On Residual Modulation of Galactic Cosmic Rays in the Heliosphere
- Authors: Yanke V.G.1, Belov A.V.1, Gushchina R.T.1, Kobelev P.G.1, Trefilova L.A.1
-
Affiliations:
- Pushkov Institute of Terrestrial Magnetism, Ionosphere and Radio Wave Propagation, Russian Academy of Sciences, 108840, Moscow, Russia
- Issue: Vol 61, No 1 (2023)
- Pages: 43-51
- Section: Articles
- URL: https://ogarev-online.ru/0023-4206/article/view/137329
- DOI: https://doi.org/10.31857/S0023420622060115
- EDN: https://elibrary.ru/FHUEXI
- ID: 137329
Cite item
Full Text
Abstract
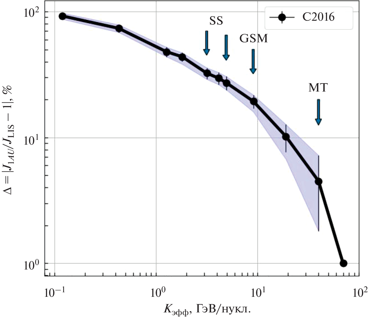
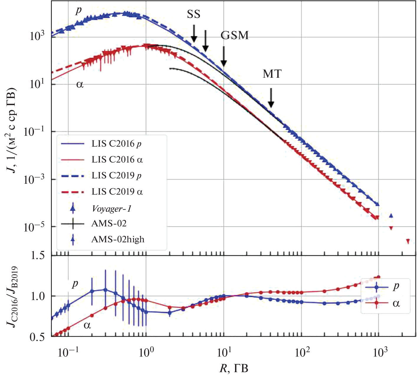
The residual modulation of galactic cosmic rays and its energy dependence have been investigated using data from three types of ground-based detectors and from PAMELA, AMS-02, Voyager 1, and Voyager 2 data. Quantitative estimates of the residual modulation in the range of rigidities of 4–41 GV were obtained. It was shown that the residual modulation is approximately the same in magnitude as the modulation due to the solar activity cycle that allows us to draw some conclusions about the modulation processes in the heliosphere. The energy spectrum of the residual modulation was obtained. A comparison was made with the results of other authors up to the Maunder epoch.
About the authors
V. G. Yanke
Pushkov Institute of Terrestrial Magnetism, Ionosphere and Radio Wave Propagation, Russian Academy of Sciences, 108840, Moscow, Russia
Email: yanke@izmiran.ru
Россия, Москва
A. V. Belov
Pushkov Institute of Terrestrial Magnetism, Ionosphere and Radio Wave Propagation, Russian Academy of Sciences, 108840, Moscow, Russia
Email: yanke@izmiran.ru
Россия, Москва
R. T. Gushchina
Pushkov Institute of Terrestrial Magnetism, Ionosphere and Radio Wave Propagation, Russian Academy of Sciences, 108840, Moscow, Russia
Email: yanke@izmiran.ru
Россия, Москва
P. G. Kobelev
Pushkov Institute of Terrestrial Magnetism, Ionosphere and Radio Wave Propagation, Russian Academy of Sciences, 108840, Moscow, Russia
Email: yanke@izmiran.ru
Россия, Москва
L. A. Trefilova
Pushkov Institute of Terrestrial Magnetism, Ionosphere and Radio Wave Propagation, Russian Academy of Sciences, 108840, Moscow, Russia
Author for correspondence.
Email: yanke@izmiran.ru
Россия, Москва
References
- Adriani O., Barbarino G.C., Bazilevskaya G.A. et al. Time Dependence of the Proton Flux Measured by PAMELA during the 2006 July–2009 December Solar Minimum // ApJ. 2013. V. 765. № 2. P. 91–100. https://doi.org/10.1088/0004-637X/765/2/91
- Aguilar M., Cavasonza L. Ali, Alpat B. et al. (AMS-02 Collaboration) “Observation of the Identical Rigidity Dependence of He, C, and O Cosmic Rays at High Rigidities by the Alpha Magnetic Spectrometer on the International Space Station” // Phys. Rev. Lett. 2018. 121, 051101. https://doi.org/10.1103/PhysRevLett.119.251101
- Stone E.C., Vogt R.E., McDonald F.B., Teegarden B.J., Trainor J.H., Jokipii J.R., Webber W.R. Cosmic ray investigation for the Voyager missions: energetic particle studies in the outer heliosphere—and beyond // Space Sci. Rev. 1977. 21, 355–376.
- Nagashima K., Morishita I. Long term modulation of cosmic rays and inverable electromagnetic state in solar modulating region // Planet. Space Sci. 1980. V. 28. № 2. P. 177–194. https://doi.org/10.1016/0032-0633(80)90094-X
- McCracken K.G. Long Term Changes in the Residual Modulation of the Galactic Cosmic Radiation. Proc. 30th ICRC, Mexico, July 3–11 2007.
- McCracken K.G., Beer J. Long-term changes in the cosmic ray intensity at Earth // J. Geophys. Res. Atmospheres. 2007. V. 112. Iss. A10. Art. No. A10101. https://doi.org/10.1029/2006JA012117
- Stone E.C., Cummings A.C., Heikkila B.C. et al. Cosmic ray measurements from Voyager 2 as it crossed into interstellar space // Nat Astro. 2019. V. 3. P. 1013–1018. https://doi.org/10.1038/s41550-019-0928-3
- Белов А.В., Ерошенко Е.А., Янке В.Г. и др. Метод глобальной съемки для мировой сети нейтронных мониторов // Геомагнетизм и аэрономия. 2018. Т. 58. № 3. С. 374–389. https://doi.org/10.7868/S0016794018030082
- Yanke V.G., Belov A.V., Gushchina R.T., Zirakashvili V.N. The rigidity spectrum of the long-term cosmic ray variations during solar activity cycles 19–24. Proc. 26th Extended ECRS + 35th RCRC, Salt Lake City, USA // J. Physics: Conference Series. 2019. V. 1181. P. 012007. https://doi.org/10.1088/1742-6596/1181/1/012007
- Belov A.V., Gushchina R.T., Oleneva V.A., Yanke V.G. Large scale modulation: view from the Earth points // Physics of Atomic Nuclei. 2021. V. 84. № 6. P. 40–51. https://doi.org/10.1134/S1063778821130056
- Maurin D., Dembinski H., Gonzalez J. et al. Cosmic-ray database update: ultra-high energy, ultra-heavy, and antinuclei cosmic-ray data (CRDB v4.0) // Universe. 2020. V. 6. № 8. https://doi.org/10.3390/universexx010005
- Белов А.В., Гущина Р.Т., Шлык Н.С., Янке В.Г. Сравнение долговременных изменений потока космических лучей по данным сети наземных детекторов PAMELA И AMS-02 // Изв. РАН. cер. физ. 2021. Т. 85. № 9. С. 1347–1350. https://doi.org/10.31857/S0367676521090040
- Vos E.E., Potgieter M.S. New Modeling of Galactic Proton Modulation during the Minimum of Solar Cycle 23/24 // Astrophys. J. 2015. V. 815. P. 119. https://doi.org/10.1088/0004-637X/815/2/119
- Corti C., Bindi V., Consolandi C., Whitman K. Solar modulation of the local interstellar spectrum with Voyager 1, AMS-02, PAMELA and BESS // Astrophy. J. 2016. V. 829. P. 8–17. https://doi.org/10.3847/0004-637X/829/1/8
- Bisschoff D., Potgieter M.S., Aslam O.P.M. New very local interstellar spectra for electrons, positrons, protons and light cosmic ray nuclei // Astrophys. J. 2019. V. 878. № 1. P. 59–67. https://doi.org/10.3847/1538-4357/ab1e4a
- Boschini M.J., Della Torre S., Gervasi M. et al. Inference of the Local Interstellar Spectra of Cosmic Ray Nuclei Z<=28 with the GALPROP–HELMOD Framework // Astrophys. J. 2020. V. 250. № 2. P. 27–57.https://doi.org/10.3847/1538-4365/aba901
- Thomson D.M. The residual cosmic ray modulation at the 1954 solar minimum // Planetary and Space Science. 1972. V. 20. № 12. P. 2196–2197. https://doi.org/10.1016/0032-0633(72)90073-6
- Gushchina R.T., Belov A.V., Eroshenko E.A. et al. Cosmic Ray Modulation during the Solar Activity Growth Phase of Cycle 24 // Geomagnetism and Aeronomy. 2014. V. 54. № 4. P. 430–436.
- McCracken K.G. Heliomagnetic field near Earth, 1428–2005 // J. Geophys. Res. 2007. V. 112. P. A09106. https://doi.org/10.1029/2006JA012119
- Caballero-Lopez R.A., Moraal H., McCracken K.G., McDonald F.B. The heliospheric magnetic field from 850 to 2000 AD inferred from 10Be records // J. Geophys. Res. 2004. V. 109. P. A12102. doi: 10:1029/2004JA010633
- Крайнев М.Б., Калинин М.С. Аргументы в пользу влияния внешнего электрического поля гелиосферы на галактические космические лучи // Изв. РАН. сер. физ. 2003. Т. 67. № 10. С. 1439–1442.
- Крымский Г.Ф., Кривошапкин П.А., Мамрукова В.Н., Скрипин Г.В. Эффекты взаимодействия гелиомагнитосферы с галактическим полем в космических лучах // Геомагнетизм и Аэрономия. 1981. Т. 21. № 5. С. 923–925.
- Cummings A.C., Stone E.C., Heikkila B.C. et al. Galactic cosmic rays in the local interstellar medium: voyager 1 observations and model results // The Astrophysical J. 2016. 831 : 18 (21pp). № 1. https://doi.org/10.3847/0004-637X/831/1/18
Supplementary files








