Знакопеременный магнитокалорический эффект в соединениях R2Fe10Al7 (R = Dy и Ho)
- Авторы: Панкратов Н.Ю.1, Терёшина И.С.2, Карпенков А.Ю.3, Никитин С.А.1
-
Учреждения:
- Московский государственный университет им. М.В. Ломоносова, физический факультет
- Федеральное государственное бюджетное образовательное учреждение высшего образования “Московский государственный университет имени М.В. Ломоносова”
- Тверской государственный университет
- Выпуск: Том 68, № 3 (2023)
- Страницы: 443-447
- Раздел: ДИНАМИКА РЕШЕТКИ И ФАЗОВЫЕ ПЕРЕХОДЫ
- URL: https://ogarev-online.ru/0023-4761/article/view/137417
- DOI: https://doi.org/10.31857/S0023476123700157
- EDN: https://elibrary.ru/XCJGCO
- ID: 137417
Цитировать
Полный текст
Аннотация
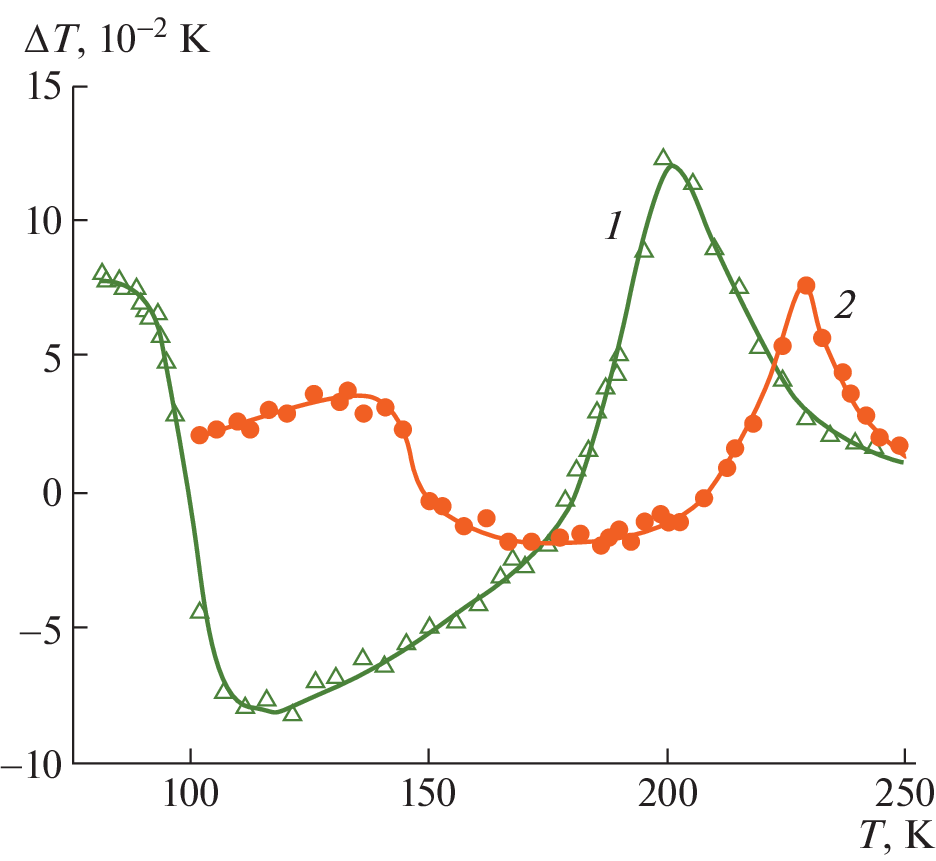
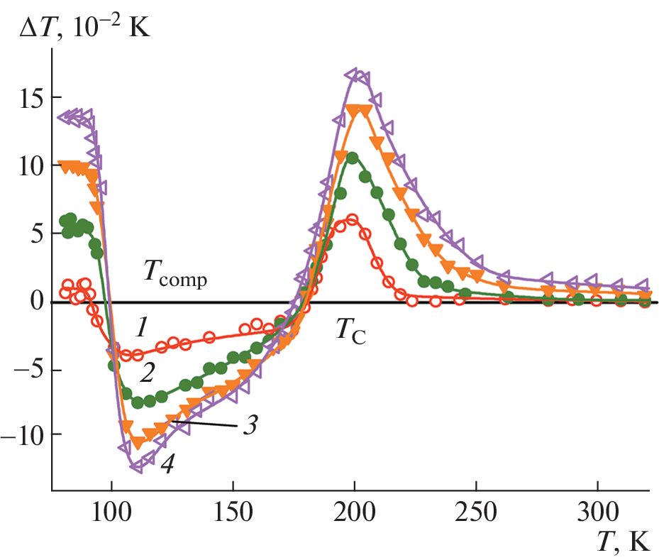
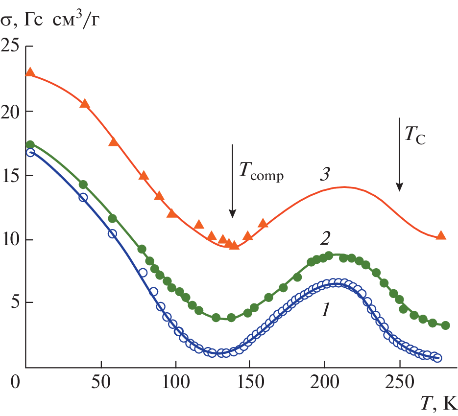
Изучены магнитные свойства редкоземельных ферримагнитных соединений Dy2Fe10Al7 и Ho2Fe10Al7 с кристаллической структурой типа Th2Zn17. Температурные зависимости намагниченности и магнитокалорического эффекта исследованы в области температур 4.2–300 K в магнитных полях до 70 и 18 кЭ соответственно. Установлены температуры магнитной компенсации намагниченности подрешеток редкоземельных элементов и железа. Магнитокалорический эффект определен прямым методом. Установлено, что знак эффекта меняется вблизи температуры магнитной компенсации. Это явление может быть перспективным для практического использования.
Ключевые слова
Об авторах
Н. Ю. Панкратов
Московский государственный университет им. М.В. Ломоносова, физический факультет
Email: pankratov@phys.msu.ru
Россия, 119992, Москва, Ленинские горы, д.1, с. 2
И. С. Терёшина
Федеральное государственное бюджетное образовательное учреждение высшего образования“Московский государственный университет имени М.В. Ломоносова”
Email: tereshina@physics.msu.ru
Россия, Москва
А. Ю. Карпенков
Тверской государственный университет
Email: pankratov@phys.msu.ru
Россия, Тверь
С. А. Никитин
Московский государственный университет им. М.В. Ломоносова, физический факультет
Автор, ответственный за переписку.
Email: pankratov@phys.msu.ru
Россия, 119992, Москва, Ленинские горы, д.1, с. 2
Список литературы
- Андреев А.В., Дерягин А.В., Задворкин С.М. и др. // Физика магнитных материалов / Ред. Мишин Д.Д. Калинин: Калининский гос. ун-т, 1985. С. 1.
- Fujii H., Sun H. // Handbook of Magnetic Materials / Ed. Buschow K.H.J. Elsevier, 1995. V. 9. Ch. 3. P. 303.
- Buschow K.H.J. // Rep. Prog. Phys. 1977. V. 40. P. 1179.
- Givord D., Lemaire R. // IEEE Trans. Mag. 1974. V. 10. P. 109.
- Tereshina I.S., Pankratov N.Y., Karpenkov A.Y. et al. // J. Appl. Phys. 2021. V. 130. P. 220902.
- He Y., Li C., Chen X. et al. // Chin. J. Mater. Res. 2022. V. 36. P. 321.
- Веселова С.В., Терёшина И.С., Вербецкий В.Н. и др. // Письма в ЖТФ. 2021. Т. 47. С. 6.
- Veselova S.V., Tereshina I.S., Verbetsky V.N. et al. // J. Magn. Magn. Mater. 2020. V. 502. P. 166549.
- Tereshina I.S., Veselova S.V., Verbetsky V.N. et al. // J. Alloys Compd. 2022. V. 897. P. 163228.
- Iwasieczko W., Pankratov N.Y., Tereshina E.A. et al. // J. Alloys Compd. 2014. V. 587. P. 739.
- Nikitin S.A., Pankratov N.Y., Smarzhevskaya A.I. et al. // J. Appl. Phys. 2015. V. 117. P. 193908.
- Zvonov A.I., Pankratov N.Y., Karpenkov D.Y. et al. // Solid State Phenomena. 2015. V. 233. P. 196.
- Itoh K., Ohkubo N., Kanematsu K., Kobayashi K.-I. // J. Alloys Compd. 1993. V. 193. P. 239.
- Nikitin S.A., Pankratov N.Y., Smarzhevskaya A.I. et al. // J. Alloys Compd. 2021. V. 854. P. 156214.
- Sabdenov C.K., Davydova M.D., Zvezdin K.A. et al. // J. Alloys Compd. 2017. V. 708. P. 1161.
- Sabdenov C.K., Davydova M.D., Zvezdin K.A. et al. // Low Temp. Phys. 2017. V. 43. P. 551.
- Ma S., Zhong Z., Wang D. et al. // Eur. Phys. J. B. 2013. V. 86. P. 133.
- Панкратов Н.Ю., Каминская Т.П., Терешина И.С. и др. // ФТТ. 2020. Т. 62. С. 719.
- Tereshina I.S., Nikitin S.A., Stepien-Damm J. et al. // J. Magn. Magn. Mater. 2003. V. 258–259. P. 427.
- Tereshina I., Nikitin S., Suski W. et al. // J. Alloys Compd. 2005. V. 404. P. 172.
- Андреенко А.С., Белов К.П., Никитин С.А., Тишин А.М. // Успехи физ. наук. 1989. Т. 158. С. 553.
- Pecharsky V.K., Gschneidner K.A., Jr. // J. Appl. Phys. 1999. V. 86. P. 565.
- Coey J.M.D. Magnetism and Magnetic Materials. Cambridge: Cambridge University Press, 2010.
- Tishin A.M., Spichcin Y.I. The Magnetocaloric Effect and its Applications, Bristol and Philadelphia: Institute of Physics Publishing, 2003.
- Kitanovski A., Tušek J., Tomc U. et al. Magnetocaloric Energy Conversion. From Theory to Applications Cham: Green Energy and Technology (GREEN) 2015. 456 p.
- Koshkid'ko Y., Pandey S., Quetz A. et al. // J. Alloys Compd. 2017. V. 695. P. 3348.
Дополнительные файлы








