A Prototype of a Background Solar Wind Forecasting Service Based on MHD Modeling and WSA Boundary Conditions
- Авторлар: Arutyunyan S.1, Kodukov A.1, Subbotin M.1, Pavlov D.1,2
-
Мекемелер:
- St. Petersburg State Electrotechnical University “LETI”, 197022, St. Petersburg, Russia
- St. Petersburg State University, 199034, St. Petersburg, Russia
- Шығарылым: Том 61, № 6 (2023)
- Беттер: 447-453
- Бөлім: Articles
- URL: https://ogarev-online.ru/0023-4206/article/view/231803
- DOI: https://doi.org/10.31857/S0023420623600113
- EDN: https://elibrary.ru/CAXOKB
- ID: 231803
Дәйексөз келтіру
Толық мәтін
Аннотация
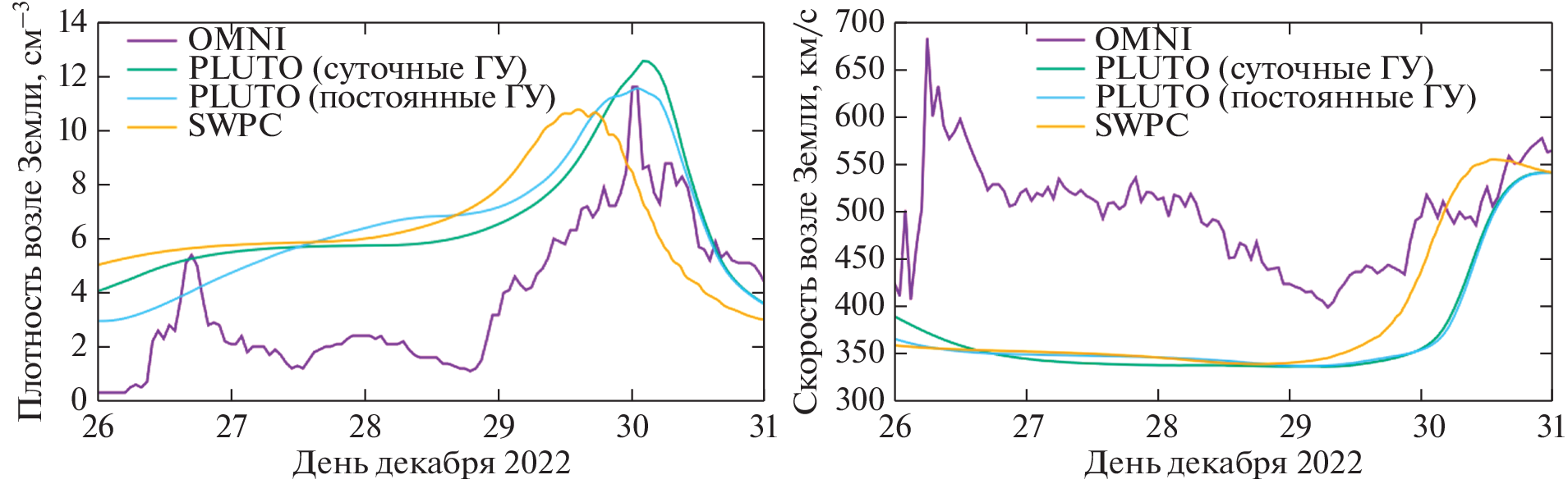
A prototype service for MHD modeling of the calm solar wind and forecasting the speed and density of solar wind particles in interplanetary space, similar to the NOAA and ESA services, has been created. The service consists of an MHD simulator, a module for processing simulation results, and a web interface. The simulator is based on the implementation of the TVDLF method in the PLUTO package. The boundary conditions of the model (density, radial velocity, magnetic field, temperature) at a distance of 0.1 AU from the origin are obtained regularly from the corresponding NOAA service, in which they are calculated according to the WSA model based on the magnetograms of the GONG network. Two modes of boundary conditions are available: constant and daily. The simulations were carried out on a uniform grid in the range of 0.1–1.7 AU by distance (512 elements), –60°...+60° by latitude (60 elements), 0°–360° by longitude (180 elements). The calculated particle velocity and density maps are compared with the NOAA SWPC and NASA CCMC calculations under the same boundary conditions. A retrospective comparison of the resulting forecasts with data from direct measurements (OMNI) was carried out.
Авторлар туралы
S. Arutyunyan
St. Petersburg State Electrotechnical University “LETI”, 197022, St. Petersburg, Russia
Email: dapavlov@etu.ru
Россия, Санкт-Петербург
A. Kodukov
St. Petersburg State Electrotechnical University “LETI”, 197022, St. Petersburg, Russia
Email: dapavlov@etu.ru
Россия, Санкт-Петербург
M. Subbotin
St. Petersburg State Electrotechnical University “LETI”, 197022, St. Petersburg, Russia
Email: dapavlov@etu.ru
Россия, Санкт-Петербург
D. Pavlov
St. Petersburg State Electrotechnical University “LETI”, 197022, St. Petersburg, Russia; St. Petersburg State University, 199034, St. Petersburg, Russia
Хат алмасуға жауапты Автор.
Email: dapavlov@etu.ru
Россия, Санкт-Петербург; Россия, Санкт-Петербург
Әдебиет тізімі
- Odstrcil D. Modeling 3-D solar wind structure // Advances in Space Research. 2003. V. 32. Iss. 4. P. 497–506. https://doi.org/10.1016/S0273-1177(03)00332-6
- Pomoell J., Poedts S. EUHFORIA: European heliospheric forecasting information Asse 2.0t // J. Space Weather Space Climate. 2018. V. 8. Art. ID. A35. https://doi.org/10.1051/swsc/2018020
- Tlatov A.G., Berezin I.A., Strelkov M.A. Simulation of Coronal Mass Ejection Propagation Based on Data from Ground-Based Patrol Observations // Geomagnetism and Aeronomy. 2019. V. 59. Iss. 7. P. 843–845. https://doi.org/10.1134/S0016793219070247
- Odstrcil D., Mays M.L., Hess Ph. et al. Operational Modeling of Heliospheric Space Weather for the Parker Solar Probe // The Astrophysical J. Supplement Ser. 2020. V. 246. Iss. 2. Art. ID. 73. 19 p. https://doi.org/10.3847/1538-4365/ab77cb
- Tóth G., Odstrčil D. Comparison of Some Flux Corrected Transport and Total Variation Diminishing Numerical Schemes for Hydrodynamic and Magnetohydrodynamic Problems // J. Computational Physics. 1996. V. 128. Iss. 1. P. 82–100. https://doi.org/10.1006/jcph.1996.0197
- Mignone A., Bodo G., Massaglia S. et al. PLUTO: a numerical code for computational astrophysics // The Astrophysical J. Supplement Series. 2007. V. 170. Iss. 1. Art. ID. 228. https://doi.org/10.1086/513316
- Arge C.N., Pizzo V.J. Improvement in the prediction of solar wind conditions using near-real time solar magnetic field updates // J. Geophysical Research: Space Physics. 2000. V. 105. Iss. A5. P. 10465–10479. https://doi.org/10.1029/1999JA000262
- Pitjeva E., Pavlov D., Aksim D., Kan M. Planetary and lunar ephemeris EPM2021 and its significance for Solar system research // Proc. Intern. Astronomical Union. 2019. V. 15. Iss. S364. P. 220–225. https://doi.org/10.1017/S1743921321001447
- Berezin I., Tlatov A. Coronal Field Geometry and Solar Wind Speed // Universe 2022. V. 8. Iss. 12. Art. ID. 646. https://doi.org/10.3390/universe8120646
- Aksim D., Pavlov D. Improving the solar wind density model used in processing of spacecraft ranging observations // Monthly Notices of the Royal Astronomical Society. 2022. V. 514. Iss. 3. P. 3191–3201. https://doi.org/10.1093/mnras/stac1229
Қосымша файлдар






