Effect of stabilizer concentration on parameters of poly(D,L-lactide-co-glycolide) nanoparticles produced by nanoprecipitation
- Authors: Kuznetsova E.V.1, Tyurnina A.E.1, Konshina E.A.1,2, Atamanova A.A.3, Kalinin K.T.1,3, Aleshin S.V.1, Shuvatova V.G.1, Posypanova G.A.1, Chvalun S.N.1,3
-
Affiliations:
- Национальный исследовательский центр «Курчатовский институт»
- Московский физико-технический институт (национальный исследовательский университет)
- Институт синтетических полимерных материалов им. Н.С. Ениколопова РАН
- Issue: Vol 86, No 6 (2024)
- Pages: 776-788
- Section: Articles
- Submitted: 20.02.2025
- Accepted: 20.02.2025
- Published: 15.11.2024
- URL: https://ogarev-online.ru/0023-2912/article/view/280801
- DOI: https://doi.org/10.31857/S00232912240600102
- EDN: https://elibrary.ru/VLBKYB
- ID: 280801
Cite item
Full Text
Abstract
Effect of the poly(vinyl alcohol) (PVA) concentration on the parameters of nanoparticles based on biodegradable poly(D,L-lactide-co-glycolide) (PLGA) copolymers prepared by nanoprecipitation was studied. It was observed that the value of hydrodynamic diameter of the PLGA particles remained unchanged and was about ~ 130–140 nm with varying of the PVA concentration from 2.5 to 15 mg/mL (the organic phase concentration was 5 mg/mL). Both the polydispersity index and electrokinetic potential (absolute values) have tend to decrease with an increase in the PVA concentration. It was found that loading content of hydrophobic model drug docetaxel in the PLGA particles as well as its in vitro cytotoxic activity against mice colorectal carcinoma CT26 and human lung fibroblast WI-38 cell lines are slightly affected be the PVA concentration. However, the PLGA particles produced with high PVA concentration are easily re-dispersed to initial size after their lyophilization both with and without cryo-protectant.
Full Text
ВВЕДЕНИЕ
Разработка систем адресной доставки биологически активных веществ (БАВ) является актуальной биомедицинской задачей. В качестве потенциальных носителей активных агентов исследуют различные коллоидные объекты [1–4], в том числе микро- и наноразмерные частицы на основе биоразлагаемых полимеров поли(лактида), поли(капролактона) (ПКЛ), поли(лактида-со-гликолида) (ПЛГА) и др. [5, 6].
В рамках адресной доставки различных лекарственных агентов, в том числе противоопухолевых, ПЛГА частицы могут выступать как в качестве самостоятельных носителей [7–9], так и в качестве компонентов композитных систем «гидрогель-наночастицы» [10, 11]. Для получения частиц на основе ПЛГА сополимеров используют такие методы, как нанопреципитация [12–14], эмульгирование [12, 15], микрофлюидная технология [16] и пр. Нанопреципитация является одним из наиболее часто используемых способов формирования ПЛГА частиц благодаря своей простоте, низкой стоимости и масштабируемости. Кроме того, нанопреципитация позволяет получать наноразмерные ПЛГА частицы с малым индексом полидисперсности по размерам и воспроизводимыми характеристиками. Физико-химические свойства ПЛГА частиц, получаемых методом нанопреципитации, зависят как от состава и молекулярно-массовых характеристик исходного сополимера, так и от условий получения, таких как концентрация сополимера в органической фазе, концентрация стабилизатора в водной фазе, объемное соотношение фаз, присутствие различных добавок и пр. Поскольку ПЛГА частицы рассматриваются как перспективные носители для доставки различных БАВ, крайне важно уметь направленно регулировать такие их параметры, как размер, содержание загруженного активного агента и скорость его высвобождения, способность к лиофилизации и последующему ре-диспергированию и др. Так, увеличение концентрации сополимера в органическом растворителе, как правило, приводит не только к росту размера ПЛГА частиц, но и к увеличению содержания загруженного в частицы агента [12, 14, 17, 18]. В свою очередь, данные по зависимости параметров ПЛГА частиц от концентрации стабилизатора, используемого на этапе их получения, носят неоднозначный характер.
Так, в работе [12] методом нанопреципитации авторы получали частицы на основе сополимеров ПЛГА с одинаковым мольным соотношением D, L-лактидных (ЛА) и гликолидных (ГК) звеньев, равным 50/50, но различной средневесовой молекулярной массой (Mw), равной 17000 и 153000 г/моль. Органическая фаза представляла собой раствор ПЛГА в ацетоне (СПЛГА/ацетон = 10 мг/мл), водная фаза – раствор стабилизатора поли(винилового спирта) (ПВС) (86–89% гидролизованного низкомолекулярного) в воде с концентрацией СПВС/вода, равной 1, 3 или 5%. Обнаружено, что увеличение концентрации ПВС приводит к линейному росту гидродинамического диаметра (Dh) частиц на основе ПЛГА сополимеров. Так, значение Dh ПЛГА (Mw = 17 000 г/моль) частиц возрастает от 154.5 ± 0.76 до 174.0 ± 0.33 нм при изменении содержания ПВС от 1 до 5%. В свою очередь, величина индекса полидисперсности (ИП) частиц на основе сополимеров ПЛГА с Mw = 17 000 и 153 000 г/моль не зависит от концентрации стабилизатора и составляет 0.05 и 0.07 соответственно. Аналогичный эффект наблюдали Badri и др. для стабилизированных ПВС (Mw = 31000 г/моль) ПКЛ (Mw = 14 000 г/моль) частиц, полученных нанопреципитацией из ацетона [19]. Увеличение концентрации ПВС от 2.5 до 20 мг/мл (при постоянной концентрации органической фазы СПКЛ/ацетон = 8 мг/мл) приводит к росту Dh ПКЛ частиц от 169 до 283 нм, что может быть связано с возрастанием количества ПВС, адсорбированного на поверхности ядра частиц. Данных о влиянии концентрации стабилизатора на ИП частиц авторы не приводят.
В работе [17] методом нанопреципитации получали ненагруженные и нагруженные кетопрофеном ПЛГА (соотношение ЛА/ГК звеньев = 50/50, Mw = 30 000–50 000 г/моль) частицы, стабилизированные Pluronic F127 (Mw = 12 600 г/моль) или Tween20 (Mw = 1228 г/моль). Показано, что при постоянной концентрации сополимера в органической фазе (CПЛГА/ацетон = 5 мг/мл) увеличение концентрации как Pluronic F127, так и Tween20 в водной фазе от 0 до 1 мг/мл практически не влияет на величину Dh ПЛГА частиц, которая составляет ~ 110–120 нм. Данные по влиянию концентрации стабилизатора на содержание загруженного в ПЛГА частицы лекарственного агента не приведены, однако авторы установили, что содержание кетопрофена в частицах и скорость его высвобождения зависят от типа используемого стабилизатора. Так, при одинаковых условиях получения (СПЛГА/ацетон = 10 мг/мл, Сстабилизатор/вода = 0.1 мг/мл, Скетопрофен = 10 мг/мл, объемное соотношение органической и водной фаз – 1 : 10) содержание кетопрофена в Pluronic F127- и Tween20-стабилизированных ПЛГА частицах составляет 26.9 ± 2.0 и 38.2 ± 2.8% соответственно. Кроме того, высвобождение лекарственного агента из ПЛГА частиц, стабилизированных Tween20, происходит медленнее по сравнению с высвобождением из ПЛГА частиц, стабилизированных Pluronic F127, что авторы объясняют меньшей молекулярной массой Tween20 и, соответственно, формированием более плотного и компактного слоя поверхностно-активного вещества (ПАВ) на поверхности ПЛГА ядра.
В работе [18] исследовали влияние нескольких независимых параметров нанопреципитации, а именно концентрации сополимера и лекарственного агента в ацетоне, а также концентрации стабилизатора Tween80 в воде на характеристики ПЛГА (соотношение ЛА/ГК звеньев = 50/50, Mw = 34000 г/моль) частиц для оптимизации процесса получения на их основе наносомальной формы ликохалкона А. Так, при варьировании концентрации Tween80 от 0.46 до 1.14% авторы установили, что при высокой концентрации ПАВ ПЛГА частицы характеризуются меньшим средним значением Dh. Кроме того, увеличение содержания Tween80 приводит к снижению ИП получаемых частиц. Однако с ростом концентрации стабилизатора авторы наблюдали снижение эффективности загрузки ликохалкона А в ПЛГА частицы: при СTween80/вода, равной 0.464 и 1.136%, эффективность загрузки активного агента в частицы составляет 45.46 и 8.65% соответственно, поэтому оптимальная концентрация стабилизатора Tween80 для получения наносомальной формы ликохалкона А составила 0.4%. Аналогичные зависимости наблюдали в работе [20] для полученных нанопреципитацией из ацетона в присутствии стабилизатора ПВС ПЭГилированных ПЛГА частиц, нагруженных дексибупрофеном. Shah и др. также обнаружили, что увеличение концентрации стабилизатора приводит к снижению размера частиц на основе ПЛГА (соотношение ЛА/ГК звеньев = 50/50) [21]. Показано, что рост концентрации Pluronic F-68 от 0.5 до 1.5% (при постоянной концентрации органической фазы СПЛГА/ацетон = 20 мг/мл) приводит к уменьшению Dh ПЛГА частиц, загруженных фелодипином, от 160.5 ± 1.52 до 149.7 ± 3.39 нм. Авторы полагают, что малой концентрации Pluronic F-68 недостаточно для покрытия поверхности ПЛГА ядер частиц и их эффективной стабилизации, что приводит к большему размеру частиц при низкой концентрации стабилизатора. Однако эффективность загрузки фелодипина в ПЛГА частицы, напротив, увеличивается с ростом концентрации Pluronic F-68 и составляет 67.26 ± 1.85 и 74.41 ± 1.96% для СPluronic F-68/вода = 0.5 и 1.5% соответственно.
Таким образом, целью данного исследования является установление влияния концентрации стабилизатора ПВС на параметры получаемых нанопреципитацией частиц на основе ПЛГА сополимеров близкого молекулярного состава, но с различной молекулярной массой Mw = 19 000 и 97 000 г/моль, синтезированных с использованием субсалицилата висмута и 2-этилгексаноата олова (II) соответственно. В работе также получены частицы на основе ПЛГА сополимера (мольное соотношение ЛА/ГК звеньев = 75/25, Mw = 19 000 г/моль), нагруженные модельным противоопухолевым агентом доцетакселом, и изучено влияние концентрации ПВС на эффективность загрузки активного агента в частицы, их цитотоксическую активность in vitro, а также способность к лиофилизации и ре-диспергированию.
ЭКСПЕРИМЕНТАЛЬНАЯ ЧАСТЬ
Материалы
D,L-лактид (ЛА) и гликолид (ГК) (“Corbion”, Нидерланды) предварительно очищали перекристаллизацией из этилацетата. 2-этилгексаноат олова (II) (Sn(Oct)2) (“Sigma Aldrich”, США), субсалицилат висмута (BiSS) (“Sigma Aldrich”, США), поли(виниловый) спирт (ПВС) (“Sigma Aldrich”, США) со средневесовой молекулярной массой Mw = 30 000––70 000 г/моль (гидролизованный 87%) (“Sigma Aldrich”, США), D(–)-маннитол (“Honeywell Burdick & Jackson”, США), доцетаксел безводный (ДОЦ) (“Xi’an Taicheng Chem Co., LTD”, Китай) использовали без дополнительной очистки. Все используемые в работе органические растворители класса ОСЧ (“Химреактив”, Россия) дополнительно не очищали. Для приготовления водных растворов использовали дважды дистиллированную воду, полученную на установке Millipore Milli-Q (“Merk KGaA”, Германия).
Синтез и характеризация сополимеров на основе D,L-лактида и гликолида
Полимеризацию с раскрытием цикла ЛА в присутствии ГК проводили по модифицированной методике Kricheldorf и др. [22] с использованием Sn(Oct)2 или BiSS в качестве катализатора. Кратко, предварительно взвешенные навески ЛА и ГК загружали в коническую круглодонную колбу, затем к реакционной смеси добавляли необходимое количество катализатора и активатора (этиленгликоля). Синтез проводили в расплаве при 180оC при постоянном перемешивании в атмосфере аргона. Синтезированные сополимеры поли(D,L-лактида-со-гликолида) (ПЛГА) растворяли в тетрагидрофуране (ТГФ) и переосаждали в холодный н-гексан, далее высушивали в вакуумном шкафу при 120оC до постоянного веса для удаления остатков растворителя.
Степень конверсии ЛА (αЛА) и состав полученных сополимеров ПЛГА (мольное соотношение ЛА/ГК звеньев) рассчитывали по данным 1Н ядерно-магнитного резонанса (1H ЯМР). Средневесовую (Mw) и среднечисловую (Mn) молекулярные массы, дисперсность (Đ) образцов определяли методом гель-проникающей хроматографии (ГПХ).
Условия синтеза сополимеров ПЛГА, полученных с использованием Sn(Oct)2 и BiSS (шифры образцов ПЛГА-Sn и ПЛГА-Bi соответственно), а также их молекулярно-массовые характеристики приведены в табл. 1.
Таблица 1. Условия синтеза (температура T, время реакции τ, концентрация катализатора Скат) ПЛГА сополимеров и их молекулярно-массовые характеристики
Шифр образца | T, oC | τ, ч | Cкат, ppm | 1αЛА, % | 1ЛА/ГК, мол. % | 2Mw, г/моль | 2Mn, г/моль | 2Đ |
ПЛГА-Sn | 180 | 2 | 500 | 98 | 71:29 | 97000 | 46000 | 2.3 |
ПЛГА-Bi | 180 | 1 | 1000 | 96 | 74:26 | 19000 | 9000 | 2.2 |
1 Определено методом 1H ЯМР. 2Определено методом ГПХ.
Получение ПЛГА наночастиц
Водные дисперсии ПЛГА наночастиц, стабилизированных ПВС, получали нанопреципитацией. Навеску сополимера массой 50 мг растворяли в 10 мл ацетона (СПЛГА/ацетон = 5 мг/мл), затем полученный раствор добавляли по каплям к 10 мл водного раствора стабилизатора ПВС с концентрацией 2.5, 5, 10 или 15 мг/мл. Органический растворитель испаряли при комнатной температуре в течение 4 ч при постоянном перемешивании (700 об/мин). Полученные водные дисперсии центрифугировали (40000g, 30 мин) с использованием ультрацентрифуги Optima MAX–XP (“Beckman Coulter”, США) для удаления остаточного ацетона и несвязанного стабилизатора. Осажденные ПЛГА наночастицы ре-диспергировали в 8 мл дважды дистиллированной воды. Процедуру очистки повторяли дважды. Очищенные водные дисперсии ПВС-стабилизированных ПЛГА наночастиц хранили в закрытых стеклянных виалах при +4оC.
Для приготовления водных дисперсий ПЛГА наночастиц, нагруженных модельным гидрофобным лекарственным агентом, навеску ДОЦ массой 5 мг предварительно растворяли в 10 мл ацетона. Затем 100 мг ПЛГА (Mw = 19 000 г/моль) растворяли в 10 мл раствора ДОЦ в ацетоне (СПЛГА/ацетон = 10 мг/мл), органическую фазу добавляли по каплям к 10 мл водного раствора ПВС с концентрацией 1, 5, 10 или 15 мг/мл. Далее ДОЦ-нагруженные ПЛГА частицы получали согласно описанной выше методике. Водные дисперсии ПВС-стабилизированных ПЛГА частиц, содержащих ДОЦ, сразу после получения лиофилизировали в присутствии криопротектора D(–)-маннитола (для предотвращения преждевременного высвобождения загруженного в частицы лекарственного агента). Лиофильно высушенные образцы хранили в закрытых пластиковых эпендорфах при +4оC.
Нестабилизированные ПЛГА наночастицы также получали нанопреципитацией. Для этого 50 мг сополимера растворяли в 10 мл ацетона (СПЛГА/ацетон = 5 мг/мл), затем полученный раствор добавляли по каплям к 10 мл дважды дистиллированной воды. Органический растворитель испаряли при комнатной температуре в течение 4 ч при постоянном перемешивании (700 об./мин). Полученные водные дисперсии нестабилизированных ПЛГА наночастиц хранили в закрытых стеклянных виалах при +4оC.
Характеризация ПЛГА наночастиц. Динамическое рассеяние света (ДРС)
Распределения гидродинамических диаметров (Dh) ПЛГА наночастиц в водных дисперсиях получали с использованием анализатора “Zetasizer Nano ZSP” (“Malvern Instruments Ltd.”, Великобритания). Анализатор оснащен He-Ne лазером с длиной волны 632.8 нм и фотодетектором, расположенным под углом 173о. Водные дисперсии наночастиц (1 мл) помещали в пластиковую кювету с длиной оптического пути 1 см. Измерения проводили при 25оC, каждое измерение повторяли трижды. Распределения Dh ПЛГА наночастиц в дисперсиях были рассчитаны из автокорреляционных функций программного обеспечения “Zetasizer Software”.
Электрофоретическое рассеяние света
Распределения электрофоретической подвижности ПЛГА наночастиц в водных дисперсиях получали с использованием анализатора “Zetasizer Nano ZSP” (“Malvern Instruments Ltd.”, Великобритания). Водные дисперсии наночастиц (0.8 мл) помещали в U-образную капиллярную кювету. Измерения проводили при 25оC, каждое измерение повторяли трижды. Распределения величин электрокинетического потенциала (ζ-потенциала) ПЛГА наночастиц в дисперсиях были рассчитаны с помощью уравнения Генри в приближении Смолуховского с использованием программного обеспечения “Zetasizer Software”.
Высокоэффективная жидкостная хроматография (ВЭЖХ)
Содержание модельного лекарственного агента ДОЦ в ПЛГА наночастицах определяли с помощью хроматографической системы Agilent HPLC1200 (“Agilent”, США), оснащенной спектрофотометрическим детектором. Обращенно-фазовое градиентное разделение осуществляли с использованием колонки PerfectSil 300 ODS C18 (250×4.6 мм, 5 μМ) (“MZ-Analysentechnik GmbH”, Германия) при 40оC. Объем вводимого образца составлял 25 мкл. В качестве компонентов подвижной фазы использовали воду (А) и ацетонитрил (Б). Скорость потока составляла 1.2 мл/мин. Для осуществления градиентного режима элюирования объемное содержание подвижной фазы Б равномерно увеличивалось от 28% (9 мин) до 72% (38 мин) и далее уменьшалось до 28% (50 мин). Длина волны регистрации сигнала ДОЦ составляла 232 нм, время удерживания ДОЦ – 27.3 мин.
Исследование цитотоксического эффекта ПЛГА наночастиц in vitro
Цитотоксическую активность чистого ДОЦ, ненагруженных и ДОЦ-нагруженных ПЛГА-Bi наночастиц определяли с использованием MTT-теста [23]. Клетки карциномы толстой кишки мыши линии CT26 и фибробластов легкого эмбриона человека линии WI-38 культивировали в стандартной среде DMEM (“Gibco”, Великобритания), содержащей 10% фетальной бычьей сыворотки (“HyClone”, США) и 50 мкг/мл гентамицина (“Gibko”, Великобритания), в СО2-инкубаторе при 37оC в увлажненной атмосфере с 5% СО2. Для определения цитотоксичности клетки высевали в 96-луночные планшеты (“Corning”, США) по 5×103 клеток в 100 мкл культуральной среды и инкубировали в течение 24 ч. Исходный раствор чистого ДОЦ готовили в концентрации 10 ммоль/л в диметилсульфоксиде (ДМСО) и хранили при –20оC, избегая повторных циклов замораживания/размораживания. В день эксперимента готовили серийное разведение исходного раствора ДОЦ в полной питательной среде и добавляли полученные растворы к культурам клеток в диапазоне концентраций от 0.3 до 200 нмоль/л (максимальное содержание ДМСО составляло 0.002%). ПЛГА-Bi частицы суспендировали в культуральной среде и также добавляли к культурам клеток в диапазоне вышеуказанных концентраций (в пересчете на ДОЦ). Далее клетки инкубировали в стандартных условиях в течение 72 ч, затем в каждую лунку добавляли по 50 мкл раствора 3-(4,5-диметилтиазол-2-ил)-2,5-дифенил-тетразолиум бромида (МТТ) (“Sigma Aldrich”, Германия) в концентрации 200 мкг/мл в культуральной среде и инкубировали в течение 3 ч при 37оC для образования формазана. Среду удаляли, добавляли 100 мкл ДМСО и перемешивали. После полного растворения кристаллов формазана измеряли оптическую плотность содержимого лунок с помощью многоканального спектрофотометра (“Bio-Rad”, США) при длине волны λ = 570 нм. Данные представляли в виде оптической плотности экспериментальных образцов относительно контроля. По полученным данным строили графики зависимости количества клеток от концентрации ДОЦ. По кривым выживаемости определяли значения IC50 (концентрацию вещества, ингибирующую рост клеток на 50%).
Лиофилизация и ре-диспергирование ПЛГА наночастиц
Лиофилизацию водных дисперсий ПЛГА наночастиц, нагруженных модельным лекарственным агентом ДОЦ, проводили с использованием D(–)-маннитола в качестве криопротектора. D(–)-маннитол (100 мг) предварительно растворяли в 10 мл дважды дистиллированной воды, далее 1 мл полученного раствора добавляли к 1 мл водной дисперсии ПЛГА наночастиц, после чего растворы замораживали при –18оC. Замороженные образцы лиофильно высушивали с использованием системы лиофильной сушки Alpha 2–4 LSC (“Martin Christ”, Германия) в течение 48 ч при –72оC и давлении 0.001 мбар. Полученные лиофилизаты ПЛГА наночастиц ре-диспергировали в 2 мл дважды дистиллированной воды простым перемешиванием (взбалтыванием) в течение 1–2 мин при комнатной температуре.
Статистический анализ экспериментальных результатов
Все экспериментальные данные представлены как среднее значение трех измерений со стандартным отклонением.
РЕЗУЛЬТАТЫ И ОБСУЖДЕНИЕ
Использование стабилизирующего агента на этапе получения ПЛГА наночастиц необходимо для обеспечения их стабильности в дисперсии в течение длительного времени и при изменении внешних условий (температуры, pH, ионной силы) [14]. Рассмотрим, как концентрация стабилизатора ПВС в водной фазе влияет на величины Dh, ИП и ζ-потенциала ПЛГА-Sn и ПЛГА-Bi наночастиц.
Влияние концентрации стабилизатора ПВС на параметры ПЛГА наночастиц
Зависимости значений Dh ПЛГА-Sn и ПЛГА-Bi частиц от концентрации ПВС в водной фазе приведены на рис. 1а и 1б соответственно. По данным ДРС ПВС-стабилизированные частицы характеризуются большим размером по сравнению с ПЛГА частицами, полученными в отсутствии стабилизатора (величины Dh для нестабилизированных ПЛГА-Sn и ПЛГА-Bi частиц составляют 125 ± 1 и 95 ± 1 нм соответственно), что может свидетельствовать об успешной адсорбции молекул ПВС на поверхность ПЛГА частиц [24, 25]. Разница в значениях Dh нестабилизированных ПЛГА-Sn и ПЛГА-Bi частиц может быть связана с различной молекулярной массой используемых сополимеров (табл. 1) [26]. С увеличением молекулярной массы полимера возрастает вязкость органической фазы и, соответственно, снижается скорость диффузии полимерных цепей в водную фазу. Чем меньше скорость диффузии полимерных макромолекул, тем больше их приходится на единицу объема органического растворителя, что приводит к их агрегации и формированию полимерных частиц большего размера [27]. Отметим, что для ПВС-стабилизированных ПЛГА-Sn и ПЛГА-Bi частиц существенной разницы в размерах в зависимости от молекулярной массы исходного сополимера не наблюдается (рис. 1).
Рис. 1. Зависимости величин гидродинамического диаметра (Dh, нм) и индекса полидисперсности (ИП) (а) ПЛГА-Sn и (б) ПЛГА-Bi наночастиц от концентрации стабилизатора ПВС в водной фазе (СПВС/вода, мг/мл).
Обнаружено, что при варьировании СПВС/вода от 2.5 до 5 мг/мл (концентрация органической фазы оставалась постоянной СПЛГА/ацетон = 5 мг/мл) величина Dh частиц уменьшается, тогда как дальнейшее увеличение содержания стабилизатора в системе до 15 мг/мл практически не влияет на размер ПЛГА частиц обоих типов (рис. 1). Как отмечалось в работах [18, 21], малой концентрации стабилизатора может быть недостаточно для эффективной стабилизации ПЛГА ядер, вследствие чего происходит образование частиц большего размера. Отметим, что распределения интенсивности рассеяния света по величинам Dh ПЛГА-Sn и ПЛГА-Bi частиц независимо от СПВС/вода носят мономодальный характер (данные не приведены).
Наибольшие значения ИП обнаружены для ПЛГА-Sn и ПЛГА-Bi частиц, полученных при СПВС/вода =2.5 и 5 мг/мл соответственно, увеличение СПВС/вода до 15 мг/мл приводит к снижению ИП частиц (рис. 1). Аналогичную зависимость наблюдали в работе [18]. Как видно из рис. 1, величина ИП для обоих типов частиц независимо от СПВС/вода не превышает 0.3, то есть все полученные частицы могут выступать в качестве потенциальных носителей лекарственных средств.
По данным электрофоретического рассеяния света ПЛГА-Sn и ПЛГА-Bi наночастицы характеризуются отрицательными величинами ζ-потенциала независимо от СПВС/вода (рис. 2), что может быть объяснено присутствием на поверхности ПЛГА ядер карбоксильных групп, способных к диссоциации. Увеличение содержания ПВС в системе приводит к нелинейному уменьшению абсолютной величины ζ-потенциала частиц обоих типов (рис. 2), что, по-видимому, связано с более эффективным экранированием карбоксильных групп на поверхности ПЛГА ядер за счет адсорбции большего количества ПВС [28].
Рис. 2. Зависимости величин электрокинетического потенциала (ζ, мВ) ПЛГА наночастиц от концентрации стабилизатора ПВС в водной фазе (СПВС/вода, мг/мл).
Отметим, что при данных условиях нанопреципитации формирование ПЛГА частиц происходит по механизму “нуклеации и агрегации”, согласно которому в результате локального перенасыщения происходит спонтанная нуклеация ПЛГА цепей в “зародыши” частиц, причем число “зародышей” настолько велико, что они сталкиваются друг с другом и коалесцируют, образуя частицы финального размера [14, 29]. Стадия агрегации “зародышей” может лимитироваться электростатическим отталкиванием между ними или присутствием в системе молекул стабилизатора, которые увеличивают вязкость водной фазы и, соответственно, снижают скорость диффузии частиц. В случае если рост частиц лимитируется адсорбцией молекул стабилизатора, то финальный размер частиц будет зависеть от концентрации водной фазы [12, 19, 30]. Однако в ряде работ было показано, что концентрация стабилизатора в водной фазе практически не оказывает влияния на размер ПЛГА частиц [14, 17]. Мы полагаем, что несогласованность литературных данных о влиянии концентрации стабилизатора на размер ПЛГА частиц может быть связана с тем, что водные дисперсии частиц, как правило, исследуют методом ДРС не сразу после получения, а после многократных стадий очистки. Поэтому в данной работе водные дисперсии ПВС-стабилизированных ПЛГА-Sn и ПЛГА-Bi частиц дополнительно исследовали перед двукратным центрифугированием (очисткой).
Как видно из рис. 3а и 3б, величины Dh ПЛГА-Sn и ПЛГА-Bi наночастиц в водных дисперсиях сразу после получения практически не зависят от СПВС/вода, что согласуется с зависимостями, обнаруженными в работах [14, 17]. По-видимому, финальный размер частиц определяется концентрацией органической фазы (СПЛГА/ацетон = 5 мг/мл во всех случаях) и лимитируется электростатическим отталкиванием между “зародышами” частиц. Однако СПВС/вода влияет на стабильность ПЛГА частиц в процессе центрифугирования и их способность к ре-диспергированию в воде. Так, малого количества стабилизатора в системе (СПВС/вода = 2.5 мг/мл, СПЛГА/ацетон = = 5 мг/мл) оказывается недостаточно для эффективной стабилизации ПЛГА частиц, что приводит к их коалесценции и укрупнению в процессе очистки (рис. 3а и 3б).
Рис. 3. Зависимости величин среднего гидродинамического диаметра (Dh, нм) (а, б), индекса полидисперсности (ИП) (в, г) и электрокинетического потенциала (ζ, мВ) (д, е) ПЛГА-Sn (левый столбец) и ПЛГА-Bi (правый столбец) наночастиц от концентрации стабилизатора ПВС в водной фазе (СПВС/вода, мг/мл) сразу после получения и после двукратной очистки.
Зависимости величин ИП свежеприготовленных и дважды центрифугированных ПЛГА частиц обоих типов от СПВС/вода, в целом, имеют схожий вид (рис. 3в и 3г). Свежеприготовленные ПЛГА-Sn и ПЛГА-Bi частицы обладают наибольшим значением ИП, равным 0.20 ± 0.03 и 0.17 ± 0.01 при СПВС/вода = 5 и 2.5 мг/мл соответственно. Увеличение СПВС/вода приводит к снижению ИП свежеприготовленных частиц. Отметим, что величины ИП свежеприготовленных частиц, как правило, не превышают или сопоставимы (в рамках экспериментальной погрешности) с соответствующими величинами для центрифугированных частиц (рис. 3в и 3г).
Абсолютные значения ζ-потенциала свежеприготовленных ПЛГА частиц обоих типов оказались меньше соответствующих значений для центрифугированных частиц во всем диапазоне СПВС/вода (рис. 3д и 3е). Это может быть связано с тем, что часть физически адсорбированного на поверхности ПЛГА ядер ПВС “отрывается” в процессе центрифугирования, что приводит к менее эффективному экранированию способных к диссоциации карбоксильных групп и, соответственно, большим абсолютным величинам ζ-потенциала ПЛГА частиц после очистки. Например, в работе [31] авторы обнаружили, что увеличение скорости центрифугирования водных дисперсий ПЛГА частиц, стабилизированных диметиламинобензальдегидом (ДМАБ) (СДМАБ/вода = 0.25 масс./об.%) или ПВС (СПВС/вода =0.25 масс./об.%), приводит к росту абсолютного значения ζ-потенциала частиц обоих типов, что, по-видимому, связано с десорбцией большего количества молекул стабилизатора с поверхности ПЛГА ядер при более высоких скоростях центрифугирования.
Согласно полученным данным, величины Dh, ИП и ζ-потенциала имеют схожую зависимость от СПВС/вода для ПЛГА-Sn и ПЛГА-Bi частиц. Однако, принимая во внимание использование менее токсичного катализатора BiSS на этапе синтеза исходного сополимера, для получения и исследования частиц, нагруженных модельным лекарственным агентом ДОЦ, использовали сополимер ПЛГА-Bi.
Влияние концентрации стабилизатора ПВС на параметры ПЛГА-Bi частиц, нагруженных модельным лекарственным агентом
ДОЦ-содержащие ПЛГА-Bi наночастицы также получали нанопреципитацией: СПЛГА/ацетон и СДОЦ/ацетон оставались постоянными и составляли 10 и 0.5 мг/мл соответственно, СПВС/вода варьировали в диапазоне от 1 до 15 мг/мл. Загрузку ДОЦ в исследуемые частицы подтверждали с помощью ВЭЖХ. Водные дисперсии ПЛГА-Bi наночастиц, нагруженных ДОЦ, исследовали методом ДРС после двукратной отмывки от несвязанного стабилизатора (табл. 2).
Таблица 2. Гидродинамический диаметр (Dh, нм), индекс полидисперсности (ИП), электрокинетический потенциал (ζ, мВ) ДОЦ-содержащих ПЛГА-Bi наночастиц, полученных при различной концентрации ПВС в водной фазе (СПВС/вода, мг/мл), и содержание в них модельного лекарственного агента ДОЦ (ωДОЦ, вес. %), определенное методом ВЭЖХ
СПВС/вода, мг/мл | Dh, нм | ИП | ζ, мВ | ωДОЦ, вес. % |
1 | 219 ± 6 | 0.39 ± 0.02 | –18 ± 1 | 4.30 |
5 | 163 ± 7 | 0.30 ± 0.02 | –21 ± 6 | 4.08 |
10 | 153 ± 1 | 0.28 ± 0.05 | –17 ± 3 | 4.05 |
15 | 159 ± 5 | 0.16 ± 0.01 | –8 ± 1 | 4.51 |
Как и в случае ненагруженных частиц (рис. 1б), ДОЦ-содержащие ПЛГА-Bi частицы характеризуются наибольшим значением Dh при недостатке стабилизатора в системе (СПВС/вода = 1 мг/мл, СПЛГА/ацетон = 10 мг/мл) (табл. 2). Увеличение СПВС/вода до 5 мг/мл приводит к снижению величины Dh ДОЦ-нагруженных ПЛГА-Bi частиц, которая практически не меняется с дальнейшим ростом СПВС/вода вплоть до 15 мг/мл (табл. 2). Значения ИП и ζ-потенциала (по модулю) ПЛГА-Bi частиц, нагруженных ДОЦ, снижаются с увеличением СПВС/вода (табл. 2), что согласуется с данными для ненагруженных ПЛГА-Bi частиц (рис. 1б, рис. 2). Отметим, что загрузка ДОЦ в исследуемые частицы не приводила к изменению их физико-химических параметров (данные не приведены).
По данным ВЭЖХ содержание ДОЦ в ПЛГА-Bi наночастицах практически не зависит от СПВС/вода (табл. 2). По-видимому, ключевым фактором, влияющим на загрузку гидрофобного лекарственного агента в ПЛГА частицы, является концентрация органической фазы, определяющая размер гидрофобного ПЛГА ядра, которая в данном эксперименте оставалась постоянной (СПЛГА/ацетон = 10 мг/мл).
Одним из требований, предъявляемым к ПЛГА частицам – потенциальным носителям лекарственных средств, является их способность к лиофилизации и последующему ре-диспергированию в воде/солевом растворе/буфере до исходных размеров, поскольку при хранении ПЛГА частиц в виде дисперсии существует риск их гидролиза и, соответственно, преждевременного высвобождения загруженного лекарственного агента. Как правило, процедуру лиофилизации ПЛГА частиц проводят с применением различных крио-протекторов (спиртов, олигосахаридов и др.) [11]. В данной работе методом ДРС исследовали влияние СПВС/вода на способность ДОЦ-нагруженных ПЛГА-Bi наночастиц к лиофилизации и ре-диспергированию в воде как без добавления криопротектора, так и с добавлением D(–)-маннитола (рис. 4).
Рис. 4. Распределения интенсивности рассеяния света по гидродинамическим диаметрам (Dh, нм) ДОЦ-нагруженных ПЛГА-Bi частиц, полученных при концентрации стабилизатора ПВС в водной фазе, равной (а) 1, (б) 5, (в) 10 и (г) 15 мг/мл: 1 – в исходной дисперсии (до лиофилизации), 2 – после лиофилизации без криопротектора и последующего ре-диспергирования в воде, 3 – после лиофилизации в присутствии криопротектора D(–)-маннитола и последующего ре-диспергирования в воде.
Как видно из рис. 4а, ДОЦ-содержащие ПЛГА-Bi частицы, полученные при СПВС/вода = 1 мг/мл, после лиофильной сушки в отсутствие криопротектора не способны к ре-диспергированию в водной среде до исходных размеров: на ДРС-распределении наблюдается лишь фракция крупных микронных агрегатов, размер которых существенно превышает величину Dh наночастиц в исходной дисперсии. ДРС-распределения для ДОЦ-нагруженных ПЛГА-Bi частиц, полученных при СПВС/вода = 5, 10 и 15 мг/мл и ре-диспергированных в воде, носят бимодальный характер, причем с увеличением СПВС/вода возрастает интенсивность рассеяния света наноразмерной фракции, что свидетельствует об увеличении ее весового количества в дисперсии (рис. 4б–г). В свою очередь, введение в систему криопротектора D(–)-маннитола позволяет успешно лиофильно высушивать и ре-диспергировать до исходных размеров (ИП < 0.2) в водной среде ДОЦ-нагруженные ПЛГА-Bi частицы, полученные нанопреципитацией при избытке ПВС (СПВС/вода =15 мг/мл, СПЛГА/ацетон =10 мг/мл), при равном соотношении ПЛГА и ПВС (СПВС/вода = СПЛГА/ацетон = 10 мг/мл) и даже при недостатке стабилизатора (СПВС/вода = 5 мг/мл, СПЛГА/ ацетон = 10 мг/мл) (рис. 4).
Исследование цитотоксичности ПЛГА-Bi наночастиц in vitro
На первом этапе исследовали цитотоксическую активность как ненагруженных ПЛГА-Bi наночастиц, полученных без стабилизатора, так и ПВС-стабилизированных (СПВС/вода = 5 мг/мл) ПЛГА-Bi наночастиц в отношении клеточных линий карциномы толстой кишки мыши CT26 и фибробластов легкого эмбриона человека WI-38. Известно, что лекарственный агент ДОЦ не обладает избирательным эффектом, поэтому цитотоксическую активность исследуемых наночастиц оценивали в отношении как опухолевых (CT26), так и нормальных (WI-38) клеток. Кроме того, использование опухолевых клеток линии СТ26 позволит в дальнейшем проводить исследования in vivo на мышах.
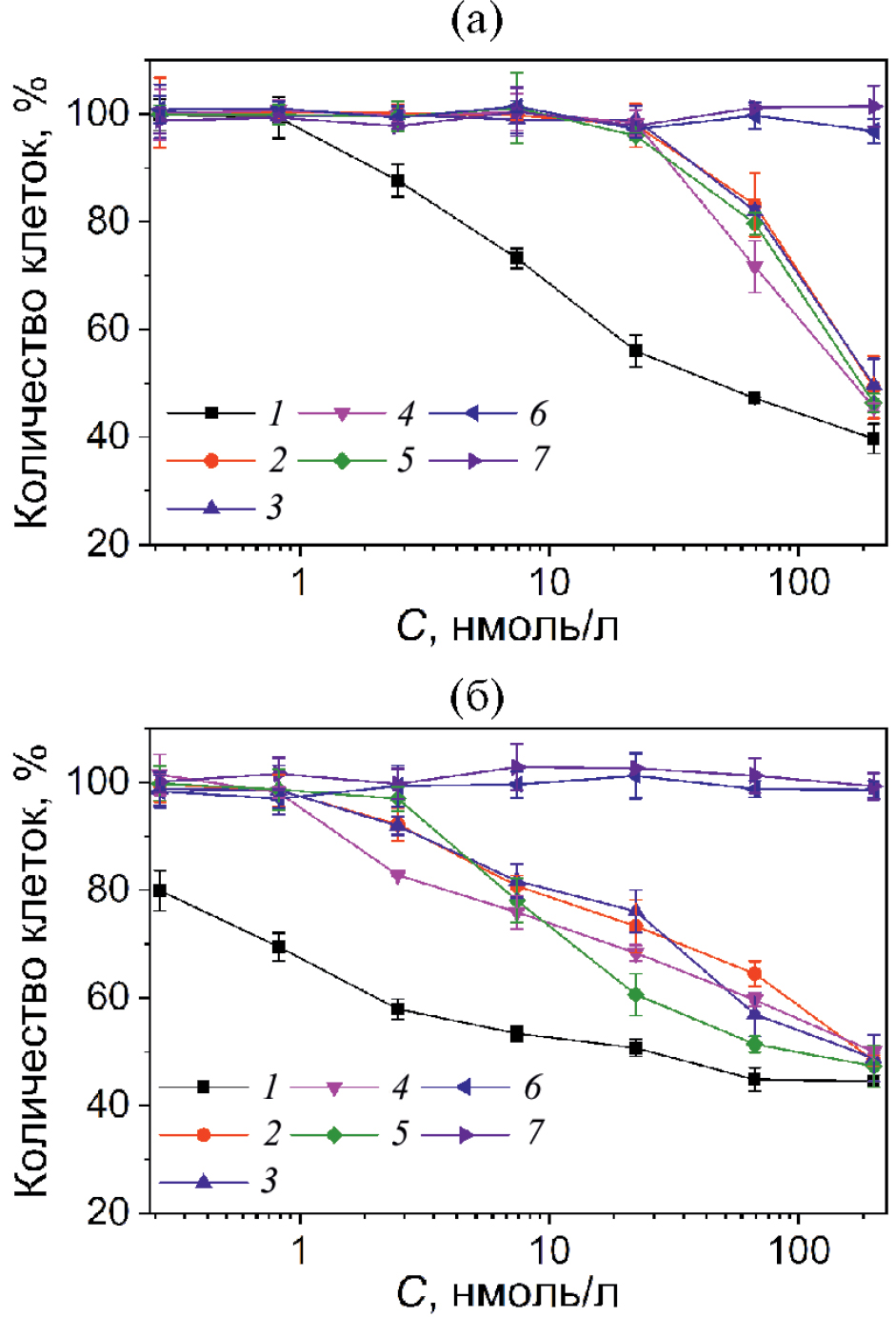
Как видно из рис. 5, в случае ненагруженных ПЛГА-Bi частиц обоих типов выживаемость клеток линий CT26 и WI-38 составляет порядка 100%. В случае ДОЦ-содержащих ПЛГА-Bi наночастиц их цитотоксический эффект в отношении обеих клеточных линий оказался меньше по сравнению с эффектом чистого ДОЦ в широком диапазоне исследуемых концентраций, что может быть связано с пролонгированным характером высвобождения препарата из ПЛГА частиц. Полученные по графикам выживаемости значения IC50 приведены в табл. 3.
Рис. 5. Цитотоксический эффект на клеточных линиях (а) CT26 и (б) WI-38 для: 1 – свободного ДОЦ, 2 – ДОЦ-содержащих ПЛГА-Bi наночастиц, полученных при СПВС/вода = 1 мг/мл, 3 – ДОЦ-содержащих ПЛГА-Bi наночастиц, полученных при СПВС/вода =5 мг/мл, 4 – ДОЦ-содержащих ПЛГА-Bi наночастиц, полученных при СПВС/вода = 10 мг/мл, 5 – ДОЦ-содержащих ПЛГА-Bi наночастиц, полученных при СПВС/вода = 15 мг/мл, 6 – ненагруженных ПВС-стабилизированных ПЛГА-Bi наночастиц (CПВС/вода = 5 мг/мл), 7 – ненагруженных ПЛГА-Bi наночастиц, полученных без ПВС.
Таблица 3. Результаты оценки цитотоксичности свободного ДОЦ и ДОЦ-содержащих ПЛГА-Bi наночастиц, полученных при различной концентрации ПВС (СПВС/вода, мг/мл), in vitro
Образец | Значение IC50, нмоль | |
CT26 | WI-38 | |
Свободный ДОЦ | 47.2 ± 4.1 | 25.9 ± 3.7 |
ДОЦ-содержащие ПЛГА-Bi | ||
СПВС/вода, мг/мл | CT26 | WI-38 |
1 | 203.1 ± 9.9 | 176.6 ± 5.7 |
5 | 203.1 ± 8.5 | 167.3 ± 7.4 |
10 | 176.6 ± 8.3 | 198.7 ± 3.5 |
15 | 167.0 ± 11.3 | 90.8 ± 5.4 |
Как видно из табл. 3, цитотоксичность ДОЦ-содержащих ПЛГА-Bi наночастиц в отношении линии опухолевых клеток СТ26 слабо зависит от СПВС/вода. В случае линии нормальных клеток WI-38 концентрация стабилизатора, варьируемая от 1 до 10 мг/мл, также слабо влияет на величину IC50 ДОЦ-нагруженных ПЛГА-Bi наночастиц, однако при СПВС/вода =15 мг/мл наблюдается практически двукратное снижение значения IC50. Отметим, что цитотоксический эффект in vitro чистого ПВС зависит от его концентрации [32], поэтому для объяснения полученной в работе зависимости величины IC50 ДОЦ-содержащих ПЛГА-Bi наночастиц в отношении клеточной линии WI-38 от СПВС/вода, используемой на этапе приготовления частиц, необходимо определить количество ПВС, адсорбированного на ПЛГА частицах.
ЗАКЛЮЧЕНИЕ
В работе изучено влияние концентрации стабилизирующего агента ПВС на характеристики получаемых нанопреципитацией частиц на основе биоразлагаемых сополимеров ПЛГА-Sn (ЛА/ГК = 70/30 мол.%, Mw =97 000 г/моль) и ПЛГА-Bi (ЛА/ГК = 75/25 мол.%, Mw = 97 000 г/моль). Исследование свежеприготовленных водных дисперсий ПЛГА наночастиц, полученных при варьируемой СПВС/вода от 2.5 до 15 мг/мл (при постоянной СПЛГА/ацетон = 5 мг/мл), показало, что на этапе формирования ПЛГА частиц их финальный гидродинамический диаметр (Dh) практически не зависит от СПВС/вода. Однако при дальнейшем центрифугировании (с целью удаления несвязанного стабилизатора и остатков органического растворителя) водных дисперсий ПЛГА частиц, полученных при малой СПВС/вода = 2.5 мг/мл, происходит их коалесценция и укрупнение вследствие, по-видимому, недостатка стабилизатора и неэффективного экранирования поверхности ПЛГА ядер, тогда как при более высоких СПВС/вода величина Dh частиц при центрифугировании не меняется. Обнаружено, что содержание ПВС в водной фазе влияет на величины ИП и ζ-потенциала (по модулю) ПЛГА-Sn и ПЛГА-Bi наночастиц: увеличение СПВС/вода приводит к снижению значений ИП и ζ-потенциала исследуемых частиц как в свежеприготовленных, так и в очищенных дисперсиях. Установлено, что содержание модельного гидрофобного препарата ДОЦ в ПЛГА-Bi частицах практически не зависит от СПВС/вода. Показано, что СПВС/вода слабо влияет на цитотоксический эффект in vitro ДОЦ-содержащих ПЛГА-Bi наночастиц в отношении линии клеток карциномы толстой кишки мыши CT26 и фибробластов легкого эмбриона человека WI-38. Однако содержание ПВС в водной фазе оказывает существенное влияние на способность ДОЦ-нагруженных ПЛГА-Bi наночастиц к лио- филизации и ре-диспергированию в водной среде. Показано, что при данных условиях получения частицы, сформированные при СПВС/вода = 2.5 мг/мл, не ре-диспергируются до исходных размеров как в присутствии, так и в отсутствии криопротектора D(–)-маннитола в отличие от частиц, полученных при более высоких СПВС/вода.
ФИНАНСИРОВАНИЕ РАБОТЫ
Работа проведена в рамках выполнения государственного задания НИЦ «Курчатовский институт».
БЛАГОДАРНОСТИ
Коллектив авторов благодарит Ресурсные Центры «Оптика» и «Полимер» НИЦ «Курчатовский институт» за возможность проведения ДРС и ВЭЖХ экспериментов.
СОБЛЮДЕНИЕ ЭТИЧЕСКИХ СТАНДАРТОВ
В данной работе отсутствуют исследования человека или животных.
КОНФЛИКТ ИНТЕРЕСОВ
Авторы данной работы заявляют, что у них нет конфликта интересов.
About the authors
E. V. Kuznetsova
Национальный исследовательский центр «Курчатовский институт»
Author for correspondence.
Email: kuznetsova.kate992@gmail.com
Russian Federation, пл. Академика Курчатова, 1, Москва, 123128
A. E. Tyurnina
Национальный исследовательский центр «Курчатовский институт»
Email: kuznetsova.kate992@gmail.com
Russian Federation, пл. Академика Курчатова, 1, Москва, 123128
E. A. Konshina
Национальный исследовательский центр «Курчатовский институт»; Московский физико-технический институт (национальный исследовательский университет)
Email: kuznetsova.kate992@gmail.com
Russian Federation, пл. Академика Курчатова, 1, Москва, 123128; Институтский пер., 9, Долгопрудный, 141701
A. A. Atamanova
Институт синтетических полимерных материалов им. Н.С. Ениколопова РАН
Email: kuznetsova.kate992@gmail.com
Russian Federation, ул. Профсоюзная, 70, 117393
K. T. Kalinin
Национальный исследовательский центр «Курчатовский институт»; Институт синтетических полимерных материалов им. Н.С. Ениколопова РАН
Email: kuznetsova.kate992@gmail.com
Russian Federation, пл. Академика Курчатова, 1, Москва, 123128; ул. Профсоюзная, 70, 117393
S. V. Aleshin
Национальный исследовательский центр «Курчатовский институт»
Email: kuznetsova.kate992@gmail.com
Russian Federation, пл. Академика Курчатова, 1, Москва, 123128
V. G. Shuvatova
Национальный исследовательский центр «Курчатовский институт»
Email: kuznetsova.kate992@gmail.com
Russian Federation, пл. Академика Курчатова, 1, Москва, 123128
G. A. Posypanova
Национальный исследовательский центр «Курчатовский институт»
Email: kuznetsova.kate992@gmail.com
Russian Federation, пл. Академика Курчатова, 1, Москва, 123128
S. N. Chvalun
Национальный исследовательский центр «Курчатовский институт»; Институт синтетических полимерных материалов им. Н.С. Ениколопова РАН
Email: kuznetsova.kate992@gmail.com
Russian Federation, пл. Академика Курчатова, 1, Москва, 123128; ул. Профсоюзная, 70, 117393
References
- Li W., Huberman-Shlaesand J., Tian B. Perspectives on multiscale colloid-based materials for biomedical applications // Langmuir. 2023. V. 39. № 39. P. 13759–13769. https://doi.org/10.1021/acs.langmuir.3c01274
- Efimova A.A., Sybachin A.V. Stimuli-responsive drug delivery systems based on bilayer lipid vesicles: new trends // Colloid Journal. 2023. V. 85. P. 687–702. https://doi.org/10.1134/S1061933X23600690
- Mishchenko E.V., Gileva A.M., Markvicheva E.A., Koroleva M.Yu. Nanoemulsions and solid lipid nanoparticles with encapsulated doxorubicin and thymoquinone // Colloid Journal. 2023. V. 85. P. 736–745. https://doi.org/10.1134/S1061933X23600707
- Fomina Yu.S., Semkina A.S., Zagoskin Yu.D. et al. Biocompatible hydrogels based on biodegradable polyesters and their copolymers // Colloid Journal. 2023. V. 85. P. 795–816. https://doi.org/10.1134/S1061933X23600756
- Sedush N.G., Kadina Y.A., Razuvaeva E.V. et al. Nanoformulations of drugs based on biodegradable lactide copolymers with various molecular structures and architectures // Nanotechnol. Russ. 2021. V. 16. P. 421–438.https://doi.org/10.1134/S2635167621040121
- Merkulova M.A., Osipova N.S., Kalistratova A.V. et al. Etoposide-loaded colloidal delivery systems based on biodegradable polymeric carriers // Colloid Journal. 2023. V. 85. P. 712–735. https://doi.org/10.1134/S1061933X23600744
- da Silva Feltrin F., D´Angelo N.A., de Oliveira Guarnieri J.P. et al. Selection and control of process conditions enable the preparation of curcumin-loaded poly(lactic-co-glycolic acid) nanoparticles of superior performance // ACS Appl. Mater. Interfaces. 2023. V. 15. № 22. P. 26496–26509. https://doi.org/10.1021/acsami.3c05560
- Gahtani R.M., Alqahtani A., Alqahtani T. et al. 5-Fluorouracil-loaded PLGA nanoparticles: formulation, physicochemical characterisation, and in vitro anti-cancer activity // Bioinorg. Chem. Appl. 2023. V. 2023. P. 1. https://doi.org/10.1155/2023/2334675
- Razuvaeva E.V., Kalinin K.T., Sedush N.G. et al. Structure and cytotoxicity of biodegradable poly(d,l-lactide-co-glycolide) nanoparticles loaded with oxaliplatin // Mendeleev Commun. 2021. V. 31. № 4. P. 512–514. https://doi.org/10.1016/j.mencom.2021.07.025
- Li M., Tang H., Xiong Y. et al. Pluronic F127 coating performance on PLGA nanoparticles: enhanced flocculation and instability // Colloids Surf. B. 2023. V. 226. P. 113328. https://doi.org/10.1016/j.colsurfb.2023.113328
- Galindo-Camacho R.M., Haro I., Gómara M.J. et al. Cell penetrating peptides-functionalized licochalcone-A-loaded PLGA nanoparticles for ocular inflammatory diseases: evaluation of in vitro anti-proliferative effects, stabilization by freeze-drying and characterization of an in-situ forming gel // Int. J. Pharm. 2023. V. 639. P. 122982. https://doi.org/10.1016/j.ijpharm.2023.122982
- Hernández-Giottonini K.Y., Rodríguez-Córdova R.J., Gutiérrez-Valenzuela C.A. et al. PLGA nanoparticle preparations by emulsification and nanoprecipitation techniques: effects of formulation parameters // RSC Adv. 2020. V. 10. № 8 P. 4218–4231. https://doi.org/10.1039/C9RA10857B
- Azman K.A.K., Seong F.C., Singh G.K.S., Affandi M.M.R.M.M. Physicochemical characterization of astaxanthin-loaded PLGA formulation via nanoprecipitation technique // J. Appl. Pharm. Sci. 2021. V. 11. № 6. P. 056–061. https://doi.org/10.7324/JAPS.2021.110606
- Razuvaeva E.V., Sedush N.G., Shirokova E.M. et al. Effect of preparation conditions on the size of nanoparticles based on poly(D,L-lactide-co-glycolide) synthesized with bismuth subsalicylate // Colloids Surf. A Physicochem. Eng. Asp. 2022. V. 648. P. 129198. https://doi.org/10.1016/j.colsurfa.2022.129198
- Eslayed S.I., Girgis G.N.S., El-Dahan M.S. Formulation and evaluation of Pravastatin sodium-loaded PLGA nanoparticles: in vitro–in vivo studies assessment // Int. J. Nanomedicine. 2023. V. 18. P. 721–742. https://doi.org/10.2147/IJN.S394701
- Fabozzi A., Barretta M., Valente T., Borzacchiello A. Preparation and optimization of hyaluronic acid decorated irinotecan-loaded poly(lactic-co-glycolic acid) nanoparticles by microfluidics for cancer therapy applications // Colloids Surf. A Physicochem. Eng. Asp. 2023. V. 674. P. 131790. https://doi.org/10.1016/j.colsurfa.2023.131790
- Varga N., Bélteki R., Juhász Á., Csapó E. Core-shell structured PLGA particles having highly controllable ketoprofen drug release // Pharmaceutics. 2023. V. 15. № 5. P. 1355. https://doi.org/10.3390/pharmaceutics15051355
- Galindo R., Sánchez-López E., Gómara M.J. et al. Development of peptide targeted PLGA-PEGylated nanoparticles loading licochalcone-A for ocular inflammation // Pharmaceutics. 2022. V. 14. № 2. P. 285. https://doi.org/10.3390/pharmaceutics14020285
- Badri W., Miladi K., Nazari Q.A. et al. Effect of process and formulation parameters on polycaprolactone nanoparticles prepared by solvent displacement // Colloids Surf. A Physicochem. Eng. Asp. 2017. V. 516. P. 238–244. https://doi.org/10.1016/j.colsurfa.2016.12.029
- Sanchez-López E., Egea M.A., Cano A. et al. PEGylated PLGA nanospheres optimized by design of experiments for ocular administration of dexibuprofen – in vitro, ex vivo and in vivo characterization // Colloids Surf. B. 2016. V. 145. P. 241–250. https://doi.org/10.1016/j.colsurfb.2016.04.054
- Shah U., Joshi G., Sawant K. Improvement in antihypertensive and antianginal effects of felodipine by enhanced absorption from PLGA nanoparticles optimized byfactorial design // Mater. Sci. Eng. C. 2014. V. 35. P. 153–163. https://doi.org/10.1016/j.msec.2013.10.038
- Kricheldorf H.R., Behnken G. Copolymerizations of glycolide and L‐lactide initiated with bismuth(III)n‐hexanoate or bismuth subsalicylate // J. Macromol. Sci. A. 2007. V. 44. № 8. P. 795–800. https://doi.org/10.1080/10601320701406997
- Mossman T. Rapid colorimetric assay for cellular growth and cytotoxicity assays // J. Immunol. Methods. 1983. V. 65. P. 55–63. https://doi.org/10.1016/0022-1759(83)90303-4
- Kiss É., Gyulai G., Pénzes Cs.B., Idei M. et al. Tunable surface modification of PLGA nanoparticles carrying new antitubercular drug candidate // Colloids Surf. A Physicochem. Eng. Asp. 2014. V. 458. P. 178–186. https://doi.org/10.1016/j.colsurfa.2014.05.048
- Albert C., Huang N., Tsapis N., Geiger S. et al. Bare and sterically stabilized PLGA nanoparticles for the stabilization of pickering emulsions // Langmuir. 2018. V. 34. № 46. P. 13935–13945. https://doi.org/10.1021/acs.langmuir.8b02558
- Fonseca С., Simões S., Gaspar R. Paclitaxel-loaded PLGA nanoparticles: preparation, physicochemical characterization and in vitro anti-tumoral activity // J. Control. Release. 2002. V. 83. № 2. P. 273–286. https://doi.org/10.1016/S0168-3659(02)00212-2
- Beck-Broichsitter M., Rytting E., Lebhardt T. et al. Preparation of nanoparticles by solvent displacement for drug delivery: A shift in the “ouzo region” upon drug loading // Eur. J. Pharm. Sci. 2010. V. 41. № 2. P. 244–253. https://doi.org/10.1016/j.ejps.2010.06.007
- Sahoo K., Panyam J., Prabha S., Labhasetwar V. Residual polyvinyl alcohol associated with poly(D,L-lactide-co-glycolide) nanoparticles affects their physical properties and cellular uptake // J. Control. Release. 2002. V. 82. P. 105–114. https://doi.org/10.1016/s0168-3659(02)00127-x
- Aubry J., Ganachaud F., Addad J.-P.C., Cabane B. Nanoprecipitation of polymethylmethacrylate by solvent shifting // Langmuir. 2009. V. 25. P. 1970–1979. https://doi.org/10.1021/la803000e
- Lepeltier E., Bourgaux C., Couvreur P. Nanoprecipitation and the “Ouzo effect”: application to drug delivery devices // Adv. Drug Deliv. Rev. 2014. V. 71. P. 86–97.https://doi.org/10.1016/j.addr.2013.12.009
- Cooper D.L., Harirforoosh S. Design and optimization of PLGA-based diclofenac loaded nanoparticles // PLOS One. 2014. V. 9. № 1. P. e87326. https://doi.org/10.1371/journal.pone.0087326
- Menon J.U., Kona S., Wadajkar A.S., Desai F. et al. Effects of surfactants on the properties of PLGA nanoparticles. // J. Biomed. Mater. Res. Part A. 2012. V. 100A. P. 1998–2005. https://doi.org/10.1002/jbm.a.34040
Supplementary files







