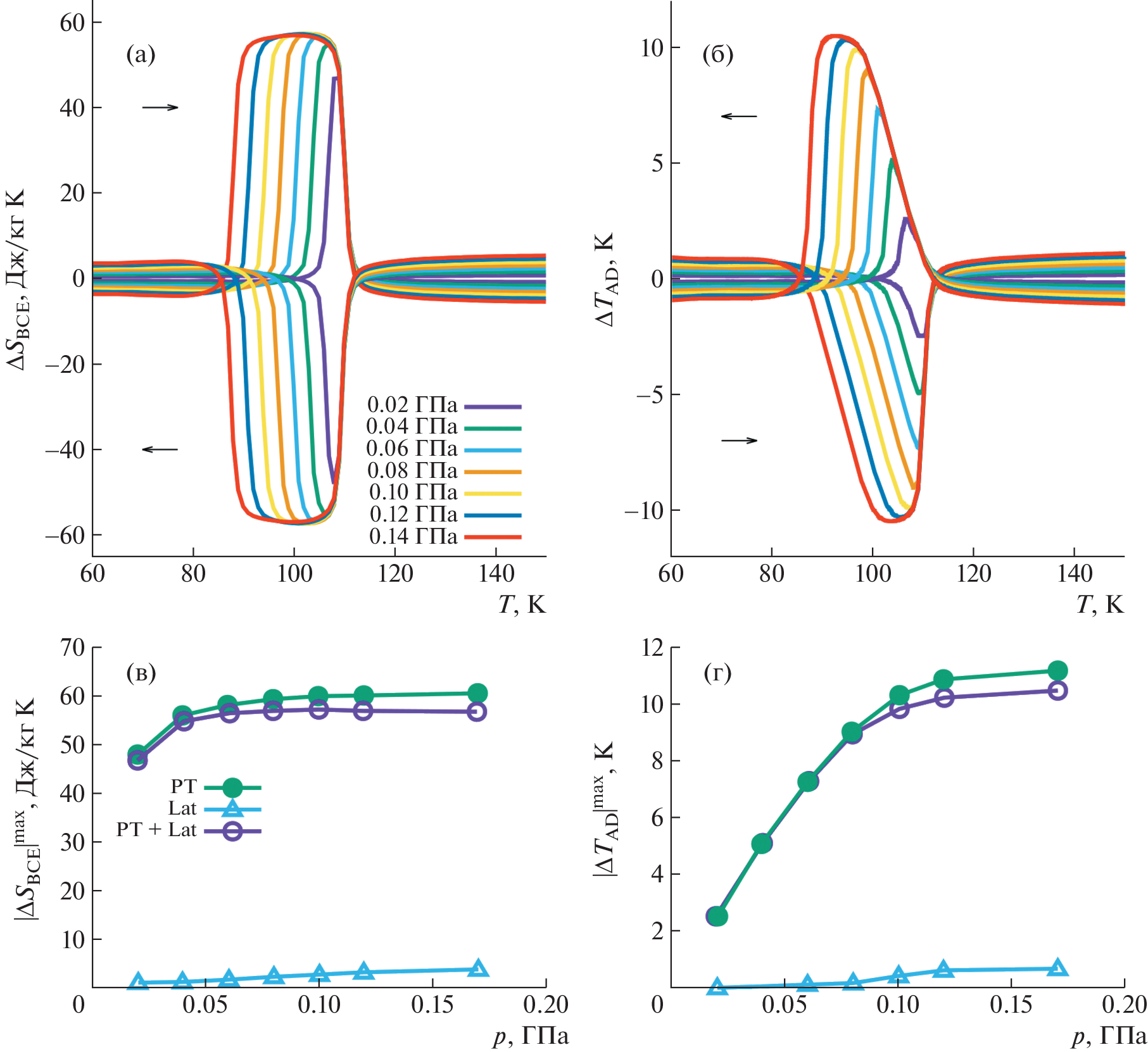
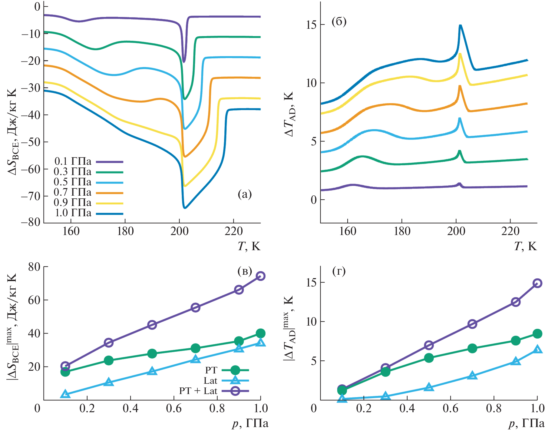
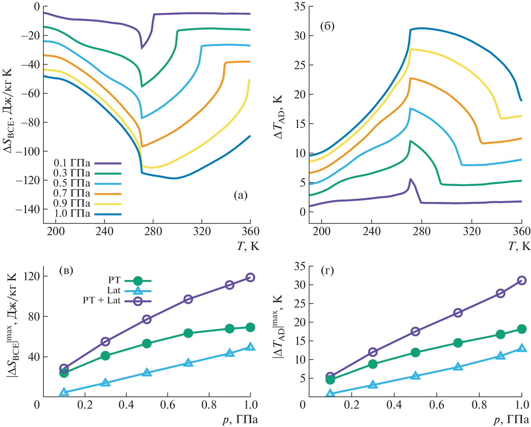
Выполнены исследования роли химического давления в качестве эффективного инструмента в процессах формирования исходных и искаженных в результате структурных превращений фаз, термодинамических свойств и прямых и обратных барокалорических эффектов в ряде комплексных оксифторидов и фторидов с октаэдрическими, тетраэдрическими и сферическими анионными и катионными группами в структуре. Установлено, что вследствие небольшого температурного гистерезиса и высокой барической чувствительности материалов максимальные величины абсолютных и интегральных барокалорических характеристик могут быть реализованы при низких давлениях, что способствует расширению температурного интервала обратимости термодинамических циклов на основе фторидов/оксифторидов в качестве твердотельных хладагентов.
Об авторах
И. Н. Флёров
Институт физики им. Л.В. Киренского СО РАН – обособленное подразделение ФИЦ КНЦ СО РАН; Институт инженерной физики и радиоэлектроники, Сибирский федеральный университет
Email: flerov@iph.krasn.ru
Россия,
Красноярск; Россия, Красноярск
М. В. Горев
Институт физики им. Л.В. Киренского СО РАН – обособленное подразделение ФИЦ КНЦ СО РАН; Институт инженерной физики и радиоэлектроники, Сибирский федеральный университет
Email: flerov@iph.krasn.ru
Россия,
Красноярск; Россия, Красноярск
Е. В. Богданов
Институт физики им. Л.В. Киренского СО РАН – обособленное подразделение ФИЦ КНЦ СО РАН; Институт инженерных систем и энергетики, Красноярский государственный аграрный университет
Email: flerov@iph.krasn.ru
Россия,
Красноярск; Россия,
Красноярск
Н. М. Лапташ
Институт химии ДВО РАН
Автор, ответственный за переписку.
Email: flerov@iph.krasn.ru
Россия, Владивосток
Список литературы
- Mañosa L., Planes A., Acet M. // J. Mater. Chem. A. 2013. V. 1. P. 4925. https://doi.org/10.1039/C3TA01289A
- Kitanovski A., Plaznik U., Tomc U., Poredoš A. // Int. J. Refrig. 2015. V. 57. P. 288. https://doi.org/10.1016/j.ijrefrig.2015.06.008
- Lorusso G., Sharples J.W., Palacios E. et al. // Adv. Mater. 2013. V. 25. P. 4653. https://doi.org/10.1002/adma.201301997
- Michaelis N., Welsch F., Kirsch S.M. et al. // Int. J. Refrig. 2019. V. 100. P. 167. https://doi.org/10.1016/j.ijrefrig.2019.01.006
- Kitanovski A. // Adv. Energy Mater. 2020. V. 10. P. 1903741. https://doi.org/10.1002/aenm.201903741
- Gschneidner Jr K.A., Pecharsky V.K., Tsokol A.O. // Rep. Prog. Phys. 2005. V. 68. P. 1479. https://doi.org/10.1088/0034-4885/68/6/r04
- Franco V., Blázquez J., Ingale B., Conde A. // Annu. Rev. Mater. Res. 2012. V. 42. P. 305. https://doi.org/10.1146/annurev-matsci-062910-100356
- Smith A., Bahl C.R., Bjørk R. et al. // Adv. Energy Mater. 2012. V. 2. P. 1288. https://doi.org/10.1002/aenm.201200167
- Zhong W., Au C.T., Du Y.W. // Chin. Phys. B. 2013. V. 22. P. 057501. https://doi.org/10.1088/1674-1056/22/5/057501
- Planes A., Mañosa L., Acet M. // J. Phys.: Condens. Matter 2009. V. 21. P. 233201. https://doi.org/10.1088/0953-8984/21/23/233201
- Brück E. Handbook of Magnetic Materials. V. 28. Amsterdam: Elsevier, 2019. 217 p.
- Scott J. // Annu. Rev. Mater. Res. 2011. V. 41. P. 229. https://doi.org/10.1146/annurev-matsci-062910-100341
- Valant M. // Prog. Mater. Sci. 2012. V. 57. P. 980. https://doi.org/10.1016/j.pmatsci.2012.02.001
- Tishin A., Spichkin Y., Zverev V., Egolf P. // Int. J. Refrig. 2016. V. 68. P. 177. https://doi.org/10.1016/j.ijrefrig.2016.04.020
- Shi J., Han D., Li Z. et al. // Joule. 2019. V. 3. P. 1200. https://doi.org/10.1016/j.joule.2019.03.021
- Zverev V., Pyatakov A., Shtil A., Tishin A. // J. Magn. Magn. Mater. 2018. V. 459. P. 182. https://doi.org/10.1016/j.jmmm.2017.11.032
- Greco A., Aprea C., Maiorino A., Masselli C. // AIP Conf. Proc. 2019. V. 2191. P. 020091. https://doi.org/10.1063/1.5138824
- Energy Savings Potential and RD&D Opportunities for Non-vapor compression HVAC Technologies, Report of the U.S. Dpt. Of Energy. March 2014
- Aznar A., Lloveras P., Barrio M. et al. // J. Mater. Chem. A. 2020. V. 8. P. 639. https://doi.org/10.1039/C9TA10947A
- Bermúdez-García J.M., Yáñez-Vilar S., García-Fernández A. et al. // J. Mater. Chem. C. 2018. V. 6. P. 9867. https://doi.org/10.1039/C7TC03136J
- Bermúdez-García J.M., Sánchez-Andújar M., Señarís-Rodríguez M.A. // J. Phys. Chem. Lett. 2017. V. 8. P. 4419. https://doi.org/10.1021/acs.jpclett.7b01845
- Li B., Kawakita Y., Ohira-Kawamura S. et al. // Nature 2019. V. 567. P. 506. https://doi.org/10.1038/s41586-019-1042-5
- Bermúdez-García J.M., Sánchez-Andújar M., Castro-García S. et al. // Nat. Commun. 2017. V. 8. P. 15715. https://doi.org/10.1038/ncomms15715
- Ouyang G., Pan C., Wolf S. et al. // Appl. Phys. Lett. 2020. V. 116. P. 251901. https://doi.org/10.1063/5.0012166
- Zarkevich N.A., Johnson D.D., Pecharsky V.K. // J. Phys. D. 2017. V. 51. P. 024002. https://doi.org/10.1088/1361-6463/aa9bd0
- Gorev M., Bogdanov E., Flerov I. // J. Phys. D. 2017. V. 50. P. 384002. https://doi.org/10.1088/1361-6463/aa8025
- Gorev M., Bogdanov E., Flerov I., Laptash N. // J. Phys.: Condens. Matter. 2010. V. 22. P. 185901. https://doi.org/10.1088/0953-8984/22/18/185901
- Hou H., Simsek E., Ma T. et al. // Science. 2019. V. 366. P. 1116. https://doi.org/10.1126/science.aax7616
- Pu Y., Zhang Q., Li R. et al. // Appl. Phys. Lett. 2019. V. 115. P. 223901. https://doi.org/10.1063/1.5126652
- Zhang G., Li Z., Yang J. et al. // Appl. Phys. Lett. 2020. V. 116. P. 023902. https://doi.org/10.1063/1.5133110
- Bradeško A., Juričić D., Santo Zarnik M. et al. // Appl. Phys. Lett. 2016. V. 109. P. 143508. https://doi.org/10.1063/1.4964124
- Hanrahan B., Easa J., Payne A. et al. // Cell Rep. Phys. Sci. 2020. V. 1. P. 100075. https://doi.org/10.1016/j.xcrp.2020.100075
- Liu Y., Wei J., Janolin P.E. et al. // Phys. Rev. B. 2014. V. 90. P. 104107. https://doi.org/10.1103/PhysRevB.90.104107
- Mañosa L., Planes A. // Adv. Mater. 2017. V. 29. P. 1603607. https://doi.org/10.1002/adma.201603607
- Lloveras P., Tamarit J.L. // MRS Energy Sustainability 2021. V. 8. P. 3. https://doi.org/10.1557/s43581-020-00002-4
- Cazorla C. // Appl. Phys. Rev. 2019. V. 6. P. 041316. https://doi.org/10.1063/1.5113620
- Wei Z.Y., Sun W., Shen Q. et al. // Appl. Phys. Lett. 2019. V. 114. P. 101903. https://doi.org/10.1063/1.5077076
- Xiao F., Li Z., Chen H. et al. // Materialia. 2020. V. 9. P. 100547. https://doi.org/10.1016/j.mtla.2019.100547
- Gui W., Qu Y., Cao Y. et al. // J. Mater. Res. Technol. 2022. V. 19. P. 4998. https://doi.org/10.1016/j.jmrt.2022.07.018
- Александров К.С., Анистратов А.Т., Безносиков Б.В. Федосеева Н.В. Фазовые переходы в кристаллах галоидных соединений ABX3. Новосибирск: Наука, 1981. 266 с.
- Александров К.С., Безносиков Б.В. Перовскиты. Настоящее и будущее. Новосибирск: Изд-во СО РАН, 2004. 231 с.
- Flerov I., Gorev M., Aleksandrov K. et al. // Mater. Sci. Eng. R Rep. 1998. V. 24. P. 81. https://doi.org/10.1016/S0927-796X(98)00015-1
- Gautier R., Gautier R., Chang K.B., Poeppelmeier K.R. // Inorg. Chem. 2015. V. 54. P. 1712. https://doi.org/10.1021/ic5026735
- Udovenko A.A., Laptash N.M. // Acta Cryst. 2008. V. 64. P. 645. https://doi.org/10.1107/S0108768108033053
- Udovenko A.A., Vasiliev A.D., Laptash N.M. // Acta Cryst. B. 2010. V. 66. P. 34. https://doi.org/10.1107/S0108768109052987
- Шувалов Л.А. // Изв. АН СССР. Сер. физ. 1979. Т. 43. 8. С. 1554
- Gorev M., Bogdanov E., Flerov I. // Scr. Mater. 2017. V. 139. P. 53. https://doi.org/10.1016/j.scriptamat.2017.06.022
- Горев М.В., Флеров И.Н., Богданов Е.В. и др. // ФТТ. 2010. Т. 52. С. 35.
- Flerov I.N., Kartashev A.V., Gorev M.V. et al. // J. Fluorine Chem. 2016. V. 183. P. 1. https://doi.org/10.1016/j.jfluchem.2015.12.010
- Флеров И.Н., Горев М.В., Трессо A., Лапташ Н.М. // Кристаллография. 2011. Т. 52. С. 13.
- Gorev M.V., Bogdanov E.V., Flerov I.N. et al. // Ferroelectrics 2010. V. 397. P. 76. https://doi.org/10.1080/00150193.2010.48472251
- Фокина В.Д., Флеров И.Н., Молокеев М.С. и др. // ФТТ. 2008. Т. 50. С. 2084. 2008
- Фокина В.Д., Богданов Е.В., Горев М.В. и др. // ФТТ. 2010. Т. 52. С. 728.
- Фокина В.Д., Богданов Е.В., Погорельцев Е.И. и др. // ФТТ. 2010. Т. 52. С. 148.
- Горев М.В., Богданов Е.В., Флеров И.Н. и др. // ФТТ. 2010. Т. 52. С. 156.
- Флеров И.Н., Горев М.В., Фокина В.Д. и др. // ФТТ. 2004. Т. 46. С. 888.
- Flerov I.N., Gorev M.V., Fokina V.D. // Phys. Solid State. 2004. V. 46. P. 915. https://doi.org/10.1134/1.1744971
- Pirc R., Kutnjak Z., Blinc R., Zhang Q.M. // Appl. Phys. Lett. 2011. V. 98. P. 021909. https://doi.org/10.1063/1.3543628
- Romanini M., Wang Y., Gürpinar K. et al. // Adv. Mater. 2021. P. 2008076. https://doi.org/10.1002/adma.202008076
- Flerov I., Gorev M., Bogdanov E., Laptash N. // Ferroelectrics. 2016. V. 500. P. 153. https://doi.org/10.1080/00150193.2016.1214525
- Salgado-Beceiro J., Nonato A., Silva R. et al. // Mater. Adv. 2020. V. 1. № 9. P. 3167. https://doi.org/10.1039/d0ma00652a
- Флеров И.Н., Фокина В.Д., Горев М.В. и др. // ФТТ. 2007. Т. 49. С. 1093.
- Богданов Е.В., Погорельцев Е.И., Мельникова С.В. и др. // ФТТ. 2013. Т. 55. С. 366.
- Bogdanov E.V., Mel’nikova S.V., Pogoreltsev E.I. et al. // Solid State Sci. 2016. V. 61. P. 155. https://doi.org/10.1016/j.solidstatesciences.2016.08.012
- Udovenko A.A., Laptash N.M. // Acta Cryst. B. 2008. V. 64. P. 527. https://doi.org/10.1107/S0108768108021289
- Mikhaleva E.A., Gorev M.V., Molokeev M.S. et al. // J. Alloys Compd. 2020. V. 839. P. 155085. https://doi.org/10.1016/j.jallcom.2020.155085
- Aznar A., Negrier P., Planes A. et al. // Appl. Mater. Today. 2021. V. 23. P. 101023. https://doi.org/10.1016/j.apmt.2021.101023
Дополнительные файлы








