Tween 80 aqueous micellar solutions as wetting agents and permeability enhancers of potato leaves
- Authors: Zadymova N.M.1, Skvortsova Z.N.1,2, Aleksandrov Y.D.1,2, Ilina I.Y.2
-
Affiliations:
- Московский государственный университет имени М.В. Ломоносова
- Институт биоорганической химии им. академиков М.М. Шемякина и Ю.А. Овчинникова РАН
- Issue: Vol 86, No 6 (2024)
- Pages: 720-726
- Section: Articles
- Submitted: 20.02.2025
- Accepted: 20.02.2025
- Published: 15.11.2024
- URL: https://ogarev-online.ru/0023-2912/article/view/280788
- DOI: https://doi.org/10.31857/S0023291224060056
- EDN: https://elibrary.ru/VLMPKX
- ID: 280788
Cite item
Full Text
Abstract
In order to develop innovative methods of plant protection, the key properties of Tween 80 aqueous micellar solutions as means of delivery of biologically active substances inhibiting the reproduction of various pathogens have been studied. The absence of negative effects of these solutions upon contact with potato leaves has been shown. The wetting isotherms for Tween 80 aqueous solutions confirmed the hydrophilization of the potato leaf and the hydrophobic polymer film modeling its surface. By combining the methods of tensiometry and wetting, the maximum adsorption of Tween 80 on the surface of the polymer was determined, which made it possible to predict the structure of the adsorption layer of this surfactant on the surface of the potato leaf. For micellar solutions of Tween 80, characterized by maximum wetting ability, a significant increase in the rate of penetration into the leaf was recorded.
Full Text
ВВЕДЕНИЕ
Разработка инновационных методов защиты растений, основанных на применении биологически активных веществ, ингибирующих размножение различных патогенов [1], требует комплексного подхода, учитывающего не только биологические, но и коллоидно-химические аспекты доставки целевых компонентов в объем листа. Актуальность разработки таких методов несомненна для наиболее значимых сельскохозяйственных культур, в частности картофеля, подверженного заражению вирусами, бактериями, оомицетами и грибами [2].
При аэрозольном нанесении на растения агрохимических препаратов степень их удерживания на листе определяется смачиванием его защитного гидрофобного воскового слоя (кутикулы), зависящим от состава и морфологии кутикулы и химического состава жидкости [3–6]. Для широкого набора растений было показано возрастание степени удерживания капель на поверхности листа при уменьшении краевых углов смачивания [7]. В конечном счете степень удерживания препарата на поверхности во многом определяет способность проникновения компонентов жидкости через кутикулярный слой, что регулируется применением поверхностно-активных веществ [8–10].
Известно, что неионогенные немицеллообразующие полиоксиэтилированные силиконизированные ПАВ (Silwets) в виде ультрадисперсий в водной среде применяются как эффективные смачиватели при обработке растений [11]. Для оценки перспективности применения других немицеллообразующих неионогенных полиоксиэтилированных ПАВ в качестве базисных компонентов агрохимических препаратов нами ранее [12] были исследованы целевые свойства водных растворов и дисперсий Tween 85 и Brij L4 в сопоставлении с широко применяемым в агротехнике Silwet L-77. Показано, что возрастание эффективности проницаемости листьев картофеля (Tween 85 < Brij L4 < Silwet L-77) наблюдается исключительно для водных дисперсий ПАВ, но не для их растворов. Предполагается [12], что в случае дисперсий ПАВ (эмульсий) субмикронные капли, оказавшиеся на поверхности листьев картофеля, трансформируются в модифицирующие слои ламеллярного строения [13].
Следует отметить, что исследованные ультрадисперсии неионогенных немицеллообразующих полиоксиэтилированных ПАВ в воде относятся к термодинамически неустойчивым системам, которые сохраняют агрегативную устойчивость лишь в течение определенного времени. Поэтому на практике следует применять свежеприготовленные дисперсии. В этой связи исследование мицеллярных водных растворов ПАВ, являющихся термодинамически устойчивыми самоорганизованными системами, представляется весьма перспективным.
В данной работе исследовались целевые свойства водных мицеллярных растворов ПАВ: отсутствие негативного воздействия при контакте с листом картофеля, формирование адсорбционных слоев, смачивающая способность, скорость впитывания в лист. Сочетание этих свойств является необходимым условием использования мицеллярных растворов ПАВ для доставки биологически активных веществ в объем листа при борьбе с патогенами.
ОБЪЕКТЫ И МЕТОДЫ ИССЛЕДОВАНИЯ
Исследованы мицеллообразующие в водной среде ПАВ: неионогенное – Tween 80 (полиоксиэтилен (20) сорбитан моноолеат), молекулярная масса – 1310 г/моль, плотность – 1082 кг/м3 (25оС), критическая концентрация мицеллообразования (ККМ) – 1.2×10–5 М [14]; катионное – додецилтриметиламмоний хлорид (DTAC), молекулярная масса –263.89 г/моль, ККМ – 2×10–2 М [15]. При оценке воздействия на лист использовали также немицеллообразующее неионогенное ПАВ – Brij L4 (полиоксиэтилен (4) лауриловый эфир), молекулярная масса – 362 г/моль, плотность – 950 кг/м3 (25оС), растворимость в воде – 5.5 × 10–5 М [12]. Все ПАВ были марки «ч». Производитель Tween 80 и Brij L4 – «Sigma-Aldrich» (США), DTAC от «MACKLIN» (Китай). Применяли дистиллированную воду с удельной электропроводностью 1.5 мкСм/см (22оС).
В работе использовали растения картофеля Solanumtuberosum L. сортов Прайм и Индиго. Растения картофеля выращивали на базе ООО «Дока-Генные Технологии» (Рогачево, Россия). Растения получали путем микроклонального размножения in vitro, адаптировали к почвенным условиям, выращивали в климатических камерах при 16-часовом световом дне, температуре 22оC и влажности 40%.
Для экспериментов по оценке токсичности ПАВ использовали двухнедельные растения картофеля. Обработка листьев проводилась в комнатных условиях, после чего растения выдерживали в течение 20 минут до высыхания капель, затем переносили обратно в климокамеру до окончания эксперимента. Раствор ПАВ наносили с помощью атомайзера на листья растения верхнего и среднего ярусов.
Полиэтилентерефталат (ПЭТ, марки Loparex 7300A), который в трансдермальных пластырях служит удаляемой перед применением защитной пленкой, был выбран нами в качестве модельной полимерной гидрофобной подложки [16]. Выбор Loparex обусловлен его негигроскопичностью, непроницаемостью для компонентов исследованных систем, совпадением краевого угла воды на силиконизированной стороне Loparex c углом на листьях картофеля.
При тестировании на токсичность по отношению к листьям картофеля растворы ПАВ наносили с помощью дозатора по 90 мкл на лист. Для каждого раствора использовали по 3 листа верхнего яруса растения. Через 2 и 24 часа после нанесения раствора листья фотографировали. Проводили визуальные наблюдения на наличие некрозов или иных проявлений токсичности.
Метод динамического светорассеяния использовали для определения среднего гидродинамического диаметра (Dh) и дзета-потенциала (ζ) мицелл ПАВ на высокоскоростном анализаторе NanoBrook Omni (Brookhaven Instruments, США). Источником излучения служил лазер с длиной волны 640 нм, измерения проводили при угле рассеяния 90о в термостатируемой ячейке при 22оC. Для расчета значений Dh и ζ использовалось программное обеспечение производителя. Перед измерениями образцы фильтровали (фильтры «Millipore» с диаметром пор 0.22 мкм) с использованием одноразовых игл и шприцов непосредственно в измерительную кювету.
Смачивание, поверхностное натяжение и скорость впитывания в листья исследовали с помощью оптической системы контурного анализа OCA 15EC (Data Physics Instruments GmbH) с программным обеспечением SCA20.
При измерении контактных углов смачивания применяли режим «сидящая капля». Точность измерения θ составляет ±1о. При подготовке образцов полоску листа картофеля размером 50×15 мм вырезали на расстоянии 3–4 мм от центральной жилки и приклеивали ее с помощью двухстороннего скотча к предметному стеклу. Исследовалась всегда только верхняя поверхность листа (adaxial). Плоскую полоску Loparex помещали непосредственно на предметный столик. Каплю объемом 6±1 мкл наносили на исследуемый образец с помощью дозирующего шприца. Измерения выполняли в течение 5–10 мин после нанесения капли на поверхность. Для каждой исследуемой жидкости контактный угол измеряли 5 раз и вычисляли среднее значение θ.
Поверхностное натяжение (σ) водных растворов ПАВ измеряли в режиме «висящая капля». В кварцевую кювету толщиной 1 см и объемом 3 мл заранее помещали 0.8 мл испытуемой жидкости и закрывали сверху пленкой парафильма. После установления влажности, соответствующей насыщенному пару, начинали измерения. Каплю объемом 4–5 мкл формировали на плоском торцевом кончике дозировочной металлической иглы (SNS-D, внешний диаметр – 0.51 мм, внутренний диаметр – 0.25 мм). Значения поверхностного натяжения автоматически фиксировали каждые 20 секунд в течение двух часов. Среднеквадратичная ошибка измерений составляла ± 0.15 мН/м. На основе кинетических зависимостей σ(t) получали равновесные значения поверхностного натяжения. Измерения проводили для 3–5 капель каждой концентрации раствора.
Определение скорости впитывания растворов в лист проводили по методике, разработанной нами ранее [12]. Методика использует возможности прибора OCA 15EC, способного во времени регистрировать объем капли, площадь поверхности капли на границе жидкость/газ (SЖГ) и диаметр основания капли (dТЖ), что позволяет вычислить площадь контакта капли с поверхностью подложки (SТЖ). Экспериментально установлено, что во всех случаях значения SЖГ и SТЖ соответственно с точностью ± 4÷8% и ±1% оставались неизменными в течение измерений. Вклад испарения в скорость уменьшения объема капли на листе картофеля (–dVЛ/dt) оценивали по данным для непроницаемой модельной плёнки Loparex. Скорость проникновения (впитывания) жидкости в лист (υpen в мм/с, в расчете на 1 мм2 площади контакта капли с листом, SЛТЖ) вычисляли из уравнения:
(1)
где (–dVПЭТ/dt) – скорость уменьшения объема капли на ПЭТ; SЛЖГ и SПЭТЖГ – соответственно площади поверхности капель на границе жидкость/газ для капель на листе и на ПЭТ.
Все данные получены при температуре 22 ± 1оС.
РЕЗУЛЬТАТЫ И ИХ ОБСУЖДЕНИЕ
Параметры мицелл, исследованных ПАВ и их смеси, полученные методом динамического рассеяния света, приведены в табл. 1.
Таблица 1. Значения гидродинамического диаметра (Dh) и электрокинетического потенциала (ζ) мицелл ПАВ в водной среде
ПАВ | CПАВ, мМ | Dh, нм | ζ, мВ |
Tween 80 | 10 | 7.2 ± 0.5 | ± 3 |
DTAC | 60 | 3.1 ± 0.5 | 31 ± 3 |
Tween 80 + DTAC | 5 + 30 | 5.0 ± 0.5 | 24 ± 3 |
Из табл. 1 следует, что наибольшие размеры имеют мицеллы Tween 80, что является следствием гидратации полиоксиэтилированных звеньев данного ПАВ.
Опыты по проверке токсичности по отношению к листьям картофеля были проведены для мицеллярных растворов ПАВ, представленных в табл. 1, а также для водной дисперсии Brij L4 (СПАВ = 0.12 мМ, Dh = 430 нм). Все исследованные жидкости смачивали листья и хорошо на них удерживались (рис. 1а). Уже через 2 часа, и особенно через 24 часа после нанесения, во всех случаях, кроме мицеллярного раствора Tween 80, наблюдались некротические изменения поверхности листьев (рис. 1б, в). Разбавление водой в 10 и 20 раз композиций с негативным воздействием на листья не привело к улучшению. Поэтому для дальнейших исследований были выбраны мицеллярные растворы Tween 80.
Рис. 1. Вид листьев картофеля сорта Индиго сразу после нанесения (а), через 2 часа (б) и 24 часа (в) для 10 мМ раствора Tween 80 (1), 60 мМ раствора DTAC (2), бинарного раствора 5 мМ Tween 80 + 30 мМ DTAC (3) и 0.12 мМ водной дисперсии Brij L4 (4).
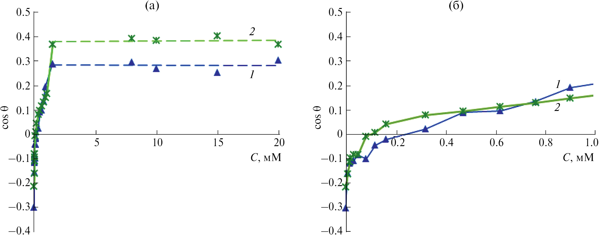
Изотермы смачивания поверхностей листа картофеля и пленки Loparex водными растворами Tween 80 в интервале концентраций от 0.008 до 20 мМ приведены на рис. 2 (а, б). Концентрации растворов, кроме самого разбавленного, превышали ККМ. Полученные изотермы смачивания однотипны и свидетельствуют о гидрофилизации (θmin = 67 ± 2оС) изначально гидрофобных исследованных поверхностей (θmax = 105 ± 2о). При этом точка инверсии смачивания листа и пленки растворами Tween 80 составляет 0.08 и 0.21 мМ соответственно. Как известно, гидрофилизация гидрофобных поверхностей обусловлена физической адсорбцией ПАВ из водных растворов и структурой модифицирующего адсорбционного слоя на границе ТЖ. В случае мицелло-образующих ПАВ возможно заполнение гидрофобной поверхности как индивидуальными молекулами, так и полусферическими мицеллами [17].
Рис. 2. Изотермы смачивания поверхностей Loparex (1) и листа картофеля (2) водными растворами Tween 80: а – широкая область концентраций; б – область низких концентраций.
Следует отметить, что вследствие сложной морфологии поверхности количественная оценка адсорбции ПАВ на листе невозможна. Поэтому все расчеты были выполнены для модельной абиотической гладкой поверхности Loparex. Для оценки строения адсорбционных слоев Tween 80 нами был проведен расчет величины адсорбции в предположении, что поверхность Loparex заполнена полусферическими мицеллами при максимально плотной гексагональной упаковке, что соответствует степени заполнения плоской поверхности, примерно равной 0.9. При этом количество полумицелл данного ПАВ на 1 м2 поверхности зависит от их гидродинамического диаметра (см. Табл. 1) и составляет nmic = 0.9/(πDh2/4)= 2.2×1016. Зная число агрегации мицелл Tween 80 (Nm = 34 молекулы [18]), можно рассчитать величину предельной адсорбции:
(2)
где NA – число Авогадро. Значение Гmax составило 6.2×10–7 моль/м2. Данная оценка приводит к весьма завышенному результату, поскольку вероятность такой плотной упаковки мицелл ПАВ крайне мала.
Значение Гmax Tween 80 на поверхности Loparex может быть получено на основе экспериментальных данных по смачиванию и тензиометрии. Совместное решение уравнений Юнга и Гиббса для границы ТЖ при условии постоянства σТГ приводит к уравнению:
(3)
где ГТЖ – адсорбция ПАВ на границе Loparex/раствор Tween 80, σЖГ – поверхностное натяжение раствора, θ – краевой угол, С – молярная концентрация ПАВ, R – универсальная газовая постоянная, Т – абсолютная температура.
С целью определения равновесных значений σЖГ для всех исследованных мицеллярных растворов Tween 80 были получены зависимости поверхностного натяжения от времени. На рис. 3 в качестве примера приведены кинетические зависимости σЖГ для 0.12 и 1.18 мМ растворов Tween 80. Видно, что с ростом концентрации раствора время, необходимое для достижения равновесных значений поверхностного натяжения, уменьшается с 33 до 3 минут. При этом равновесное значение σЖГ для мицеллярных растворов в среднем составляет 34.0 ± 0.5 мДж/м2.
Рис. 3. Зависимости поверхностного натяжения от времени для водных мицеллярных растворов Tween 80 (1 – 0.12 и 2 – 1.2 мМ).
На основе изотермы смачивания (рис. 2) и тензиометрических данных для пленки Loparex получена зависимость σЖГcosθ от lnC (рис. 4). Как следует из рис. 4, в области концентраций растворов Tween 80 от 1.5 до 20 мМ функция σЖГcosθ сохраняет постоянство с точностью ±5.8%. Данному плато предшествует участок, определяющий предельную адсорбцию и хорошо описывающийся (R2 = 0.9885) линейным уравнением:
(4)
где σЖГ выражено в Дж/м2, а концентрация – в моль/л.
Рис. 4. Зависимость σЖГ ×cosθ от lnC для водных мицеллярных растворов Tween 80 на поверхности Loparex.
Для концентраций, соответствующих выбранному линейному участку, время установления равновесных значений σ соизмеримо со временем измерения краевых углов. Из уравнения (4) следует, что значение производной (σЖГcosθ)/dlnC равно 0.0075 Дж/ м2, что согласно уравнению (3) позволяет рассчитать предельную адсорбцию Tween 80 на поверхности Loparex (Гmax = 3,06× 10–6 моль/м2) и площадь на молекулу ПАВ (So = 0.54 нм2).
Экспериментально полученное значение Гmax в 4.9 раза превышает рассчитанное в предположении адсорбции полумицелл. При этом экспериментально полученное значение So для границы раздела ТЖ хорошо согласуется с величиной площади, приходящейся на молекулу Tween 80 в предельно заполненном монослое на границе раздела водный раствор/воздух [19]. Таким образом, гидрофилизующий слой на поверхности Loparex формируется из индивидуальных молекул Tween 80. Поскольку изотермы смачивания Loparex и листьев картофеля растворами Tween 80 практически идентичны (рис. 2), с большой долей вероятности можно предположить, что гидрофилизация листьев картофеля также обеспечивается за счет формирования предельно заполненного монослоя индивидуальных молекул.
Для воды, а также для мицеллярных растворов Tween 80 с максимальной смачивающей способностью (рис. 2а) оценивали изменение во времени объемов капель (V(t)), нанесенных на поверхности Loparex и листа. Во всех случаях зависимости V(t) были линейными (см., например, рис. 5). На основе этих данных, в соответствии с предложенной нами ранее методикой [12], по уравнению (1) рассчитывались скорости проникновения исследуемых жидкостей в лист. Оказалось, что вода практически не впитывается в лист, что обусловлено непроницаемостью воскового слоя, защищающего поверхность листа. Результаты для воды и мицеллярных растворов представлены в табл. 2.
Рис. 5. Изменение объема капли 15 мМ водного раствора Tween 80 во времени на поверхностях Loparex (1) и листа картофеля (2)
Таблица 2. Скорость проникновения в листья картофеля (υpen) воды и водных растворов Tween 80
Концентрация Tween 80, мМ | υpen × 104, мм/с |
0 | 0.05 ± 0.01 |
1.5 | 0.8 ± 0.1 |
8.0 | 1.1 ± 0.15 |
10.0 | 0.9 ± 0.1 |
15.0 | 1.1 ± 0.15 |
20.0 | 0.7 ± 0.1 |
Из табл. 2 видно, что значения υpen в пределах экспериментальной погрешности не зависят от концентрации. Это, по-видимому, обусловлено тем, что для исследованных мицеллярных растворов на поверхности листа сформирован предельно заполненный монослой Tween 80, деструктирующий защитный кутикулярный слой. Кроме того, в работах [9, 20] выдвинута гипотеза, что проникновение жидкости в лист происходит через стоматы – микроскопические отверстия, или поры, расположенные вдоль листовых прожилок, и усиливается в присутствии ПАВ. Поэтому можно предположить, что молекулы Tween 80 могут создавать гидрофилизующий монослой на внутренней гидрофобной поверхности этих пор.
ЗАКЛЮЧЕНИЕ
Показано, что мицеллярные растворы Tween 80 (С от 1.5 до 20 мМ) не повреждают листья картофеля, гидрофилизуют их поверхность, то есть являются эффективными смачивателями, что обеспечивает удерживание капель при аэрозольном нанесении препаратов. За счет формирования предельно заполненного монослоя Tween 80 наблюдается заметная скорость впитывания в лист. Комплекс этих свойств позволяет рассматривать исследованные мицеллярные растворы данного ПАВ в качестве перспективной безопасной платформы для доставки биологически активных веществ в объем листа.
ФИНАНСИРОВАНИЕ РАБОТЫ
Работа выполнена при финансовой поддержке гранта РНФ № 23-74-30003.
Эксперименты проведены на оборудовании кафедры коллоидной химии химического факультета МГУ, приобретенном МГУ в рамках Программы обновления оборудования (Национальный проект «Наука») и Программы развития МГУ.
СОБЛЮДЕНИЕ ЭТИЧЕСКИХ СТАНДАРТОВ
В данной работе отсутствуют исследования человека или животных.
КОНФЛИКТ ИНТЕРЕСОВ
Авторы данной работы заявляют, что у них нет конфликта интересов.
About the authors
N. M. Zadymova
Московский государственный университет имени М.В. Ломоносова
Author for correspondence.
Email: nzadymova@gmail.com
Химический факультет
Russian Federation, Москва, 119991Z. N. Skvortsova
Московский государственный университет имени М.В. Ломоносова; Институт биоорганической химии им. академиков М.М. Шемякина и Ю.А. Овчинникова РАН
Email: nzadymova@gmail.com
Химический факультет Московского государственного университета имени М.В. Ломоносова
Russian Federation, Москва, 119991; Москва, 117997Yu. D. Aleksandrov
Московский государственный университет имени М.В. Ломоносова; Институт биоорганической химии им. академиков М.М. Шемякина и Ю.А. Овчинникова РАН
Email: nzadymova@gmail.com
Химический факультет Московского государственного университета имени М.В. Ломоносова
Russian Federation, Москва, 119991; Москва, 117997I. Yu. Ilina
Институт биоорганической химии им. академиков М.М. Шемякина и Ю.А. Овчинникова РАН
Email: nzadymova@gmail.com
Russian Federation, Москва, 117997
References
- Морозов С.Ю., Соловьев А.Г., Калинина Н.О., Тальянский М.Э. Двуспиральные РНК как средство защиты растений от патогенных организмов и вирусов культивируемых растений // Acta Nat. (русскоязычная версия). 2019. Т. 11. № 4. С. 13–21. 10.32607/20758251-2019-11-4-13-21' target='_blank'>https://doi: 10.32607/20758251-2019-11-4-13-21
- Соколов М.С., Санин С.С., Долженко В.И., и др. Концепция фундаментально-прикладных исследований защиты растений и урожая // Агрохимия. 2017. № 4. С. 3–9.
- Holloway P.J. Surface factors affecting the wetting of leaves // Pestic. Sci. 1970. V. 1. № 4. P. 156–163.https://doi.org/10.1002/ps.2780010411
- Taylor P. The wetting of leaf surfaces // Curr. Opin. Colloid Interface Sci. 2011. V. 16. P. 326–334. https://doi.org/10.1016/j.cocis.2010.12.003
- Massinon M., Lebeau F. Review of physicochemical processes involved in agrochemical spray retention // Biotechnol. Agron. Soc. Environ. 2013. V. 17. № 3. P. 494–504.
- Puente D.W., Baur P. Wettability of soybean (Glycine max L.) leaves by foliar sprays with respect to developmental changes // Pest Manag. Sci. 2011. V. 67. № 7. P. 798–806. https://doi.org/10.1002/ps.2116
- Forster W.A., Zabkiewicz J.A. Improved method for leaf surface roughness characterization // Proceedings of the 6th International Symposium on Adjuvants for Agrochemicals. ISAA. Amsterdam, Netherlands. 2001. P. 113–118. https://doi.org/10.1515/ci.2001.23.1.27a
- Gaskin R.E., Steele K.D., Forster W.A. Characterising plant surfaces for spray adhesion and retention // N. Z. Plant Prot. 2005. V. 58. P. 179–183. https://doi.org/10.30843/nzpp.2005.58.4244
- van Overbeek J. Absorption and translocation of plant regulators // Annu. Rev. Plant. Physiol. 1956. V. 7. P. 355–372. https://doi.org/10.1146/annurev.pp.07.060156.002035
- Zhu F., Cao C., Lidong Cao L. et al. Wetting behavior and maximum retention of aqueous surfactant solutions on tea leaves // Molecules. 2019. V. 24. P. 2094–3010. https://doi.org/10.3390/molecules24112094
- L-77 Silicone Surfactant/Technical Data Sheet. Производитель Momentive. https://www.momentive.com/docs/default-source/tds/silwet/silwet-l-77-tds.pdf
- Задымова Н.М., Александров Ю.Д., Калинина Н.О., Тальянский М.Э., Скворцова З.Н. Водные субмикронные дисперсии поверхностно-активных веществ как смачиватели и усилители проницаемости листьев картофеля // Журн. Общ. Хим. 2023. Т. 93. № 11. C. 1785–1795. https://doi.org/10.31857/S0044460X2311015X
- Sankaran A., Karakashev S.I., Sett S. et al. On the nature of the superspreaders // Adv. Colloid Interface Sci. 2019. V. 263. P. 1–18. https://doi.org/10.1016/j.cis.2018.10.006
- Критическая концентрация мицеллообразования Tween 80. https://www.sigmaaldrich.com/RU/en/product/sial/p1754?icid=sharepdp-clipboard-copy-productdetailpage
- Критическая концентрация мицеллообразования додецилтриметил аммоний хлорида. https://www.muctr.ru/upload/iblock/46f/46fc7278c7280f6d0778207dc9a1213f.pdf
- Zadymova N.M., Poteshnova M.V. Microemulsions and microheterogeneous microemulsion-based polymeric matrices for transdermal delivery of lipophilic drug (Felodipine) // Colloid Polym. Sci. 2019. V. 297. P. 453–468. https://doi.org/10.1007/s00396-018-4447-z
- Холмберг К., Йёнссон Б., Кронберг Б., Линдман Б. Поверхностно-активные вещества и полимеры в водных растворах. М.: БИНОМ. Лаборатория знаний. 2007.
- Задымова Н.М., Иванова Н.И. Смешанные мицеллы на основе Твин 80 как носители фелодипина в водной среде // Коллоид. журн. 2013. Т. 75. № 2. С. 179–190. https://doi.org/10.7868/s0023291213020201
- Потешнова М.В., Задымова Н.М. Водные растворы гидроксипропилцеллюлозы, Твин 80 и их бинарных смесей: коллоидно-химические аспекты // Коллоидн. журн. 2017. Т. 79. № 6. С. 766–777. https://doi.org/10.7868/S002329121706009X
- Dybing C. D., Currier H. B. Foliar penetration by chemicals // Plant Physiology. 1961. V. 36. № 2. P. 169–174. https://www.jstor.org/stable/4259738
Supplementary files







