Electrostatic Interaction of Dielectric Particles in an Electrolytic Solution
- Authors: Grashchenkov S.I.1
-
Affiliations:
- Псковский государственный университет
- Issue: Vol 86, No 5 (2024)
- Pages: 561-570
- Section: Articles
- Submitted: 29.11.2024
- Accepted: 29.11.2024
- Published: 15.09.2024
- URL: https://ogarev-online.ru/0023-2912/article/view/271747
- DOI: https://doi.org/10.31857/S0023291224050045
- EDN: https://elibrary.ru/AAWFWX
- ID: 271747
Cite item
Full Text
Abstract
On the basis of the Poisson-Boltzmann equation the electrostatic interaction between two charged dielectric spherical particles in a symmetric electrolyte solution is considered. The interaction forces between particles of the same radius under the condition of uniform charge distribution on their surfaces in the absence of an external field have been calculated by the finite element method. The dependence of the electrostatic repulsion forces between the particles on the magnitude of the particle charges and the dielectric permittivities of the particle materials and the surrounding medium has been analyzed.
Full Text
ВВЕДЕНИЕ
При взаимодействии коллоидной частицы с раствором электролита происходит ряд процессов, приводящих к появлению заряда на ее поверхности [1]. В случае симметричных электролитов распределение потенциала в окрестности частиц часто ищут исходя из уравнения Пуассона-Больцмана [2]:
, (1)
где , ψ – распределение потенциала в рассматриваемой области, , kB – постоянная Больцмана, T – температура раствора, e0 – элементарный заряд, i – валентность ионов электролита, – постоянная экранирования, λD – дебаевский радиус экранирования. В случае одновалентных ионов при 25 градусах Цельсия ψ0 ≈ 26 мВ. Наличие заряда на поверхностях частиц приводит к возникновению электростатических сил взаимодействия между ними. Подробное обсуждение теоретических основ уравнения (1) и соответствующий исторический обзор, начиная с классических работ Гуи [3] и Дебая и Хюккеля [4], дан в работе [5]. Наличие заряда на поверхностях частиц приводит к возникновению электростатических сил взаимодействия между ними. Расчетам сил электростатического взаимодействия двух сферических макрочастиц на основе уравнения (1) посвящено большое количество работ. В частности, учет сил электростатического взаимодействия совместно с силами Ван-дер-Ваальса лежит в основе известной теории Дерягина-Ландау-Вервея-Овербека [6]. Отметим, что величина сил отталкивания частиц зависит от распределения заряда на поверхности частиц, которое, в свою очередь, зависит от расстояния между ними, их размеров, скоростей и характерного времени релаксации поверхностного заряда. Поэтому при расчете сил взаимодействия достаточно часто ограничиваются двумя случаями: постоянного потенциала на поверхностях частиц и постоянного однородного поверхностного распределения заряда частиц. В первом случае на поверхностях частиц заданы однородные распределения потенциала, а на большом расстоянии от поверхности частиц он полагается равным нулю. Во втором случае для каждой из частиц полагается, что их сближение не приводит к изменению поверхностного распределения заряда частицы и граничные условия на поверхности каждой из них имеют вид [7]:
, (2)
где индекс “e” указывает, что выражение вычисляется по значениям величин вне частиц, “i” – внутри частиц, εi – диэлектрическая проницаемость вещества частиц, εe – диэлектрическая проницаемость окружающей их среды, εo – электрическая постоянная, ne – единичный вектор нормали к элементу поверхности, направленный от частицы, ni – единичный вектор нормали к элементу поверхности, направленный внутрь частицы, σ – поверхностная плотность зарядов. Это условие позволяет совместно с условием постоянства потенциала на поверхностях частиц определить интервал значений, в котором могут лежать значения силы электростатического отталкивания частиц. В связи со сложностью нахождения распределения потенциала в окрестности частиц на основе уравнения (1) основная масса работ, связанных с нахождением сил их взаимодействия, посвящена нахождению тех или иных асимптотических решений, или решений, использующих упрощение уравнений (1), (2), или общего выражения для силы электростатического взаимодействия частиц, которое имеет вид [8]:
, (3)
где интегрирование ведется по любой замкнутой поверхности, охватывающей частицу, n – вектор нормали к этой поверхности, направленный внутрь области, охватываемой этой поверхностью. Здесь Т – тензор напряжений,
, (4)
где S – площадь поверхности тела, E – напряженность электрического поля в данной точке среды, I – единичный тензор, П – гидростатическое давление, обусловленное разностью между локальным и объемным осмотическими давлениями
.
В частности, при kDa >> 1 и а >> h и взаимодействие частиц может быть описано на основе часто используемого приближения Дерягина. Здесь a – радиус частиц, а h – расстояние между их поверхностями. При u < 1 расчеты можно проводить на основе линеаризованного уравнения Пуассона-Больцмана или уравнения Дебая-Хюккеля [9]
, (5)
где k = kDa. Для случая, когда диэлектрическая проницаемость электролита много больше диэлектрической проницаемости вещества частицы, вместо граничного условия (2) используется уравнение [8]
. (6)
При k << 1 и u < 1 расчет силы на основе (2), (5) с интегрированием в (3) по поверхности частицы иногда проводят без учета П в (3) [10]. Отметим, что здесь речь не идет о ситуации, когда используется условие постоянства потенциала и сила рассчитывается по поверхности, совпадающей с поверхностью частицы [11, 12]. В этом случае вклад, обусловленной учетом П, становится нулевым вследствие эквипотенциальности указанной поверхности.
Несмотря на большое количество работ, посвященных расчету электростатического взаимодействия двух частиц в неограниченной среде на основе уравнения Пуассона-Больцмана, число работ, в которых используется именно это уравнение (1), а не уравнение (5), или не рассматриваются асимптотические решения, невелико. Рассмотрим их подробнее. В работах [13, 14, 15] рассматривалось взаимодействие двух одинаковых заряженных сферических частиц как при условии постоянства потенциала на их границах, так и при использовании граничного условия (6). При этом в [13] уравнение (1) не решалось непосредственно, а использовалось его приближенное решение, полученное в работе [16]. В работе [14] решения проводились на основе сеточного метода коллокаций. В работе [15] использовался метод конечных объемов для частиц с различающимися потенциалами и зарядами. В работе [17, 18] для случая постоянных потенциалов на поверхности частиц расчет сил проводился методом конечных элементов, а в статье [19] для этих целей используется конечно-разностная схема. В работе [20] изложенный в [21] метод конечных элементов с использованием граничного условия (6) применялся для сравнения экспериментальных данных с результатами теоретических расчетов. В работе [22] с использованием конечно-разностной схемы изучалось взаимодействие двух одинаковых частиц или частицы с плоской поверхностью. В ней рассматривались как частицы с постоянным потенциалом на их поверхностях, так и частицы с однородным распределением заряда на их поверхностях на основе граничного условия (2). Однако проводился расчет только энергии взаимодействия при одном единственном заданном значении потенциала на поверхности частиц, соответствующего бесконечно большому расстоянию между ними, одном единственном значении εe и единственном значении εi. Таким образом, анализ на основе уравнения Пуассона-Больцмана того, каким образом сила электростатического отталкивания сферических частиц в симметричном электролите с заданным распределением заряда на их поверхностях зависит от величины этого заряда и диэлектрических проницаемостей веществ частиц и окружающей их среды до настоящего времени не проводился. Целью данной статьи является проведение такого анализа для частиц одинакового радиуса a с одинаковым однородным распределением поверхностного заряда.
МЕТОДИКА РАСЧЕТА
В данной работе для исследования электростатического взаимодействия макрочастиц применяется метод конечных элементов. В этом методе область, в которой ищется распределение той или иной величины, разбивается на множество подобластей. В результате получается расчетная сетка, на основе которой генерируется набор базисных функций, используемых для аппроксимации искомого распределения. Таким образом, распределение ищется в виде разложений в ряд по этим функциям с неизвестными коэффициентами. В настоящее время имеется ряд компьютерных программ, позволяющих методом конечных элементов находить численное решение дифференциального уравнения по его слабой форме. Слабая форма уравнения (1), позволяющая учесть разрыв градиента потенциала на границе двух сред при условии неразрывности потенциала на этой границе, приведена в работе [23]. С учетом (2) эту форму можно представить в виде.
, (7)
где k = kDa,
Здесь и далее использование тильды над операторами и выражаемыми через координаты величинами указывают, что координаты нормированы на радиус a частиц, Ωi – конечная область, содержащая вещество частиц, Ωe – конечная область, содержащая вещество, окружающее частицы, – нормированный объем, ГN – граница, соответствующая поверхностям частиц, S – площадь этих поверхностей, ɸ – тестовая функция. Последовательная подстановка тестовых функций в уравнение (7) позволяет получить систему уравнений для расчета указанных выше неизвестных коэффициентов. Отметим, что вследствие симметрии задачи расчет распределения потенциала достаточно провести в полупространстве, содержащем лишь одну из частиц. Кроме того, если искомые распределения осесимметричны, как это имеет место в данном случае, трехмерную задачу можно свести к двухмерной, перейдя к цилиндрическим координатам, в которой все распределения зависят только от полярного радиуса ρ и аппликаты z цилиндрической системы координат. Именно этот подход используется в данной работе. Структура исходной расчетной области отображена на рис. 1.
Рис. 1. Структура исходной расчетной области
Толстой линией показана граница, соответствующая поверхности частицы. Пунктирной – вспомогательная граница (см. ниже). Линия AC соответствует оси симметрии задачи, проходящей через центры частиц. Линия AB соответствует плоскости симметрии задачи, находящейся на одинаковом расстоянии от центров частиц. Линия ВС соответствует внешней границе системы. Потенциал на этой границе полагается равным нулю. Ее радиус выбирается таким, чтобы потенциал на ней при решении уравнения (1) в неограниченной области был бы как минимум в 5 · 103 раз меньше, чем потенциал на поверхности частиц. Этот радиус находится численным решением уравнения
, (8)
где hmc – минимальное расстояние от центра частицы до указанной границы. Данное уравнение получено на основе приближения Дебая-Хюккеля для одиночной частицы [24]. Как показали расчеты на основе уравнения (1), с ростом u на поверхности частиц увеличивается быстрота убывания u при удалении от частицы. Поэтому hmc, найденное на основе решения (2), тем более удовлетворяет требуемому условию при нахождении распределения потенциала на основе уравнения (1). Если в процессе решения уравнения (8) hmc получалось меньше 3a (при k >> 1), то hmc полагалось равным 3a. На линиях AB и AC никаких условий явным образом не задается, что при использовании слабой формы соответствует неявному заданию условия равенства нулю нормальных составляющих градиента потенциала на этих границах [23]. Для расчетов использовался свободно распространяемый пакет NGSolve [25]. Этот пакет представляет набор библиотек, предназначенных для построения соответствующих базисных функций, к которым можно обращаться из скриптов, написанных на языке Python. Для этого используется модуль с названием ngsolve. Для построения сеток используется модуль netgen. В результате на языке Python можно полностью описать требуемую расчетную процедуру. Соответствующая документация, включая способы установки указанных модулей в различных операционных системах, имеется на сайте ngsolve.org, а исходные коды содержатся в репозитории https://github.com/NGSolve/ngsolve. Пакет NGSolve позволяет использовать иерархические базисные функции, которые делятся на функции, связанные с ячейками сетки и с ребрами этих ячеек. Более подробные пояснения можно найти в документации пакета или в работе [12]. В данной работе расчет производился с использованием связанных с ячейками расчетной сетки полиномов четвертой степени и полиномов, ассоциированных с ребрами, десятой степени. Кроме того, для увеличения точности расчетов использовалась процедура h-адаптации расчетной сетки. Под h-адаптацией понимают итерационный процесс изменения расчетной сетки, ведущий к уточнению искомого результата. Процедура h-адаптации, используемая в данной работе, полностью совпадает с процедурой, описанной в [12], и здесь не приводится. Метод конечных элементов позволяет численно решать линейные дифференциальные уравнения, а уравнение (1) является нелинейным. Для численного решения таких уравнений используются различные итерационные методы, которые позволяют сводить решение нелинейных уравнений к последовательному решению линейных уравнений. При использовании метода конечных элементов стандартным итерационным методом является метод Ньютона. Именно он и используется в данной работе. В пакете NGSolve для этого имеется соответствующая библиотечная процедура, а в документации к пакету приведено соответствующее описание метода. Отметим, что процедура h-адаптации также является итерационной, и на каждом шаге этой итерации в данной работе проводится нахождение распределения u, исходя из уравнения (7) с использованием метода Ньютона. Очевидно, что при таком подходе необходим критерий, позволяющий оценить достигнутую точность вычисления сил. Подчеркнем, что критериев, позволяющих оценить погрешность вычисления u, для этого недостаточно. Поясним сказанное. Метод конечных элементов по своей сути является приближенным. Поэтому вследствие ошибок вычисления получаемое распределение потенциала флуктуирует около некоторого истинного распределения. А так как градиенты потенциала вычисляются численно, то при малых размерах ячеек расчетной сетки флуктуации градиентов потенциала могут быть достаточно большими для того, чтобы при вычислении поверхностных интегралов, содержащих эти градиенты, в результате накопления этих флуктуаций значения таких интегралов вычислялись со значительной погрешностью. Из сказанного видно, что утверждать о достаточной точности расчета сил на основе какого-либо сеточного метода, особенно при использовании грубой сетки, только на основании сходимости итерационной процедуры на основе метода Ньютона, как это, например, делается в работе [14], нельзя. В данной работе для оценки точности расчета сил используют тот факт, что при отсутствии погрешностей значение силы не должно зависеть от выбора поверхности, охватывающей частицу, по которой ведется интегрирование выражения (2), и поэтому оценить погрешность можно произведя расчет силы по двум разным поверхностям [18]. В данной работе в качестве таких поверхностей использовалась поверхность, обозначенная на рис. 1 пунктирной линией, и поверхность, соответствующая линиям AB и BC. Поверхность, соответствующая пунктирной линии, представляет собой сферу, минимальное расстояние до которой от поверхности частицы равно 0.1а. Обратим внимание на то, что любой критерий выхода из итерационного процесса в методе Ньютона основан на сравнении искомых распределений на текущем и предыдущем шаге итераций, и процесс завершается, когда отличие между этими распределениями мало. И хотя при любом числе ячеек расчетной сетки мы можем достичь требуемой малости отличий распределений, точность расчета, определяемая по отличию сил, рассчитанным по разным поверхностям, уменьшается лишь при параллельном увеличении числа ячеек в результате h-адаптации. Отметим, что хотя точность аппроксимации u с увеличением числа ячеек растет, точность расчета градиентов u, начиная с некоторого размера ячеек при их дальнейшем уменьшении, может начать уменьшаться. Поэтому в общем случае при h-адаптации сетки погрешность расчета сил в начале уменьшается, а начиная с некоторого шага, увеличивается. В итерационном же процессе на основе метода Ньютона погрешность монотонно уменьшается, достигая минимального значения, зависящего от структуры решетки на данном шаге h-адаптации. Отметим, что точность расчетов падает с увеличением расстояния между частицами. Это обстоятельство накладывает ограничение на максимальные значения этой величины. Максимальное число шагов h-адаптации ограничивалось заданием максимального числа степеней свободы, понимаемого в данном случае как общее количество неизвестных в разложении искомого решения по базисным функциям. Максимальное значение числа степеней свободы полагалось равным 106. Время расчета силы взаимодействия между макрочастицами с использованием процессора Intel(R) Core(TM) i9-10980XE могло достигать 25 минут. Для всех представленных в данной работе результатов погрешность расчета сил не превышала 10–3%.
Приведем теперь результаты некоторых расчетов, проведенных для тестирования описанного алгоритма. Для оценки корректности выбора размера расчетной области проводились вычисления для различных ситуаций при hmc, найденного по уравнению (8), и при увеличении указанного размера вдвое. При увеличении указанного размера погрешность расчета сил изменялась максимум на 10–4%. Таким образом, использование уравнения (8) для расчета размера расчетной области является корректным. В работе [14] на основе выражений для распределения потенциала, полученных в работе [26], исследовалось взаимодействие одинаковых частиц с однородным распределением поверхностного заряда на их поверхностях при условии применимости уравнения Дебая-Хюккеля (5). В указанной статье при k = 0.5 и h ≥ 0.4a вычислялись силы взаимодействия частиц при ε от 0 до 1. Расчеты, проведенные при f = 0.01, показали полное совпадение нормированных значений сил, полученных в работе [14], со значениями этих сил, рассчитанных на основе слабой формы (7), что указывает на корректность учета этой формой граничного условия (2). Отметим, что указанное малое значение f не соответствует какой-либо реальной ситуации и использовалось лишь для гарантии применимости уравнения (5). Анализ же того, при каких максимальных значениях f уравнение (5) остается применимым, будет сделан ниже. В работе [27] взаимодействие частиц исследовалось с использованием метода линейной суперпозиции. Метод основан на предположении, что при большом расстоянии между частицами распределение потенциала между ними можно представить в виде суперпозиции распределений, получаемых для одиночных частиц с однородным распределением заряда на их поверхностях. С использованием этого приближения при условии применимости уравнения Дебая-Хюккеля (5) выражение для силы FLS взаимодействия между одинаковыми частицами можно представить виде:
, (9)
где , .
В дальнейшем выражение (9) мы будем называть LS-приближением. Отметим, что при условиях применимости уравнения Дебая-Хюккеля (см. ниже), а значит, и LS-приближения, значение нормированного потенциала u∞ на поверхности одиночной частицы можно найти при помощи выражения
. (10)
В случае, если уравнение Дебая-Хюккеля неприменимо, то, как показали расчеты, при используемых в данных работе значениях f значение u∞ можно оценить по формуле (10) с точностью не менее 25%. C формальной точки зрения представление распределения потенциала в окрестности частиц в виде суперпозиции распределений, получаемых для одиночных частиц, эквивалентно предположению об отсутствии их поляризации, т.е. ε = 1, и поэтому именно для этого случая оно должно давать наиболее точный результат. Т.к. в пределе k = 0 выражение (9) переходит в закон Кулона, то с уменьшением k должны уменьшаться значения h/a, при которых применимо уравнение (9). Как показали описываемые ниже расчеты при ε = 1, k ≤ 0.1 и f ≤ 1 результаты вычислений на основе представленного в данной работе метода отличаются от полученных на основе выражения (9) не более чем 0.4% при всех используемых в данной работе расстояниях между частицами (h/a ≥ 0.01). Этот результат также свидетельствует о корректности использования учета граничного условия (2) в выражении (7). При ε = 1, k = 1, и f ≤ 1 выражение (9) позволяет рассчитывать значения сил с погрешностью менее 1% при h/a ≥ 2, а при k = 10 при h/a ≥ 0.35. Данные результаты также указывают на корректность определения размера расчетной области. Корректность же учета нелинейности уравнения (1) вытекает из монотонности уменьшения погрешности силы взаимодействия между частицами с увеличением числа итераций в методе Ньютона. Для значений f, значительно превышающих 10, сходящееся решение при помощи метода Ньютона получить не удалось, поэтому максимальное значение f, используемое в данной работе, равно 10.
РЕЗУЛЬТАТЫ РАСЧЕТОВ
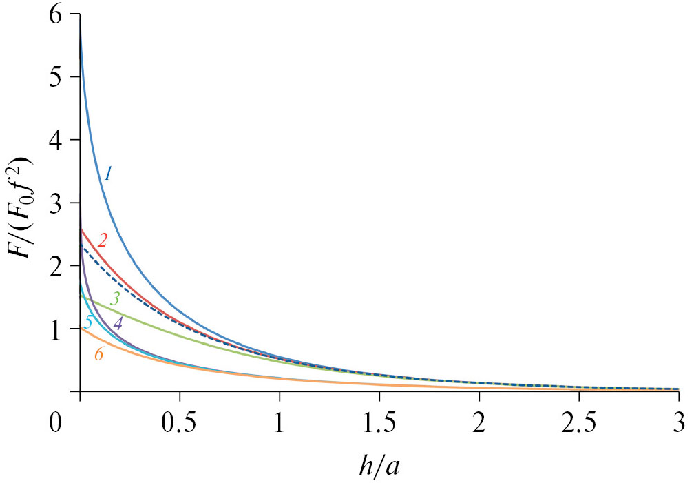
На рис. 2–4 показаны зависимости нормированных сил отталкивания, действующих на частицы шарообразной формы, от нормированного расстояния между их поверхностями при разных значениях k, f и ε. С ростом расстояния между поверхностями частиц их поляризация уменьшается. Поэтому, как и следовало ожидать, значения сил при разных значениях ε с ростом расстояния между частицами стремятся друг к другу.
Рис. 2. Зависимость нормированной силы электростатического взаимодействия частиц от нормированного расстояния между поверхностями частиц при k = 0.1: 1 – f = 1, ε = 0.1; 2 – f = 1, ε = 1; 3 – f = 1, ε = 10; 4 – f = 10, ε = 0.1; 5 – f = 10, ε = 1; 6 – f = 10, ε = 10
Рис. 3. Зависимость нормированной силы электростатического взаимодействия частиц от нормированного расстояния между поверхностями частиц при k = 1: 1 – f = 1, ε = 0.1; 2 – f = 1, ε = 1; 3 – f = 1, ε = 10; 4 – f = 10, ε = 0.1; 5 – f = 10, ε = 1; 6 – f = 10, ε = 10; пунктирная линия – LS-приближение
Рис. 4. Зависимость нормированной силы электростатического взаимодействия частиц от нормированного расстояния между поверхностями частиц при k = 10: 1 – f = 1, ε = 0.1; 2 – f = 1, ε = 1; 3 – f = 1, ε = 10; 4 – f = 10, ε = 0.1; 5 – f = 10, ε = 1; 6 – f = 10, ε = 10
При этом расстояние, начиная с которого можно не учитывать зависимость сил от ε, уменьшается как с ростом f, так и с ростом k. Кроме того, как показывает сравнение кривых 3, 6 на рис. 4, при больших ε и k относительная разность между нормированными силами при разных f может уменьшаться с уменьшением расстояния между частицами. Например, при k = 10 и ε = 10, начиная с расстояния между частицами в два дебаевских радиуса экранирования, т. е. с h = 0.2a, разница между нормированными силами при f = 1 и f = 10 уменьшается с 9% до 5% при h = 0.01a. При превышении h = 0.2a эта разница медленно уменьшается с ростом h и при h = 1a составляет 8%. Об изменении зависимости нормированных сил от f при изменении ε и k при малых и больших h можно судить также по рис. 5–7.
Рис. 5. Зависимость нормированной силы электростатического взаимодействия частиц от f при h/a = 0.1: 1 – k = 0.1, ε = 0.1; 2 – k = 0.1, ε = 1; 3 – k = 0.1, ε = 10; 4 – k = 1, ε = 0.1; 5 – k = 1, ε = 1; 6 – k = 1, ε = 10
Рис. 6. Зависимость нормированной силы электростатического взаимодействия частиц от f при h/a = 0.1 и k = 10: 1 – ε = 0.1; 2 – ε = 1; 3 – ε = 10
Рис. 7. Зависимость нормированной силы электростатического взаимодействия частиц от f при h/a = 2: 1 – k = 0.1, ε = 0.1; 2 – k = 0.1, ε = 1; 3 – k = 0.1, ε = 10; 4 – k = 1, ε = 0.1; 5 – k = 1, ε = 10
Т.к. в литературе при малых потенциалах на поверхностях частиц часто используется анализ их взаимодействия на основе уравнения Дебая-Хюккеля или различных асимптотических формул, получаемых из него, то имеет смысл оценить области значений f, при которых это уравнение применимо в тех или иных ситуациях. В случае применимости уравнения Дебая-Хюккеля нормированные значения сил не должны зависеть от f и соответствующий участок зависимости на рис. 5–7 должен быть близок к горизонтальному. Как видно из этих рисунков, с уменьшением ε уменьшаются значения заряда частиц, при которых применимо уравнение Дебая-Хюккеля. В результате, как видно из хода кривой 4 на рис. 5, при k, близких к единице, и диэлектрической проницаемости среды, много большей диэлектрической проницаемости вещества частиц, уравнение Дебая-Хюккеля с условием (2) или (6) практически не применимо для анализа взаимодействия частиц на достаточно близком расстоянии между ними. Анализ же кривых на рис. 7 показывает, что при достаточно больших h/a уравнение Дебая-Хюккеля можно использовать для вычисления сил с точностью до 5% при условии, что f не превышает 2 при k = 1 и 3 при k = 0.1. Это ограничение, очевидно, распространяется и на асимптотические выражения, вытекающие из уравнения Дебая-Хюккеля, в том числе, и на LS-приближение.
В ряде работ проводились измерения сил отталкивания между частицами микронных размеров в растворах электролита. Анализ результатов в этих работах, как правило, производился на основе подгонки к экспериментальным данным теоретической кривой, полученной на основе того или иного из рассмотренных выше приближений. Полученные в данной работе результаты позволяют оценивать корректность используемых приближений в тех или иных случаях. Для примера проведем анализ результатов некоторых из таких работ. В работе [28] проводилось измерение сил электростатического взаимодействия сферических частиц полиметилметакрилата в растворе поверхностно-активного вещества (NaAOT) в неполярном растворителе (гексадекане). В работе [10] представлен метод расчета сил взаимодействия частиц на основе решения приближения Дебая-Хюккеля (5) с использованием граничного условия (2) и для проверки применимости этого метода полученные в [28] данные аппроксимировались подбором значений k и f. Рассматривались частицы диаметром 1.2 мкм, а расстояние между их поверхностями было не меньше 2 мкм. При концентрации электролита 1 мМ найдены значение модуля заряда Z частицы, нормированного на элементарный заряд, Z = 63, и значение k = 0.086. Учитывая, что для рассматриваемых частиц и раствора ε = 1.26 [10] описываемая ситуация близка к отображаемой на рис. 7 кривой 2. Т. к. значение Z для частиц рассматриваемого радиуса соответствует f = 2.86, то, учитывая проведенный выше анализ кривых на этом рисунке, мы приходим к выводу, что используемое в данном случае приближение применимо. Сравнение кривой, представленной на графике, приведенном в работе [10], с кривой, полученной на основе уравнения (1) при помощи разработанного в данной работе метода, показывает, что это действительно так. Дополнительные расчеты с указанными значениями f, k и ε показали, что использование уравнения (5) вместо уравнения (1) приводит к увеличению значения силы не более чем на 3.5%. В работе [10] подбирались также значения Z и k при концентрации электролита 10 мМ. В результате были получены значения Z = 60 и k = 0.214. Из приведенного выше анализа кривых на рис. 7 можно сделать вывод, что увеличение k в этом случае должно приводить к увеличению погрешности, обусловленной использованием уравнения (5). Расчеты показали, что использование уравнения (5) вместо уравнения (1) приводит к увеличению значения силы более чем на 8%. Отметим, что к такой же погрешности приводит и использование LS-приближения. В более поздней работе [20] те же авторы, что в работе [28], провели новую серию экспериментов и пришли к другим результатам измерений сил. Нормированные расстояния h/a между поверхностями частиц в [20] превышали 2.3. Анализ полученных результатов в этой работе проводился при помощи подгонки к экспериментальным данным кривых, полученных на основе различных приближений, учитывающих нелинейность уравнения Пуассона-Больцмана (1), в том числе и на основе решения этого уравнения с использованием граничного условия (6). В результате авторы работы [20] получили значения k = 0.58 ± 0.03 и u∞ = 3.67 ± 0.07 при концентрации электролита 10 мМ. На рис. 8 проведено сравнение результатов, полученных в работе [20], с результатами расчетов, полученными на основе разработанного в данной работе метода при k = 0.59, f = 7.8, ε = 1.26. Полученное значение u∞ = 4.05.
Рис. 8. Зависимость силы электростатического взаимодействия частиц от расстояния между центрами частиц при k = 0.59, f = 7.8, ε = 1.26. Ромбами представлены экспериментальные данные [20]
Как видно из рис. 7, в рассматриваемой ситуации нелинейностью уравнения (1) пренебрегать нельзя. В то же время из рис. 2, 3 видно, что при данных расстояниях между частицами можно не учитывать зависимость силы от ε. Расчеты показали, что переход от граничного условия (2) к граничному условию (6) изменяет значения сил при εрассматриваемых расстояниях между частицами не более чем на 0.7%. Поэтому проведенный в работе [20] анализ с использованием данного приближения корректен. В работе [29] исследовалось взаимодействие частиц диаметром 4.9 мкм в смесях органических растворителей – циклогексилбромида и н-декана. Для подгонки кривых использовалось LS-приближение (которое в этой работе называлось экранированной кулоновской формой). При объемной доле циклогексилбромида 0.7, h/a > 0.4 и ε = 0.38 были получены значения f = 7.1 и k = 0.22. Как видно из рис. 7, при указанных значениях f и k уравнение Дебая-Хюккеля неприменимо, а следовательно, неприменимо и LS-приближение. Расчеты, проведенные с указанными параметрами, показывают, что завышение рассчитываемой силы при использовании этого приближения достигает 86%. Приведенные примеры показывают, что анализ экспериментальных данных по взаимодействию частиц микронных размеров в растворах электролитов должен, как правило, проводится с учетом нелинейности уравнения (1).
ЗАКЛЮЧЕНИЕ
В представленной работе на основе уравнения Пуассона-Больцмана рассматривалось взаимодействие частиц с однородным распределением заряда на их поверхностях в растворе электролита. Исследовано влияние отношения диэлектрических проницаемостей веществ частиц и окружающей среды на характеры зависимостей сил электростатического отталкивания частиц от расстояния между ними и от величины их заряда. Расчеты выполнены с использованием метода конечных элементов. Исследованы условия применимости некоторых используемых при решении уравнения Пуассона-Больцмана приближений, и проведен анализ корректности их использования для обработки экспериментальных данных по исследованию сил электростатического взаимодействия между частицами микронных размеров. Рассмотренные примеры обработки результатов экспериментов показывают, что в ситуациях, когда дебаевский радиус экранирования меньше десяти радиусов частиц, использование уравнения Дебая-Хюккеля или любого приближения на его основе для анализа результатов таких экспериментов является некорректным. Также показано, что даже при малых потенциалах в окрестности частиц отсутствует область практической применимости уравнения Дебая-Хюккеля для анализа взаимодействия частиц с постоянным зарядом на их поверхностях в случае, когда диэлектрическая проницаемость среды значительно превышает диэлектрическую проницаемость вещества частиц, а их радиус близок к дебаевскому радиусу экранирования. Установлено, что рост заряда частиц приводит к сближению значений сил, рассчитанных при разных отношениях диэлектрических проницаемостей среды и вещества частиц и, как следствие, к уменьшению расстояния, начиная с которого значение этого отношения можно не учитывать.
ФИНАНСИРОВАНИЕ РАБОТЫ
Данная работа финансировалась за счет средств бюджета университета. Никаких дополнительных грантов на проведение или руководство данным конкретным исследованием получено не было.
СОБЛЮДЕНИЕ ЭТИЧЕСКИХ СТАНДАРТОВ
В данной работе отсутствуют исследования человека или животных.
КОНФЛИКТ ИНТЕРЕСОВ
Автор данной работы заявляет, что у него нет конфликта интересов.
About the authors
S. I. Grashchenkov
Псковский государственный университет
Author for correspondence.
Email: grasi@mail.ru
Russian Federation, Псков
References
- Israelachvili J. N. Intermolecular and surface forces. San Diego: Academic press, 2011
- Ledbetter J.E., Croxton T.L., McQuarrie D.A. The interaction of two charged spheres in the Poisson–Boltzmann equation // Can. J. Chem. 1981. V. 59. № 13. P. 1860–1864. https://doi.org/10.1139/v81-277
- Gouy M. Sur la constitution de la charge électrique à la surface d’un électrolyte // J. Phys. Theor. Appl. 1910. V. 9. №. 1. P. 457–468. https://hal.science/jpa-00241565/document (accessed on March 06, 2024)
- Huckel E., Debye P. Zur theorie der elektrolyte.I. Gefrierpunktserniedrigung und verwandte erscheinungen // Phys. Z. 1923. V. 24. S. 185–206.
- Lamm G. The Poisson–Boltzmann equation // Reviews in computational chemistry. 2003. V. 19. P. 147–365. https://doi.org/10.1002/0471466638.ch4
- Derjaguin B., Landau L. Theory of the stability of strongly charged lyophobic sols and of the adhesion of strongly charged particles in solutions of electrolytes // Progress in Surface Science. 1993. V. 43. P. 30−59. https://doi.org/10.1016/0079-6816(93)90013-L
- Ether D. S. et al. Double-layer force suppression between charged microspheres // Physical Review E. 2018. V. 97. №. 2 P. 022611. https://doi.org/10.1103/PhysRevE.97.022611
- Schnitzer O., Morozov M. A generalized Derjaguin approximation for electrical-double-layer interactions at arbitrary separations // The Journal of Chemical Physics. 2015. V. 142. №. 24. P. 244102. http://dx.doi.org/10.1063/1.4922546
- Derjaguin B. On the repulsive forces between charged colloid particles and on the theory of slow coagulation and stability of lyophobe sols // Transactions of the Faraday Society. 1940. V. 35. P. 203–215. https://doi.org/10.1016/0079-6816(93)90011-J
- Derbenev I. N. et al. Electrostatic interactions between charged dielectric particles in an electrolyte solution // The Journal of chemical physics. 2016. V. 145. №. 8. P. 084103. http://dx.doi.org/10.1063/1.4961091
- Filippov A. V., Starov V. Interaction of nanoparticles in electrolyte solutions // The Journal of Physical Chemistry B. 2023. V. 127. № 29. P. 6562–6572. https://doi.org/10.1021/acs.jpcb.3c01220
- Гращенков С.И. О силе электростатического взаимодействия двух сфероидальных макрочастиц в модели Пуассона-Больцмана // Журнал технической физики. 2022. Т. 92. № 12. С. 1770–1775. http://dx.doi.org/10.21883/JTF.2022.12.53742.145-22
- Ledbetter J.E., Croxton T.L., McQuarrie D.A. The interaction of two charged spheres in the Poisson–Boltzmann equation // Canadian Journal of Chemistry. 1981. V. 59. №. 13. P. 1860–1864. https://doi.org/10.1139/v81-277
- Carnie S. L., Chan D. Y. C., Stankovich J. Computation of forces between spherical colloidal particles: nonlinear Poisson-Boltzmann theory // Journal of colloid and interface science. 1994. V. 165. № 1. P. 116–128. https://doi.org/10.1006/jcis.1994.1212
- Lima E.R.A., Tavares F.W., Biscaia Jr.E.C. Finite volume solution of the modified Poisson–Boltzmann equation for two colloidal particles // Physical Chemistry Chemical Physics. 2007. V. 9. № 24. P. 3174–3180. https://doi.org/10.1039/b701170a
- Brenner S.L., Roberts R.E. Variational solution of the Poisson-Boltzmann Equation for a spherical colloidal particle // The Journal of Physical Chemistry. 1973. V. 77. № 20. P. 23672370. https://doi.org/10.1021/j100639a001
- Chan D.Y.C., BKC C. Electrical double-layer interaction between spherical colloidal particles: An exact solution Journal of Colloid and Interface Science. 1983. V. 92. № 1. P 281283. https://doi.org/10.1016/0021-9797(83)90143-1
- Dyshlovenko P. Adaptive mesh enrichment for the Poisson–Boltzmann equation // Journal of Computational Physics. 2001. V. 172. № 1. P. 198–208. https://doi.org/10.1006/jcph.2001.6820
- Qiao Z., Li Z., Tang T. A finite difference scheme for solving the nonlinear Poisson-Boltzmann equation modeling charged spheres // Journal of Computational Mathematics. 2006. № 3. P. 252–264.
- Merrill J.W., Sainis S.K., Dufresne E.R. Many-body electrost atic forces between colloidal particles at vanishing ionic strength // Physical review letters. 2009. V. 103. № 13. P. 138301. https://doi.org/10.1103/PhysRevLett.103.138301
- Russ C. et al. Three-body forces between charged colloidal particles // Physical Review E. 2002. V. 66. № 1. P. 011402 https://doi.org/10.1103/PhysRevLett.103.138301
- Warszyński P., Adamczyk Z. Calculations of double-layer electrostatic interactions for the sphere/plane geometry // Journal of colloid and interface science. 1997. V. 187. № 2. P. 283–295. https://doi.org/10.1006/jcis.1996.4671
- Lu B. Finite element modeling of biomolecular systems in ionic solution // Image-Based Geometric Modeling and Mesh Generation. Dordrecht: Springer Netherlands. 2013. P. 271–301. https://doi.org/10.1007/978-94-007-4255-0_14
- Фортов В.Е., Храпак А.Г., Храпак С.А., Молотков В.И., Петров О.Ф. Пылевая плазма. // Успехи физических наук. 2004, V. 174. № 5. P. 495–544. https://doi.org/10.3367/UFNr.0174.200405b.0495
- Gangl P. et al. Fully and semi-automated shape differentiation in NGSolve // Structural and multidisciplinary optimization. 2021. V. 63. №. 3. P. 1579–1607. https://doi.org/10.1007/s00158-020-02742-w
- Carnie S.L., Chan D.Y.C. Interaction free energy between identical spherical colloidal particles: The linearized Poisson-Boltzmann theory // Journal of colloid and interface science. 1993. V. 155. №. 2. P. 297–312. https://doi.org/10.1006/jcis.1993.1039
- Bell G.M., Levine S., McCartney L.N. Approximate methods of determining the double-layer free energy of interaction between two charged colloidal spheres // Journal of Colloid and Interface Science. 1970. V. 33. №. 3. P. 335–359. https://doi.org/10.1016/0021-9797(70)90228-6
- Sainis S.K., Merrill J.W., Dufresne E.R. Electrostatic interactions of colloidal particles at vanishing ionic strength // Langmuir. 2008. V. 24. № 23. P. 13334–13337.
- Choi K.H. et al. Direct measurement of electrostatic interactions between poly (methyl methacrylate) microspheres with optical laser tweezers // Soft matter. 2019. V. 15. № 40. P. 8051–8058. https://doi.org/10.1039/c9sm01374a
Supplementary files










