Пространственно-временные структуры в овале полярных сияний: подходы к моделированию
- Авторы: Козелов Б.В.1
-
Учреждения:
- Полярный геофизический институт
- Выпуск: Том 61, № 3 (2023)
- Страницы: 179-188
- Раздел: Статьи
- URL: https://ogarev-online.ru/0023-4206/article/view/137326
- DOI: https://doi.org/10.31857/S0023420622700054
- EDN: https://elibrary.ru/BVLCRW
- ID: 137326
Цитировать
Полный текст
Аннотация
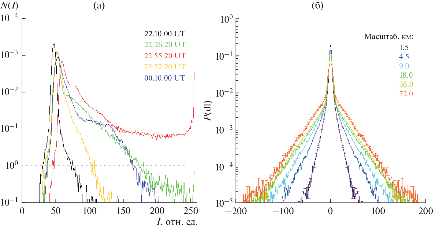
Взаимодействие окружающей Землю магнитосферно-ионосферной (МИ) системы со средой (солнечным ветром) происходит в форме череды переходных процессов на разных масштабах. Наиболее крупные из них, магнитные бури, очевидно триггируются возмущениями в солнечном ветре (англ. direct driving). Роль внутренней динамики МИ-системы, вызванной в значительной степени нелинейностью и временными запаздываниями процессов поступления и сброса (англ. load-unload processes) энергии и частиц из солнечного ветра в магнитосферу, становится более существенной на меньших масштабах (суббури, псевдобрейкапы, инжекции, активизации). Типичное динамическое состояние МИ-системы описывается как самоорганизованная критичность или турбулентность, для которых свойственны статистическая масштабная инвариантность (скейнинг, англ. scathing) в распределениях флуктуаций многих характеристик. Динамика МИ-системы проектируется в область аврорального овала, само существование которого обусловлено этой динамикой. Пространственно-временная структура авроральных возмущений в большой степени отражает структуру процессов в МИ-плазме. Описание этой структуры важно как для фундаментального изучения плазменных процессов, так и для многих актуальных прикладных вопросов, связанных с прохождением радиоволн в ионосфере и жизнедеятельностью в высоких широтах. В статье обсуждаются подходы и наработки для построения модели пространственно-временной структуры аврорального овала, основанные на фрактальных и мультифрактальных характеристиках.
Об авторах
Б. В. Козелов
Полярный геофизический институт
Автор, ответственный за переписку.
Email: boris.kozelov@gmail.com
Россия, Мурманская область, Апатиты
Список литературы
- Akasofu S.-I. Polar and magnetospheric substorm. Dordrecht, Holland: D. Reidel Publishing Company, 1968. https://doi.org/10.1007/978-94-010-3461-6
- Козелов Б.В. Природа полярных сияний и подходы к описанию структуры аврорального свечения // Мат. исслед. в естеств. науках: Тр. 7-й Всероссийской науч. шк. Апатиты, Геолог. ин-т КНЦ РАН, Кольское отд-ние РМО. 3–6 окт. 2011 / под ред. Ю.Л. Войтеховского. Апатиты: Изд-во K&M, 2011. С. 32–47.
- Yahnin A.G., Despirak I.V., Lubchich A.A. et al. Relationship between substorm auroras and processes in the near-Earth magnetotail // Space Sci. Reviews. 2006. V. 122. P. 97–106.
- Сахаров Я.А., Мингалев И.В., Козелов Б.В. и др. Влияние геомагнитного возмущения на зоны доступности односкачковой связи коротковолнового диапазона // Изв. РАН. Сер. физ. 2022. Т. 86. № 3. С. 386–392.
- Chernyshov A.A., Kozelov B.V., Mogilevsky M.M. Study of auroral ionosphere using percolation theory and fractal geometry // J. Atmos. Solar-Terrest. Phys. 2017. V. 161. P. 127–133.
- Milovanov A.V., Zelenyi L.M., Zimbardo G. Fractal structures and power law spectra in the distant Earth’s magnetotail // J. Geophys. Res. 1996. V. 101(A9). P. 19903–19910.
- Каррерас Б.А., Ньюман Д., Линч В.Е., Даймонд П.Х. Самоорганизованная критичность как парадигма для процессов переноса в плазме, удерживаемой магнитным полем // Физика плазмы. 1996. Т. 22. № 9. С. 819–833.
- Frisch U. Turbulence: The Legacy of A.N. Kolmogorov. Cambridge University Press, 1995.
- Bak P. How nature works. The science of self-organized criticality: Oxford University Press, 1997.
- Jensen H.J. Self-organized criticality. Cambridge University Press, 1998.
- Lui A.T.Y. Multiscale phenomena in the near-Earth magnetosphere // J. Atm. Solar-Terr. Phys. 2002. V. 64. P. 125–143.
- Mandelbrot B. The fractal geometry of nature. San-Francisco: Freeman, 1982.
- Wendt H., Roux S.G., Jaffard S., Abry P. Wavelet leaders and bootstrap for multifractal analysis of images // Signal Proces. 2009. V. 89. P. 1100–1114.
- Uritsky V., Pudovkin M.I., Steen A. Geomagnetic substorm as perturbed self-organized critical dynamics of the magnetosphere // J. Atm. Solar-Terr. Phys. 2001. V. 63. P. 1415–1424.
- Uritsky V.M., Klimas A.J., Vassiliadis D.et al. Scale-free statistics of spatiotemporal auroral emissions as depicted by POLAR UVI images: Dynamic magnetosphere is an avalanching system // J. Geophys. Res. 2002. V. 107(A12), Art. № 1426. https://doi.org/10.1029/2001000281
- Kozelov B.V., Uritsky V.M., Klimas A.J. Power law probability distributions of multiscale auroral dynamics from ground-based TV observations // Geophys. Res. Lett. 2004. V. 31. Art. № L20804.
- Козелов Б.В., Ролдугин А.В. Пространственно-временное самоподобие на малых масштабах в суббуревых активизациях по данным высокоскоростной камеры в Ловозеро // Изв. РАН. Сер. физ. 2022. Т. 86. № 3. С. 335–339.
- Uritsky V., Klimas A., Vassiliadis D. Evaluation of spreading critical exponents from the spatiotemporal evolution of emission regions in the nighttime aurora // Geophys. Res. Lett. 2003. V. 30(15). https://doi.org/10.1029/2002GL016556
- Uritsky V.M., Donovan E., Trondsen T. et al. Data-derived spatiotemporal resolution constraints for global auroral imagers // J. Geophys. Res. 2010. V. 115. Art. № A09205.
- Kozelov B.V., Rypdal K. Intermittence in auroral fluctuations during substorm // Physics of Auroral Phenomena. Proc. 29th Annual Seminar. Apatity, 2006. P. 48–51.
- Kozelov B.V., Rypdal K. Spatial scaling of optical fluctuations during substorm-time aurora // Ann. Geophys. 2007. V. 25. P. 915–927.
- Golovchanskaya I.V., Kozelov B.V., Sergienko T.I. et al. Scaling behavior of auroral luminosity fluctuations observed by Auroral Large Imaging System (ALIS) // J. Geophys. Res. 2008. V. 113. Art. № A10303.
- Abry P., Flandrin P., Taqqu M.S., Veitch D. Wavelets for the analysis, estimation and synthesis of scaling data // Self-Similar Network Traffic and Performance Evaluation / ed. K. Park, W. Willinger. Hoboken, NJ: Wiley-Interscience, 2000. P. 39–88. https://doi.org/10.1002/047120644X.ch2
- Козелов Б.В. Фрактальные характеристики пространственной структуры полярных сияний // Физика околоземного космич. пространства. Апатиты: Изд-во КНЦ РАН, 2000. С. 572–597.
- Kozelov B.V. Fractal approach to description of the auroral structure // Ann. Geophys. 2003. V. 21. P. 2011–2023.
- Kozelov B.V., Golovchanskaya I.V., Mingalev O.V. Inverse cascade in the structure of substorm aurora and non-linear dynamics of field-aligned current filaments // Ann. Geophys. 2011. V. 29. P. 1349–1354.
- Chang T., Tam S.W.Y., Wu C. Complexity induced anisotropic bimodal intermittent turbulence in space plasmas // Phys. Plasma. 2004. V. 11(4). P. 1287–1299.
- Kozelov B.V., Golovchanskaya I.V. Scaling of electric field fluctuations associated with the aurora during northward IMF // Geophys. Res. Lett. 2006. V. 33. Art. № L20109.
- Takens F. On the numerical determination of the dimension of an attractor // Dynamical Systems and Bifurcations / ed. Braaksma B.L.J., Broer H.W., Takens F. Book ser. Groningen. Lecture Notes in Mathematics. Berlin: Springer-Verlag, 1985. V. 1125. P. 99–106.
- Grassberger P., Procaccia I. Characterization of strange attractors // Phys. Rev. Let. 1983. V. 50(5). P. 346–349.
- Kozelov B.V., Vjalkova N.Y. Search of temporal chaos in TV images of aurora // Intern. J. Geomagn. Aeron. 2005. V. 5. Art. № GI3005. https://doi.org/10.1029/2005GI000102
- Kozelov B.V., Kozelova T.V., Kornilova T.A. Dynamics of auroral intensification as an output of magnetosphere-ionosphere system // Proc. 6th Intern. Conf. Substorms. University of Washington, Seattle, 25–29 Mar. 2002. P. 432–437.
- Козелов Б.В., Ролдугин А.В. Получение информации об ионосферно-магнитосферной плазме по наблюдениям полярных сияний // Изв. РАН. Сер. физ. 2021. Т. 85. № 3. С. 366–371.
- Козелова Т.В., Пудовкин М.И., Лазутин Л.Л. Особенности развития стимулированных и спонтанных магнитосферных суббурь по спутниковым и наземным данным // Геомагнетизм и аэрономия. 1989. Т. 29. № 6. С. 910–915.
- Kozelov B.V., Pilgaev S.V., Borovkov L.P., Yurov V.E. Multi-scale auroral observations in Apatity: winter 2010–2011 // Geosci. Instrum. Method. Data Syst. 2012. V. 1. Iss. 1. P. 1–6. https://doi.org/10.5194/gi-1-1-2012
- Kozelov B.V., Golovchanskaya I.V. Derivation of aurora scaling parameters from ground-based imaging observations: Numerical tests // J. Geophys. Res. 2010. V. 115. Art. № A02204.
- Chernyshov A.A., Mogilevsky M.M., Kozelov B.V. Use of fractal approach to investigate ionospheric conductivity in the auroral zone // J. Geophys. Res. 2013. V. 118(7). P. 4108–4118.
Дополнительные файлы











