Influence of dispersion medium and precipitating agent on sol and gel formation of lead zirconate-titanate ceramic precursor
- Authors: Paramonova N.D.1, Danilov E.A.1, Ivanova E.A.1
-
Affiliations:
- Акционерное общество «Научно-исследовательский институт конструкционных материалов на основе графита «НИИграфит»
- Issue: Vol 86, No 6 (2024)
- Pages: 805-816
- Section: Articles
- Submitted: 20.02.2025
- Accepted: 20.02.2025
- Published: 15.11.2024
- URL: https://ogarev-online.ru/0023-2912/article/view/280806
- DOI: https://doi.org/10.31857/S0023291224060124
- EDN: https://elibrary.ru/VKXDSO
- ID: 280806
Cite item
Full Text
Abstract
In the present paper, we report data on the influence of choice of dispersion medium-precipitating agent pair on sol-gel process for lead zirconate-titanate ceramic precursor manufacturing. Acetic acid and 2-methoxyethanol were studied as dispersion media, whereas ethylene glycol and water – as respective precipitating agents. Changes in optical, rheological properties and particle size distributions during the sol-gel transition were studied at different concentrations of precipitating agents. It was shown that the nature and relative concentration of dispersion medium and precipitating agent provide wide-range control of lead zirconate-titanate sol and gel properties as well as the rate of sol-gel process, mechanism of formation and structure of the gels.
Full Text
ВВЕДЕНИЕ
В литературе имеется значительное количество сообщений об успешном синтезе керамики системы цирконата–титаната свинца РbZrО3–PbTiО3 (ЦТС) в виде порошков [1–12], пленочных материалов [13–34] и волокон [35–42] золь–гель методом. Стоит отметить, что почти все опубликованные работы последних лет посвящены получению керамических материалов, рассмотрение условий протекания собственно золь–гель процесса рассмотрено лишь в единичных статьях [6, 20, 23, 25, 43]: внимание уделяется влиянию параметров синтеза (получения смешанного раствора и его гидролиза) на размеры частиц и стехиометрию получающихся порошков. Кинетика образования золя и последующей гелификации для данной системы практически не изучена.
Золь–гель метод является универсальной коллоидно-химической технологией и позволяет с высокой степенью контроля получать керамические материалы в виде тонкодисперсных порошков с узким распределением частиц по размерам, пленок, аэрогелей, ориентированных частиц, нанотрубок и наностержней; также имеется возможность изготовления композиционных материалов методом in situ [44, 45]. Преимуществами золь–гель метода синтеза ЦТС являются истинная гомогенность растворов исходных компонентов, однородность условий образования золя, высокая чистота получаемых порошков, возможность точного контроля стехиометрии, меньшие, чем при твердофазном синтезе, потери свинца, связанные с испарением в процессе синтеза и кристаллизации (за счет минимального размера первичных зерен и однородности их состава), а также возможность сушки при более низких по сравнению с иными методами температурах [46].
Золь–гель метод заключается в последовательном образовании золя из раствора-прекурсора и его последующего перевода в гель за счет образования зародышей дисперсной фазы и формирования коагуляционных контактов между ними, что сопровождается изменением реологических, оптических и структурных свойств системы [47]. При сушке геля происходит удаление жидкой фазы, которое сопровождается деформацией структуры сетки (усадкой) с образованием порошков, пленок или волокон, которые затем подвергают кристаллизации для формирования структуры типа перовскита.
Физико-химические изменения, происходящие в процессе формирования связнодисперсной системы при получении прекурсора цирконата–титаната свинца золь–гель методом, изучены крайне слабо. Температура, количество вводимого в раствор гидролизующего агента, pH дисперсионной среды, модификация органических лигандов металлокомплексами или использование различных систем стабилизаторов и/или растворителей являются факторами, оказывающими значительное влияние на кинетику протекания физико-химических процессов в процессе золь–гель синтеза. Перечисленные параметры процесса также оказывают большое влияние на структуру и физические свойства получаемых материалов (керамик) на основе системы ЦТС, поскольку закономерности термического разложения гелей-прекурсоров и их спекания зависят от концентрации и размеров зародышей дисперсной фазы [48].
Для синтеза пьезокерамики системы ЦТС чаще всего используют алкоксиды металлов [49], которые являются гидролизующимися прекурсорами; также возможно использование солей металлов, например, ZrO(NO3)2 [50]. В качестве растворителей чаще всего используют 2-метоксиэтанол или уксусную кислоту. Переход золя в гель может быть невыраженным, т. е. образование геля может происходить при плавном нарастании вязкости системы [51]. В любом случае получение высококачественных материалов на основе ЦТС требует понимания закономерностей данных процессов и свойств исходных компонентов.
Золь образуется в результате реакции гидролиза/сольволиза алкоксидов и последующей конденсации продуктов реакции в наночастицы при добавлении гидролизующего (в общем случае – осаждающего) агента в смешанный раствор-прекурсор ЦТС. Присоединение молекулы осаждающего агента происходит по механизму нуклеофильного замещения. Например, в наиболее распространенном случае воды атом кислорода нуклеофильно присоединяется к атому металла в алкоксиде, затем происходит перенос протона внутри молекулы и формирование гидроксидов, гидроксид-ионов. Далее протекают процессы конденсации с формированием связнодисперсной системы благодаря формированию мостиковых кислородных связей между ионами металлов и ростом зародышей дисперсной фазы вследствие коагуляционных контактов между ними. Протекание этих процессов приводит к превращению раствора-прекурсора ЦТС в золь с последующим формированием пространственной сетки геля. Структура и морфология образующихся оксидных систем сильно зависят от относительного вклада каждого из процессов. Этот вклад можно оптимизировать путем тщательного изучения экспериментальных условий синтеза, которые связаны как с внутренними (природа атома металла и алкильных групп, структура молекулярного прекурсора), так и внешними (количество осаждающего агента, катализатор, концентрация, растворитель, температура) параметрами [52].
Существуют две модели кинетики агрегации частиц в подобных коллоидных системах. Рост частиц золей может быть ограничен кинетическим или диффузионным фактором. Huang Z. и др. [53, 54] установили, что на начальной стадии рост структурной сетки происходит за счет формирования цепочек дисперсной фазы и их взаимодействия между собой (кинетический фактор) с формированием зародышей частиц. По мере увеличения численной (количественной) концентрации частиц преобладающим механизмом становится межчастичная агломерация, характеризующаяся экспоненциальным законом роста. С увеличением размеров агломератов механизм меняется на агрегацию, ограниченную диффузией, т. е. скорость агрегации ограничена временем, необходимым для столкновения кластеров посредством броуновской диффузии. Конечным результатом агрегации в объеме является образование геля. В случае прекурсоров керамик высокой плотности (к которым относится система ЦТС) протекание процесса осложняется высокой скоростью седиментации частиц.
Таким образом, исследование структурообразования и кинетики гелификации в процессе золь–гель синтеза композиций системы цирконата–титаната свинца позволяет выявить влияние различных параметров на механизм протекающих процессов и структурные характеристики получаемых частиц, а также оптимизировать условия синтеза для получения материалов с требуемыми свойствами, что имеет общее практическое значение для получения различных композиций на основе смешанных оксидных систем золь–гель методом.
ЭКСПЕРИМЕНТАЛЬНАЯ ЧАСТЬ
Гель-прекурсор ЦТС получали золь–гель методом. Предварительно дегидратированный (конечная температура 105оС, остаточное давление 20–30 мм рт. ст.) тригидрат ацетата свинца (II) Pb(CH3COO)2∙3H2O (99+%, Acros Organics, Бельгия), н-пропоксид циркония (IV) Zr(OCH2CH2CH3)4 (70% раствор в 1-пропаноле CH3CH2CH2OH) (Sigma-Aldrich, США) и изопропоксид титана (IV) Ti(OCH(CH3)2)4 (98+%, Sigma-Aldrich, США) растворяли в 2-метоксиэтаноле CH3O(CH2)2OH (МЭ) (98+%, Sigma-Aldrich, США) растворяли в 2-метоксиэтаноле CH3O(CH2)2OH (МЭ) (≥ 99,3%, Sigma-Aldrich, США) или ледяной уксусной кислоте CH3COOH (УК) (х. ч., ГОСТ 61-75, АО «ЭКОС-1», Россия). В качестве осаждающего агента использовали дистиллированную воду (H2Oдист) типа II по ГОСТ Р 52501–2005, полученную на бидистилляторе УПВА-5, в случае использования 2-метоксиэтанола в качестве растворителя или этиленгликоль HOCH3CH3OH (ЭГ) (ос.ч., ТУ 2632-143-44493179-11, АО «ЭКОС-1», Россия) – в случае использования ледяной УК. Общая схема золь–гель синтеза представлена на рис. 1.
Рис. 1. Принципиальная схема золь–гель синтеза геля-прекурсора ЦТС.
Количество реагентов рассчитывали, исходя из получения пьезокерамики стехиометрического состава PbZr0,52Ti0,48О3, соответствующего области морфотропной фазовой границы на диаграмме состояния системы PbZrO3–PbTiO3 [55]; также в раствор дополнительно вводили 4 мол. % избыток прекурсора свинца, поскольку в процессе отжига летучие оксиды Pb легко испаряются из материала, что приводит к нарушению стехиометрии ЦТС и снижению электрофизических характеристик [56]. Суммарная концентрация исходных компонентов в растворах во всех случаях составляла 20 масс. %. Растворы получали при перемешивании в течение 60 мин. при температуре 50оС в атмосфере осушенного над цеолитом инертного газа (аргон высокой чистоты). В ходе работы изучено влияние количества осаждающего агента на скорость сольволиза раствора-прекурсора ЦТС с точки зрения изменения размеров частиц образующегося на первом этапе золя, изменения динамической вязкости системы, эволюции распределений частиц по размерам и оптических свойств коллоидной системы. Для изучения кинетики образования золя и геля было введено условное понятие относительной концентрации осаждающего агента Н, вычислявшееся по формуле (1):
, (1)
где [H0] – концентрация осаждающего агента, моль/л; [Zr + Ti] – суммарная концентрация в растворе н-пропоксида циркония (IV) Zr(OCH2CH2CH3)4 и изопропоксида титана (IV) Ti(OCH(CH3)2)4, моль/л.
Для изучения изменения свойств системы в процессе гелеобразования определяли средние размеры частиц методом динамического светорассеяния (DLS) на приборе Zetasizer Nano S (Malvern Instruments Ltd., Великобритания), оптическую плотность при 550 нм – на спектрофотометре Cary 60 UV–Vis (Agilent Technologies, США) в кварцевой кювете с длиной оптического пути 10 мм (Экрос, Россия), а также динамическую вязкость системы на вибрационном вискозиметре SV-10 (Япония) при частоте 30 Гц при различном времени от момента прибавления осаждающего агента и величинах Н.
РЕЗУЛЬТАТЫ И ОБСУЖДЕНИЕ
Образование пространственных сеток различных типов определяет структуру и фазовый состав конечного кристаллического продукта золь–гель синтеза, что позволяет за счет варьирования условий осаждения получать материалы с заданной стехиометрией, структурой и свойствами. В связи с этим в данном исследовании в процессе образования связнодисперсной системы изучали изменение времени протекания гелеобразования в зависимости от используемого растворителя и осаждающего агента. В целом, основными параметрами, позволяющими судить об образовании и эволюции состояния дисперсной системы, являются ее оптические свойства, поэтому в настоящей работе исследовали оптическую плотность и распределение частиц по размерам по данным динамического светорассеяния в процессе образования золя, его коагуляции и перехода в гель.
Время образования визуально плотного геля зависит от относительной концентрации осаждающего агента (Н) (рис. 2), при этом для различных дисперсионных сред существуют некоторые диапазоны концентраций осаждающего агента, при которых гель формируется наиболее быстро. Для системы МЭ + H2Oдист формирование геля происходит уже в течение 2 минут при H = 200–230, а для УК + ЭГ – в течение 15 минут при H = 20–40, причем более высокие значения Н в последнем случае не приводили к ускорению гелеобразования.
Рис. 2. Время образования плотного геля-прекурсора ЦТС при различных значениях Н. Дисперсионная среда и осаждающий агент: МЭ + H2Oдист (а), УК + ЭГ (б).
Стоит отметить, что снижение относительной концентрации воды (в случае МЭ), как и расширение концентрационного диапазона ЭГ (в случае использования УК) не приводило к заметному изменению времени образования плотных гелей относительно указанных границ, что можно связать с действием ряда факторов. Во-первых, равновесное минимальное количество осаждающего агента, необходимое для проведения полного осаждения алкоксидов и ацетата свинца, соответствует значению Н около 6.1, т. е. меньшие концентрации осаждающего агента не могут привести к полному разложению исходных соединений, однако требуется применять заметные избытки агентов, что объясняется как их собственной растворимостью в дисперсионной среде (и приводит к низкой концентрации осаждающего агента), так и некоторой растворимостью продуктов сольволиза. Во-вторых, в случае использования воды общая вязкость системы понижается, что облегчает коагуляционные контакты между зародышами и с учетом низкой растворимости продуктов гидролиза в воде, приводит к закономерному снижению времени гелеобразования. В случае ЭГ ситуация может объясняться меньшей разницей в диэлектрической проницаемости УК и ЭГ и растворяющей способности, а также повышенной вязкостью ЭГ по сравнению с УК, поэтому в целом наблюдаемое время образования геля на рис. 2б оказывается в несколько раз больше по сравнению с данными рис. 2а. Наконец, в-третьих, применение значительных избытков осаждающего агента приводит к разбавлению всей коллоидной системы, что прогнозируемо препятствует гелеобразованию и приводит к более плавному снижению времени гелеобразования с ростом H на рис. 2а и даже его повышению в случае ЭГ (рис. 2б).
После добавления осаждающего агента наблюдается характерное изменение оптической плотности (рис. 3). В случае использования МЭ в качестве дисперсионной среды и воды – в качестве осаждающего агента (рис. 3а) наблюдалось достаточно резкое возрастание оптической плотности спустя небольшое время после прибавления осаждающего агента с последующим выходом временной зависимости оптической плотности на плато. Для пары УК + ЭГ наблюдался индукционный период (около 5–10 минут), в течение которого оптическая плотность системы практически не возрастала, и далее повышение по линейной зависимости от времени. Стоит также отметить практически одинаковые значения оптической плотности при Н = 39 и Н = 60, а также заметное снижение при дальнейшем повышении Н. Возможные причины наблюдаемого явления будут обсуждены ниже.
Рис. 3. Изменение оптической плотности при длине волны 550 нм в процессе гелеобразования золя-прекурсора ЦТС, полученного золь–гель методом на основе различных дисперсионных сред и осаждающих агентов: МЭ + H2Oдист (а), УК + ЭГ (б). Значения Н приведены в поле рисунков.
В целом, механизм гелеобразования можно представить условной схемой (рис. 4), в которой на стадиях 1 и 2 не должно наблюдаться заметного изменения оптической плотности, что и выражается в виде индукционного периода на рис. 3б, на стадиях 3–5 скорость и закон роста оптической плотности должны определяться относительными скоростями зародышеобразования, роста частиц и их коагуляции. Наконец, на последней, шестой стадии ожидается стабилизация оптических свойств, поскольку численная концентрация и размеры рассеивающих свет частиц перестают заметно меняться.
Рис. 4. Предполагаемая принципиальная схема образования геля.
Данные, приведенные на рис. 3, частично подтверждают данную схему. Так, для пары МЭ + H2Oдист с увеличением H повышается скорость роста оптической плотности, что отвечает повышению скорости роста частиц и агломератов за счет низкой вязкости и высокой диэлектрической проницаемости воды. Выход на плато, соответствующее объемной коагуляции и образованию геля по всей высоте кюветы, наблюдался при величинах H свыше 131; при более низких концентрациях осаждающего агента наблюдалось замедление темпов роста оптической плотности (рис. 3а, например, скорость роста оптической плотности на начальном участке составляет около 0.19 мин–1 при Н = 131 и лишь около 0.07 мин–1 при Н = 111). Поскольку визуально гель образуется и при меньших концентрациях воды, можно предположить, что в данном случае гелеобразование преимущественно происходит в результате седиментации частиц и их связывания в осадке, что согласуется с ранее опубликованными данными по скорости оседания частиц ЦТС [57] и подтверждается внешним видом полученных гелей (рис. 5а). Полученные данные позволяют оценить величину критической концентрации воды, необходимую для обеспечения образования золя во всем объеме реакционного сосуда.
Рис. 5. Внешний вид гелей: МЭ + H2Oдист (а). Слева направо: Н = 228, 193, 163, 131, 121, 111, 98; УК + ЭГ (б). Слева направо: Н = 79, 60, 39, 16, 8.
В случае использования системы УК + ЭГ при всех исследованных величинах H наблюдалось наличие заметного индукционного периода, который несколько сокращался с ростом Н, т. е. в данной системе процессы смешения компонентов и конденсации зародышей занимают значительно большее время по сравнению с системой МЭ + H2Oдист. Стоит отметить, что выхода на плато, соответствующего коагуляции в объеме, не наблюдалось ни для одной из исследованных относительных концентраций ЭГ за все время эксперимента, т. е. гелеобразование, как и в случае с малыми значениями H для системы МЭ + H2Oдист преимущественно происходит после седиментации агломератов, что подтверждается внешним видом образцов гелей (рис. 5б): непрозрачная плотная составляющая геля скапливается на дне сосуда, а верхний слой геля прозрачен и высокоподвижен, поэтому средние значения оптической плотности, измеренные на середине высоты кюветы к моменту достижения визуального гелеобразования, оказались до 3–4 раз ниже по сравнению с приведенными на рис. 3а значениями, что свидетельствует о значительно более высокой прозрачности геля в основном объеме кюветы для системы УК + ЭГ вследствие седиментации частиц на дно кюветы. Повышение величины Н до 39 и более для системы УК + ЭГ не приводит к заметному изменению кинетики повышения оптической плотности (рис. 3б). Данные выводы подтверждаются приведенными на рис. 6 зависимостями оптической плотности от H при характерных временах начала визуального образования гелей: на рис. 6а можно обратить внимание на снижение среднего угла наклона зависимости оптической плотности от H при величине Н более 131, отвечающее повышению влияния вклада седиментации и гелеобразования на дне кюветы. На рис. 6б обращает на себя внимание тот факт, что оптическая плотность на 25-й минуте при Н = 39 и Н = 60 практически одинакова, при этом визуально (рис. 5б) наблюдается образование плотного геля на дне сосуда, а при более высоком значении Н = 79 оптическая плотность даже снизилась за счет доминирующего вклада седиментации частиц (что также подтверждается данными рис. 3б (кривая 5)).
Рис. 6. Зависимость оптической плотности перехода золь–гель от величины H: золь на основе МЭ + H2Oдист (а), (оптическое поглощение золя на 5-й минуте формирования геля), золь на основе УК+ЭГ (б) (оптическое поглощение золя на 25-й минуте формирования геля).
Адекватное построение распределений частиц по размерам (гидродинамическим диаметрам) в рассматриваемой системе, осложненной одновременным протеканием химических реакций, седиментацией, коагуляцией и ассоциацией, представляет значительные сложности. Тем не менее из приведенных на рис. 7а данных по средним размерам частиц можно сделать вывод, что динамика их роста принципиально подтверждает предложенный качественный механизм образования геля: скорость роста среднего размера частиц однозначно возрастает с повышением Н, при этом при относительных концентрациях воды 121 и более имеет монотонный характер вплоть до начала заметной гелификации. При минимальном значении Н = 98 на зависимости среднего размера частиц от времени наблюдается перегиб и стабилизация размера, что по времени примерно совпадает с наблюдаемым началом выпадения осадка без признаков гелификации. Таким образом, данные подтверждают гипотезу о преимущественно седиментационной потере устойчивости системы при малых значениях Н и коагуляционной – при повышенных.
Рис. 7. Изменение средних размеров частиц в процессе гелеобразования золя-прекурсора ЦТС, полученного золь–гель методом на основе различных дисперсионных сред и осаждающих агентов: МЭ + H2Oдист (а), УК + ЭГ (б). Значения Н приведены в поле рисунков.
Для системы УК + ЭГ временная зависимость средних размеров частиц (рис. 7б) носит гораздо более сложный характер, требующий дополнительных исследований. Тем не менее в целом при всех трех исследованных относительных концентрациях ЭГ принципиально можно выделить четыре стадии: 1) резкий рост средних размеров частиц в отсутствие изменения оптической плотности системы; 2) снижение средних размеров частиц также без заметного изменения оптической плотности; 3) рост средних размеров частиц, начало которого коррелирует с возрастанием оптической плотности; 4) снижение средних размеров частиц практически без изменения скорости роста оптической плотности до образования геля. Стоит отметить, что наблюдаемые средние размеры (гидродинамические диаметры) частиц для случая УК + ЭГ заметно больше по сравнению с системой МЭ + H2Oдист (рис. 7).
Возможным объяснением наблюдаемых данных может быть низкая скорость смешивания УК и ЭГ, что может приводить к образованию локальных зон протекания сольволиза прекурсора ЦТС и роста небольшого числа частиц вплоть до седиментации. Окончание индукционного периода и рост оптической плотности в этом случае соответствует образованию и росту частиц во всем объеме смешанной дисперсионной среды, их быстрого роста и седиментации. Вывод в целом качественно подтверждается тем, что гель преимущественно образует плотную массу на дне сосуда, а также смещением характерных точек на кривых рис. 7б в сторону меньшего времени от начала эксперимента и больших размеров частиц в точках экстремума с увеличением содержания осаждающего агента, что коррелирует с величиной индукционного периода и скоростью роста оптической плотности на рис. 3б.
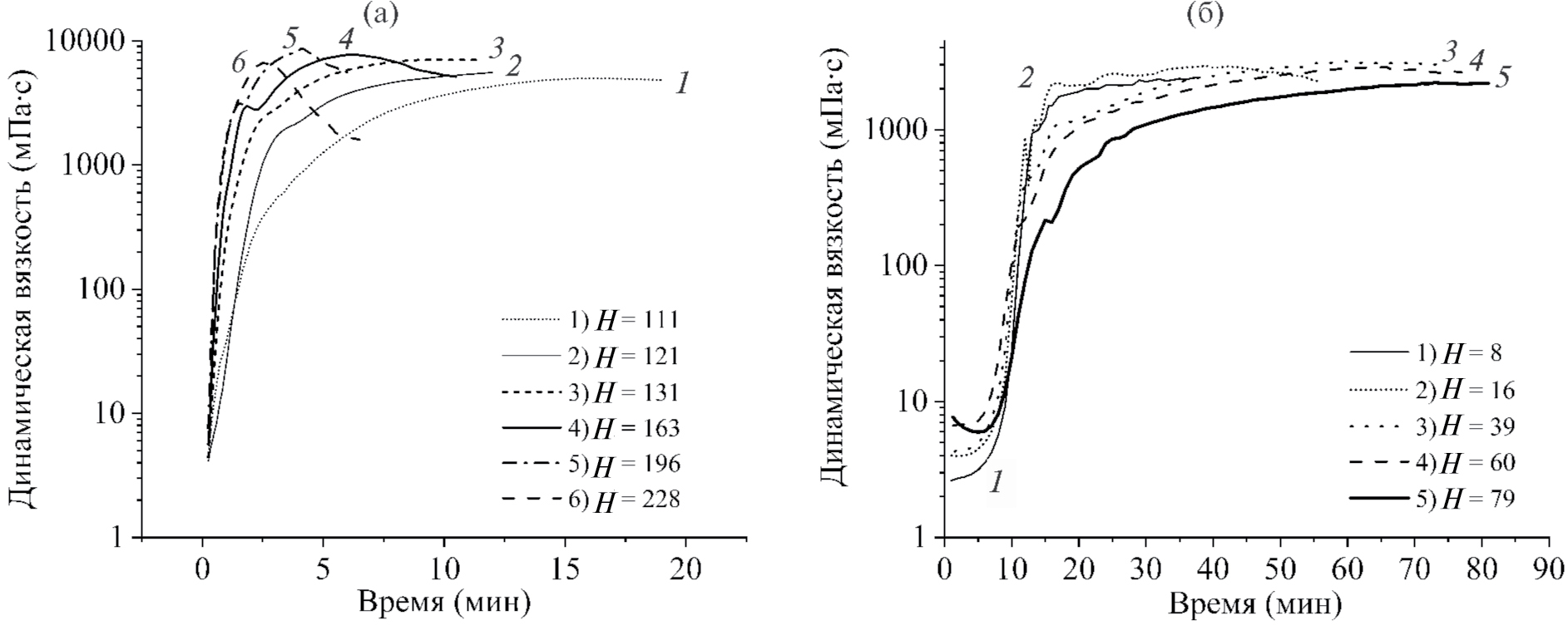
На рис. 8 представлено изменение динамической вязкости золей в процессе гелеобразования. Сложность протекающих процессов, а также примененный метод измерения, подразумевающий циклическое знакопеременное механическое нагружение коллоидной системы, делают интерпретацию полученных результатов сложной. В целом, для системы МЭ + H2Oдист (рис. 8а) с увеличением Н наблюдается увеличение динамической вязкости и скорости ее роста (угла наклона кривой на начальном участке). При H = 228 плотный гель формируется наиболее быстро, однако имеет меньшую максимально достигнутую вязкость по сравнению с более низкими концентрациями осаждающего агента (ср. кривые 5 и 6 на рис. 8а). После достижения максимальной динамической вязкости золя значения вязкости при высоких значениях Н (кривые 4–6 на рис. 8а) начинают снижаться, возможно, из-за разрушения структуры плотного объемного геля вибровискозиметром в процессе измерения. Гели, полученные при меньших значениях Н (и предположительно образовавшиеся в результате седиментации, т. е. низкоплотные в основной части измерительной ячейки), подобной тиксотропии не обнаруживали (кривые 1–3 на рис. 8а).
Рис. 8. Изменение динамической вязкости в процессе гелеобразования золя-прекурсора ЦТС, полученного золь-гель методом на основе различных дисперсионных сред и осаждающих агентов: МЭ + H2Oдист (а), УК + ЭГ (б). Значения Н приведены в поле рисунков.
Для системы ЭГ + УК (рис. 8б) зависимости динамической вязкости от времени и величины Н имеют более сложный характер, однако в целом наблюдалась обратная картина по сравнению с данными рис. 8а: скорость роста вязкости на начальном участке и максимальная вязкость в целом снижалась с повышением Н, при этом снижение вязкости за счет разрушения структуры после образования геля было не таким существенным. Максимальные значения вязкости гелей в данном случае оказались более низкими по сравнению с исследованными на рис. 8а, что указывает, с одной стороны, на малую роль вязкости среды в формировании реологии геля, а с другой – вновь косвенно свидетельствует в пользу седиментационного механизма образования гелей в системе УК + ЭГ по сравнению с коагуляцией в объеме. Также стоит отметить, что на всех зависимостях наблюдался индукционный период (рис. 8б).
Данные по динамической вязкости также указывают на количественные и качественные отличия в протекании процессов гелеобразования при золь–гель синтезе прекурсоров керамики системы ЦТС: время, скорость образования, вязкость и реологическое поведение гелей существенно зависят от величины Н, природы дисперсионной среды и осаждающего агента.
Анализ совокупности полученных данных позволяет предположить, что для системы МЭ + H2Oдист использованные методы не позволяют выделить выраженного индукционного периода, т. е. смешивание воды и дисперсионной среды и последующий гидролиз протекают быстро. При относительной концентрации воды Н менее 110–130 скорость образования геля, рост оптической плотности, среднего размера частиц и динамической вязкости системы протекают относительно медленно и существенно зависят от величины Н, что может свидетельствовать о том, что система преимущественно теряет устойчивость вследствие седиментации агломератов частиц, после чего на дне реакционного сосуда образуется плотный концентрированный гель, а в основном объеме гель менее прочен. С повышением концентрации воды плотный прочный гель, проявляющий признаки тиксотропии, образуется вследствие коагуляции агломератов в объеме, гелеобразование протекает быстро, с резким нарастанием оптической плотности во всем объеме сосуда, причем в этой области концентраций скорости протекающих процессов слабее зависят от величины Н.
В системе УК + ЭГ гелеобразование протекает заметно медленнее, на временных зависимостях оптической плотности наблюдаются выраженные индукционные периоды длительностью до 10 минут, а средние размеры частиц сложным образом зависят от времени проведения эксперимента. Предполагается, что для данной системы во всем исследованном интервале значений Н решающую роль в гелеобразовании играет седиментация агломератов, причем образование гомогенной жидкой дисперсионной среды происходит медленно по сравнению со скоростью образования и роста частиц до размеров, соответствующих быстрой седиментации и гелеобразованию, начинающемуся на дне реакционного сосуда. В основном объеме образуются гели с относительно низкой вязкостью и оптической плотностью, практически не проявляющие тиксотропии.
ЗАКЛЮЧЕНИЕ
Изучение оптических свойств, динамической вязкости и среднего размера частиц в ходе формирования геля-прекурсора ЦТС при использовании двух различных дисперсионных сред и соответствующих осаждающих агентов позволяет судить об образовании и эволюции состояния дисперсной системы.
В работе предложен возможный механизм образования золей и гелей после осаждения компонентов раствора-прекурсора. Анализ экспериментальных данных позволяет выявить существенные различия в механизмах гелеобразования и свойствах получаемых гелей в зависимости от использованной дисперсионной среды и осаждающего агента. Показано, что при использовании в качестве дисперсионной среды 2-метоксиэтанола, а в качестве осаждающего агента – воды гидролиз протекает быстро, при этом при небольших концентрациях осаждающего агента гелеобразование начинается на дне сосуда вследствие седиментации, с повышением концентрации воды наблюдается коагуляция в объеме с образованием плотных тиксотропных гелей. В системе уксусная кислота–этиленгликоль гелификация протекает заметно медленнее, с индукционным периодом, гелеобразование протекает преимущественно за счет уплотнения выпадающих в осадок частиц.
Исследованные в ходе работы зависимости позволяют, с одной стороны, разрабатывать перспективные технологии золь–гель процессов получения порошкообразных и пленочных керамик системы ЦТС с учетом закономерностей формирования золей и гелей с точки зрения их оптических свойств, размеров частиц, реологических свойств, а с другой – могут стать источником исходных данных для более подробного изучения механизмов процессов, протекающих при образовании золей и гелей ЦТС.
ФИНАНСИРОВАНИЕ РАБОТЫ
Данная работа финансировалась за счет средств бюджета института. Никаких дополнительных грантов на проведение или руководство данным конкретным исследованием получено не было.
СОБЛЮДЕНИЕ ЭТИЧЕСКИХ СТАНДАРТОВ
В данной работе отсутствуют исследования человека или животных.
КОНФЛИКТ ИНТЕРЕСОВ
Авторы данной работы заявляют, что у них нет конфликта интересов.
About the authors
N. D. Paramonova
Акционерное общество «Научно-исследовательский институт конструкционных материалов на основе графита «НИИграфит»
Email: danilovegor1@gmail.com
Russian Federation, ул. Электродная, 2, Москва, 111524
E. A. Danilov
Акционерное общество «Научно-исследовательский институт конструкционных материалов на основе графита «НИИграфит»
Author for correspondence.
Email: danilovegor1@gmail.com
Russian Federation, ул. Электродная, 2, Москва, 111524
E. A. Ivanova
Акционерное общество «Научно-исследовательский институт конструкционных материалов на основе графита «НИИграфит»
Email: danilovegor1@gmail.com
Russian Federation, ул. Электродная, 2, Москва, 111524
References
- Xu Z.J., Chu, R.Q., Li G.R. et al. Preparation of PZT powders and ceramics via a hybrid method of sol–gel and ultrasonic atomization // Mater. Sci. Eng. B. 2005. V. 117. № 2. P. 113–118. https://doi.org/10.1016/j.mseb.2004.10.019
- Huang C., Chen B., Wu L. Application feasibility of ceramics fabricated from sol–gel derived powders using titanium and zirconium alkoxides // Mater. Res. Bull. 2004. V. 39. № 4–5. P. 523–532. https://doi.org/10.1016/j.materresbull.2004.01.002
- De-Qing Z., Shao-Jun W., Hong-Shan S. et al. Synthesis and mechanism research of an ethylene glycol-based sol-gel method for preparing PZT nanopowders // J. Solgel Sci. Technol. 2007. V. 41. № 2. P. 157–161. https://doi.org/10.1007/s10971-006-0521-y
- Bel Hadj Tahar R., Bel Hadj Tahar N., Ben Salah A. Low-temperature processing and characterization of single-phase PZT powders by sol-gel method // J. Mater. Sci. 2007. V. 42. № 23. P. 9801–9806. http://doi.org/10.1007/s10853-007-1966-2
- Bel-Hadj-Tahar R., Abboud M., Bouzitoun M. Thermal analysis of the crystallization kinetics of lead zirconate titanate powders prepared via sol-gel route // J. Therm. Anal. Calorim. 2020. V. 144. № 1. P. 127–138.http://doi.org/10.1007/s10973-020-09439-8
- Bel-Hadj-Tahar R., Abboud M., Shkir M. et al. Novel sol-gel synthesis of spherical lead titanate submicrometer powders // Crystals. 2021. V. 11. № 5. P. 484. https://doi.org/10.3390/cryst11050484
- Eid E.A., Ebied M. R., Kaid M.A. et al. Synthesis and microstructure characterization of sol-gel derived phase fractions in PZT nanopowders // Dig. J. Nanomater. Biostructures. 2020. V. 15. № 2. P. 465–470. https://doi.org/10.15251/djnb.2020.152.465
- Sachdeva A., Arora M., Tandon, R.P. Synthesis and characterization of sol–gel derived PZT nano powder // J. Nanosci. Nanotechnol. 2009. V. 9. № 11. P. 6631–6636. http://doi.org/10.1166/jnn.2009.1314
- Lee H.T., Wan I.L., Yoo H.K., Chin M.W. The seeding effects on the phase transformation of sol-gel derived PZT powder // Bull. Korean Chem. Soc. 2002. V. 23. P. 1078–1084. https://doi.org/10.5012/BKCS.2002.23.8.1078
- Парамонова Н.Д., Вартанян М.А., Данилов Е.А. Применение золь-гель метода для получения наноструктурированных пьезоматериалов системы цирконат-титанат свинца. Часть 1. Синтез порошков // Стекло и керамика. 2024. Т. 97. № 2 (1154). С. 47–56. https://doi.org/10.14489/glc.2024.02.pp.047-056
- Khan S.U., Mateen A., Qazi I. Sol–gel derived lead zirconate titanate: Processing, micrometer and nanometer scale patterning and characterization // Ceram. Int. 2016. V. 42. № 1. P. 185–193. https://doi.org/
- Hassen A., El Sayed A.M., Al-Ghamdi A., Shaban M. Synthesis of some functional oxides and their composites using sol-gel method. In: Sol-gel method: Resent advances. IntechOpen. 2023. http://doi.org/10.5772/intechopen.111384
- Парамонова Н.Д., Вартанян М.А., Данилов Е.А. Применение золь-гель метода для получения наноструктурированных пьезоматериалов системы цирконат-титанат свинца. Часть 2. Синтез пленочных и стержневидных структур // Стекло и керамика. 2024. Т. 97. № 6 (1158). С. 49–59. https://doi.org/10.14489/glc.2024.06.pp.049-059
- Wang Z., Zhu W., Zhao C., et al. Dense PZT thick films derived from sol-gel based nanocomposite process // Mater. Sci. Eng. B. 2003. V. 99. № 1–3. P. 56–62. https://doi.org/10.1016/S0921-5107(02)00568-8
- Wang Z., Miao J., Zhu W. Piezoelectric thick films and their application in MEMS // J. Eur. Ceram. Soc. 2007. V. 27. № 13–15. P. 3759–3764. https://doi.org/10.1016/j.jeurceramsoc.2007.02.067
- Wu A., Miranda Salvado I.M., Vilarinho P.M. et al. Processing and seeding effects on crystallisation of PZT thin films from sol-gel method // J. Eur. Ceram. Soc. 1997. V. 17. № 12. P. 1443–1452. https://doi.org/10.1016/S0955-2219(97)00027-7
- Belleville P., Bigarre J., Boy P., et al. Stable PZT sol for preparing reproducible high-permittivity perovskite-based thin films // J. Solgel Sci. Technol. 2007. V. 43. № 2. P. 213–221. https://doi.org/10.1007/s10971-007-1580-4
- Tsai C.-C., Chu S.-Y., Hong C.-S. et al. Effects of annealing temperature and pressure of vacuum infiltration on the electrical properties of thick films prepared via a modified sol-gel method // Thin Solid Films. 2020. V. 706. P. 138071. https://doi.org/10.1016/j.tsf.2020.138071
- Zhang Y.-J., Wang Z.J., Bai Y. et al. Enhanced electrical properties of epitaxial PZT films deposited by sol-gel method and crystallized by microwave irradiation // J. Alloys Compd. 2018. V. 757. P. 24–30.https://doi.org/10.1016/j.jallcom.2018.05.047
- Yu S., Yao K., Shannigrahi S. et al. Effects of poly(ethyleneglycol) additive molecular weight on the microstructure and properties of sol-gel-derived lead zirconate titanate thin films // J. Mater. Res. 2003. V. 18. № 3. P. 737–741. http://doi.org/10.1557/JMR.2003.0100
- Hsu Y.-C. 1–10 μm PZT films grown by modified sol-gel method // Sens. Mater. 2006. V.18. № 6. P. 313–327.
- Bel-Hadj-Tahar R., Abboud M., Belhadj Tahar N. Microstructural and electrical properties of nanostructured lead zirconate titanate composite thick films processed for MEMS applications via hybrid sol–gel approach // J. Alloys Compd. 2020. V. 830. P. 154695. https://doi.org/10.1016/j.jallcom.2020.154695
- Bel-Hadj-Tahar R. Morphological and electrical investigations of lead zirconium titanate thin films processed at low temperature by a novel sol-gel system // J. Alloys Compd. 2017. V. 729. P. 607–616.https://doi.org/10.1016/j.jallcom.2017.09.222
- Shoghi A., Shakeri A., Abdizadeh H. et al. Synthesis of crack-free PZT thin films by sol-gel processing on glass substrate // Procedia Mater. Sci. 2015. V. 11. P. 386–390. https://doi.org/10.1016/j.mspro.2015.11.136
- Fè L., Norga G.J., Wouters D.J. et al. Chemical structure evolution and orientation selection in sol-gel-prepared ferroelectric thin films // J. Mater. Res. 2001. V. 16. № 9. P. 2499–2504. https://doi.org/10.1557/JMR.2001.0342
- Alkoy E.M., Alkoy S., Shiosaki T. The effect of crystallographic orientation and solution aging on the electrical properties of sol–gel derived thin films // Ceram. Int. 2007. V. 33. № 8. P. 1455–1462. https://doi.org/10.1016/j.ceramint.2006.06.010
- Moriyama M., Totsu K., Tanaka S. Sol–gel deposition and characterization of lead zirconate titanate thin film using different commercial sols // Sens. Mater. 2019. V. 31. № 8. P. 2497–2509. https://doi.org/10.18494/SAM.2019.2420
- Kweon S.H., Kanayama Y., Tan G. et al. In-situ study on piezoelectric responses of sol-gel derived epitaxial thin films on Si substrate // J. Eur. Ceram. Soc. 2024. V. 44. № 6. P. 3887–3894. https://doi.org/10.1016/j.jeurceramsoc.2024.01.026
- Ti J., Li J., Fan Q. et al. Sm-doped PZT thin film with high piezoelectric properties by sol-gel method // J. Appl. Phys. 2024. V. 136. P. 055302. https://doi.org/10.1063/5.0221620
- Cui Y., Yu H., Abbas Z. et al. PZT composite film preparation and characterization using a method of sol-gel and electrohydrodynamic jet printing // Micromachines. 2023. V. 14. P. 918. https://doi.org/10.3390/mi14050918
- Li H., Hu Y., Wei S. et al. Oxygen plasma-assisted ultra-low temperature sol-gel-preparation of the PZT thin films // Ceram. Int. 2023. V. 49. № 7. P. 10864–10870.https://doi.org/10.1016/j.ceramint.2022.11.279
- Wu A., Vilarinho P.M. Nanostructure analysis of sol-gel PZT thin films derived from different chemical routes // Microsc. Microanal. 2009. V. 15. № S3. P. 53–54. https://doi.org/10.1017/S1431927609990729
- Parui J.R.M., Jose J., Parwin S. et al. Towards optimizing surface coverage for PVP-assisted PZT ferroelectric thick film // Integr. Ferroelectr. 2023. V. 237. № 1. P. 107–124. https://doi.org/10.1080/10584587.2023.2227057
- Atanova A.V., Zhigalina O.M., Khmelenin D.N. et al. Microstructure analysis of porous lead zirconate–titanate films // J. Am. Ceram. Soc. 2022. V. 105. № 1. P. 639–652. https://doi.org/10.1111/jace.18064
- Wang J., Gao Q., He H. et al. Fabrication and characterization of size-controlled single-crystal-like PZT nanofibers by sol-gel based electrospinning // J. Alloys Compd. 2013. V. 579. P. 617–621. https://doi.org/10.1016/j.jallcom.2013.07.099
- Yun J.S., Park C.K., Cho J.H. et al. The effect of PVP contents on the fiber morphology and piezoelectric characteristics of PZT nanofibers prepared by electrospinning // Mater. Lett. 2014. V. 137. P. 178–181. https://doi.org/10.1016/j.matlet.2014.08.139
- Chen X., Chen R., Chen Z. et al. Transparent lead lanthanum zirconate titanate (PLZT) ceramic fibers for high-frequency ultrasonic transducer applications // Ceram. Int. 2016. V. 42. № 16. P. 18554–18559. https://doi.org/10.1016/j.ceramint.2016.08.195
- Fan M., Hui W., Li Z. et al. Fabrication and piezoresponse of electrospun ultra-fine nanofibers // Microelectron. Eng. 2012. V. 98. P. 371–373. https://doi.org/10.1016/j.mee.2012.07.026
- Khajelakzay M., Taheri-Nassaj E. Synthesis and characterization of nanofibers by electrospinning, and dielectric properties of PZT-resin composite // Mater. Lett. 2012. V. 75. P. 61–64. https://doi.org/10.1016/j.matlet.2012.01.082
- Zhang M., Salvado I.M.M., Vilarinho P.M. Synthesis and characterization of lead zirconate titanate fibers prepared by the sol-gel method: The role of the acid // J. Am. Ceram. Soc. 2003. V. 86. № 5. P. 775–781. https://doi.org/10.1111/j.1151-2916.2003.tb03374.x
- Mai M., Lin C., Xiong Z. et al. Preparation and characterization of lead zirconate titanate ceramic fibers with alkoxide-based sol-gel route // J. Phys. Conf. Ser. 2009. V. 152. P. 012077. https://doi.org/10.1088/1742-6596/152/1/012077
- Mensur Alkoy E., Dagdeviren C., Papila M. Processing conditions and aging effect on the morphology of PZT electrospun nanofibers, and dielectric properties of the resulting 3-3 PZT/polymer composite // J. Am. Ceram. Soc. 2009. V. 92. № 11. P. 2566–2570. https://doi.org/10.1111/j.1551-2916.2009.03261.x
- van der Veer E., Noheda B., Acuautla M. Piezoelectric properties of PZT by an ethylene glycol-based chemical solution synthesis // J. Solgel Sci. Technol. 2021. V. 100. P. 517–525. https://doi.org/10.1007/s10971-021-05651-6
- Lobmann P., Lange U., Glaubitt W. et al. Powders, fibers, thin films and aerogels: Sol-gel-derived piezoelectric materials // Key Eng. Mater. 2002. V. 224–226. P. 613–618. https://doi.org/10.4028/www.scientific.net/kem.224-226.613
- Bi K., Han S., Chen J. et al. Interfacial polarization control engineering and ferroelectric PZT/graphene heterostructure integrated application // Nanomaterials. 2024. V. 14. № 5. P. 432. https://doi.org/10.3390/nano14050432
- Sangsubun C., Watcharapasorn A., Naksata M., et al. Preparation of sol-bonded lead zirconate titanate ceramics via sol-gel and mixed-oxide Methods // Ferroelectrics. 2007. V. 356. P. 197–202. https://doi.org/10.1080/00150190701512318
- Максимов А.И., Мошников В.А., Таиров Ю.М., Шилова О.А. Основы золь-гель-технологии нанокомпозитов СПб: ООО «Техномедиа // Изд-во Элмор». 2008.
- Zhang Q., Huang Z., Whatmore R.W. Studies of lead zirconate titanate sol ageing part I: Factors affecting particle growth // J. Solgel Sci. Technol. 2002. V. 23. № 2. P. 135–144. https://doi.org/10.1023/A:1013799417981
- Suárez-Gómez A., Saniger-Blesa J.M., Calderón-Piñar F. The effects of aging and concentration on some interesting sol-gel parameters: A feasibility study for PZT nanoparticles insertion on in-house prepared PAA matrices via electrophoresis // J. Electroceramics. 2007. V. 22. № 1–3. P. 136–144. https://doi.org/10.1007/s10832-007-9367-0
- Mu G., Yang S., Li J., Gu M. Synthesis of PZT nanocrystalline powder by a modified sol–gel process using water as primary solvent source // J. Mater. Process. Technol. 2007. V. 182. № 1–3. P. 382–386. https://doi.org/10.1016/j.jmatprotec.2006.08.017
- Sanchez C., Livage J., Henry M. Chemical modification of alkoxide precursors // J. Non Cryst. Solids. 1988. V. 100. № 1–3. P. 65–76. https://doi.org/10.1016/0022-3093(88)90007-5
- Livage J., Henry M., Sanchez C. Sol-gel chemistry of transition metal oxides // Prog. Solid. State Ch. 1988. V. 18. № 4. P. 259–341. https://doi.org/10.1016/0079-6786(88)90005-2
- Huang Z., Zhang Q., Whatmore R.W. Studies of lead zirconate titanate sol aging part II: Particle growth mechanisms and kinetics // J. Solgel Sci. Technol. 2002. V. 24. № 1. P. 49–55. https://doi.org/10.1023/A:1015161532663
- Huang Z., Zhang Q., Whatmore R.W. Kinetics of lead zirconate titanate sol aging // Integr. Ferroelectr. 2001. V. 36. № 1–4. P. 153–161. https://doi.org/10.1080/10584580108015537
- Головнин В.А., Каплунов И.А., Малышкина О.В., Педько Б.Б., Мовчикова А.А. Физические основы, методы исследования и практическое применение пьезоматериалов. –М.: ТЕХНОСФЕРА. 2017.
- Sharma P.K., Ounaies Z., Varadan V.V., Varadan V.K. Dielectric and piezoelectric properties of microwave sintered PZT // Smart Mater. Struct. 2001. V. 10. P. 878–883. https://doi.org/10.1088/0964-1726/10/5/304
- Paramonova N.D., Danilov E.A., Mikheev D.A., Golovchenko M.I. Piezoelectric film composite based on polyvinylidene fluoride (PVDF) and lead zirconate-titanate (PZT) piezoceramic: rational choice of particle size // Вестник Казанского государственного технического университета им. А.Н. Туполева. 2022. Т. 78. № 4. С. 152–156.
Supplementary files










