Влияние малых вариаций концентрации плазмы на условия распространения электромагнитных волн свистового диапазона сквозь утреннюю ионосферу
- Авторы: Мизонова В.Г.1,2, Беспалов П.А.2,3
-
Учреждения:
- Нижегородский государственный технический университет им. Р.Е. Алексеева
- Национальный исследовательский университет “Высшая школа экономики”
- Институт прикладной физики РАН
- Выпуск: Том 61, № 2 (2023)
- Страницы: 91-102
- Раздел: Статьи
- URL: https://ogarev-online.ru/0023-4206/article/view/137321
- DOI: https://doi.org/10.31857/S0023420622100077
- EDN: https://elibrary.ru/LSBSIO
- ID: 137321
Цитировать
Полный текст
Аннотация
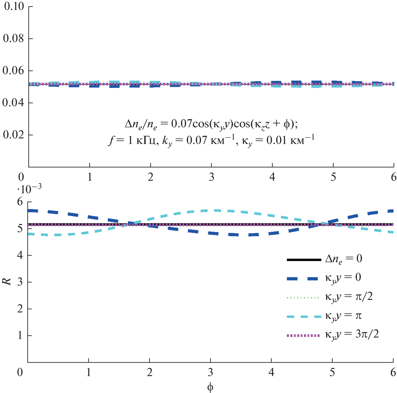
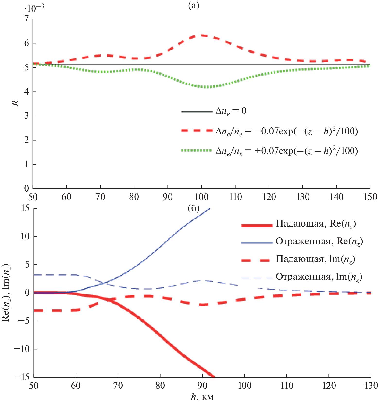
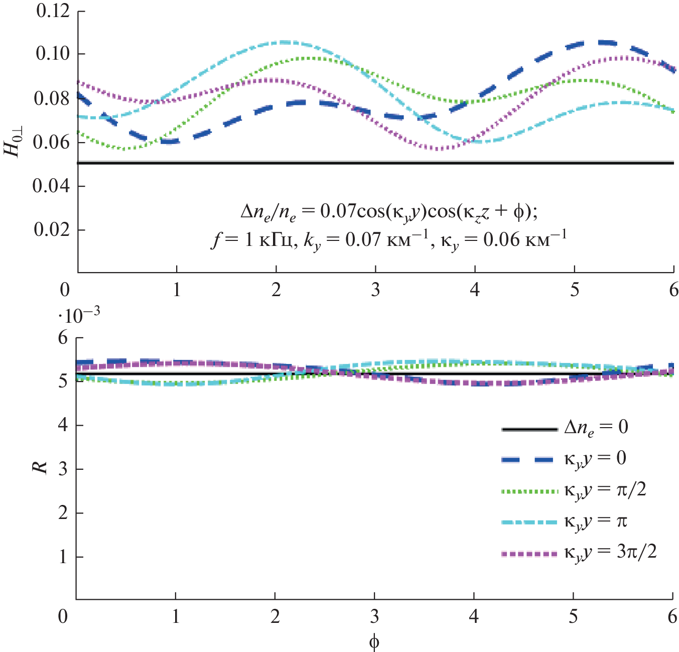
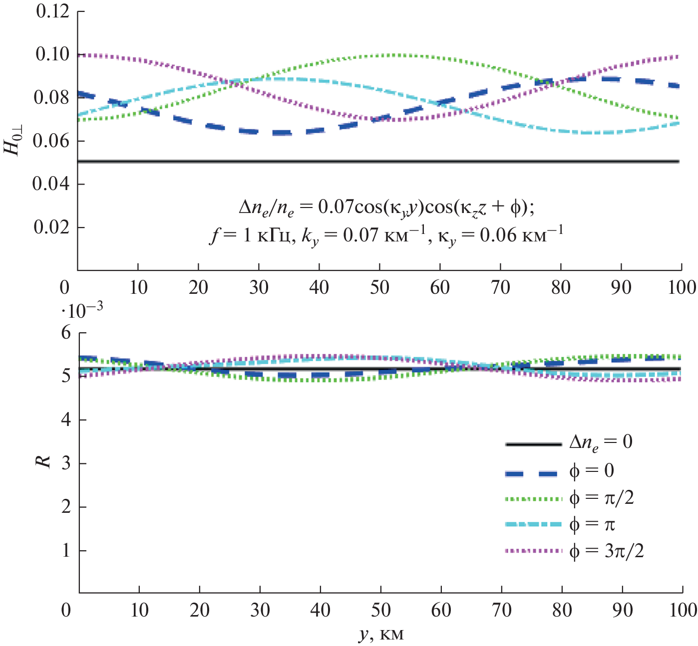
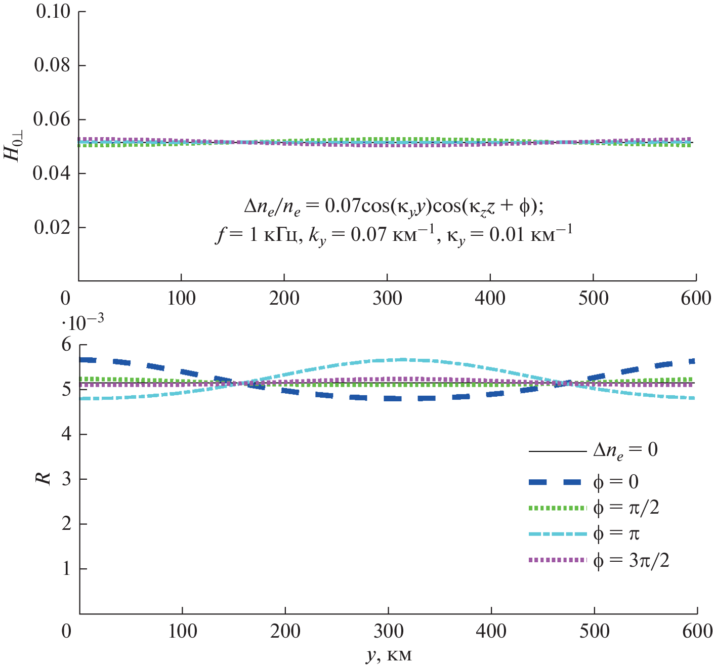
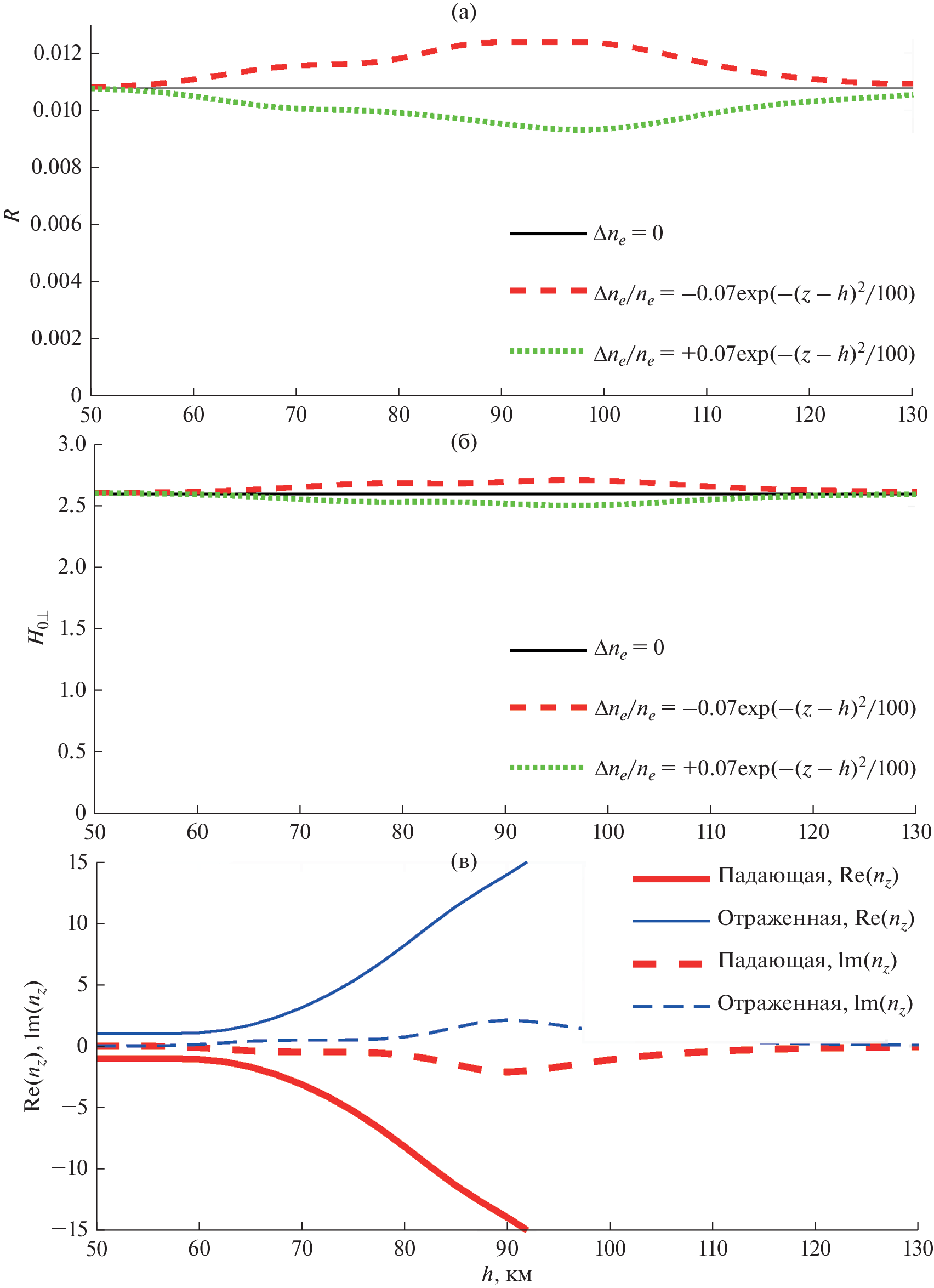
Рассмотрена задача о влиянии вызванных инфразвуковыми волнами возмущений плазменной концентрации на распространение и отражение электромагнитных волн свистового диапазона, падающих на утреннюю ионосферу сверху. Исследовано влияние параметров инфразвуковой волны на коэффициент отражения свистовой волны от ионосферы сверху в общем случае наклонного распространения. Наиболее сильные изменения коэффициента отражения свистовых волн связаны с возмущениями концентрации на высотах порядка 80–100 км, где декремент затухания распространяющихся мод электромагнитного излучения увеличивается более чем на порядок в пределах достаточно локальной по высоте (менее 10–15 км) области. Проанализированы особенности параметрического воздействия колебаний плазменной концентрации в инфразвуковой волне на поле свистовой волны, дошедшей до земной поверхности. При близких значениях горизонтальных волновых чисел свистовой и инфразвуковой волн поле свистовой волны вблизи земной поверхности может увеличиваться в несколько раз. Полученные результаты важны для понимания взаимосвязи магнитосферных волновых процессов различной природы. Исследование модуляции инфразвуковыми волнами коэффициента отражения свистовых волн от ионосферы сверху актуально для объяснения режимов работы плазменного магнитосферного мазера.
Об авторах
В. Г. Мизонова
Нижегородский государственный технический университет им. Р.Е. Алексеева; Национальный исследовательский университет “Высшая школа экономики”
Email: vermiz@mail.ru
Россия, Нижний Новгород; Россия, Нижний Новгород
П. А. Беспалов
Национальный исследовательский университет “Высшая школа экономики”; Институт прикладной физики РАН
Автор, ответственный за переписку.
Email: vermiz@mail.ru
Россия, Нижний Новгород; Россия, Нижний Новгород
Список литературы
- Srivastava R.N. VLF hiss, visual aurora and geomagnetic activity // Planet. Space Sci. 1976. V. 24. P. 375–379. https://doi.org/10.1016/0032-0633(76)90050-7
- Manninen J., Kleimenova N.G., Kozyreva O.V. et al. Experimental evidence of the simultaneous occurrence of VLF chorus on the ground in the global azimuthal scale – from pre-midnight to the late morning // Ann. Geophys. 2012. V. 30. P. 725–732. https://doi.org/10.5194/angeo-30-725-2012
- Nemec F., Santolık O., Parrot M. et al. Conjugate observations of quasi-periodic emissions by Cluster and D-EMETER spacecraft // J. Geophysical Res. Space Physics. 2013. V. 118. P. 198–208. https://doi.org/10.1029/2012JA018380
- Manninen J., Kleimenova N.G., Kozyreva O.V. et al. Non-typical ground-basedquasi-periodic VLF emissions observed at L 5.3 under quiet geomagnetic conditions at night // J. Atmos. Solar Terr. Phys. 2013. V. 99. P. 123–128. https://doi.org/10.1016/j.jastp.2012.05.007
- Titova E.E., Kozelov B.V., Demekhov A.G. et al. Identification of the source of quasiperiodic VLF emissions using ground-based and Van Allen Probes satellite observations // Geophys. Res. Lett. 2015. V. 42. P. 6137–6145. https://doi.org/10.1002/ 2015GL064911
- Sonwalkar V.S., Harikumar J. An explanation of ground observations of auroral hiss: Role of density depletions and meter-scale irregularities // J. Geophys. Res. 2000. V. 105. P. 18867–18883. https://doi.org/10.1029/1999JA000302
- Bell T.F., Ngo H.D. Electrostatic lower hybrid waves excited by electromagnetic whistler mode waves scattering from planar magnetic-field-aligned plasma density irregularities // J. Geophys. Res. 1990. V. 95. P. 149–172. https://doi.org/10.1029/JA095iA01p00149
- Shklyar D., Chum J., Jiricek F. Characteristic properties of Nu whistlers as inferred from observations and numerical modelling // Ann. Geophys. 2004. V. 22(10). P. 3589–3606. https://doi.org/10.5194/angeo-22-3589-2004
- Kuzichev I.V. On whistler mode wave scattering from density irregularities in the upper ionosphere // J. Geophys. Res. 2012. V. 117. Art. № A0632. https://doi.org/10.1029/2011JA017130
- Blanc E. Observations in the upper atmosphere of infrasonic waves from natural or artificial sources-A summary // Ann. Geophys. 1985. V. 3. P. 673–687.
- Госсард Э., Хук У. Волны в атмосфере. М.: Мир, 1978.
- Беспалов П.А., Трахтенгерц В.Ю. Альфвеновские мазеры. Горький: ИПФ АН СССР, 1986.
- Budden K.G. The Propagation of Radio Waves: The Theory of Radio Waves of Low Power in the Ionosphere and Magnetosphere. Cambridge: Cambridge Univ. Press, 1985.
- Беспалов П.А., Мизонова В.Г. Особенности распространения падающих на ночную ионосферу сверху электромагнитных волн свистового диапазона // Космич. исслед. 2018. Т. 56. № 1. С. 33–39. https://doi.org/10.7868/S0023420618010041. (Cosmic Research. 2018. V. 56. P. 26–31.)10.7868/S0023420618010041
- Bilitza D., Reinisch B. International Reference Ionosphere 2007: Improvements and new parameters // J. Adv. Space Res. 2007. V. 42. P. 599–609. https://doi.org/10.1016/j.asr.2007.07.048
- Гуревич А.В., Шварцбург А.Б. Нелинейная теория распространения радиоволн в ионосфере. М.: Наука. 1973.
- Савина О.Н., Беспалов П.А. Особенности фильтрации длинных акустико-гравитационных волн в безветренной атмосфере // Изв. вузов. Радиофизика. 2014. Т. 57. № 2. С. 129–136. https://doi.org/10.1007/s11141-014-9497-6
- Ортега Дж., Пул. У. Введение в численные методы решения дифференциальных уравнений. М.: Наука, 1986.
- Bespalov P.A., Mizonova V.G. Propagation of a whistler wave incident from above on the lower nighttime ionosphere // Ann. Geophys. 2017. V. 35. P. 671–675. https://doi.org/10.5194/angeo-35-671-2017
- Bespalov P.A., Mizonova V.G., Savina O.N. Reflection from and transmission through the ionosphere of VLF electromagnetic waves incident from the mid-latitude magnetosphere // J. Atmos. Solar Terr. Phys. 2018. V. 175. P. 40–48. https://doi.org/10.1016/j.jastp.2018.04.018
Дополнительные файлы











