Определение критической концентрации мицеллообразования полиоксиэтилированных алкилфенолов в водных растворах спектрофотометрическим методом
- Авторы: Шестопалова Н.Б.1, Фомина Ю.А.1
-
Учреждения:
- Саратовский государственный медицинский университет им. В.И. Разумовского Минздрава России
- Выпуск: Том 86, № 4 (2024)
- Страницы: 506-515
- Раздел: Статьи
- Статья получена: 21.11.2024
- Статья одобрена: 21.11.2024
- Статья опубликована: 15.07.2024
- URL: https://ogarev-online.ru/0023-2912/article/view/270849
- DOI: https://doi.org/10.31857/S0023291224040097
- EDN: https://elibrary.ru/bzvagx
- ID: 270849
Цитировать
Полный текст
Аннотация
Изучено мицеллообразование неионных ПАВ (нПАВ) полиоксиэтилированных алкилфенолов Тритон Х-100 (ТХ-100) и Тритон Х-114 (ТХ-114) в водных растворах спектрофотометрическим методом. Рассчитаны спектральные характеристики кривых поглощения растворов нПАВ в диапазонах концентраций: 0.02–0.80 ммоль/л для ТХ-100 и 0.02–0.40 ммоль/л для ТХ-114. Исследовано влияние шага сканирования по шкале длин волн (0.1, 0.2, 0.5 и 1.0 нм) на положение максимумов и интенсивность поглощения. Установлено, что оптическая плотность монотонно возрастает во всем диапазоне концентраций. Выявлено, что при всех шагах сканирования происходит батохромный сдвиг максимума поглощения длинноволновой полосы (275 нм) на 1.5 нм (ТХ-114) и 2.0 нм (ТХ-100) при определенной концентрации нПАВ. На кривой зависимости положения максимума поглощения от концентрации нПАВ наблюдается характерный излом, положение которого зависит от шага сканирования. Предложен новый способ спектрофотометрического определения критических концентраций мицеллообразования (ККМ) ТХ-100 и ТХ-114, основанный на установлении зависимости положения максимума поглощения длинноволновой полосы в электронном спектре поглощения от концентрации нПАВ в водном растворе. Установлено, что для графического определения ККМ оптимальным шагом сканирования является 0.1 нм. Определены значения ККМ для ТХ-100 и ТХ-114, которые составили (0.24 ± 0.02) ммоль/л и (0.20 ± 0.01) ммоль/л соответственно, согласующиеся с литературными данными.
Полный текст
ВВЕДЕНИЕ
Полиоксиэтилированные алкилфенолы, имеющие общую формулу RC6H4O(CH2CH2O)nH, являются типичными представителями неионогенных поверхностно-активных веществ (нПАВ), молекулы которых содержат в качестве гидрофильной части полиэтиленоксидную цепь (ЕО), а гидрофобной – моноалкил- или диалкилфенолы с разветвленными или неразветвленными радикалами (R) с количеством атомов углерода выше 7. Преимущественно представлены полиоксиэтилированными изононил- и изооктилфенолами, которые являются продуктами последовательного присоединения оксида этилена к соответствующим производным фенола и представляют собой смесь полимергомологов с различной степенью оксиэтилирования (n). Отличительной особенностью нПАВ является возможность существования их в молекулярной форме в истинных и в коллоидных растворах [1, 2].
Дифильный характер этих соединений обуславливает не только способность адсорбироваться на различных поверхностях раздела, но и образовывать мицеллы – термодинамически устойчивые частицы коллоидного размера. В отличие от адсорбции, самопроизвольный процесс агрегирования молекул происходит во всем объеме системы при некоторой, характерной для каждого нПАВ, так называемой критической концентрации мицеллообразования (ККМ). Значение ККМ является одной из основных физико-химических характеристик ПАВ, которая зависит от структуры соединения, кислотности среды, присутствия электролитов, органических растворителей и других факторов [3].
Способность к мицеллообразованию в сочетании с высокой поверхностной активностью обуславливает солюбилизационные, эмульгирующие, смачивающие, пенообразующие и другие специфические свойства нПАВ [4]. Появление мицелл может быть зафиксировано при изучении зависимости какого-либо физического свойства системы от концентрации ПАВ и определении точки перегиба на кривой “физико-химическое свойство–концентрация”. Разнообразные методы определения ККМ позволяют также получать дополнительную информацию о размере и форме мицелл, их гидратации, мицеллярной массе, термодинамике процесса [5], что имеет немаловажное значение для эффективности их использования в различных технологических процессах.
В настоящее время методы определения ККМ принято делить на прямые и косвенные. К прямым методам, основанным на регистрации изменения какого-либо физико-химического свойства при увеличении концентрации ПАВ в растворе, чаще относят методы определения мутности растворов, поверхностного натяжения, электрической проводимости, коэффициента преломления света, вязкости [6]. В косвенных методах регистрируют изменения физико-химических характеристик, например, светопоглощение или люминесценцию, происходящие с веществами – “зондами” – в присутствии мицелл ПАВ различной природы.
Среди большого разнообразия методов, применяющихся для определения ККМ, спектроскопические методы привлекают внимание исследователей простотой выполнения эксперимента, достаточно высокой точностью, аппаратурной оснащенностью. Возможности и ограничения прямых и косвенных спектроскопических определений ККМ показаны в обзоре [7]. Большинство методов являются косвенными, основанными на различии в светопоглощении или испускании “зондов” в присутствии свободных молекул и мицелл ПАВ. Изменение формы спектральных кривых, а также интенсивности поглощения или флуоресценции происходит за счет различного влияния мицелл ПАВ на физико-химические процессы: растворимость красителей; кислотно-основные и таутомерные равновесия; каталитическую активность органических соединений; образование ионных ассоциатов и др.
Среди достаточно изученных и охарактеризованных нПАВ полиоксиэтилированные алкилфенолы серии Тритон X занимают важное место. Они являются компонентами моющих и чистящих средств, смачивателями, диспергаторами и солюбилизаторами липофильных веществ [1]. В связи с этим Тритоны находят широкое применение в различных отраслях науки и техники, включая медицину, фармацию и биохимию [8–13]. Мицеллярные системы на основе Тритонов применяются в молекулярной и атомной спектроскопии, электрохимических методах анализа, различных вариантах хроматографии, в экстракции и других методах разделения, концентрирования и определения неорганических и органических веществ, а также в пробоподготовке [14–19].
Поскольку в области ККМ резко изменяются физико-химические свойства ПАВ, важное значение приобретает информация о состоянии соединений в растворе. Мицеллообразование очень сильно зависит от микроокружения молекул ПАВ, следовательно, значения ККМ, определенные различными методами, могут не совпадать. В связи с этим, заслуживают особого внимания “беззондовые” методы.
Отдельный интерес представляет прямое определение ККМ для растворов Тритонов спектроскопическими методами, как для веществ, обладающих собственным поглощением и способных к флуоресценции. Авторами [7] указывается, что прямую спектрофотометрию можно применять для определения ККМ по изменению наклона прямой зависимости поглощения при заданной длине волны от концентрации ПАВ в растворе. Некоторыми исследователями предпринимались попытки спектрофотометрического определения ККМ Тритонов [20, 21]. Так, при изучении светопоглощения водных растворов Tритона Х-100 в диапазоне концентраций 0.0428–0.6838 ммоль/л было установлено, что поглощение увеличивается немонотонно и характеризуется максимумом (λmax) при 277 ± 1 нм. При повышении концентрации нПАВ не наблюдали изменения кривой поглощения и смещения λmax, что не позволило определить точку перегиба [20].
Изучение спектров поглощения водных растворов Тритонов с различной степенью оксиэтилирования (Tритон X-114, Tритон X-100 и Tритон X-165) [21] показало, что поглощение монотонно увеличивается с концентрацией нПАВ и максимально при 274 ± 1 нм для всех растворов. Однако авторы также не смогли зафиксировать изменение положения максимумов и форм спектров даже при высоких концентрациях нПАВ. Таким образом, определение точки перегиба, соответствующей морфологическому изменению, затруднено, несмотря на то, что в области исследуемых концентраций происходят структурные изменения в растворах Тритонов. Невозможность применения прямой спектрофотометрии побудило авторов к исследованию флуоресценции растворов Тритонов и нахождению условий для прямого флуориметрического определения ККМ по изменению интенсивности флуоресценции в максимуме излучения при 306 ± 1 нм, т.к. при увеличении концентрации нПАВ происходило увеличение интенсивности флуоресценции без смещения максимумов эмиссии. Рост интенсивности излучения домицеллярных и мицеллярных растворов был различен, что отражалось характерным перегибом в области ККМ на кривой зависимости интенсивности излучения от концентрации нПАВ. Рассчитанные значения ККМ составили 0.20, 0.29 и 0.41 ммоль/л для TX-114, TX-100 и TX-165 соответственно.
Следует отметить, что на спектральные характеристики (положение максимума поглощения, форму спектра, интенсивность поглощения) влияет не только состояние вещества в растворе, но и технические возможности спектрофотометра при регистрации поглощения, а именно скорость сканирования, шаг регистрации по шкале длин волн.
В связи с этим нами была поставлена цель изучения влияния параметров регистрации электронных спектров поглощения водных растворов оксиэтилированных алкилфенолов Тритона Х-100 и Тритона Х-114 на их спектральные характеристики, а также оценка возможности применения прямой спектрофотометрии для определения ККМ.
ЭКСПЕРИМЕНТАЛЬНАЯ ЧАСТЬ
В работе использовали Тритон Х-100 (ТХ-100) (“Carl Roth”, Германия), и Тритон Х-114 (ТХ-114) (“PanReac AppliChem”, Германия) квалификации “extra pure”. Исходные растворы с концентрацией 1.0 ∙ 10–3 моль/л готовили растворением точной навески нПАВ в бидистилированной воде (“УПВА-5”, Россия; электропроводность 2.33 мкСм/см, “АНИОН 4152”, Россия). Взвешивание проводили на аналитических весах “HR-200” (“A&D”, Япония, ± 0.0001г). Для исследований готовили 40 рабочих растворов ТХ-100 в диапазоне концентраций 0.02–0.80 ммоль/л и 20 рабочих растворов ТХ-114 с концентрациями 0.02 – 0.40 ммоль/л разбавлением исходных растворов бидистиллированной водой, интервал между концентрациями 0.02 ммоль/л. Использовали дозаторы (“Ленпипет”, Россия) и предварительно откалиброванные мерные колбы вместимостью 10.0 мл. Перед спектрофотометрированием рабочие растворы термостатировали при 25°С в течение 30 мин (термостат суховоздушный ТСО-1/80 СПУ, Россия).
В работе также использовали: фенол (“PanReac AppliChem”, Германия), толуол и бензол (ч.д.а., “ЭКОС-1”, Россия), гексан (ч.д.а., “Компонент-реактив”, Россия). Исходные растворы фенола, бензола, толуола с концентрацией 1.0 ∙ 10–4 моль/л готовили растворением точных навесок в гексане.
Электронные спектры поглощения регистрировали на двухлучевом сканирующем спектрофотометре SHIMADZU UV-1800 (Япония) в режиме “спектральный”. Для измерения использовали кварцевые кюветы с l = 1 см. Сканирование по длине волны в диапазоне от 190 до 400 нм – через 0.1; 0.2; 0.5 и 1.0 нм с последующим определением положения максимумов и минимумов. Скорость сканирования – быстрая. Фотометрическая точность ± 0.002 и ± 0.004 при оптической плотности 0.5 и 1.0 соответственно. Воспроизводимость по шкале длин волн ± 0.1 нм.
Для обработки данных использовали программное обеспечение спектрофотометра UVProbe-2.31 и MS Excel.
РЕЗУЛЬТАТЫ И ОБСУЖДЕНИЕ
Исследуемые ТХ-100 и ТХ-114 являются моно-н-(1,1,3,3-тетраметилбутил)фениловыми эфирами полиэтиленгликоля с разным числом ЕО групп (рис. 1). Они различаются между собой по основным физико-химическим характеристикам: температура помутнения (tпом), гидрофильно-липофильный баланс (ГЛБ) (табл. 1).
Рис. 1. Структурная формула полиоксиэтилированных алкилфенолов серии Тритон.
Таблица 1. Некоторые физико-химические характеристики исследуемых нПАВ
Название | Молекулярная масса, г/моль | Количество ЕО, n | tпом, °С | ГЛБ |
ТХ-100 | 624.0 | 9–10 | 63–69 | 13.5 |
ТХ-114 | 558.75 | 7–8 | 23 | 12.4 |
Длина ЕО цепи оказывает большее влияние на увеличение размера мицелл, чем строение и длина углеводородного радикала. Более выраженная склонность молекул нПАВ к росту мицелл наблюдается для соединений с более короткой ЕО цепью. Растворимость таких нПАВ обусловлена образованием водородных связей с оксиэтильными фрагментами, и уменьшение длины ЕО цепи приводит к снижению растворимости [4]. Фазовые диаграммы характеризуются кривой растворимости с нижней критической точкой. Растворы нПАВ при нагревании становятся “мутными” при определенной температуре, которая зависит от их строения и концентрации, а также от присутствия других растворенных веществ. Более низкие tпом имеют ПАВ с более короткими ЕО цепями [3]. Так, для ТХ-114 более низкое значение tпом по сравнению с ТХ-100 (Δt = 42°С) обусловлено более короткой ЕО цепью, несмотря на меньшую молекулярную массу.
Наличие хромофора (бензольное кольцо) и ауксохромов (алкильные и ЕО группы) обуславливают способность ТХ-100 и ТХ-114 к поглощению электромагнитного излучения ультрафиолетового диапазона. Форма и положение полос поглощения имеют характерный для алкилфенолов вид: высокоинтенсивную полосу с λmax при 223 нм и низкоинтенсивную – λmax при 275 нм с плечом в диапазоне 278–280 нм. На рис. 2 представлены электронные спектры поглощения водных растворов ТХ-100 в диапазоне концентраций от 0.02 ммоль/л до 0.20 ммоль/л, в которых он находится в виде отдельных молекул. При концентрациях выше 0.20 ммоль/л происходит образование мицелл [7].
Рис. 2. Электронные спектры поглощения водных растворов ТХ-100 при разных концентрациях (0.02–0.20 ммоль/л).
Характер электронного спектра поглощения ТХ-100 согласуется с современными представлениями о влиянии заместителей на спектры поглощения бензола и других ароматических соединений [22, 23]. Спектральные характеристики растворов бензола и некоторых производных представлены в табл. 2. Спектр поглощения бензола имеет три полосы различной интенсивности, которые связаны с его системой π-электронов [23]. Наиболее коротковолновая и высокоинтенсивная полоса λmax ~ 180 нм, соответствующая разрешенному π→π* переходу, не регистрировалась спектрофотометром.
Таблица 2. Спектральные характеристики некоторых замещенных бензолов и исследуемых нПАВ
Соединение | λ1max, нм | ε1max, л/моль∙см | λ2max, нм | ε2max, л/моль∙см | Растворитель |
Бензол | 204 | 7900 | 256 | 200 | гексан |
Толуол | 208 | 7000 | 261 | 300 | – // – |
Фенол | 211 | 6360 | 271 | 2650 | – // – |
Фенол | 210 | 6200 | 270 | 1450 | вода |
ТХ-100 | 223 | 10300 | 275 | 1450 | – // – |
ТХ-114 | 223 | 10500 | 275 | 1560 | – // – |
Как видно из представленных в табл. 2 данных, введение заместителей в молекулу бензола заметно отражается на положении и интенсивности характерных полос поглощения, т.к. нарушается симметрия электронной системы бензольного кольца. Особенно сильно эти эффекты проявляются при нахождении заместителей в п-положении и в полярных растворителях. Введение в молекулу бензола алкильного и оксиэтильного радикалов в п-положении приводит к значительному батохромному сдвигу бензольных полос с одновременным увеличением их интенсивности, что обуславливает форму и интенсивность полос поглощения исследуемых нПАВ. Молярные коэффициенты экстинкции (ε) рассчитывали по усредненным значениям, полученным при разных концентрациях нПАВ. Установлена незначительная разница в интенсивности полос поглощения ТХ-100 и ТХ-114, которая может быть связана с более короткой ЕО цепью ТХ-114.
Необходимым этапом исследования была проверка выполнимости закона Бугера–Ламберта–Бера (БЛБ). Для этого были зарегистрированы спектры поглощения растворов нПАВ через 1.0 нм. Концентрация растворов подбиралась таким образом, чтобы оптическая плотность в максимуме поглощения не превышала 1.2. Линейный характер зависимости оптической плотности растворов (А) от концентрации нПАВ (С, ммоль/л) свидетельствовал о соблюдении основного закона светопоглощения. Достоверность линейной связи А = a + bС подтверждали методом корреляционного анализа [24].
Было установлено, что в диапазоне концентраций 0.02–0.80 ммоль/л растворы ТХ-100 оставались оптически прозрачными и при увеличении концентрации λmax коротковолновой полосы (223 нм) не изменялась, а λmax длинноволновой полосы (275 нм) претерпевала незначительный батохромный сдвиг до 2 нм. В связи с этим проверку закона БЛБ для ТХ-100 проводили при трех длинах волн (223, 275 и 277 нм). Высокая интенсивность поглощения коротковолнового излучения не позволила измерить поглощение растворов с концентрацией выше 0.20 ммоль/л. Исследование поглощения растворов во всем диапазоне заданных концентраций ТХ-100 проводили по длинноволновой полосе (рис. 3). Как видно из представленных кривых на рис. 3, оптическая плотность растворов не превышала 1.2, а возрастание концентрации сопровождалось монотонным увеличением поглощения. Были построены зависимости оптической плотности растворов от концентрации ТХ-100, уравнения которых описывались линейными функциями (табл. 3).
Рис. 3. Спектры поглощения водных растворов ТХ-100 при концентрациях (0.02 – 0.80 ммоль/л).
Таблица 3. Проверка выполнимости закона Бугера-Ламберта-Бера для исследуемых нПАВ
Название нПАВ | Длина волны, нм | Диапазон линейности, мМ | Уравнение прямой зависимости | R2 |
ТХ-100 | 223 | 0.02–0.18 | А = 10.303С | 0.9995 |
275 | 0.02–0.80 | А = 1.4796С | 0.9995 | |
277 | 0.02–0.80 | А = 1.5438С | 0.9989 | |
ТХ-114 | 223 | 0.02–0.18 | А = 10.906С | 0.9981 |
275 | 0.02–0.30 | А = 1.6382С | 0.9961 | |
276 | 0.02–0.30 | А = 1.6457С | 0.9952 |
Аналогичные зависимости оптической плотности от концентрации были построены и для водных растворов ТХ-114 только в диапазоне концентраций 0.02–0.30 ммоль/л, поскольку более концентрированные растворы становились мутными вследствие более низкой растворимости нПАВ.
Формы электронных спектров поглощения ТХ-114 и ТХ-100 совпадали до 0.18 ммоль/л. Дальнейшее увеличение концентрации также сопровождалось батохромным смещением максимума поглощения, которое, однако, не превысило 1.5 нм при концентрации равной 0.30 ммоль/л. Можно было бы ожидать и дальнейший сдвиг λmax, однако вследствие сильного светорассеяния это не представлялось возможным. Проверку закона БЛБ для ТХ-114 проводили при 223, 275 и 276 нм (табл. 3).
Как видно из представленных в таблице 3 данных, увеличение концентрации нПАВ в растворе приводит к монотонному возрастанию поглощения, несмотря на то, что в исследуемом диапазоне происходят структурные изменения: до 0.20 мМ – истинные растворы с отдельными молекулами, а выше – коллоидные растворы со сферическими мицеллами.
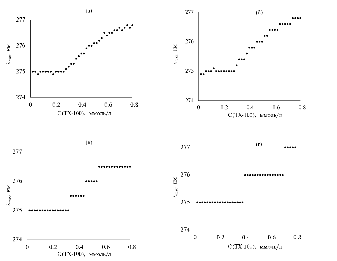
Заслуживает особого внимания батохромный сдвиг λmax длинноволновой полосы при увеличении концентрации ПАВ. Было изучено влияние шага сканирования по шкале длин волн на положение λmax для ТХ-100. Для 40 растворов с концентрациями от 0.02 до 0.80 ммоль/л были зарегистрированы спектры поглощения в диапазоне 230–300 нм при шагах сканирования 0.1; 0.2; 0.5 и 1.0 нм. Установлено, что в домицеллярной области концентраций (до 0.14 ммоль/л) при всех шагах сканирования положение λmax оставалось неизменным и соответствовало 275 нм. А концентрация, при которой наблюдали изменение положения λmax, зависела от шага сканирования (рис. 4).
Рис. 4. Положение максимума поглощения при различных шагах сканирования: а) 0.1 нм; б) 0.2 нм; в) 0.5 нм; г) 1.0 нм.
Как видно из рис. 4, начало батохромного сдвига λmax фиксировали для растворов с концентрацией выше 0.20 ммоль/л. Однако при различных шагах сканирования значения концентраций отличаются и составили: 0.20 ммоль/л при 0.1 нм, 0.22 ммоль/л при 0.2 нм, 0.35 ммоль/л при 0.5 нм и 0.38 ммоль/л при 1.0 нм. Установленные различия могут приводить к искажению результата определения ККМ. В связи с этим дальнейшие исследования проводили при шаге сканирования 0.1 нм.
Известно, что батохромные сдвиги в спектрах поглощения свидетельствуют о снижении энергии электронного перехода [22]. А смещение λmax, наблюдаемое при всех шагах сканирования, можно объяснить образованием более энергетически выгодных агрегатов – мицелл.
Для проверки данного предположения нами была построена зависимость λmax (у) от концентрации ТХ-100 (С, мМ) (рис. 5). На полученном графике можно выделить три участка, причем в области концентрации 0.22–0.24 ммоль/л кривая имеет излом. Первый участок в диапазоне концентраций 0.02–0.22 ммоль/л представляет собой прямую линию, параллельную оси абсцисс. Длина волны максимума поглощения водных растворов была практически постоянна и равна 275.0 ± 0.1 нм. В этой области существования отдельных молекул ТХ-100 оптическая плотность растворов прямо пропорциональна концентрации и не превышает 0.4. Второй участок, соответствующий диапазону концентраций 0.24–0.44 ммоль/л, характеризуется монотонным сдвигом максимума до 276 нм, причем увеличение концентрации на каждые 0.02 мМ приводит к сдвигу полосы на 0.1 нм. Оптическая плотность растворов монотонно увеличивается и не превышает 0.65. Участок также прямолинеен, но имеет определенный наклон. В результате оценки зависимости λmax (y) от С (ТХ-100) было получено уравнение этого участка: y = 5.00С+273.83 (R2 = 0.994). Третий участок кривой соответствует растворам с концентрацией 0.46–0.80 ммоль/л и характеризуется более пологим наклоном, при котором “скорость” батохромного сдвига уменьшается: сдвиг на 1.0 нм происходит при увеличении концентрации на 0.34 ммоль/л. Оптическая плотность наиболее концентрированного раствора не превышает 1.2. На этом участке прямолинейная зависимость отсутствует, коэффициент детерминации (R2) меньше 0.98. Уравнение полученной зависимости имело вид y = 2.57С + 274.96 (R2 = 0.970).
Рис. 5. Зависимость положения максимума поглощения от концентрации ТХ-100. Шаг сканирования – 0.1 нм.
Аналогичная зависимость была построена для растворов ТХ-114 с концентрациями 0.02–0.30 ммоль/л. Также были установлены два прямолинейных участка и наблюдали характерный излом в области концентраций 0.16–0.20 ммоль/л (рис. 6). В области низких концентраций прямая, параллельная оси абсцисс, соответствовала значению λmax 274.95 ± 0.04 нм. При повышении концентрации – батохромные сдвиги полосы поглощения до 276.40 ± 0.25 нм, описывались прямой линией, соответствующей уравнению y = 7.33С+273.41 (R2 = 0.994).
Рис. 6. Зависимость положения максимума поглощения от концентрации ТХ-114. Шаг сканирования – 0.1 нм.
Рассчитанное значение ККМ составило для ТХ-100 – (0.24 ± 0.02) ммоль/л, а для ТХ-114 – (0.20 ± ± 0.01) ммоль/л. Относительное стандартное отклонение составило не более 3% (n = 3). Результаты согласуются со значениями ККМ ТХ-100 и ТХ-114, полученными другими методами [7, 20, 21].
Поскольку максимум полосы поглощения соответствует наиболее вероятному электронному переходу, то батохромный сдвиг, наблюдаемый при мицеллообразовании, может быть связан с уменьшением энергии π→π* перехода за счет делокализации электронов. Величина ΔЕ, рассчитанная по разности ΔЕ = Е(λmax2) – Е(λmax1), составила 3.12 кДж/моль для ТХ-100 при Δλ = 2 нм. Это значение согласуется с представлениями об образовании ядра мицеллы за счет вандерваальсовых сил из углеводородных радикалов и ориентации гидратированных ЕО полярных групп в сторону водной фазы [25].
ЗАКЛЮЧЕНИЕ
Методом спектрофотометрии изучено мицеллообразование полиоксиэтилированных алкилфенолов ТХ-100 и ТХ-114 в водных растворах в диапазонах концентраций 0.02–0.80 ммоль/л и 0.02–0.40 ммоль/л соответственно. Установлено, что существенным фактором, влияющим на спектральные характеристики полос поглощения, является шаг сканирования по шкале длин волн. Несмотря на структурные перестройки в растворах нПАВ, соблюдается прямопропорциональная зависимость оптической плотности от концентрации во всех диапазонах. Выявлено, что параметром, отражающим процесс начала мицеллообразования, является положение максимума длинноволновой полосы при 275 нм. Независимо от шага сканирования по шкале длин волн λmax домицеллярных растворов остается неизменной, а мицеллообразование характеризуется батохромным сдвигом на 1.5–2 нм, соответствующим уменьшением энергии π→π* перехода при мицеллообразовании приблизительно на 3.12 кДж/моль. Предложен новый способ определения ККМ ТХ-100 и ТХ-114 в водных растворах по излому зависимости λmax от концентрации нПАВ в растворе. Охарактеризованы прямолинейные участки на концентрационной зависимости, точка пересечения которых соответствует ККМ. Преимуществами предложенного способа является возможность фиксации начала мицеллообразования без введения дополнительных веществ – “зондов”. Проведенные исследования показывают, что при изучении оптических свойств растворов нПАВ важным фактором являются параметры регистрации спектров поглощения, позволяющие улавливать небольшие изменения, соответствующие структурным перестройкам. Уменьшение шага сканирования позволяет более точно определять ККМ не только для нПАВ подобного типа, но и для других соединений в “беззондовых” и “зондовых” вариантах. На предложенный способ подана заявка на патент на способ спектрофотометрического определения критической концентрации мицеллообразования полиоксиэтилированных алкилфенолов.
ФИНАНСИРОВАНИЕ РАБОТЫ
Работа выполнена при финансовой поддержке Саратовского государственного медицинского университета в рамках научного проекта № SSMU-2022-012.
СОБЛЮДЕНИЕ ЭТИЧЕСКИХ СТАНДАРТОВ
В данной работе отсутствуют исследования человека или животных.
КОНФЛИКТ ИНТЕРЕСОВ
Авторы данной работы заявляют, что у них нет конфликта интересов.
Об авторах
Н. Б. Шестопалова
Саратовский государственный медицинский университет им. В.И. Разумовского Минздрава России
Автор, ответственный за переписку.
Email: shestopalovanb@yandex.ru
Россия, ул. Большая Казачья, 112, Саратов, 410012
Ю. А. Фомина
Саратовский государственный медицинский университет им. В.И. Разумовского Минздрава России
Email: shestopalovanb@yandex.ru
Россия, ул. Большая Казачья, 112, Саратов, 410012
Список литературы
- Поверхностно-активные вещества и композиции. Справочник. / Под ред. М.Ю. Плетнева. М.: ООО “Фирма Клавель”, 2002. 768 с.
- Шенфельд Н. Поверхностно-активные вещества на основе оксида этилена. М.: Химия, 1982. 752 с.
- Холмберг К., Йенссон Б., Кронберг Б., Линдман Б. Поверхностно-активные вещества и полимеры в водных растворах/ Пер. с англ. М.: БИНОМ. Лаборатория знаний, 2007. 528 с.
- Русанов А.И., Щекин А.К. Мицеллообразование в растворах поверхностно-активных веществ: Монография. СПб.: Издательство “Лань”, 2016. 612 с.
- Волков В.А. Коллоидная химия. Поверхностные явления и дисперсные системы: Учебник. СПб.: Издательство “Лань”, 2015. 672 с.
- Ланге К.Р. Поверхностно-активные вещества: синтез, свойства, анализ, применение / под научн. ред. Л.П. Зайченко. СПб.: Профессия, 2004. 240 с.
- Mabrouk M.M., Hamed N.A., Mansour F.R. Spectroscopic methods for determination of critical micelle concentrations of surfactants; a comprehensive review //Applied Spectroscopy Reviews. 2023. V. 58. № 3. P. 206–234. https//doi.org/10.1080/05704928.2021.1955702
- Solomonov A.V., Marfin Y.S., Rumyantsev E.V., Ragozin E., Zahavi T.S., Gellerman G., Tesler A.B., Muench F., Kumagai A., Miyawaki A. Self-assembled micellar clusters based on Triton-X-family surfactants for enhanced solubilization, encapsulation, proteins permeability control, and anticancer drug delivery // Materials Science and Engineering: C. 2019. V. 99. P. 794–804. https//doi.org/10.1016/j.msec.2019.02.016
- Mehta S.K., Jindal N., Kaur G. Quantitative investigation, stability and in vitro release studies of anti-TB drugs in Triton niosomes // Colloids and Surfaces B: Biointerfaces. 2011. V. 87. № 1. P. 173–179. https//doi.org/10.1016/j.colsurfb.2011.05.018
- Jiao J. Polyoxyethylated nonionic surfactants and their applications in topical ocular drug delivery // Advanced drug delivery reviews. 2008. V. 60. № 15. P. 1663–1673. https//doi.org/10.1016/j.addr.2008.09.002
- Fan X., Zhao X., Su W., Tang X. Triton X-100-modified adenosine triphosphate-responsive siRNA delivery agent for antitumor therapy // Molecular Pharmaceutics. 2020. V. 17. № 10. P. 3696–3708. https//doi.org/10.1021/acs.molpharmaceut.0c00291
- Tao H., Liu W., Simmons B.N., Harris H.K., Cox T.C., Massiah M.A. Purifying natively folded proteins from inclusion bodies using sarkosyl, Triton X-100, and CHAPS // Biotechniques. 2010. V. 48. № 1. P. 61–64. https//doi.org/10.2144/000113304
- Wang F., Zhang J., Wang R., Gu Y., Li J., Wang C. Triton X-100 combines with chymotrypsin: A more promising protocol to prepare decellularized porcine carotid arteries // BioMedical Materials and Engineering. 2017. V. 28. № 5. P. 531–543. https//doi.org/10.3233/BME-171694
- Yazdi A.S. Surfactant-based extraction methods // TrAC Trends in Analytical Chemistry. 2011. V. 30. № 6. P. 918–929. https//doi.org/10.1016/j.trac.2011.02.010
- Kowalcze M., Jakubowska M. Voltammetric determination of thujone in herbal matrices in the presence of Triton X-100 //Analytical biochemistry. 2018. V. 543. P. 12–20. https//doi.org/10.1016/j.ab.2017.11.024
- Tarighat M.A., Behroozi A., Abdi G., Proestos C. Multivariate simultaneous determination of some PAHs in persian gulf oil-contaminated algae and water samples using miniaturized Triton X-100-mediated Fe3O4 nanoadsorbent and UV-Vis detection // Separations. 2023. V. 10. № 6. P. 334. https//doi.org/10.3390/separations10060334
- Mahdi W.A., Hussain A., Bukhari S. I., Alshehri S., Singh B., Ali N. Removal of clarithromycin from aqueous solution using water/triton X-100/ethanol/olive oil green nanoemulsion method // Journal of Water Process Engineering. 2021. V. 40. P. 101973. https//doi.org/10.1016/j.jwpe.2021.101973
- Шестопалова Н.Б., Фомина Ю.А., Чернова Р.К. Спектрофотометрическое определение азорубина и понсо 4R в лекарственных препаратах с применением мицеллярной экстракции // Журнал аналитической химии. 2022. V. 77. № 9. С. 788–797. https//doi.org/10.31857/S0044450222080138
- Шестопалова Н.Б., Фомина Ю.А., Решетов П.В. Мицеллярная экстракция и спектрофотометрическое определение хинолинового желтого в лекарственных препаратах // Заводская лаборатория. Диагностика материалов. 2022. Т. 88. № 3. С. 15–22. https//doi.org/10.26896/1028-6861-2022-88-3-15-22
- Jaiswal S., Mondal R., Paul D., Mukherjee S. Investigating the micellization of the triton-X surfactants: A non-invasive fluorometric and calorimetric approach // Chemical Physics Letters. 2016. V. 646. P. 18–24. https//doi.org/10.1016/j.cplett.2015.12.051
- Anand U., Jash C., Mukherjee S. Spectroscopic determination of Critical Micelle Concentration in aqueous and non-aqueous media using a non-invasive method // Journal of colloid and interface science. 2011. V. 364. № 2. P. 400–406. https//doi.org/10.1016/j.jcis.2011.08.047
- Сильверстейн Р., Басслер Г., Морил Т. Спектрометрическая идентификация органических соединений – М.: Мир, 1977. 590 с.
- Преч Э., Бюльманн Ф., Аффольтер К. Определение строения органических соединений: таблицы спектральных данных: справочник. М.: Мир, 2006. 438 с.
- Смагунова А.Н., Карпукова О.М. Методы математической статистики в аналитической химии: учеб. пособие. Ростов н/Д: Феникс, 2012. 346 с.
- Вережников В.Н., Гермашева И.И., Крысин М.Ю. Коллоидная химия поверхностно-активных веществ: Учебное пособие. СПб.: Издательство “Лань”, 2015. 304 с.
Дополнительные файлы








