Влияние факторов свертывания на свойства адсорбционных пленок фибрина
- Authors: Миляева О.Ю.1, Рафикова А.Р.1
-
Affiliations:
- Санкт-Петербургский государственный университет
- Issue: Vol 86, No 2 (2024)
- Pages: 244-252
- Section: Articles
- Submitted: 08.07.2024
- Accepted: 08.07.2024
- Published: 15.03.2024
- URL: https://ogarev-online.ru/0023-2912/article/view/259162
- DOI: https://doi.org/10.31857/S0023291224020097
- EDN: https://elibrary.ru/DGCAIR
- ID: 259162
Cite item
Full Text
Abstract
Образование пленки фибрина на месте порезов и ран – сложный биохимический процесс, в котором, помимо основных компонентов – фибриногена и тромбина – участвуют также другие ферменты и белки. Адсорбционные пленки, полученные из раствора, содержащего факторы VIII, XIIIа, фактор Виллебранда и фибронектин, имеют ряд отличий по сравнению с пленками фибриногена и пленками фибрина, полученными из раствора, содержащего только фибриноген и тромбин. Динамическая поверхностная упругость превышает соответствующие значения для фибриногена (80 мН/м и 55 мН/м соответственно), однако оказывается ниже значений для фибрина, полученного из чистых компонентов (115 мН/м). Поверхностные давления для адсорбционных пленок, полученных из гемостатического клея (27 мН/м), оказываются выше значений для обеих рассмотренных ранее систем (14 мН/м). Это связано с существенными изменениями в морфологии полученных пленок, которая была оценена с помощью микроскопии при угле Брюстера и сканирующей электронной микроскопии.
Full Text
ВВЕДЕНИЕ
Фибриноген – растворимый белок, который в норме присутствует в плазме крови человека в концентрации 2.5–4 мг/мл [1, 2]. В случае повреждения тканей и кровотечения фибриноген под действием фермента тромбина переходит в фибрин, составляющий основу нерастворимого сгустка, препятствующего дальнейшей кровопотере [3–6].
Свертывание крови – многоступенчатый процесс, имеющий каскадный характер, в котором помимо фибриногена и тромбина принимает участие множество других белков. Можно ожидать, что присутствие этих компонентов будет сильно влиять на морфологию и структуру фибрина [6–9]. Так, например, под действием фактора XIIIа образуются ковалентные сшивки между боковыми группами соседних мономерных молекул и волокон фибрина [6, 10, 11].
В литературе основное внимание уделяется обсуждению свойств фибриновых сгустков, образующихся в объеме растворов [11, 12]. Изучению поверхностных свойств фибрина уделяется значительно меньше внимания [13–16]. В то же время именно формирование пленки фибрина отвечает за первичное предотвращение кровопотери и инфицирования раны [9, 14]. Кроме того, фибриноген и фибрин часто используются в качестве биосовместимого материала в виде тонких волокон, пленок, мембран и каркасов, формируемых из растворов, что также указывает на большую важность поверхностных свойств [12, 17–20]. Малое число исследований в этом направлении обусловлено тем, что изучение границ раздела флюидных фаз представляет собой сложную задачу, для решения которой применим ограниченный набор методов.
Комплексный подход на основе методов дилатационной поверхностной реологии и различных видов микроскопии позволяет определить основные этапы формирования и описать структуру поверхностного слоя на границе раздела жидкость–газ [21, 22]. Кроме того, было показано, что особенности структуры фибрина в зависимости от условий формирования особенно ярко проявляются в его механических свойствах [23], что делает динамическую поверхностную упругость, представляющую собой отклик поверхностного натяжения на малую механическую деформацию поверхности, особенно информативной величиной.
Фибриноген обладает поверхностной активностью и адсорбируется на границе жидкость-газ, понижая поверхностное натяжение растворов до 58 мН/м [24–26]. Некоторые авторы отмечают, что при этом происходит изменение ориентации молекулы в поверхностном слое с параллельной на перпендикулярную на границе раздела фаз [25, 27–29].
Добавление тромбина и образование фибрина в поверхностном слое мало меняет поверхностное натяжение раствора, однако сильно сказывается на зависимостях динамической поверхностной упругости [13, 16]. Немонотонный характер зависимостей динамической поверхностной упругости указывает на различные этапы формирования пленки фибрина [16]. Появление максимума при малых временах жизни поверхности позволяет предположить, что действие тромбина в некоторой степени схоже с действием денатурантов и приводит к вытеснению отдельных частей макромолекулы в дальнюю область поверхностного слоя [30]. При больших временах жизни поверхности различные значения динамической поверхностной упругости отвечают различным типам формирующейся морфологии. Эти результаты совместно с результатами АСМ позволили показать переход от отдельных нитевидных агрегатов к структуре, состоящей из разветвленных волокон, а затем к сплошной пленке фибрина [16].
Однако такая система, в которой присутствуют только два главных компонента – фибриноген и тромбин – может существенно отличаться от пленок фибрина, получаемых в реальном процессе свертывания крови. Гемостатический хирургический фибриновый клей получают из донорской крови. Он состоит из фибринового и тромбинового компонентов. Фибриновый компонент содержит факторы VIII и XIIIa и не содержит синтетических добавок. Можно ожидать, что пленки фибрина, получаемые из такого гемостатического клея, окажутся ближе по своим свойствам к пленкам фибрина, образующимся естественным путем на месте травм и порезов. Методы динамической поверхностной реологии совместно с различными методами микроскопии и эллипсометрией позволяют определить основные этапы формирования поверхностного слоя [21, 30]. В данной работе этот комплекс методов применен для определения роли факторов свертывания в процессе образования фибриновых пленок на границе жидкость–газ.
ЭКСПЕРИМЕНТАЛЬНАЯ ЧАСТЬ
Динамическая поверхностная упругость измерялась с помощью метода осциллирующего кольца [31, 32]. В этом методе колебания площади поверхности достигаются за счет периодического поднимания и опускания частично погруженного в жидкость стеклянного кольца. Изменение формы мениска, находящегося у внутренней поверхности кольца, приводит к колебаниям поверхностного натяжения, измеряемого с помощью пластинки Вильгельми. Для малых гармонических колебаний дилатационную поверхностную упругость можно определить с помощью следующей формулы:
(1)
где γ – поверхностное натяжение, А – площадь поверхности жидкости и ω – круговая частота. Если фазовый сдвиг между колебаниями поверхностного натяжения и площади поверхности отсутствует, то мнимая часть поверхностной упругости равна нулю. Амплитуда и частота осцилляций площади поверхности составляли 7% и 0.1 Гц соответственно.
Поскольку для исследуемых систем мнимая часть динамической поверхностной упругости была меньше действительной части, то в работе представлены результаты для модуля динамической поверхностной упругости.
Для каждой из исследованных систем измерения проводились 2–3 раза. Погрешность измерений динамического поверхностного натяжения и динамической не превышает 0,5 мН/м и 3 мН/м соответственно.
Изотермы сжатия пленок фибрина были получены с помощью прибора ISR (KSV NIMA, Финляндия). Сжатие осуществлялось спустя 15 ч от момента образования поверхности. Скорость сжатия была постоянной и составляла 5 мм/мин. Для измерения поверхностного натяжения использовался метод пластинки Вильгельми.
Эллипсометрические измерения проводились с помощью нуль-эллипсометра Multiskop (Optrel GBR, Германия) с длиной волны света 632.8 нм при постоянном значении угла падения 49° вблизи угла Брюстера. Разность между эллипсометрическими углами Δ для исследуемого раствора и чистой воды Δsurf пропорциональна величине адсорбции [32].
Макро- и микроморфологию пленок фибрина характеризовали с помощью микроскопии при угле Брюстера (прибор BAM 1, Nanofilm Technology, Германия), сканирующей электронной микроскопии (СЭМ) (Zeiss Merlin, Германия) и атомно-силовой микроскопии (АСМ) (Nte-MDT, Россия). Адсорбционные пленки были перенесены на поверхность атомно гладкого кремния (для измерений с помощью СЭМ) и слюды (для измерений с помощью АСМ) с помощью метода Ленгмюра–Шеффера. После переноса пленка высушивалась в эксикаторе при комнатной температуре в течение 3–5 дней. Измерения СЭМ проводились при рабочем напряжении 2 кВ и различных увеличениях. Для каждого образца была получена серия изображений для разных областей сканирования.
Фибриноген (CAS number 9001-32-5, Sigma–Aldrich, Германия) и тромбин (product number SRP6556-1KU, Sigma–Aldrich, Германия) использовались без дополнительной очистки. Концентрация тромбина выражена в единицах ферментативной активности. 1 Ед определяется как количество фермента, которое катализирует превращение одного микромоля субстрата в минуту при стандартных условиях. Для приготовления исследуемых растворов чистого фибриногена и систем, содержащих только фибриноген и тромбин, исходный раствор фибриногена с концентрацией С = 1 г/л разбавлялся до концентрации 3 · 10–7 М. Исходный раствор фибриногена хранился при 4°С не дольше пяти дней. Добавление тромбина к раствору фибриногена осуществлялось путем смешения исходных растворов.
Клей “Криофит” (ПЛАЗМА-ФТК, Россия) состоит из двух основных компонентов. Первый компонент содержит фибриноген, факторы свертывания VIII, XIIIа, фактор Виллебранда и фибронектин. Второй компонент – тромбин. Клей “Криофит” до использования хранился в холодильнике при –18°С. Для приготовления исследуемых растворов компоненты клея “Криофит” размораживались при комнатной температуре, затем по отдельности готовились маточные растворы фибринового и тромбинового компонентов, которые хранились при 4°С не дольше пяти дней. Для приготовления маточных растворов фибриновый компонент разбавлялся в 200 раз, тромбиновый компонент – в 40 раз. Добавление тромбина к раствору фибриногена осуществлялось путем смешения маточных растворов и буферного раствора в различных пропорциях. Концентрация фибринового компонента оставалась постоянной. Все исследуемые растворы содержали 25% маточного раствора фибринового компонента.
Исследуемые растворы готовились в фосфатном буфере (растворы Na2HPO4 (CAS number 10028-24-7, Sigma–Aldrich, Германия) и NaH2PO4 (CAS number 13472-35-0, Sigma–Aldrich, Германия)) с рН 7. Ионная сила раствора задавалась путем добавления 0.9 масс. % NaCl и 2.5 · 10–3 М CaCl2. Концентрации NaCl и Ca2+ были выбраны близкими к физиологическим.
При приготовлении растворов использовалась трижды перегнанная вода. Две последние перегонки осуществлялись на установке, целиком сделанной из стекла. Поверхностное натяжение буферного раствора без белка составляло 72.8 мН/м.
Все измерения проводились при температуре 20 ±1°С.
РЕЗУЛЬТАТЫ И ИХ ОБСУЖДЕНИЕ
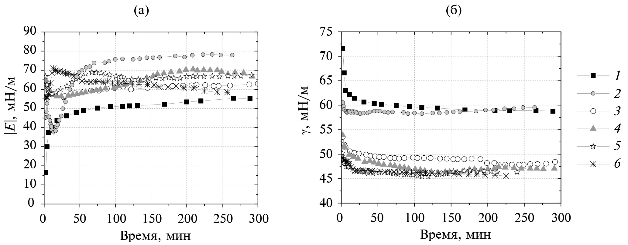
Динамические поверхностные свойства растворов, полученных путем смешения компонентов гемостатического клея, были исследованы как функция времени жизни поверхности и соотношения компонентов (рис. 1). Как динамическая поверхностная упругость (рис. 1а), так и поверхностное давление (рис. 1б) оказываются выше соответствующих величин для чистого фибриногена. Значения динамической поверхностной упругости при больших временах жизни поверхности превышают соответствующие значения для чистого белка на 15–20 мН/м. Разница между равновесными значениями поверхностного натяжения растворов фибриногена и смешанных растворов составляет около 12 мН/м. Эти различия могут быть связаны с адсорбцией дополнительных белковых компонентов из объема раствора.
Рис. 1. Кинетические зависимости динамической поверхностной упругости (а) и динамического поверхностного натяжения (б) растворов фибриногена с концентрацией 3 · 10–7 М (1); растворов, содержащих фибриноген концентрацией 3 · 10–7 М и тромбин с концентрацией 300 Ед/л (2); растворов смесей фибриноген-содержащего и тромбин-содержащего компонентов клея “Криофит”, взятых в соотношениях 10 : 1 (3), 5 : 1 (4), 2 : 1 (5), 1 : 1 (6).
Для всех исследованных растворов, приготовленных из клея “Криофит”, скорость изменения динамических поверхностных свойств оказывается велика, и уже в первые минуты жизни поверхности динамическая поверхностная упругость и поверхностное давление составляют 55–65 и 18–20 мН/м соответственно. Динамическая поверхностная упругость меняется немонотонно. Уже в первые минуты жизни поверхности динамическая поверхностная упругость уменьшается с примерно 65 до 55 мН/м, а затем снова возрастает до 70 мН/м и постепенно снижается. С увеличением концентрации тромбина немонотонный характер становится более выраженным, и максимум динамической поверхностной упругости смещается в сторону меньших времен жизни поверхности.
Если представить динамическую поверхностную упругость как функцию поверхностного давления (рис. 2), то видно, что все зависимости для смешанных растворов оказываются близки, и максимум поверхностной упругости соответствует поверхностному давлению около 25 мН/м. Такие давления не достигаются для растворов чистого белка, для которого она практически линейно возрастает с ростом поверхностного давления до 14–15 мН/м. Эти результаты указывают на сильные изменения в структуре поверхностного слоя, вызванные переходом фибриногена в фибрин под действием тромбина и других факторов свертывания, в частности фактора XIIIa.
Рис. 2. Зависимости динамической поверхностной упругости от поверхностного давления растворов фибриногена с концентрацией 3 · 10–7 М (1); растворов, содержащих фибриноген с концентрацией 3 · 10–7 М и тромбин концентрацией 300 Ед/л (2); растворов смесей фибриноген-содержащего и тромбин-содержащего компонентов клея “Криофит”, взятых в соотношениях 10 : 1 (3), 5 : 1 (4), 2 : 1 (5), 1 : 1 (6).
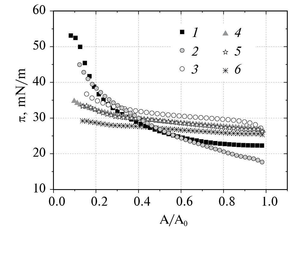
На существенные изменения в структуре поверхностного слоя также указывают изотермы сжатия (рис. 3). Изотермы сжатия были получены при больших временах жизни поверхности (около 10–12 ч) при приближении к равновесию. В отличие от чистого фибриногена, сжатие пленок фибрина, полученных из гемостатического клея, приводит лишь к слабому росту поверхностного давления, не превышающему 10 мН/м. Чем больше содержание тромбинового компонента в исходной смеси, тем слабее выражен рост поверхностного давления. Величина статической поверхностной упругости, рассчитанная из изотерм сжатия, оказывается мала и не превышает 5 мН/м.
Рис. 3. Изотермы сжатия для растворов фибриногена с концентрацией 3 · 10–7 М (1); растворов, содержащих фибриноген с концентрацией 3 · 10–7 М и тромбин концентрацией 300 Ед/л (2); растворов смесей фибриноген-содержащего и тромбин-содержащего компонентов клея “Криофит”, взятых в соотношениях 10 : 1 (3), 5 : 1 (4), 2 : 1 (5), 1 : 1 (6).
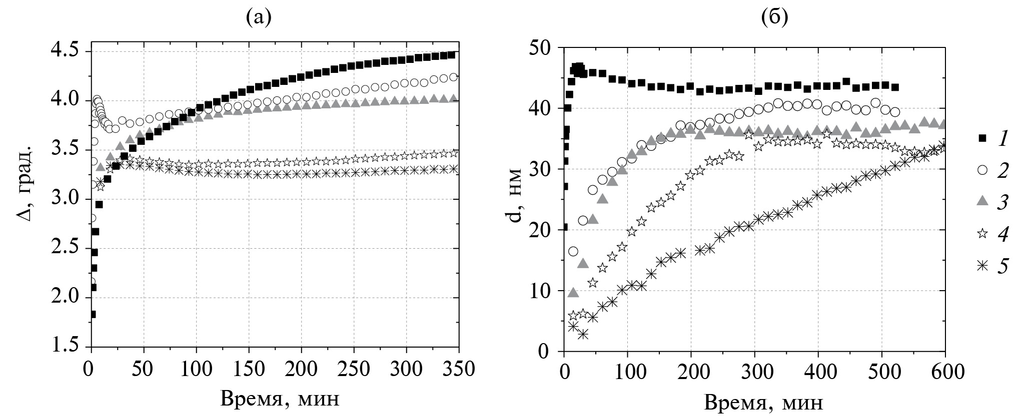
Кинетические зависимости эллипсометрического угла Δ (рис. 4а), пропорционального величине адсорбции, для всех исследованных растворов оказываются ниже соответствующей зависимости для чистого фибриногена. При этом чем выше содержание тромбинового компонента, тем более ярко выражена эта тенденция. Возможно, для всех исследованных растворов количество вещества в поверхностном слое оказывается меньше, чем для чистого фибриногена при данной концентрации (1 · 10–7 М), за счет реакции в объеме раствора. Другое возможное объяснение состоит в том, что образуются толстые поверхностные слои, для которых уже не выполняются условия пропорциональности между величиной адсорбции и эллипсометрического угла Δ. Поскольку изменения эллипсометрического угла ψ также оказываются довольно большими, это позволяет оценить толщину поверхностного слоя. Расчет по однослойной модели показал, что толщина пленки фибрина для всех исследованных растворов стремится к 40 нм при времени жизни поверхности около 10 ч (рис. 4б). При этом скорость достижения этой величины тем выше, чем ниже концентрация тромбинового компонента. Это значение близко к результатам для чистого фибриногена и размерам нативного белка при вертикальной ориентации. Таким образом, уменьшение эллипсометрического угла Δ, вероятно, связано с уменьшением количества адсорбированного фибриногена за счет реакции в объеме раствора.
Рис. 4. Кинетические зависимости эллипсометрического угла Δ (а) и кинетические зависимости толщины пленки (б) для растворов фибриногена с концентрацией 1 · 10–7 М (1) и растворов смесей фибриноген-содержащего и тромбин-содержащего компонентов клея “Криофит”, взятых в соотношениях 10 : 1 (2), 5 : 1 (3), 2 : 1 (4), 1 : 1 (5).
Изменения структуры поверхностного слоя хорошо видны на изображениях, полученных с помощью СЭМ (рис. 5). Добавление даже небольших количеств тромбинового компонента к раствору фибриногена приводит к образованию разветвленной сети тонких волокон. Число волокон и степень их разветвленности увеличивается с увеличением концентрации тромбинового компонента. На основе полученных изображений можно предположить, что образовавшаяся пленка представляет собой протяженную трехмерную структуру. Для состава 1:1 помимо обширной сетки разветвленных тонких волокон появляются также более крупные нитевидные агрегаты (рис. 5д, 5е).
Рис. 5. СЭМ-изображения пленок фибрина, полученных из растворов смесей фибриноген-содержащего и тромбин-содержащего компонентов клея “Криофит”, взятых в соотношениях 5 : 1 (а, б), 2 : 1 (в, г), 1 : 1 (д, е).
Это предположение можно проиллюстрировать изображениями, полученными с помощью микроскопии при угле Брюстера (рис. 6). В первые минуты образования поверхности полученные изображения представляют собой равномерный серый фон (рис. 6а). С увеличением жизни поверхности появляется небольшая шероховатость. При больших временах жизни поверхности, когда можно считать, что пленка фибрина уже полностью сформировалась, к полученной пленке было приложено небольшое механическое возмущение с помощью тонкой иглы (рис. 6б). В месте касания иглы появляются складки, однако пленка сохраняет свою целостность. Лишь повторное механическое возмущение разрушает пленку, и на полученном изображении становятся видны темные области, соответствующие воде, и светлые области, соответствующие пленке (рис. 6в).
Рис. 6. Изображения пленок фибрина, полученные с помощью микроскопии при угле Брюстера для растворов смесей фибриноген-содержащего и тромбин-содержащего компонентов клея “Криофит” в соотношении 1 : 1. Изображение (а) соответствует равновесной пленке, изображение (б) – после наложения малого механического возмущения, изображение (в) – повторное наложение малого механического возмущения.
Таким образом, сравнение результатов для смешанных растворов компонентов клея “Криофит” с результатами для чистого фибриногена и фибриновых пленок, полученных только из фибриногена и тромбина, указывает на исключительную роль факторов свертывания крови в формировании пленок на границе жидкость–газ. Присутствие дополнительных факторов свертывания приводит к изменению структуры и морфологии полученных пленок фибрина (рис. 5, 7). Фактор XIIIa способствует образованию поперечных сшивок, многократному разветвлению волокон и их большей жесткости (рис. 5). Такая пленка приближается по своей структуре к пленкам фибрина, образующимся в живых организмах на местах порезов и травм. Она приобретает трехмерный характер и представляет собой сплошную протяженную сетку, состоящую из множества тонких разветвленных волокон. Увеличение концентрации тромбинового компонента приводит к формированию большего числа мелких волокон, о чем свидетельствуют результаты СЭМ, и при высоких концентрациях к появлению более протяженных нитевидных агрегатов. Эти агрегаты могут выполнять функцию армирующего компонента и способствовать высокой прочности получаемых пленок фибрина. В отличие от случая, когда в системе присутствуют только белок и фермент [16], протяженных срастающихся в единое полотно лент не наблюдается.
Рис. 7. АСМ-изображение пленки фибрина, полученной из раствора смеси фибриногена концентрацией 3 · 10–7 М и тромбина концентрацией 100 Ед/л (а) и 300 Ед/л (б).
Фибриновая пленка, полученная из клея “Криофит”, обладает большей механической устойчивостью по сравнению с пленками, полученными только из фибриногена и тромбина. Это проявляется в характере изотерм сжатия и реакции пленок на механическое возмущение, которую можно увидеть на изображениях, полученных с помощью микроскопии при угле Брюстера. Можно предположить, что трехмерный характер пленок фибрина и большое число отдельных тонких волокон приводят к их малой сжимаемости. При уменьшении площади поверхности коллапс пленки начинается практически сразу в области пленки, ближней к краю подвижного барьера. Пленка сминается, и поверхностное давление растет слабо.
Изменение структуры пленки и присутствие других белковых компонентов, помимо фибриногена и тромбина, приводят к тому, что поверхностная упругость оказывается ниже для растворов компонентов гемостатического клея по сравнению с растворами, содержащими только фибриноген и тромбин. Для последних при больших концентрациях фермента поверхностная упругость достигала примерно 120 мН/м. Однако такая упругость отвечала сплошной пленке, для которой было невозможно различить отдельные волокна фибрина. Как в случае клея “Криофит”, так и для пленок, полученных из растворов, содержащих только фибриноген и тромбин, зависимости динамической поверхностной упругости имеют немонотонный характер. Однако для гемостатического клея скорость формирования пленок оказывается заметно выше и изменения поверхностной упругости отвечают высоким значениям поверхностного давления, которых не наблюдалось в первом случае. Можно предположить, что для пленок, полученных из гемостатического клея, стадии формирования пленки, ранее наблюдавшиеся для растворов фибриногена и тромбина концентрацией 50–300 Ед./л, протекают намного быстрее. Последовательная адсорбция фибриногена, формирование протофибрилл, их агрегация, рост двумерной сетки, сопровождающиеся соответствующими изменениями динамической поверхностной упругости, происходят уже в первые минуты образования поверхности. В дальнейшем начинается формирование более сложной трехмерной структуры, отвечающей более высоким поверхностным давлениям. Можно предположить, что максимум поверхностной упругости при поверхностном давлении 25 мН/м связан с активным образованием поперечных сшивок и ветвлений за счет действия дополнительных факторов свертывания.
ВЫВОДЫ
Поверхностные свойства адсорбционных пленок, полученных из гемостатического клея, существенно отличались от свойств адсорбционных пленок фибриногена и пленок, полученных из фибриногена и тромбина. В первом и последнем случае зависимости динамической поверхностной упругости имеют немонотонный характер, однако максимум поверхностной упругости соответствует разным поверхностным давлениям (25 мН/м и 14 мН/м соответственно). Различия в величине поверхностной упругости и сдвиг ее зависимостей от поверхностного давления вправо позволяют предположить сильные изменения в структуре поверхностного слоя, подтверждаемые методами микроскопии. Для всех исследованных составов образуется пленка большой толщины, состоящая из множества тонких, сильно разветвленных волокон. Вероятно, наибольшее влияние на формирование такой трехмерной структуры оказывает фактор свертывания XIIIа. Его присутствие способствует увеличению числа поперечных сшивок между молекулами фибриногена и увеличению прочности такой трехмерной структуры, о чем также свидетельствует характер изотерм сжатия.
БЛАГОДАРНОСТИ
Авторы выражают благодарность ресурсным центрам СПбГУ (Центр оптических и лазерных исследований, Междисциплинарный ресурсный центр по направлению “Нанотехнологии”, Центр методов анализа состава вещества, Центр термогравиметрических и калориметрических методов исследования, Центр диагностики функциональных материалов для медицины, фармакологии и наноэлектроники) за использование их оборудования.
ФИНАНСИРОВАНИЕ РАБОТЫ
Работа выполнена при финансовой поддержке РНФ (грант № 23-73-10021).
СОБЛЮДЕНИЕ ЭТИЧЕСКИХ СТАНДАРТОВ
В данной работе отсутствуют исследования человека или животных.
КОНФЛИКТ ИНТЕРЕСОВ
Авторы данной работы заявляют, что у них нет конфликта интересов.
About the authors
О. Ю. Миляева
Санкт-Петербургский государственный университет
Author for correspondence.
Email: o.milyaeva@spbu.ru
Институт химии
Russian Federation, Университетский проспект, 26, Санкт-Петербург, 198504А. Р. Рафикова
Санкт-Петербургский государственный университет
Email: o.milyaeva@spbu.ru
Институт химии
Russian Federation, Университетский проспект, 26, Санкт-Петербург, 198504References
- Stamboroski S., Joshi A., Noeske P.-L.M., Koppen S., Bruggemann D. Principles of fibrinogen fiber assembly in vitro // Macromol. Biosci. 2021. V. 21. P. 2000412. https://doi.org/10.1002/mabi.202000412
- Dutta B., Vos B.E., Rezus Y.L.A., Koenderink G.H., Bakker H.J. Observation of ultrafast vibrational energy transfer in fibrinogen and fibrin fibers // J. Phys. Chem. B. 2018. V. 122. № 22. P. 5870–5876. https://doi.org/10.1021/acs.jpcb.8b03490
- Mosesson M.W., Siebenlist K.R., Meh D.A. The Structure and biological features of fibrinogen and fibrin // Ann. N.Y. Acad. Sci. 2006. V. 936. № 1. P. 11–30. https://doi.org/10.1111/j.1749-6632.2001.tb03491.x
- Fogelson A.L., Keener J.P. Toward an understanding of fibrin branching structure // Phys. Rev. E. 2010. Vol. 81. № 5. P. 051922. https://doi.org/10.1103/PhysRevE.81.051922
- Beudert M., Gutmann M., Lühmann T., Meinel L. Fibrin sealants: Challenges and solutions // ACS Biomater. Sci. Eng. 2022. V. 8. № 6. P. 2220–2231. https://doi.org/10.1021/acsbiomaterials.1c01437
- Calcaterra J., Van Cott K.E., Butler S.P., Gil G.C., Germano M., Van Veen H.A., Nelson K., Forsberg E.J., Carlson M.A., Velander W.H. Recombinant human fibrinogen that produces thick fibrin fibers with increased wound adhesion and clot density // Biomacromolecules. 2013. V. 14. № 1. P. 169–178. https://doi.org/10.1021/bm301579p
- Konings J., Govers-Riemslag J.W., Philippou H., Mutch N.J., Borissoff J.I., Allan P., Mohan S., Tans G., Ten Cate H., Ariëns R.A. Factor XIIa regulates the structure of the fibrin clot independently of thrombin generation through direct interaction with fibrin // Blood. 2011. V. 118. № 14. P. 3942–3951. https://doi.org/10.1182/blood-2011-03-339572
- Matsuka Y.V., Anderson E.T., Milner-Fish T., Ooi P., Baker S. Staphylococcus aureus fibronectin-binding protein serves as a substrate for coagulation factor XIIIa: Evidence for factor XIIIa-catalyzed covalent cross-linking to fibronectin and fibrin // Biochemistry. 2003. V. 42. № 49. P. 14643–14652. https://doi.org/10.1021/bi035239h
- Macrae F.L., Duval C., Papareddy P., Baker S.R., Yuldasheva N., Kearney K.J., McPherson H.R., Asquith N., Konings J., Casini A., Degen J.L., Connell S.D., Philippou H., Wolberg A.S., Herwald H., Ariëns R.A. A fibrin biofilm covers blood clots and protects from microbial invasion // J. Clin. Invest. 2018. V. 128. № 8. P. 3356–3368. https://doi.org/10.1172/JCI98734
- Tsurupa G., Pechik I., Litvinov R.I., Hantgan R.R., Tjandra N., Weisel J.W., Medved L. On the mechanism of αC polymer formation in fibrin // Biochemistry. 2012. V. 51. № 12. P. 2526–2538. https://doi.org/10.1021/bi2017848
- Wolberg A.S. Fibrinogen and factor XIII: Newly recognized roles in venous thrombus formation and composition // Curr. Opin. Hematol. 2018. V. 25. № 5. P. 358–364. https://doi.org/ 10.1097/MOH.0000000000000445
- Litvinov R.I., Pieters M., de Lange-Loots Z., Weisel J.W. Fibrinogen and fibrin // (eds) Macromolecular Protein Complexes III: Structure and Function. Subcellular Biochemistry, Springer, Cham. 2021. V. 96. P. 471–501. https://doi.org/10.1007/978-3-030-58971-4_15
- Миляева О.Ю., Рафикова А.Р. Влияние малых концентраций тромбина на динамические поверхностные свойства растворов фибриногена // Коллоидный журнал. 2022. Т. 84. № 1. C. 58–66. https://doi.org/10.31857/S0235009222010024
- Gu S.X., Lentz S.R. Fibrin films: Overlooked hemostatic barriers against microbial infiltration // J. Clin. Invest. 2018. V. 128. № 8. P. 3243–3245. https://doi.org/10.1172/JCI121858
- O’Brien E.T., Falvo M.R., Millard D., Eastwood B., Taylor R.M., Superfine R. Ultrathin self-assembled fibrin sheets // Proc. Natl. Acad. Sci. 2008. V. 105. № 49. P. 19438–19443. https://doi.org/10.1073/pnas.0804865105
- Миляева О.Ю., Рафикова А.Р. Динамические поверхностные свойства фибрина // Коллоидный журнал. 2022. Т. 85. № 3. C. 355–365. https://doi.org/10.31857/S0023291222600675
- Hense D., Büngeler A., Kollmann F., Hanke M., Orive A., Keller A., Grundmeier G., Huber K., Strube O.I. Self-assembled fibrinogen hydro- and aerogels with fibrin-like 3D structures // Biomacromolecules. 2021. V. 22. № 10. P. 4084–4094. https://doi.org/10.1021/acs.biomac.1c00489
- Kayal T.A., Losi P., Pierozzi S., Soldani G. A new method for fibrin-based electrospun/sprayed scaffold fabrication // Sci. Rep. 2020. V. 10. № 1. P. 5111. https://doi.org/10.1038/s41598-020-61933-z
- Wnek G.E., Carr M.E., Simpson D.G., Bowlin G.L. Electrospinning of nanofiber fibrinogen structures // Nano Lett. 2003. V. 3. № 2. P. 213–216. https://doi.org/10.1021/nl025866c
- Mirzaei-Parsa M.J., Ghanizadeh A., Ebadi M.T.K., Faridi-Majidi R. An alternative solvent for electrospinning of fibrinogen nanofiber // Biomed. Mater. Eng. 2018. V. 29. P. 279. https://doi.org/10.3233/BME-181736
- Noskov B.A., Bykov A.G., Gochev G., Lin S.Y., Loglio G., Miller R., Milyaeva O.Y. Adsorption layer formation in dispersions of protein aggregates // Adv. Colloid Interface Sci., 2020. V. 276. P. 102086. https://doi.org/10.1016/j.cis.2019.102086
- Noskov B.A., Bykov A.G. Dilational rheology of monolayers of nano- and micropaticles at the liquid-fluid interfaces // Curr. Opin. Colloid Interface Sci. 2018. V. 37. P. 1–12. https://doi.org/10.1016/j.cocis.2018.05.001
- Collet J.P., Lesty C., Montalescot G., Weisel J.W. Dynamic changes of fibrin architecture during fibrin formation and intrinsic fibrinolysis of fibrin-rich clots // J. Biol. Chem. 2003. V. 278. № 24. P. 21331–21335. https://doi.org/10.1074/jbc.M212734200
- Hernandez E.M., Franses E.I. Adsorption and surface tension of fibrinogen at the air/water interface // Colloids Surf. A. 2003. V. 214. № 1. P. 249–262. https://doi.org/10.1016/S0927-7757(02)00403-X
- Milyaeva O.Y., Gochev G., Loglio G., Miller R., Noskov B.A. Influence of polyelectrolytes on dynamic surface properties of fibrinogen solutions // Colloids Surf. A. 2017. V. 532. P. 108–115. http://dx.doi.org/10.1016/j.colsurfa.2017.06.002
- Sankaranarayanan K., Dhathathreyan A. Assembling fibrinogen at air/water and solid/liquid interfaces using Langmuir and Langmuir-Blodgett films // J. Phys. Chem. B. 2010. V. 114. № 24. P. 8067–8075. https://doi.org/10.1021/jp100896b
- Ariola F.S., Krishnan A., Vogler E.A. Interfacial rheology of blood proteins adsorbed to the aqueous-buffer/air interface // Biomaterials. 2006. V. 27. № 18. P. 3404–3412. https://doi.org/10.1016/j.biomaterials.2006.02.005
- Hassan N., Maldonado-Valderrama J., Gunning A.P., Morris V.J., Ruso J.M. Surface characterization and AFM imaging of mixed fibrinogen-surfactant films // J. Phys. Chem. B. 2011. V. 115. № 19. P. 6304–6311. https://doi.org/10.1021/jp200835j
- Damodaran S. In situ measurement of conformational changes in proteins at liquid interfaces by circular dichroism spectroscopy // Anal. Bioanal. Chem. 2003. V. 376. № 2. P. 182–188. https://doi.org/10.1007/s00216-003-1873-6
- Noskov B.A. Protein conformational transitions at the liquid–gas interface as studied by dilational surface rheology // Adv. Colloid Interface Sci. 2014. V. 206. P. 222–238. https://doi.org/10.1016/j.cis.2013.10.024
- Bykov A.G., Lin S.-Y., Loglio G., Miller R., Noskov B.A. Kinetics of adsorption layer formation in solutions of polyacid/surfactant complexes // J. Phys. Chem. C. 2009. V. 113. № 14. P. 5664–5671. https://doi.org/10.1021/jp810471y
- Motschmann H., Teppner R. Ellipsometry in interface science // Preparative Studies in Interface Science. 2001. V. 11. P. 1–42. https://doi.org/10.1016/S1383-7303(01)80014-4
Supplementary files









