Структура и основные магнитные характеристики многокомпонентных сплавов (R\(_{{1--x}}\)Yx)0.8Sm0.2Fe2 (R – тяжелые редкоземельные металлы)
- Авторы: Умхаева З.С.1, Терёшина И.С.2, Панкратов Н.Ю.3, Алиев И.М.1, Хоменко М.Р.2, Карпенков А.Ю.4
-
Учреждения:
- Комплексный научно-исследовательский институт им. Х.И. Ибрагимова РАН
- Федеральное государственное бюджетное образовательное учреждение высшего образования “Московский государственный университет имени М.В. Ломоносова”
- Московский государственный университет им. М.В. Ломоносова, физический факультет
- Тверской государственный университет
- Выпуск: Том 68, № 3 (2023)
- Страницы: 448-454
- Раздел: ДИНАМИКА РЕШЕТКИ И ФАЗОВЫЕ ПЕРЕХОДЫ
- URL: https://ogarev-online.ru/0023-4761/article/view/137419
- DOI: https://doi.org/10.31857/S0023476123700169
- EDN: https://elibrary.ru/XCSYSZ
- ID: 137419
Цитировать
Полный текст
Аннотация
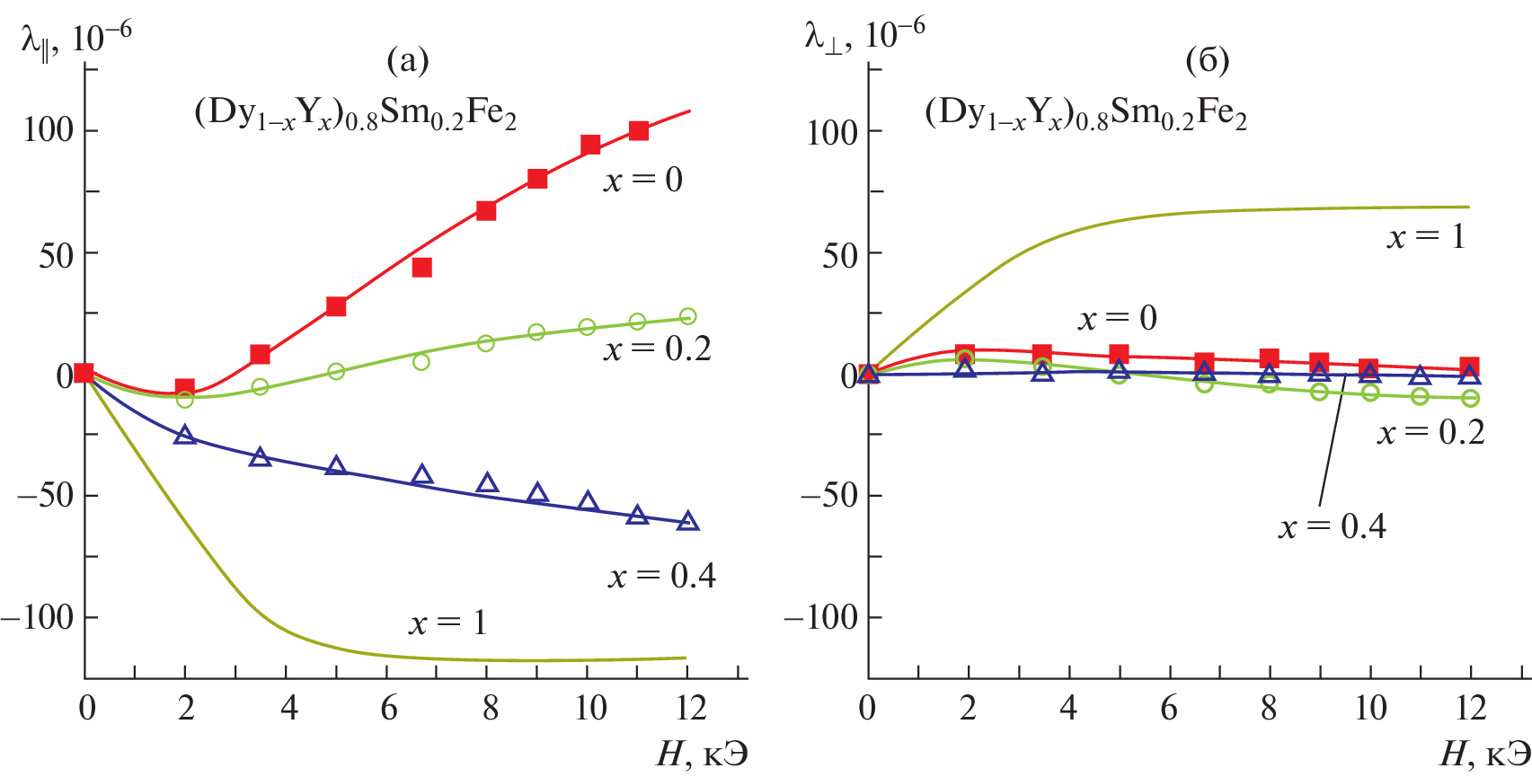
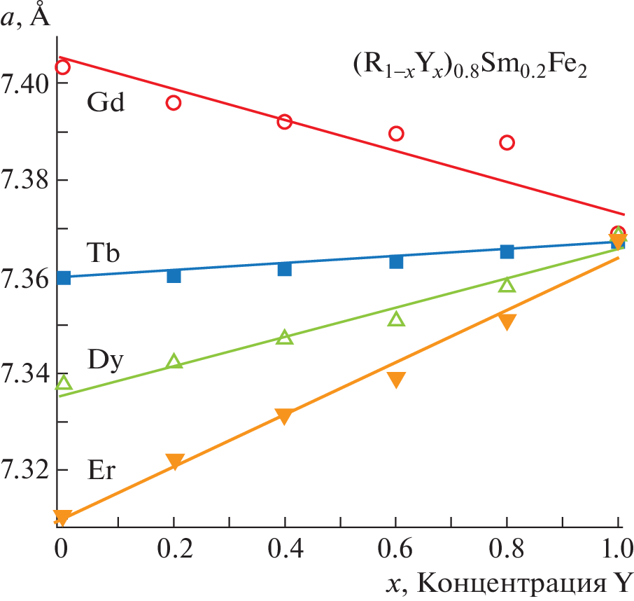
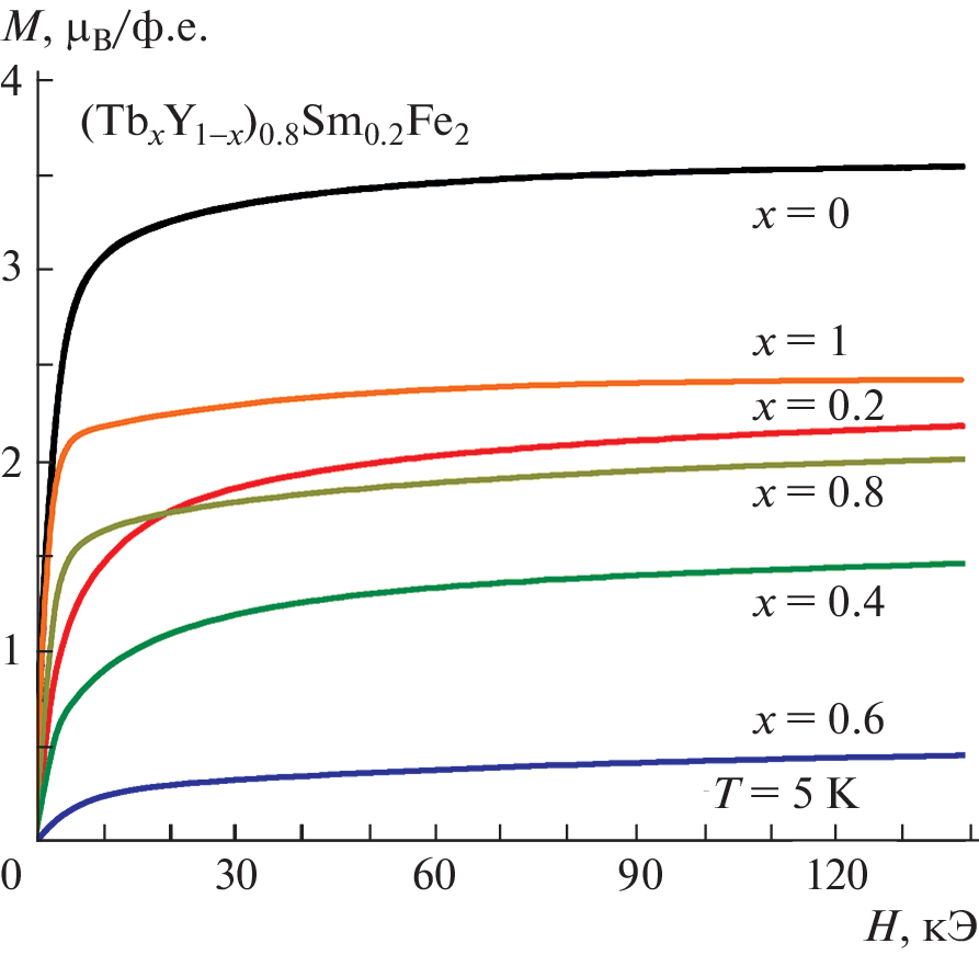
Представлены результаты синтеза и исследования структуры, магнитных и магнитострикционных свойств новых многокомпонентных сплавов на основе тяжелых редкоземельных металлов (R\(_{{1--x}}\)Yx)0.8Sm0.2Fe2, где R = Tb, Gd, Dy и Er, х = 0, 0.2, 0.4, 0.6, 0.8, 1. Установлено, что сплавы указанных систем (за исключением системы с Tb) однофазны и обладают кубической структурой фазы Лавеса С15. Показано, что параметр решетки для всех систем изменяется линейно с ростом х. Определены основные магнитные характеристики сплавов. Обнаружены практически важные явления: магнитная компенсация намагниченности подрешеток, спиновая переориентация и инверсия знака констант магнитострикции.
Ключевые слова
Об авторах
З. С. Умхаева
Комплексный научно-исследовательский институт им. Х.И. Ибрагимова РАН
Email: zargan.umhaeva@yandex.ru
Россия, Грозный
И. С. Терёшина
Федеральное государственное бюджетное образовательное учреждение высшего образования“Московский государственный университет имени М.В. Ломоносова”
Email: tereshina@physics.msu.ru
Россия, Москва
Н. Ю. Панкратов
Московский государственный университет им. М.В. Ломоносова, физический факультет
Email: pankratov@phys.msu.ru
Россия, 119992, Москва, Ленинские горы, д.1, с. 2
И. М. Алиев
Комплексный научно-исследовательский институт им. Х.И. Ибрагимова РАН
Email: zargan.umhaeva@yandex.ru
Россия, Грозный
М. Р. Хоменко
Федеральное государственное бюджетное образовательное учреждение высшего образования“Московский государственный университет имени М.В. Ломоносова”
Email: zargan.umhaeva@yandex.ru
Россия, Москва
А. Ю. Карпенков
Тверской государственный университет
Автор, ответственный за переписку.
Email: pankratov@phys.msu.ru
Россия, Тверь
Список литературы
- Илюшин А.С. Основы структурной физики редкоземельных интерметаллических соединений. М.: МГУ, 2005. 174 с.
- Тейлор К. Интерметаллические соединения редкоземельных металлов. М.: Мир, 1974. 221 с.
- Umkhaeva Z.S., Ilyushin A.S., Aleroeva T.A. et al. // Adv. Eng. Res. 2018. V. 177. P. 198.
- Engdahl G. Handbook of giant magnetostrictive materials. Academic Press, 2000. 386 p. https://doi.org/10.1016/B978-0-12-238640-4.X5014-1
- Gschneidner K.A., Jr. // Rep. Progr. Phys. 2005. V. 68. P. 1479.
- Илюшин А.С. Введение в структурную физику интерметаллических соединений. М.: МГУ, 1984. 99 с.
- Илюшин А.С., Умхаева З.С., Терёшина И.С. и др. // Вестн. МГУ. Сер. 3. 2020. № 3. С. 59.
- Aleroeva T.A., Tereshina I.S., Kaminskaya T.P. et al. // Phys. Solid State. 2019. V. 61. № 12. P. 2503. https://doi.org/10.3103/S0027134920030029
- Илюшин А.С., Умхаева З.С., Алероева Т.А. и др. // Сб. трудов VII Междунар. молодеж. симп. “Физика бессвинцовых пьезоактивных и родственных материалов”, Ростов-на-Дону–Туапсе, 20–24 сентября 2018. С. 362.
- Алероева Т.А., Терёшина И.С., Умхаева З.С. и др. // ФТТ. 2019. Т. 61. № 12. С. 2471.
- Гшнайднер К., Айринг Л. Физика и химия редкоземельных элементов. М.: Металлургия, 1982. 336 с.
- Ilyushin A.S., Tereshina I.S., Aleroeva T.A. et al. // J. Alloys Compd. 2020. V. 847. P. 155976. https://doi.org/10.1016/j.jallcom.2020.155976
- Umkhaeva Z.S., Ilyushin A.S., Nikitin S.A. et al. // Adv. Eng. Res. 2020. V. 905. P. 012071.
- Aleroeva T.A., Ilyushin A.S., Umkhaeva Z.S. et al. // Phys. Condens. State Matter. 2020. № 3. P. 257. https://doi.org/10.3103/S0027134920030029
- Илюшин А.С., Опаленко А.А., Солодов Е.В. и др. // Перспективные материалы. 2013. № 11. С. 42.
- Умхаева З.С., Илюшин А.С., Алероева Т.А. // Вестн. КНИИ РАН. 2021. № 4. С. 97. https://doi.org/10.34824/VKNIIRAN.2021.8.4.009
- Pankratov N.Y., Tereshina I.S., Politova G.A. et al. // J. Magn. Magn. Mater. 2021. V. 527. P. 167728.
Дополнительные файлы








